Impedance Reshaping Strategy for Battery Energy Storage Systems Based on Partial Power Conversion
Abstract
1. Introduction
2. Modeling of S-PPC Energy Storage System
2.1. Principle Analysis
2.2. System Modeling
3. Stability Improvement Strategies for Battery Energy Storage Systems
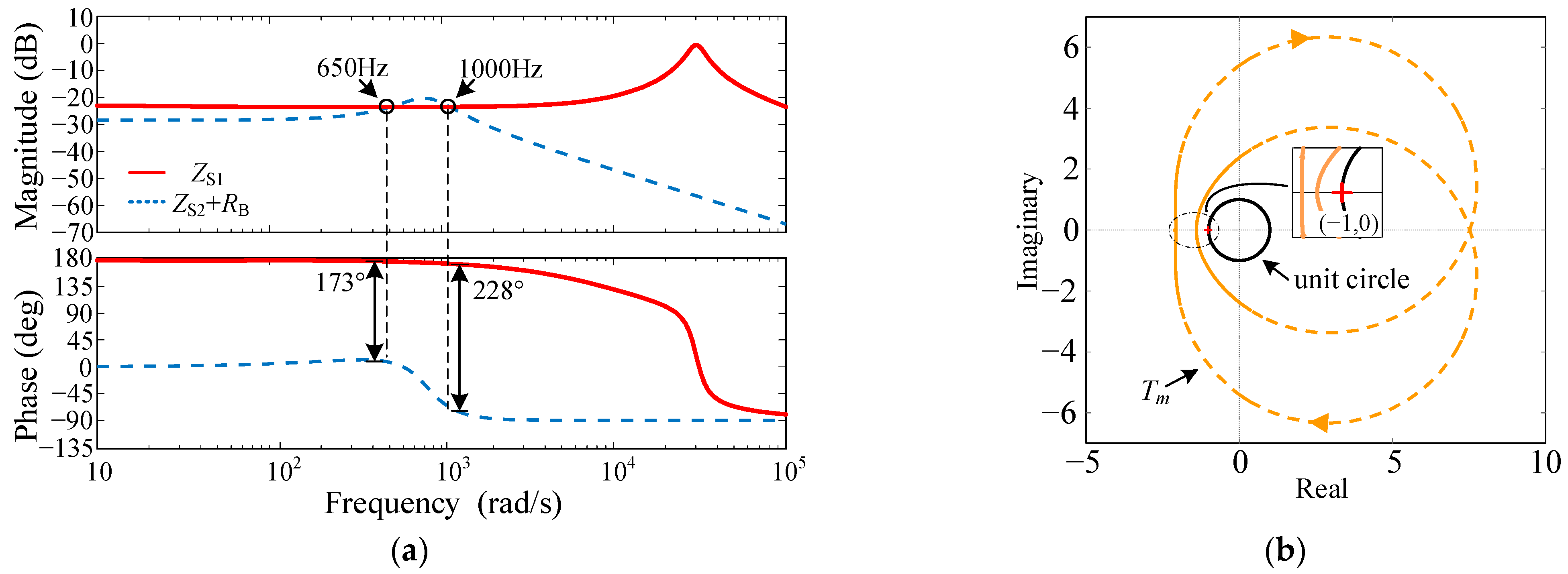
3.1. Stability Analysis of Battery Energy Storage Systems
3.2. Stability Improvement Mechanisms for Battery Energy Storage Systems
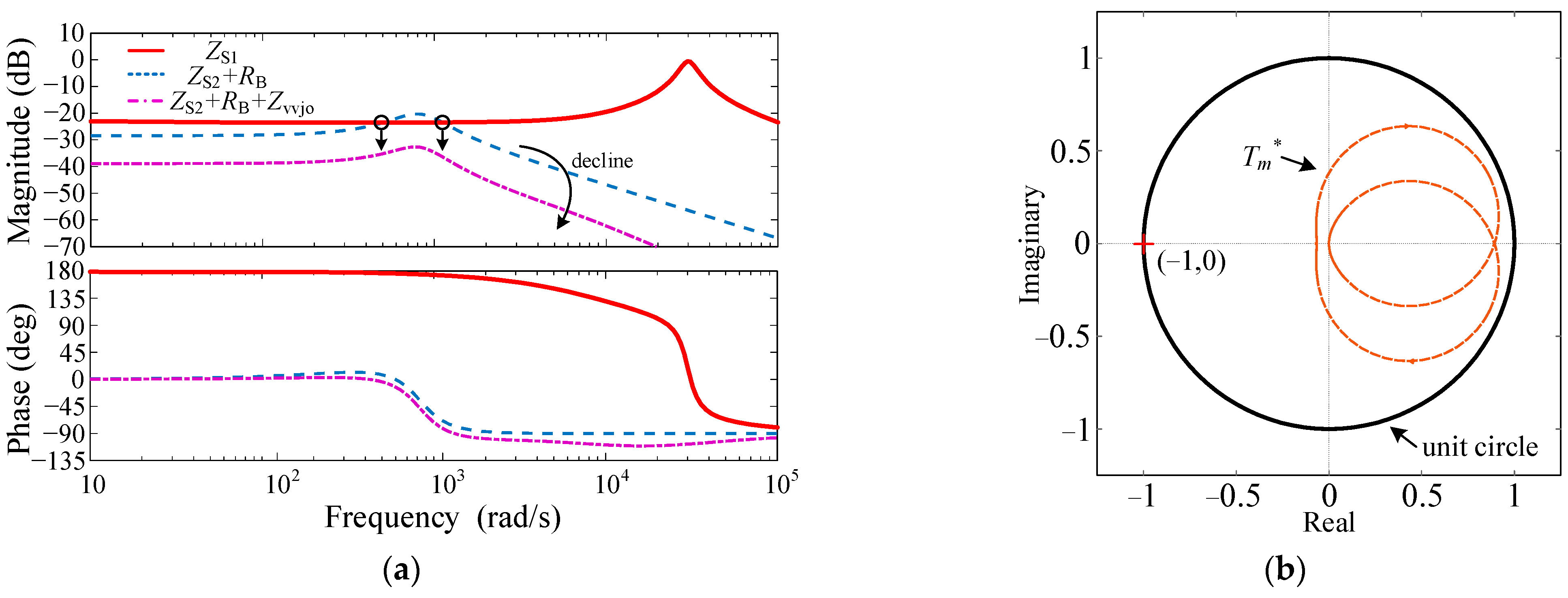
3.3. Impedance Remodeling Strategy Based on Input Voltage Feedforward
- (1)
- Within the frequency interval (fsc − Δfsc/2, fsc + Δfsc/2), Zvvjo(s) is configured to behave as positive resistance. The bandwidth Δfsc is defined as Δfsc = fsc/QR, which encompasses the frequencies centered around fsc. Here, QR represents the quality factor, with higher QR values leading to a narrower effective frequency range for Zvvjo(s). Additionally, kr is a positive constant that must be determined through further analysis.
- (2)
- Beyond the defined frequency range (fsc − Δfsc/2, fsc + Δfsc/2), Zvvjo(s) is set to zero, rendering it inactive outside this region.
4. Simulation and Experimentation
4.1. Simulation Verification
4.2. Experimental Verification
5. Conclusions
Author Contributions
Funding
Data Availability Statement
Conflicts of Interest
References
- Nazaralizadeh, S.; Banerjee, P.; Srivastava, A.K.; Famouri, P. Battery Energy Storage Systems: A Review of Energy Management. Syst. Health Metr. 2024, 17, 1250. [Google Scholar]
- Stanko, P.; Tkac, M.; Kajanova, M.; Roch, M. Impacts of Electric Vehicle Charging Station with Photovoltaic System and Battery Energy Storage System on Power Quality in Microgrid. Energies 2024, 17, 371. [Google Scholar] [CrossRef]
- Li, J.; Fang, Z.; Wang, Q.; Zhang, M.; Li, Y.; Zhang, W. Optimal Operation with Dynamic Partitioning Strategy for Centralized Shared Energy Storage Station with Integration of Large-scale Renewable Energy. J. Mod. Power Syst. Clean Energy 2024, 12, 359–370. [Google Scholar] [CrossRef]
- Naguib, M.; Kollmeyer, P.; Emadi, A. Lithium-Ion Battery Pack Robust State of Charge Estimation, Cell Inconsistency, and Balancing: Review. IEEE Access 2021, 9, 50570–50582. [Google Scholar] [CrossRef]
- Li, X.; Lyu, L.; Geng, G.; Jiang, Q.; Zhao, Y.; Ma, F.; Jin, M. Power Allocation Strategy for Battery Energy Storage System Based on Cluster Switching. IEEE Trans. Ind. Electron. 2022, 69, 3700–3710. [Google Scholar] [CrossRef]
- Song, J.; Zhang, W.; Liang, H.; Jiang, J.; Yu, W. Fault-Tolerant Control for a Flexible Group Battery Energy Storage System Based on Cascaded Multilevel Converters. Energies 2018, 11, 171. [Google Scholar] [CrossRef]
- Ghaeminezhad, N.; Ouyang, Q.; Hu, X.; Xu, G.; Wang, Z. Active Cell Equalization Topologies Analysis for Battery Packs: A Systematic Review. IEEE Trans. Power Electron. 2021, 36, 9119–9135. [Google Scholar] [CrossRef]
- Lujun, W.; Jinyang, K.; Min, Z.; Aina, T.; Tiezhou, W.; Xiaoxing, Z.; Jiuchun, J. Efficient and Fast Active Equalization Method for Retired Battery Pack Using Wide Voltage Range Bidirectional Converter and DBSCAN Clustering Algorithm. IEEE Trans. Power Electron. 2022, 37, 13824–13833. [Google Scholar] [CrossRef]
- Zhang, R.; Wang, S.; Cao, Z.; Chung, H.S.H. A Galvanic-Isolated Automatic Equalization Charging System for Series-Connected Cells or Battery Strings. IEEE Trans. Ind. Electron. 2024, 71, 13943–13954. [Google Scholar] [CrossRef]
- Cao, Y.; Ngo, M.; Yan, N.; Dong, D.; Burgos, R.; Ismail, A. Design and Implementation of an 18-kW 500-kHz 98.8% Efficiency High-Density Battery Charger with Partial Power Processing. IEEE J. Emerg. Sel. Top. Power Electron. 2022, 10, 7963–7975. [Google Scholar] [CrossRef]
- Ye, D.; Martinez, S. A Three-Port DC-DC Converter with Partial Power Regulation for a Photovoltaic Generator Integrated with Energy Storage. Electronics 2024, 13, 2304. [Google Scholar] [CrossRef]
- Santos, N.G.F.d.; Zientarski, J.R.R.; Martins, M.L.d.S. A Review of Series-Connected Partial Power Converters for DC–DC Applications. IEEE J. Emerg. Sel. Top. Power Electron. 2022, 10, 7825–7838. [Google Scholar] [CrossRef]
- Anzola, J.; Aizpuru, I.; Arruti, A. Non-Isolated Partial Power Converter for Electric Vehicle Fast Charging Stations. In Proceedings of the 2020 IEEE 11th International Symposium on Power Electronics for Distributed Generation Systems (PEDG), Dubrovnik, Croatia, 28 September–1 October 2020; pp. 18–22. [Google Scholar]
- Tian, Y.; Li, Y.; Cao, B.; Wei, F.; Zheng, Y. Systematic Topology Synthesis and Power Density Visualization of Partial Power Processing Architecture. IEEE Trans. Power Electron. 2025, 40, 1346–1358. [Google Scholar] [CrossRef]
- Anzola, J.; Aizpuru, I.; Romero, A.A.; Loiti, A.A.; Lopez-Erauskin, R.; Artal-Sevil, J.S.; Bernal, C. Review of Architectures Based on Partial Power Processing for DC-DC Applications. IEEE Access 2020, 8, 103405–103418. [Google Scholar] [CrossRef]
- Gsous, O.; Rizk, R.; Barbón, A.; Georgious, R. Review of DC-DC Partial Power Converter Configurations and Topologies. Energies 2024, 17, 1496. [Google Scholar] [CrossRef]
- Xue, F.; Yu, R.; Huang, A. A Family of Ultrahigh Efficiency Fractional dc–dc Topologies for High Power Energy Storage Device. IEEE J. Emerg. Sel. Top. Power Electron. 2021, 9, 1420–1427. [Google Scholar] [CrossRef]
- Sang, X.; Gao, S.; Wang, Y.; Xu, D. A High Step-up Partial Power Regulated DC–DC Converter with Zero Input Current Ripple and Wide Input Range. IEEE Trans. Ind. Electron. 2024, 71, 14097–14110. [Google Scholar] [CrossRef]
- Mira, M.C.; Zhang, Z.; Jørgensen, K.L.; Andersen, M.A.E. Fractional Charging Converter with High Efficiency and Low Cost for Electrochemical Energy Storage Devices. IEEE Trans. Ind. Appl. 2019, 55, 7461–7470. [Google Scholar] [CrossRef]
- Hou, N.; Ding, L.; Gunawardena, P.; Wang, T.; Zhang, Y.; Li, Y.W. A Partial Power Processing Structure Embedding Renewable Energy Source and Energy Storage Element for Islanded DC Microgrid. IEEE Trans. Power Electron. 2023, 38, 4027–4039. [Google Scholar] [CrossRef]
- Tang, C.Y.; Wang, C.W.; Chien, H.C. A Dynamic Smooth Transition Control Integrated with Hybrid Modulation for Wide Output Voltage Range Bidirectional CLLC Resonant Converters. IEEE Trans. Power Electron. 2023, 38, 13587–13593. [Google Scholar] [CrossRef]
- Zheng, K.; Zhang, W.; Wu, X.; Jing, L.; Zhao, H. Partial-Power Conversion for Increased Energy Storage Capability of Li-Ion Battery Energy Storage System. IEEE Trans. Ind. Electron. 2024, 71, 4742–4752. [Google Scholar] [CrossRef]
- Cheng, C.C.; Gao, J.T.; Lo, K.Y. Hot-Swappable Grid-Connected Multilevel Converter for Battery Energy Storage System. IEEE Trans. Circuits Syst. II Express Briefs 2020, 67, 2109–2113. [Google Scholar] [CrossRef]
- Nabinejad, A.; Rajaei, A.; Mardaneh, M. A Systematic Approach to Extract State-Space Averaged Equations and Small-Signal Model of Partial-Power Converters. IEEE J. Emerg. Sel. Top. Power Electron. 2020, 8, 2475–2483. [Google Scholar] [CrossRef]
- Agamy, M.S.; Harfman-Todorovic, M.; Elasser, A.; Chi, S.; Steigerwald, R.L.; Sabate, J.A.; McCann, A.J.; Zhang, L.; Mueller, F.J. An Efficient Partial Power Processing DC/DC Converter for Distributed PV Architectures. IEEE Trans. Power Electron. 2014, 29, 674–686. [Google Scholar] [CrossRef]
- Kwon, Y.D.; Freijedo, F.D.; Wijekoon, T.; Liserre, M. Series Resonant Converter-Based Full-Bridge DC–DC Partial Power Converter for Solar PV. IEEE J. Emerg. Sel. Top. Power Electron. 2024, 12, 1719–1729. [Google Scholar] [CrossRef]
- Gu, R.; Duan, J.; Zhang, D.; Liu, H. Regulated Series Hybrid Converter With DC Transformer (DCX) for Step-Up Power Conversion. IEEE Trans. Ind. Electron. 2022, 69, 8961–8971. [Google Scholar] [CrossRef]
- Zhang, X.; Ruan, X.; Zhong, Q.C. Improving the Stability of Cascaded DC/DC Converter Systems via Shaping the Input Impedance of the Load Converter with a Parallel or Series Virtual Impedance. IEEE Trans. Ind. Electron. 2015, 62, 7499–7512. [Google Scholar] [CrossRef]
- Cespedes, M.; Xing, L.; Sun, J. Constant-Power Load System Stabilization by Passive Damping. IEEE Trans. Power Electron. 2011, 26, 1832–1836. [Google Scholar] [CrossRef]
- Rahimi, A.M.; Emadi, A. Active Damping in DC/DC Power Electronic Converters: A Novel Method to Overcome the Problems of Constant Power Loads. IEEE Trans. Ind. Electron. 2009, 56, 1428–1439. [Google Scholar] [CrossRef]
- Cai, W.; Yi, F.; Cosoroaba, E.; Fahimi, B. Stability Optimization Method Based on Virtual Resistor and Nonunity Voltage Feedback Loop for Cascaded DC–DC Converters. IEEE Trans. Ind. Appl. 2015, 51, 4575–4583. [Google Scholar] [CrossRef]
- Liu, B.; Ben, H.; Zhang, X.; Meng, T.; Wang, X. Stabilization of a Cascaded AC–DC–DC System with Small Bus Capacitance Based on Small Signal Analysis. IEEE Trans. Ind. Appl. 2018, 54, 4650–4659. [Google Scholar] [CrossRef]
- Purgat, P.; Shah, S.; Qin, Z.; Bauer, P. Design criteria of solid-state circuit breaker for low-voltage microgrids. IET Power Electron. 2021, 14, 1284–1299. [Google Scholar] [CrossRef]
- Liu, F.; Ruan, X.; Huang, X.; Qiu, Y. Second Harmonic Current Reduction for Two-Stage Inverter With DCX-LLC Resonant Converter in Front-End DC–DC Converter: Modeling and Control. IEEE Trans. Power Electron. 2021, 36, 4597–4609. [Google Scholar] [CrossRef]




















| Symbol | Symbolic Meaning | Formula |
|---|---|---|
| yin_op(s) | Input admittance | D2Cos/G1 |
| gii_op(s) | Load-to-input current transfer function | D(RcCos + 1)/G1 |
| gdi(s) | Control-to-input current transfer function | P/Vo + VoCos/G1 |
| gvv_op(s) | Input-to-output voltage transfer function | D(RcCos + 1)/G1 |
| zo_op(s) | Output impedance | −(sLH + RL)(RcCos + 1)/G1 |
| Descriptions | Acronym | Values |
|---|---|---|
| DC-link voltage | vdc | 400 V |
| Output voltage | vo | −80 V~80 V |
| Battery voltage | VB | 340 V~460 V |
| LLC resonant inductor | Lγ | 5.76 μH |
| LLC resonant capacitor | Cγ | 110 nF |
| LLC switching frequency | fLLC | 155 kHz |
| H-bridge switching frequency | fH | 100 kHz |
| Input filter capacitor | Ce | 600 μF |
| Output filter capacitor | Co | 22 μF |
| Output filtering inductance | LH | 40 μH |
Disclaimer/Publisher’s Note: The statements, opinions and data contained in all publications are solely those of the individual author(s) and contributor(s) and not of MDPI and/or the editor(s). MDPI and/or the editor(s) disclaim responsibility for any injury to people or property resulting from any ideas, methods, instructions or products referred to in the content. |
© 2025 by the authors. Licensee MDPI, Basel, Switzerland. This article is an open access article distributed under the terms and conditions of the Creative Commons Attribution (CC BY) license (https://creativecommons.org/licenses/by/4.0/).
Share and Cite
Li, M.; Wu, Y.; Xi, X.; Liu, H.; Xu, B.; Jing, L. Impedance Reshaping Strategy for Battery Energy Storage Systems Based on Partial Power Conversion. Energies 2025, 18, 189. https://doi.org/10.3390/en18010189
Li M, Wu Y, Xi X, Liu H, Xu B, Jing L. Impedance Reshaping Strategy for Battery Energy Storage Systems Based on Partial Power Conversion. Energies. 2025; 18(1):189. https://doi.org/10.3390/en18010189
Chicago/Turabian StyleLi, Ming, Yucheng Wu, Xiangxin Xi, Haibo Liu, Baizheng Xu, and Long Jing. 2025. "Impedance Reshaping Strategy for Battery Energy Storage Systems Based on Partial Power Conversion" Energies 18, no. 1: 189. https://doi.org/10.3390/en18010189
APA StyleLi, M., Wu, Y., Xi, X., Liu, H., Xu, B., & Jing, L. (2025). Impedance Reshaping Strategy for Battery Energy Storage Systems Based on Partial Power Conversion. Energies, 18(1), 189. https://doi.org/10.3390/en18010189

