Thermodynamic Analysis of the Second Fluid Brayton Cycle for Scramjet Engine
Abstract
1. Introduction
2. Numerical Calculation
2.1. Physical Model
2.2. Numerical Modeling
- (I)
- The first phase of the helium Brayton cycle is the compression stage. The power consumed by the compressor is converted into an enthalpy increase for the helium. The pressure of helium at the outlet of the compressor is determined by the compressor pressure ratio.
- (II)
- In the second phase, the heat is absorbed by the helium, which flows through the thermal protection channel of the combustion chamber.
- (III)
- In the third phase, the enthalpy is released by helium expanding in the fuel pump turbine, compressor and generator.
- (IV)
- Finally, helium exchanges heat with kerosene in the heat exchanger, and its physical parameters are restored to the initial state after being cooled by the kerosene.
3. Results and Analysis
3.1. Distribution of Thermodynamic Cycle Parameters
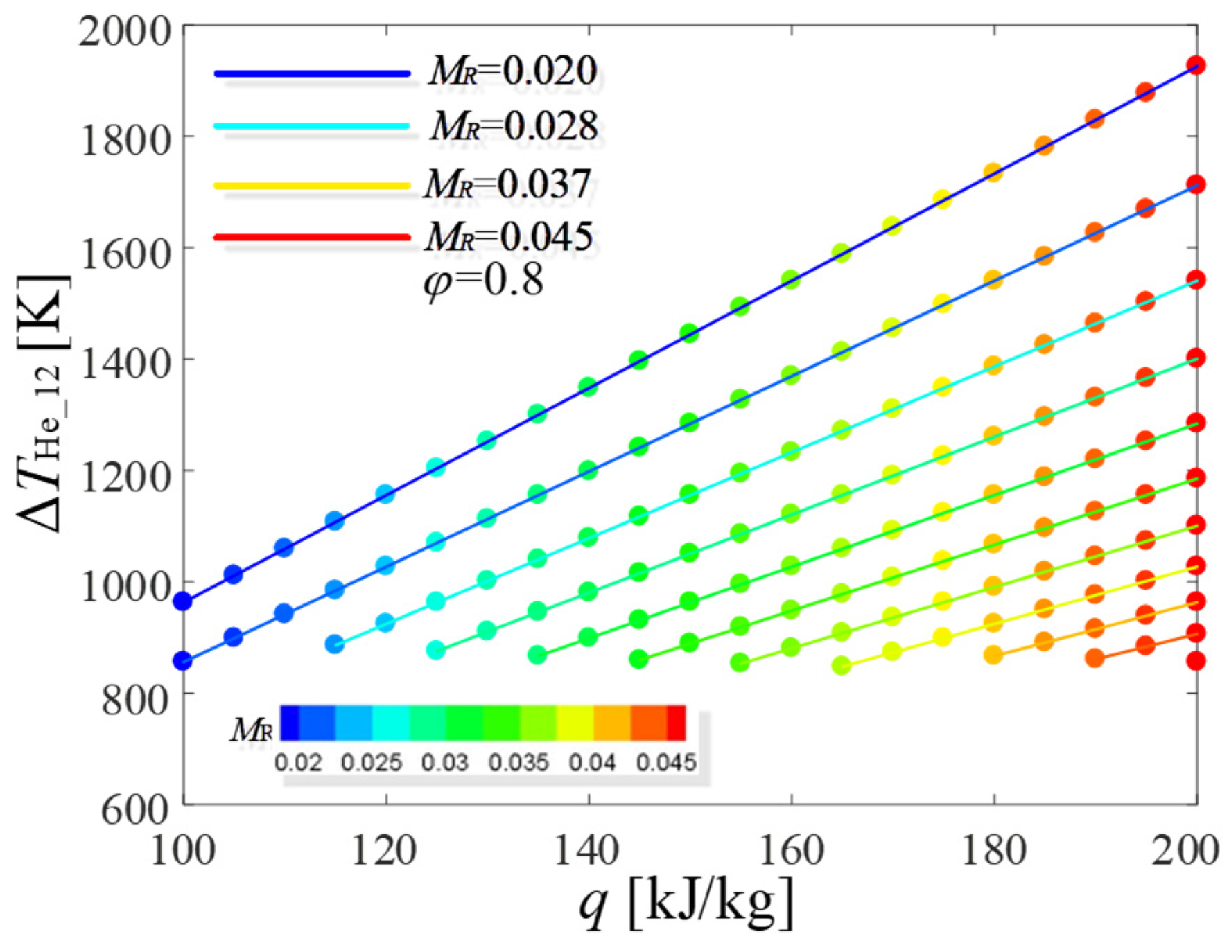
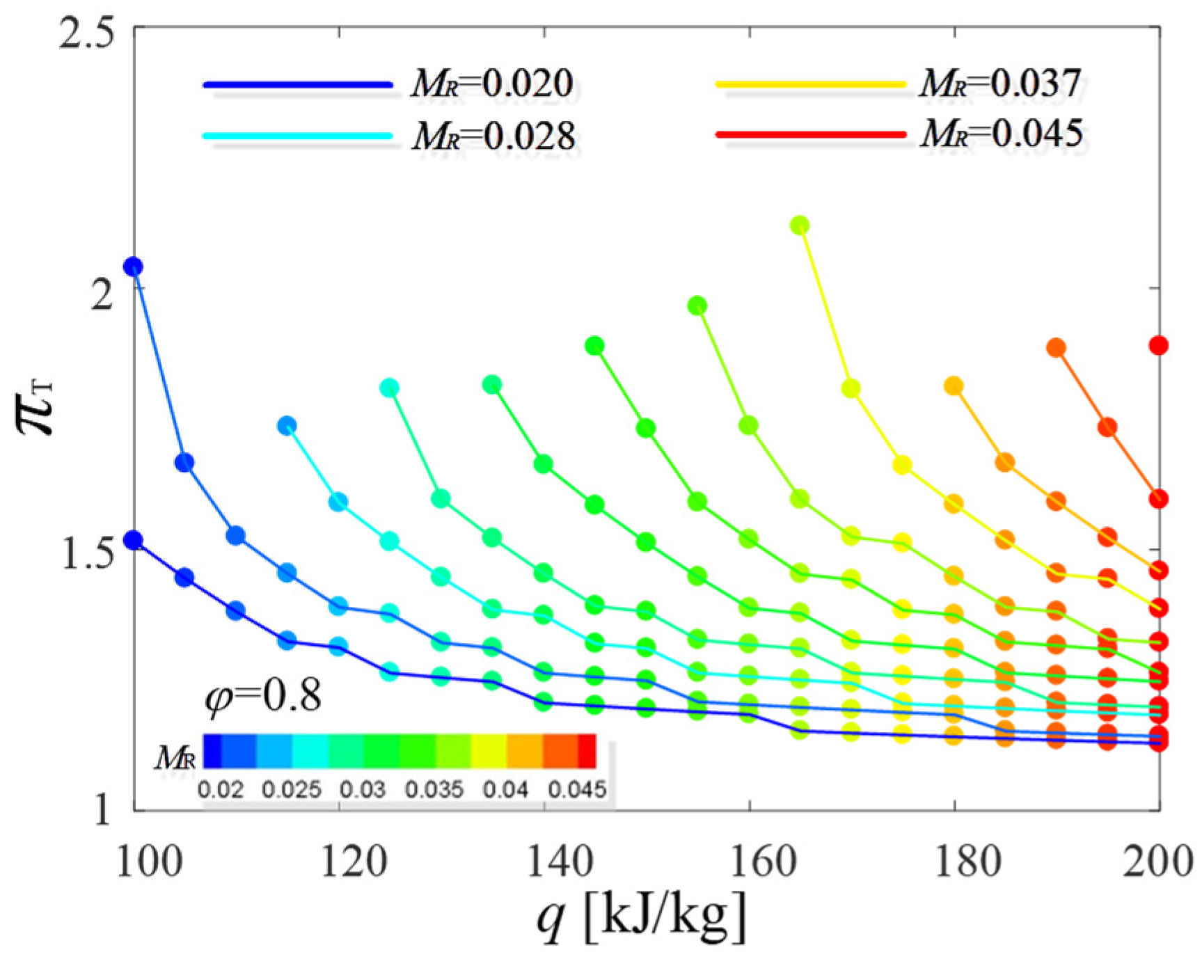
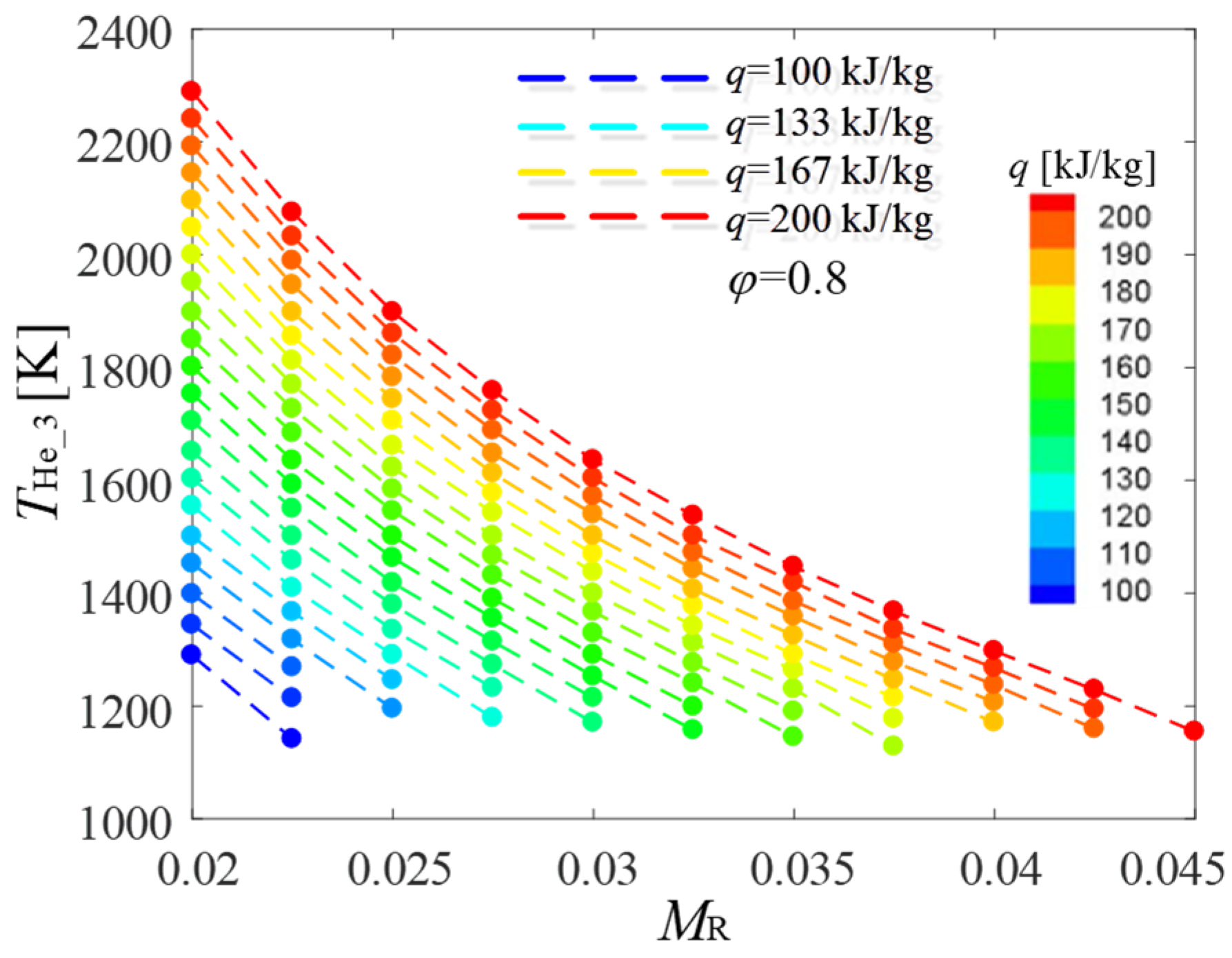
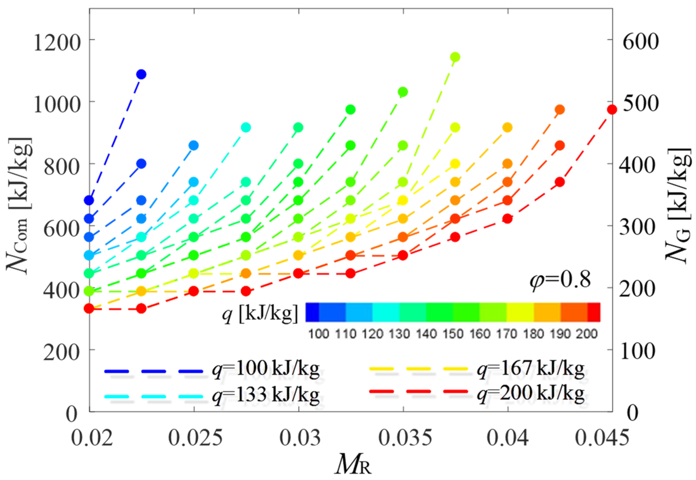
3.2. Effect of Fuel Flow on the Cycle
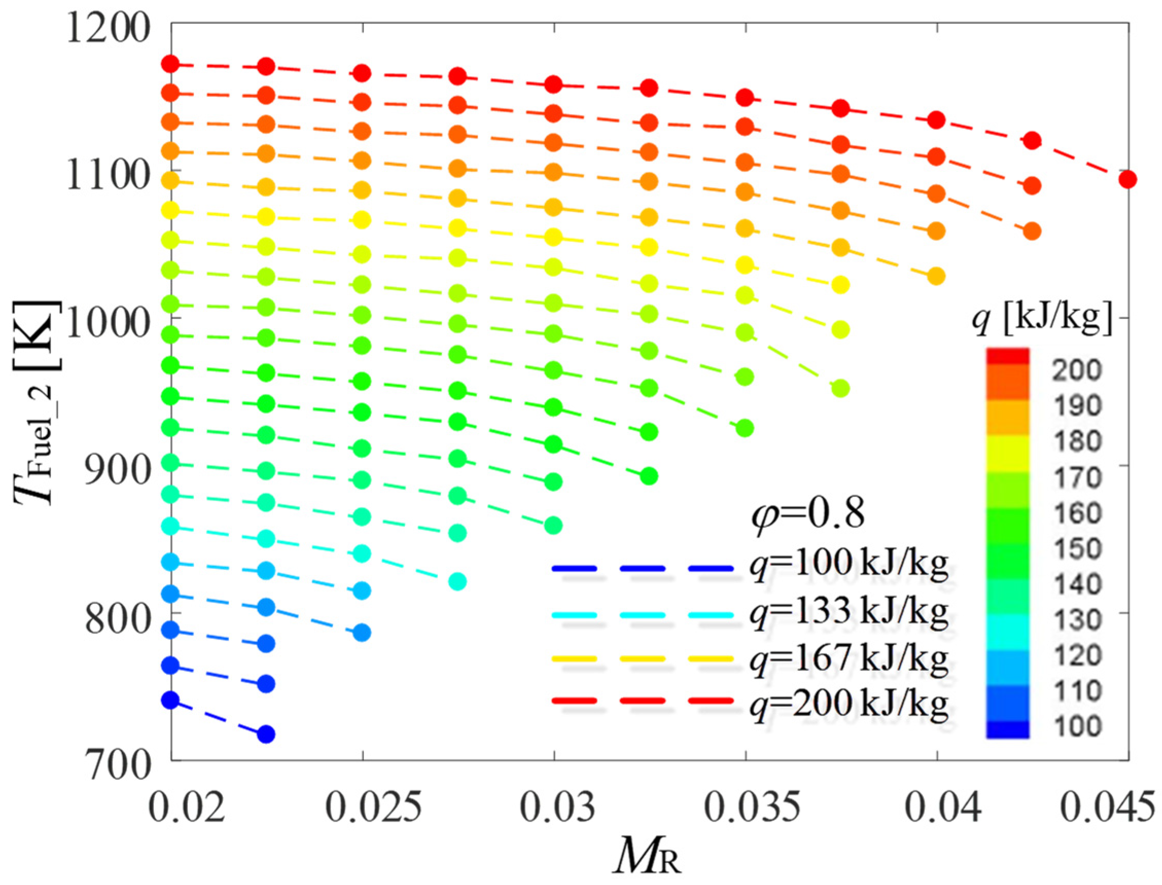
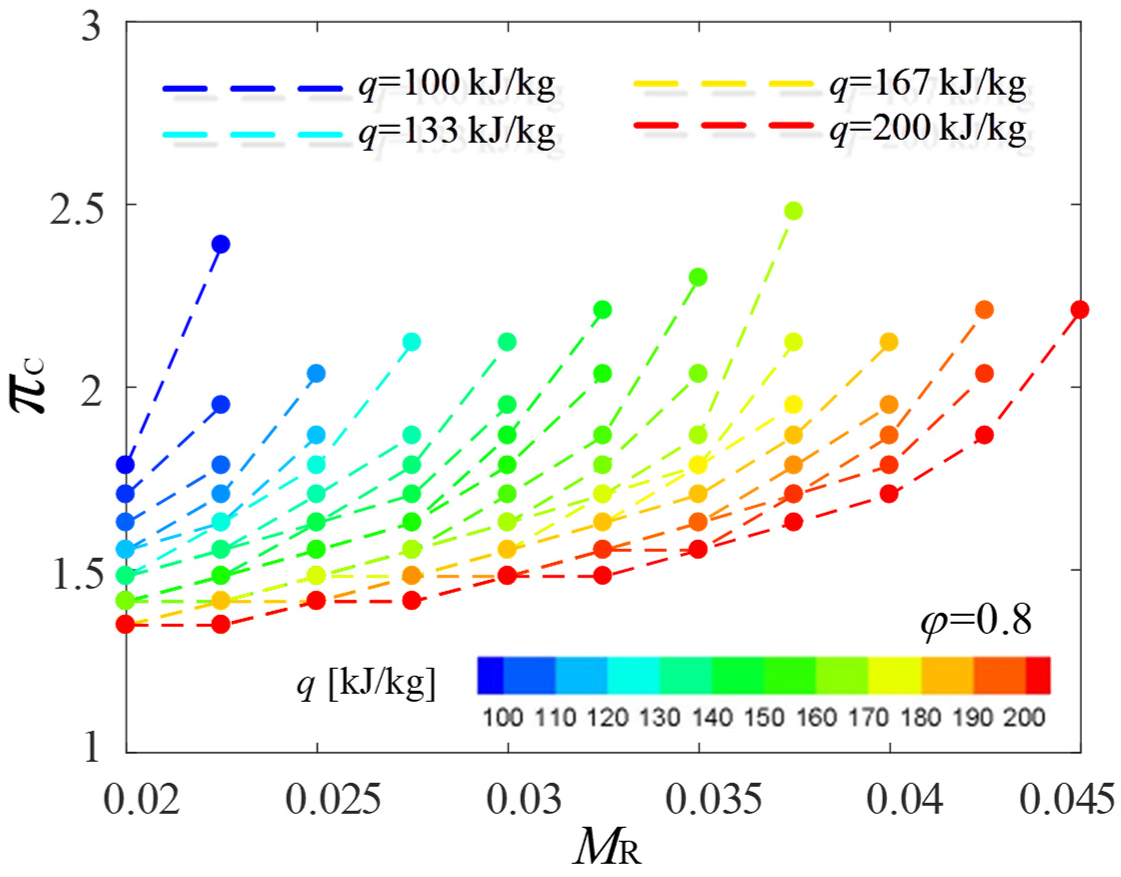
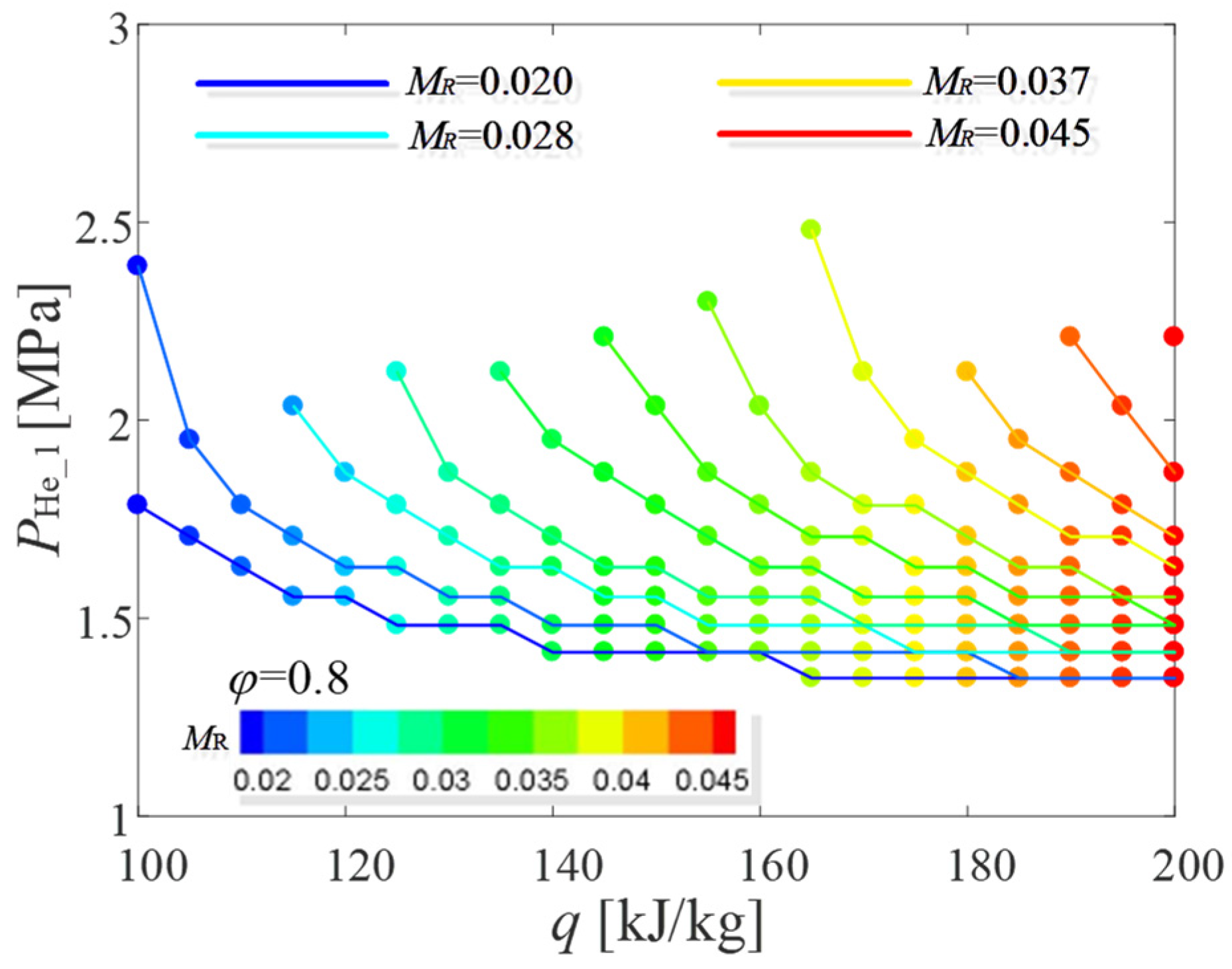
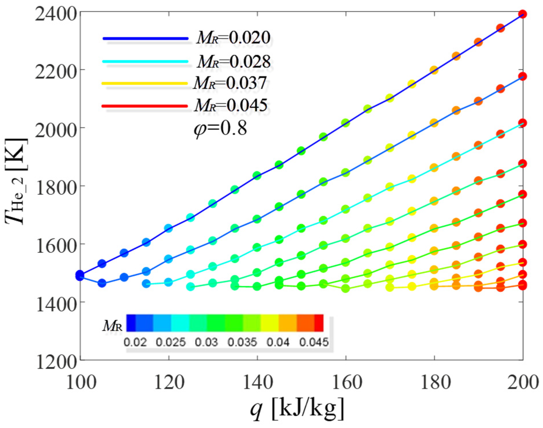
3.3. The Second Fluid Circulation Flow Control Law
4. Conclusions
- (1)
- The thermodynamic analysis model of the second fluid helium closed-cycle was established. The distribution of thermodynamic cycle parameters was explored. The interactions among the wall thermal load of the ramjet, kerosene equivalence ratio, helium cycle temperature, pressure, helium cycle mass flow, turbomachinery power and generator power were obtained.
- (2)
- Within the upper limit of the allowable temperature of kerosene, kerosene with an equivalence ratio of 0.8 can withstand a maximum wall thermal load of 200 kJ/kg, while kerosene with an equivalence ratio of 1.5 can withstand a maximum wall thermal load of 350 kJ/kg. Compared with the traditional direct cooling method, the introduction of the helium circulation system allows kerosene to suffer a higher thermal load.
- (3)
- The introduction of the second fluid circulation system, compared to direct fuel cooling, achieves the same thermal protection effect while saving 2% to 14% of fuel. This is because part of the thermal energy is converted into electrical energy. The circulation system also addresses the power demand for aircraft at high speeds, with power generation reaching 160–500 kJ/kg.
- (4)
- A new method of controlling the helium flow in the closed cycle is proposed according to the thermal load level of the combustion chamber wall. In the range of 0.02~0.045 helium to air mass flow ratio, the helium flow operation lines with different requirements could be designed under different fuel equivalence ratio conditions by adjusting the helium mass flow. Meanwhile, it could be ensured that the closed cycle system could work normally.
- (5)
- The limitations of the helium closed cooling cycle are: first, the control is complicated, and second, the potential risk of leakage.
Author Contributions
Funding
Data Availability Statement
Conflicts of Interest
Nomenclature
| SFC | Second Fluid Cooling |
| CBC | Closed Brayton Cycle |
| NIST | National Institute of Standards and Technology |
| Compressor pressure ratio | |
| Mass ratio of helium to air | |
| Average specific heat capacity | |
| Adiabatic efficiency | |
| Turbine pressure ratio |
References
- Edwards, T. Liquid fuels and propellants for aerospace propulsion: 1903–2003. J. Propuls. Power 2003, 19, 1089–1107. [Google Scholar] [CrossRef]
- Newman, R.W. Oxidation-resistant high-temperature materials. Johns Hopkins APL Tech. Dig. 1993, 14, 24–28. [Google Scholar]
- Sillence, M.A. Hydrocarbon Scramjet Engine Technology Flowpath Component Development; AIAA 2002-5158; The American Institute of Aeronautics and Astronautics: New York, NY, USA, 2002. [Google Scholar]
- Youn, B.; Mills, A.F. Cooling panel optimization for the active cooling system of a hypersonic aircraft. J. Thermophys. Heat Transf. 1995, 9, 136–143. [Google Scholar] [CrossRef]
- Feng, G.; Zhang, J.; Luan, G.; Qiu, H.; Bao, W. Research on diffusion characteristics of liquid jet effected by shock wave in supersonic high-enthalpy crossflow. Int. J. Heat Mass Transf. 2024, 222, 125181. [Google Scholar] [CrossRef]
- Zhang, S.; Qin, J.; Zhou, W.; Bao, W. Review on regenerative cooling technology of hypersonic propulsion. J. Propuls. Technol. 2018, 39, 2177–2190. [Google Scholar]
- Feng, G.; Zhang, J.; Chen, M.; Gao, J.; Bao, W. Mathematical representation of liquid jet diffusion characteristics effected with evaporation process in supersonic crossflow. Fuel 2023, 353, 129110. [Google Scholar] [CrossRef]
- Salakhutdinov, G.M. Development of methods of cooling liquid propellant rocket engines. In History of Rocketry and Astronautics; American Astronautical Society: Springfield, VA, USA, 1990; pp. 115–122. [Google Scholar]
- Gascoin, N.; Abraham, G.; Gillard, P. Thermal and hydraulic effects of coke deposit in hydrocarbon pyrolysis process. J. Thermophys. Heat Transf. 2012, 26, 57–65. [Google Scholar] [CrossRef]
- Ma, J. Research on Control Method for Regeneratively-Cooled Scramjet Engine with Hydrocarbon Fuel; Harbin Institute of Technology: Harbin, China, 2020. [Google Scholar]
- Bao, W.; Li, X.; Qin, J.; Zhou, W.; Yu, D. Efficient utilization of heat sink of hydrocarbon fuel for regeneratively cooled scramjet. Appl. Therm. Eng. 2012, 33–34, 208–218. [Google Scholar] [CrossRef]
- Zhang, J.; Wang, Q.; Zhang, J. Thermal-insulation performance test technology for regenerated cooling structure. J. Exp. Mech. 2017, 32, 827–832. [Google Scholar]
- Qin, A.; Zhang, D.; Wei, Y.; Zhou, Z.; Zhang, J. Multi-objective optimization on regenerative cooling structure of scramjet. J. Propuls. Technol. 2018, 39, 1331–1339. [Google Scholar]
- Qin, A.; Zhou, Z.; Zhang, D. Optimal design on cooling channel of scramjet combustor. Comput. Simul. 2017, 34, 49–53+136. [Google Scholar]
- Li, X.C. Research of the Scramjet Active Cooling System Scheme Based on Thermoelectric Conversion; National University of Defense Technology: Changsha, China, 2017. [Google Scholar]
- Li, X.C.; Wang, Z.W. Analysis of potential usage for heat of scramjet wall. J. Propuls. Technol. 2017, 38, 275–280. [Google Scholar]
- Li, X.C.; Wang, Z.W. Parametric of an integrated thermoelectric generation thermal management system for hypersonic vehicle. J. Natl. Univ. Def. Technol. 2016, 38, 43–47+86. [Google Scholar]
- Robert, J.B.; Balepin, V. Cooling System for High-Speed Vehicles and Method of Cooling High-Speed. Vehicles. Patent U.S. US20070006594, 11 January 2007. [Google Scholar]
- Balepin, V. High speed propulsion cycles. Adv. Propuls. Technol. High Speed Aircr. 2008, 2, 1–32. [Google Scholar]
- Bao, W.; Qin, J.; Zhou, W. One new type closed cooling cycle of scramjet engine. J. Eng. Thermophys. 2008, 12, 1985–1989. [Google Scholar]
- Miao, H.; Wang, Z.; Niu, Y. Key issues and cooling performance comparison of different closed Brayton cycle based cooling systems for scramjet. Appl. Therm. Eng. 2020, 179, 115751. [Google Scholar] [CrossRef]
- Miao, H.; Wang, Z.; Niu, Y. Performance analysis of cooling system based on improved supercritical CO2 Brayton cycle for scramjet. Appl. Therm. Eng. 2020, 167, 114774. [Google Scholar] [CrossRef]



















| Pressure/ Temperature | 700 K | 750 K | 800 K | 850 K | 900 K | 950 K | 1000 K | 1050 K | 1100 K | 1150 K | 1200 K |
|---|---|---|---|---|---|---|---|---|---|---|---|
| 4.5 MPa | 4060.9 | 3777.8 | 3536.3 | 3515.3 | 3553.9 | 3612 | 3678.7 | 3752.3 | 3836.2 | 3937.7 | 4069 |
| 5.0 MPa | 3854.2 | 3838.2 | 3593.1 | 3546.3 | 3572.8 | 3624.9 | 3688.3 | 3759.8 | 3842.2 | 3942.8 | 4073.3 |
Disclaimer/Publisher’s Note: The statements, opinions and data contained in all publications are solely those of the individual author(s) and contributor(s) and not of MDPI and/or the editor(s). MDPI and/or the editor(s) disclaim responsibility for any injury to people or property resulting from any ideas, methods, instructions or products referred to in the content. |
© 2024 by the authors. Licensee MDPI, Basel, Switzerland. This article is an open access article distributed under the terms and conditions of the Creative Commons Attribution (CC BY) license (https://creativecommons.org/licenses/by/4.0/).
Share and Cite
Luo, J.; Qi, X.; Jiao, S.; Xiao, Y.; Huang, S.; Yang, S. Thermodynamic Analysis of the Second Fluid Brayton Cycle for Scramjet Engine. Energies 2024, 17, 6003. https://doi.org/10.3390/en17236003
Luo J, Qi X, Jiao S, Xiao Y, Huang S, Yang S. Thermodynamic Analysis of the Second Fluid Brayton Cycle for Scramjet Engine. Energies. 2024; 17(23):6003. https://doi.org/10.3390/en17236003
Chicago/Turabian StyleLuo, Jiamao, Xin Qi, Si Jiao, Yunlei Xiao, Shengfang Huang, and Shunhua Yang. 2024. "Thermodynamic Analysis of the Second Fluid Brayton Cycle for Scramjet Engine" Energies 17, no. 23: 6003. https://doi.org/10.3390/en17236003
APA StyleLuo, J., Qi, X., Jiao, S., Xiao, Y., Huang, S., & Yang, S. (2024). Thermodynamic Analysis of the Second Fluid Brayton Cycle for Scramjet Engine. Energies, 17(23), 6003. https://doi.org/10.3390/en17236003

