Flocking-Inspired Solar Tracking System with Adaptive Performance in Varied Environmental Conditions
Abstract
1. Introduction
2. Methods and Materials
2.1. Proposed Strategy
2.2. Particle Swarm Optimization (PSO)
2.3. The Workflow of the System
- 1.
- Random Initial Positioning: The system begins by assigning random initial positions to the solar panels. These random positions simulate the natural variability in the environment, where each panel has an initial guess of its optimal position. This randomness mirrors the behavior of birds in a flock, where they start without knowing the best direction but move toward it by interacting with their neighbors.
- 2.
- Energy Output Calculation: Each solar panel has sensors that measure its energy output (voltage, current, or power). The energy output is a proxy for how “good” the current position is relative to the sun. This measurement reflects the panel’s effectiveness in capturing sunlight in its current orientation.
- 3.
- Fitness Function Evaluation: Each solar panel’s performance is evaluated using a fitness function designed to quantify the quality of the panel’s position. The fitness function typically takes the following into account:
- Energy output of the panel: Higher energy output indicates a better position.
- Relative energy output compared to neighboring panels: The panel compares its energy output with its neighbors to evaluate if it is in an optimal position within the group.
The fitness function is formulated as follows:where f represents the fitness value of a solar panel’s position, E is the panel’s energy output, is a weighting factor that adjusts the influence of neighboring panels’ positions, and is the deviation from the optimal position of neighboring panels. This fitness function is used to evaluate the current state of each particle (solar panel) in the swarm. - 4.
- Velocity and Position Update (PSO Mechanics): PSO works by adjusting each particle’s (panel’s) position and velocity based on its own best-known position (personal best, pbest) and the best-known position in the entire swarm (global best, gbest).
- Personal best (pbest): Each panel remembers its best position based on its highest energy output.
- Global best (gbest): The panel performing the best in terms of energy output in the entire system is considered the global best.
The velocity update formula for each panel is given by [34] the following:where is the velocity of panel “i” at iteration “t”, is the personal best position of panel “i”, is the best position among the neighboring panels of panel “i”, and are cognitive and social coefficients, and and are random numbers between 0 and 1.
- 5.
- Convergence to Optimal Solution: As the PSO algorithm iterates, the panels gradually converge to positions where the collective energy output is maximized. The swarm of panels adapts based on the changing energy output of each panel, ensuring that they follow a path toward optimal alignment with the sun, even if shading or environmental factors cause deviations in individual panel performance.
- 6.
- Threshold for Energy Consumption: To prevent excessive energy consumption, a threshold is set where panels only move if the change in energy output is significant. Suppose the improvement in energy output is below a predefined threshold. In that case, the panels do not move, reducing unnecessary adjustments and ensuring that the system does not waste energy by continuously seeking a better position when it is already close to optimal.
- 7.
- Re-evaluation of Positions: Each iteration of the PSO algorithm recalculates the energy output and evaluates the fitness function for each panel. As the panels adjust their positions, the PSO process repeats, continually refining the positions based on the panels’ own best-known locations and the overall best position in the system.
- 8.
- Final Adaptation: After several iterations, the system converges to an optimal set of panel positions that maximize the energy capture based on the dynamic environmental conditions. The panels work collaboratively, adjusting to changing factors like shading, clouds, or nearby obstacles.

2.4. Experimental Setup and Simulation Methodology
2.4.1. Implementation Details
| Category | Item | Specifications |
|---|---|---|
| Control Unit | Arduino UNO | Microcontroller: ATmega328PDigital I/O |
| Pins: 14 | ||
| Flash Memory: 32 KB | ||
| Communication Interfaces: 1 UART serial communication port | ||
| Bluetooth Module | Model: HC-05 module | |
| SPP (Serial Port Protocol) module | ||
| L298N Motor Drivers | Maximum Motor Voltage: 46 V | |
| Maximum Continuous Current: 2 A | ||
| Motor Control Type: The dual H-bridge driver | ||
| Azimuth Rotation System | V-Belt | 2 cm wide belt |
| Wooden Pulley | the drive pulley 4 cm diameter the driven pulley 12 cm diameter | |
| NEMA 23 Stepper | Model: 1m-57HS76-3004 | |
| Step Angle: 1.8° | ||
| Holding Torque: 4 Ncm | ||
| Current Rating: 1.68 A | ||
| Elevation Rotation System | Lead Screw | 69 cm screw and a 2 cm nut |
| NEMA 17 Stepper | Model: 1m-42HS34-1334AC | |
| Step Angle: 1.8° | ||
| Holding Torque: 26 Ncm | ||
| Current Rating: 0.4 A | ||
| Structural Elements | Base with Four Wheels | / |
| Support Structure for Solar Panel | / | |
| Suntech STP050D-12/MEA Solar Panel | Rated Maximum Power: (Pmax) 50 W | |
| Output Tolerance: ±5% | ||
| Current at Pmax: (Imp) 2.93 A | ||
| Voltage at Pmax: (Vmp) 17.4 V | ||
| Short-Circuit Current: (Isc) 3.13 A | ||
| Open-Circuit Voltage: (Voc) 21.8 V | ||
| Nominal Operating Cell Temp: (TNOCT) 45 °C + 2 °C | ||
| Weight: 5.3 kg | ||
| Dimension: 665 × 631 × 30 | ||
| Maximum System Voltage: 1000 V | ||
| Maximum Series Fuse Rating: 10 A | ||
| Cell Technology: multi-Si | ||
| Application Class A | ||
| AM = 1.5 E = 1000 W/m2 Tc = 25 °C |
2.4.2. Tracker 1—Dust Accumulation
2.4.3. Tracker 2—Shading Effect
2.4.4. Tracker 3—Wind Influence
2.4.5. Testing and Simulation
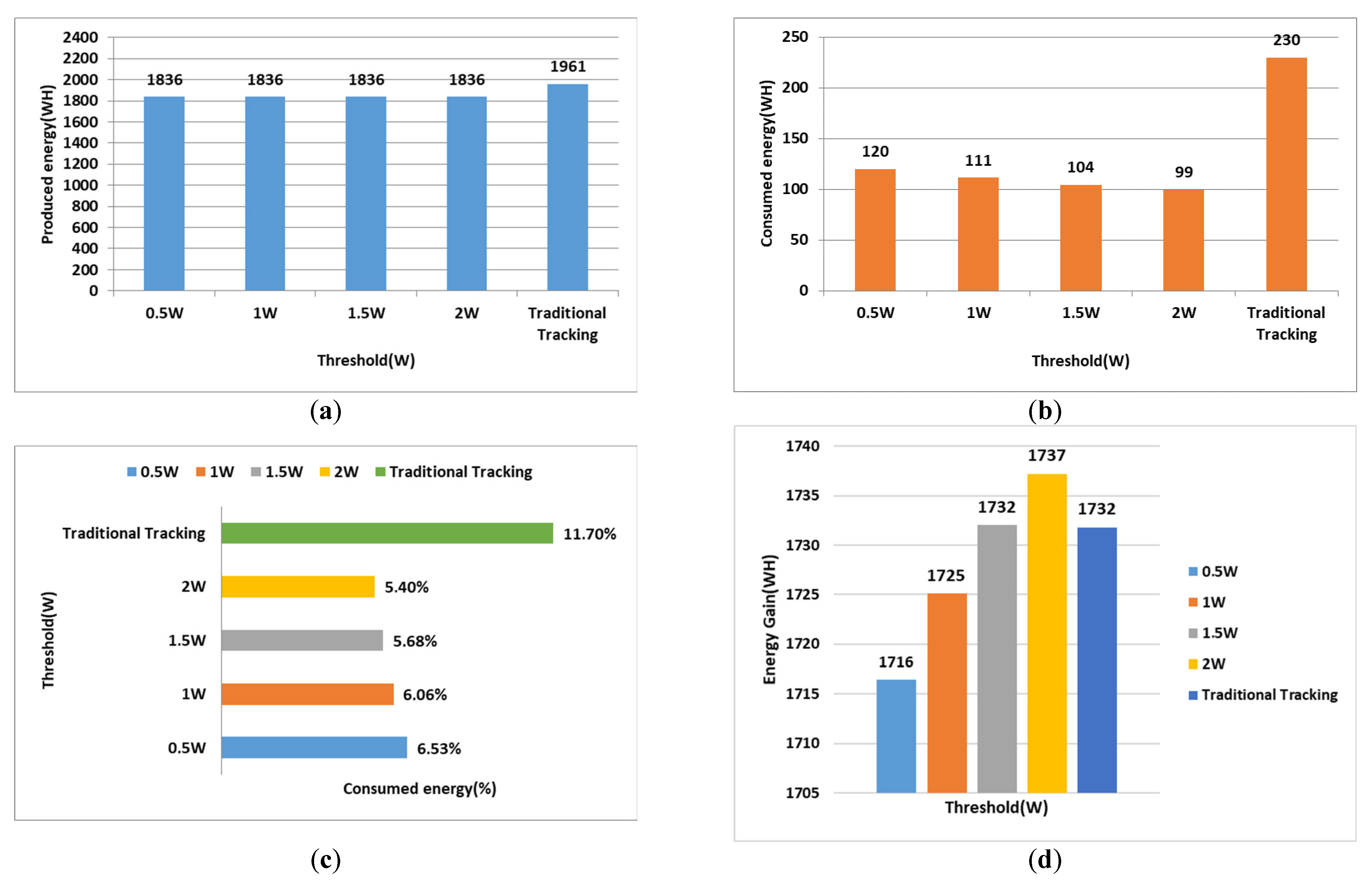
3. Results and Discussion
4. Conclusions
- The system eliminates dedicated solar sensors by using power output adjustments, achieving precise solar alignment with tracking errors of 0.78° to 1.09°.
- The Particle Swarm Optimization (PSO) algorithm identifies the optimal positions for solar panels rather than determining the sun’s position. This method considers real-world uncertainties and dynamic factors like shading, cloud cover, and dust accumulation, which static calculations cannot address.
- The threshold-based tracking approach reduces energy consumption to 1.2% and 5.4% of produced energy, unlike traditional systems, which consume 11%.
- The proposed system achieved a 10% increase in net energy production over traditional tracking systems, improving energy efficiency.
- Power thresholds of 1.5 W to 2 W optimize energy efficiency by reducing unnecessary movements in tracking systems.
- The system has a rapid response time, synchronizing solar trackers to achieve optimal power output and align with the sun’s position within just 15 min.
- The method is adaptable to different photovoltaic configurations, making it scalable and suitable for both large-scale and small-scale applications.
- This decentralized approach reduces system failure risk by distributing decision-making among multiple panels, enhancing overall robustness and reliability.
Author Contributions
Funding
Data Availability Statement
Conflicts of Interest
Nomenclature
| α | Weighting factor for neighbor influence |
| ΔP | Position deviation from neighbors’ optimal positions |
| E | Panel energy output |
| f | Fitness function value |
| Vi | Velocity of panel i |
| Xi | Position of panel i |
| w | Inertia weight (PSO parameter) |
| c1, c2 | Cognitive/social coefficients (PSO) |
| r1, r2 | Random numbers ∈ [0, 1] |
| P_best | Personal best position |
| G_best | Global best position |
| PSO | Particle Swarm Optimization |
| PV | Photovoltaic |
| MPPT | Maximum Power Point Tracking |
| GPS | Global Positioning System |
| NEMA | National Electrical Manufacturers Association (motor standard) |
| Wh | Watt-hour |
| CFD | Computational Fluid Dynamics |
References
- Hoffmann, F.M.; Molz, R.F.; Kothe, J.V.; Nara, E.O.B.; Tedesco, L.P.C. Monthly profile analysis based on a two-axis solar tracker proposal for photovoltaic panels. Renew. Energy 2018, 115, 750–759. [Google Scholar] [CrossRef]
- Morón, C.; Ferrández, D.; Saiz, P.; Vega, G.; Díaz, J.P. New prototype of photovoltaic solar tracker based on Arduino. Energies 2017, 10, 1298. [Google Scholar] [CrossRef]
- Abouzeid, M. Use of a reluctance stepper motor for solar tracking based on a programmable logic array (PLA) controller. Renew. Energy 2001, 23, 551–560. [Google Scholar] [CrossRef]
- Skouri, S.; Ali, A.B.H.; Bouadila, S.; Salah, M.B.; Nasrallah, S.B. Design and construction of sun tracking systems for solar parabolic concentrator displacement. Renew. Sustain. Energy Rev. 2016, 60, 1419–1429. [Google Scholar] [CrossRef]
- Sidek, M.; Azis, N.; Hasan, W.; Kadir, M.; Shafie, S.; Radzi, M. Automated positioning dual-axis solar tracking system with precision elevation and azimuth angle control. Energy 2017, 124, 160–170. [Google Scholar] [CrossRef]
- Verma, N.; Kumar, M.; Sharma, S. Real-Time Solar Tracking System with Gps. In Proceedings of the IEEE 2021 International Conference on Artificial Intelligence and Smart Systems (ICAIS), Coimbatore, India, 25–27 March 2021; pp. 783–788. [Google Scholar]
- Wu, C.-H.; Wang, H.-C.; Chang, H.-Y. Dual-axis solar tracker with satellite compass and inclinometer for automatic positioning and tracking. Energy Sustain. Dev. 2022, 66, 308–318. [Google Scholar] [CrossRef]
- Arturo, M.M.; Alejandro, G.P. High-precision solar tracking system. In Proceedings of the World Congress on Engineering, London, UK, 30 June–2 July 2010; pp. 844–846. [Google Scholar]
- Seme, S.; Štumberger, G. A novel prediction algorithm for solar angles using solar radiation and differential evolution for dual-axis sun tracking purposes. Sol. Energy 2011, 85, 2757–2770. [Google Scholar] [CrossRef]
- Ghabusnejad, S.; Majdi, A.; Davari, S.A. Using P&O based sensorless method in single-axis solar tracker. Int. J. Renew. Energy Res. IJRER 2019, 9, 532–541. [Google Scholar]
- Pirayawaraporn, A.; Sappaniran, S.; Nooraksa, S.; Prommai, C.; Chindakham, N.; Jamroen, C. Innovative sensorless dual-axis solar tracking system using particle filter. Appl. Energy 2023, 338, 120946. [Google Scholar] [CrossRef]
- Abdollahpour, M.; Golzarian, M.R.; Rohani, A.; Zarchi, H.A. Development of a machine vision dual-axis solar tracking system. Sol. Energy 2018, 169, 136–143. [Google Scholar] [CrossRef]
- Canada-Bago, J.; Fernandez-Prieto, J.-A.; Gadeo-Martos, M.-A.; Perez-Higueras, P. Knowledge-Based Sensors for Controlling A High-Concentration Photovoltaic Tracker. Sensors 2020, 20, 1315. [Google Scholar] [CrossRef] [PubMed]
- Sidek, M. GPS based portable dual-axis solar tracking system using astronomical equation. In Proceedings of the 2014 IEEE International Conference on Power and Energy (PECon), Kuching, Malaysia, 1–3 December 2014; pp. 245–249. [Google Scholar]
- Syafii; Nazir, R.; Kamshory; Hadi, M. Improve dual axis solar tracker algorithm based on sunrise and sunset position. J. Electr. Syst. 2015, 11, 397–406. [Google Scholar]
- Tirmikci, C.A.; Yavuz, C. Comparison of solar trackers and application of a sensor less dual axis solar tracker. J. Energy Power Eng. 2015, 9, 556–561. [Google Scholar]
- Loon, C.M.; Daud, M.Z. Sensorless dual axis solar tracker using improved sun position algorithm. Int. J. Power Electron. Drive Syst. 2020, 11, 1305. [Google Scholar] [CrossRef]
- Fathabadi, H. Novel online sensorless dual-axis sun tracker. IEEE/ASME Trans. Mechatron. 2017, 22, 321–328. [Google Scholar] [CrossRef]
- Fathabadi, H. Novel high accurate sensorless dual-axis solar tracking system controlled by maximum power point tracking unit of photovoltaic systems. Appl. Energy 2016, 173, 448–459. [Google Scholar] [CrossRef]
- Carballo, J.A.; Bonilla, J.; Berenguel, M.; Fernández-Reche, J.; García, G. New approach for solar tracking systems based on computer vision, low cost hardware and deep learning. Renew. Energy 2019, 133, 1158–1166. [Google Scholar] [CrossRef]
- National Renewable Energy Laboratory. The Impact of Solar Tracking Systems on Energy Efficiency; National Renewable Energy Laboratory: Golden, CO, USA, 2018. Available online: https://www.nrel.gov/docs/fy18osti/68886.pdf (accessed on 21 January 2025).
- Tirmikci, C.A.; Yavuz, C. The setup cost payback times of 1 kW fixed and dual axis tracking solar energy systems. In Proceedings of the IEEE 2018 2nd International Symposium on Multidisciplinary Studies and Innovative Technologies (ISMSIT), Ankara, Turkey, 19–21 October 2018. [Google Scholar]
- Oyshei, K.R.; Hasan, K.M.S.; Sadat, N.; Hoque, M.A. Comparative analysis of solar module configuration and tracking systems for enhanced energy generation in South Sakucia Union, Bhola, Bangladesh: A software based analysis. Heliyon 2024, 10, e33884. [Google Scholar] [CrossRef]
- Cheggaga, N.; Dahli, K.; Hammouda, M.R.; Benallal, A.; Ilinca, A. Innovative shade mitigation technique for maximizing solar energy efficiency in roof-mounted PV systems. J. Eur. Syst. Autom. 2024, 57, 1155–1164. [Google Scholar] [CrossRef]
- Paliyal, P.S.; Mondal, S.; Layek, S.; Kuchhal, P.; Pandey, J.K. Automatic solar tracking system: A review pertaining to advancements and challenges in the current scenario. Clean Energy 2024, 8, 237–262. [Google Scholar] [CrossRef]
- Mohamed-Abdulhussein, M.; Mohd Mokhtar, R. A review of solar tracking configuration and optimization algorithms for the dual axis solar tracker systems. ASEAN Eng. J. 2024, 14, 49–60. [Google Scholar] [CrossRef]
- Sharma, I.; Gupta, K.; Sharma, I.; Yadav, G.; Shrivastava, S. Optimizing solar energy harvesting through sun tracking solar panels. J. Emerg. Technol. Innov. Res. JETIR 2024, 11, b668–b675. [Google Scholar]
- Dahli, K.; Ilinca, A.; Benallal, A.; Cheggaga, N. Investigating optimal tracking intervals for solar tracking systems to enhance efficiency and performance. In Proceedings of the 2024 IEEE International Conference on Artificial Intelligence & Green Energy (ICAIGE), Yasmine Hammamet, Tunisia, 10–12 October 2024; IEEE: Yasmine Hammamet, Tunisia, 2024; pp. 1–6. [Google Scholar]
- Sekhar, J.A. An entropic model for assessing avian flight formations. arXiv 2022, arXiv:2204.03102. [Google Scholar]
- Mirzaeinia, A.; Mirzaeinia, M.; Hassanalian, M. Flocking of V-shaped and echelon Northern Bald Ibises with different wingspans: Repositioning and energy saving. In Proceedings of the AIAA Scitech 2020 Forum, Orlando, FL, USA, 6–10 January 2020. [Google Scholar]
- Shaqarin, T. Particle swarm optimization with targeted position-mutated elitism (PSO-TPME) for partially shaded PV systems. Sustainability 2023, 15, 3993. [Google Scholar] [CrossRef]
- Alshareef, M.; Lin, Z.; Ma, M.; Cao, W. Accelerated particle swarm optimization for photovoltaic maximum power point tracking under partial shading conditions. Energies 2019, 12, 623. [Google Scholar] [CrossRef]
- Sawant, P.T.; Bhattar, C.L. Optimization of PV system using particle swarm algorithm under dynamic weather conditions. In Proceedings of the 2016 IEEE 6th International Conference on Advanced Computing (IACC), Bhimavaram, India, 27–28 February 2016; IEEE: Bhimavaram, India, 2016. [Google Scholar]
- Kennedy, J.; Eberhart, R. Particle swarm optimization. In Proceedings of the ICNN’95—International Conference on Neural Networks, Perth, WA, Australia, 27 November–1 December 2002; IEEE: Perth, WA, Australia, 2002. [Google Scholar]
- Ishaque, K.; Salam, Z.; Amjad, M.; Mekhilef, S. An improved particle swarm optimization (PSO)–based MPPT for PV with reduced steady-state oscillation. IEEE Trans. Power Electron. 2012, 27, 3627–3638. [Google Scholar] [CrossRef]
- Li, H.; Yang, D.; Su, W.; Lu, J.; Yu, X. An overall distribution particle swarm optimization MPPT algorithm for photovoltaic system under partial shading. IEEE Trans. Ind. Electron. 2019, 66, 265–275. [Google Scholar] [CrossRef]
- Ben Regaya, C.; Farhani, F.; Hamdi, H.; Zaafouri, A.; Chaari, A. A new MPPT controller based on a modified multiswarm PSO algorithm using an adaptive factor selection strategy for partially shaded PV systems. Trans. Inst. Meas. Control 2024, 46, 1991–2000. [Google Scholar] [CrossRef]
- Lin, S.; Liao, W. Research on photovoltaic dynamic MPPT algorithm based on adaptive PSO optimization. J. Comput. Methods Sci. Eng. 2024, 24, 595–609. [Google Scholar] [CrossRef]
- Derbeli, M.; Napole, C.; Barambones, O.; Sanchez, J.; Calvo, I.; Fernández-Bustamante, P. Maximum power point tracking techniques for photovoltaic panel: A review and experimental applications. Energies 2021, 14, 7806. [Google Scholar] [CrossRef]
- Alaraj, M.; Kumar, A.; Alsaidan, I.; Rizwan, M.; Jamil, M. An advanced and robust approach to maximize solar photovoltaic power production. Sustainability 2022, 14, 7398. [Google Scholar] [CrossRef]
- Sarang, S.A.; Raza, M.A.; Panhwar, M.; Khan, M.; Abbas, G.; Touti, E.; Altamimi, A.; Wijaya, A.A. Maximizing solar power generation through conventional and digital MPPT techniques: A comparative analysis. Sci. Rep. 2024, 14, 8944. [Google Scholar] [CrossRef] [PubMed]
- Ahessab, H.; Gaga, A.; Elhadadi, B. Enhanced MPPT controller for partially shaded PV systems using a modified PSO algorithm and intelligent artificial neural network, with DSP F28379D implementation. Sci. Prog. 2024, 107, 00368504241290377. [Google Scholar] [CrossRef]
- del Rio, A.; Barambones, O.; Uralde, J.; Artetxe, E.; Calvo, I. Particle Swarm Optimization-Based Control for Maximum Power Point Tracking Implemented in a Real Time Photovoltaic System. Information 2023, 14, 556. [Google Scholar] [CrossRef]
- Bahrami, A.; Okoye, C.O.; Atikol, U. The effect of latitude on the performance of different solar trackers in Europe and Africa. Appl. Energy 2016, 177, 896–906. [Google Scholar] [CrossRef]
- Boubii, C.; El Kafazi, I.; Bannari, R.; El Bhiri, B.; Mobayen, S.; Zhilenkov, A.; Bossoufi, B. Integrated Control and Optimization for Grid-Connected Photovoltaic Systems: A Model-Predictive and PSO Approach. Energies 2023, 16, 7390. [Google Scholar] [CrossRef]
- Baba, A.O.; Liu, G.; Chen, X. Classification and evaluation review of maximum power point tracking methods. Sustain. Futures 2020, 2, 100020. [Google Scholar] [CrossRef]
- Musa, A.; Alozie, E.; Suleiman, S.A.; Ojo, J.A.; Imoize, A.L. A review of time-based solar photovoltaic tracking systems. Information 2023, 14, 211. [Google Scholar] [CrossRef]
- Dahli, K.; Cheggaga, N. Novel approach to sandstorm-resilient solar tracking system for optimal energy generation. Energy Sources Recovery Util. Environ. Eff. 2024, 46, 4029–4050. [Google Scholar] [CrossRef]
- Adeleke, B. Experimental and Finite Element Analysis of Wind Induced Displacement of a Dual Axis Photovoltaic Solar Trackers. Ph.D. Thesis, University of Ottawa, Ottawa, ON, Canada, 2016. [Google Scholar]
- Aly, A.M.; Clarke, J. Wind design of solar panels for resilient and green communities: CFD with machine learning. Sustain. Cities Soc. 2023, 94, 104529. [Google Scholar] [CrossRef]
- Cao, J.; Yoshida, A.; Saha, P.K.; Tamura, Y. Wind loading characteristics of solar arrays mounted on flat roofs. J. Wind. Eng. Ind. Aerodyn. 2013, 123, 214–225. [Google Scholar] [CrossRef]
- Chou, C.-C.; Chung, P.-H.; Yang, R.-Y. Wind Loads on a Solar Panel at High Tilt Angles. Appl. Sci. 2019, 9, 1594. [Google Scholar] [CrossRef]
- Stackhouse, P. POWER. Available online: https://power.larc.nasa.gov/data-access-viewer/ (accessed on 7 February 2025).
- Okonkwo, P.C.; Nwokolo, S.C.; Udo, S.O.; Obiwulu, A.U.; Onnoghen, U.N.; Alarifi, S.S.; Eldosouky, A.M.; Ekwok, S.E.; Andráš, P.; Akpan, A.E. Solar PV systems under weather extremes: Case studies, classification, vulnerability assessment, and adaptation pathways. Energy Rep. 2025, 13, 929–959. [Google Scholar] [CrossRef]
- Benallal, A.; Cheggaga, N. Impact of dust events on the optimization of photovoltaic-wind hybrid system in desert. Wind. Eng. 2021, 45, 1506–1516. [Google Scholar] [CrossRef]
- Kumba, K.; Upender, P.; Buduma, P.; Sarkar, M.; Simon, S.P.; Gundu, V. Solar tracking systems: Advancements, challenges, and future directions: A review. Energy Rep. 2024, 12, 3566–3583. [Google Scholar] [CrossRef]











| Parameter | Tracker 1 | Tracker 2 | Tracker 3 | Traditional Tracker | Improvement (%) |
|---|---|---|---|---|---|
| Energy Gain (Wh) | 1856.37 | 1857.94 | 1733.51 | 1731.79 | +8% |
| Energy Consumption (Wh) | 22.60 | 29.56 | 99.10 | 229.50 | −11% |
| Tracking Accuracy (°) | 1.09° | 0.78° | 1.05° | 5.0° | +84% |
| Collected Solar Irradiance (W/m2) | 95.80% | 96.24% | 93.44% | 82% | +17.4% |
| Stability in Wind (m/s) | Stable | Stable | Stable | Unstable | ✔ |
Disclaimer/Publisher’s Note: The statements, opinions and data contained in all publications are solely those of the individual author(s) and contributor(s) and not of MDPI and/or the editor(s). MDPI and/or the editor(s) disclaim responsibility for any injury to people or property resulting from any ideas, methods, instructions or products referred to in the content. |
© 2025 by the authors. Licensee MDPI, Basel, Switzerland. This article is an open access article distributed under the terms and conditions of the Creative Commons Attribution (CC BY) license (https://creativecommons.org/licenses/by/4.0/).
Share and Cite
Dahli, K.; Ilinca, A.; Benallal, A.; Cheggaga, N.; Allaoui, T. Flocking-Inspired Solar Tracking System with Adaptive Performance in Varied Environmental Conditions. Energies 2025, 18, 1967. https://doi.org/10.3390/en18081967
Dahli K, Ilinca A, Benallal A, Cheggaga N, Allaoui T. Flocking-Inspired Solar Tracking System with Adaptive Performance in Varied Environmental Conditions. Energies. 2025; 18(8):1967. https://doi.org/10.3390/en18081967
Chicago/Turabian StyleDahli, Khadidja, Adrian Ilinca, Abdellah Benallal, Nawal Cheggaga, and Tayeb Allaoui. 2025. "Flocking-Inspired Solar Tracking System with Adaptive Performance in Varied Environmental Conditions" Energies 18, no. 8: 1967. https://doi.org/10.3390/en18081967
APA StyleDahli, K., Ilinca, A., Benallal, A., Cheggaga, N., & Allaoui, T. (2025). Flocking-Inspired Solar Tracking System with Adaptive Performance in Varied Environmental Conditions. Energies, 18(8), 1967. https://doi.org/10.3390/en18081967

