Valorization of Spent Mushroom Compost Through a Cascading Use Aproach
Abstract
1. Introduction
2. Materials and Methods
2.1. Biomass: Fractions and Sample Treatment
2.2. Qualitative Assessment of Laccase Enzyme Presence in SMC
2.3. Ash Content Reduction
2.4. Torrefaction Reactor Design and Setup
2.5. Evaluation of Operating Parameters
2.6. Mass and Energy Yields of Solid and Gaseous Products
2.7. Sample Characterization
3. Results and Discussion
3.1. Qualitative Assessment of Laccase Presence in SMC
3.2. Effect of Number of Steps and Washing Time on Ash Content Reduction
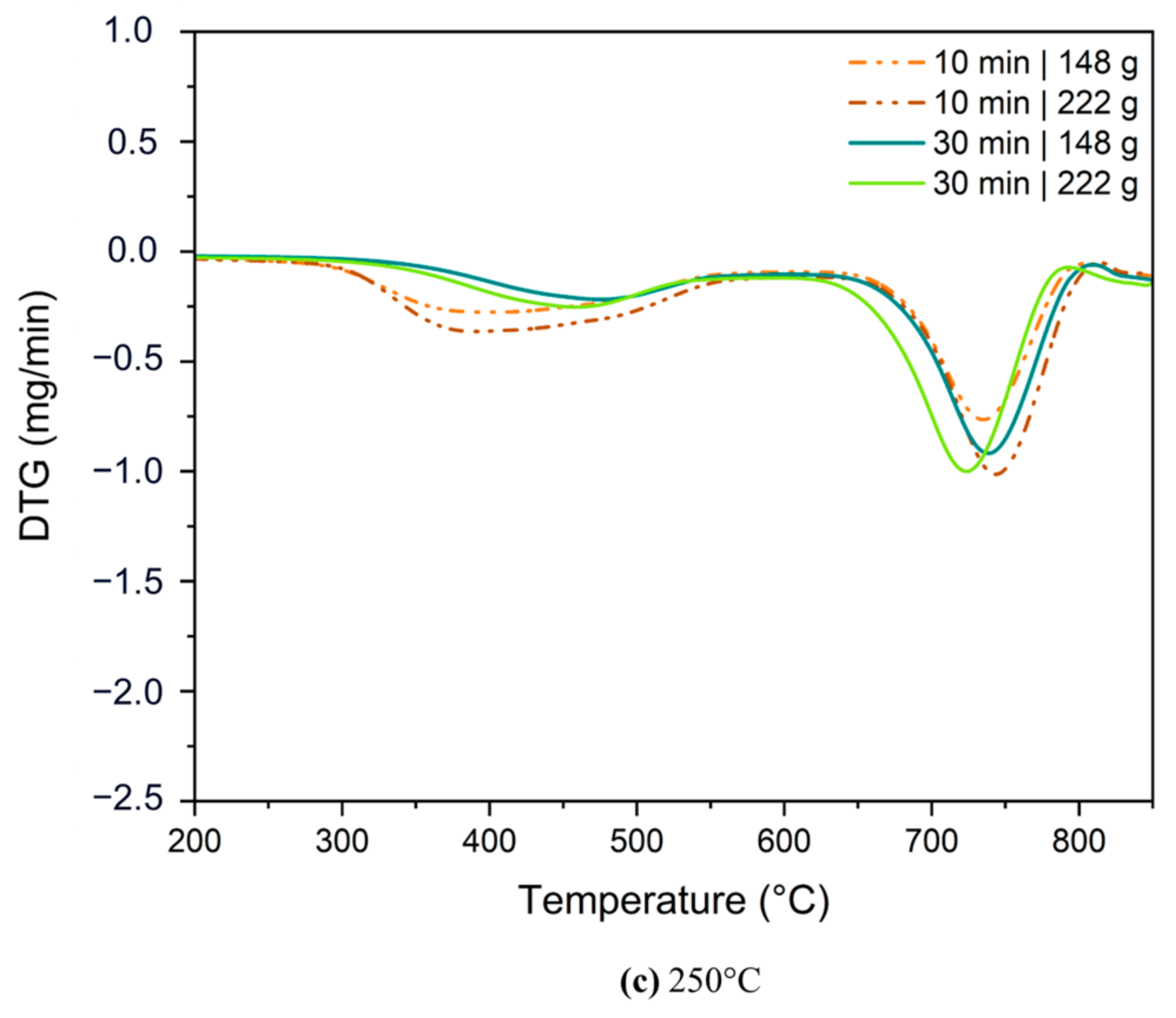
3.3. Effect of Operating Parameters During SMC Torrefaction
3.4. Effect of Biomass Fraction During Torrefaction
- (I)
- Moisture evaporation from the biomass and water release from degraded chemical structures. This process occurs between zones 1 and 2 of the reactor and moves through its entire length due to the fluid dynamics of the equipment.
- (II)
- Hemicellulose degradation. This is the most labile component compared to cellulose and lignin and releases a larger amount of water because of its natural non-crystalline structure, providing greater water retention capacity. During exposure to torrefaction temperatures, the glycosidic bonds fracture, releasing water and polysaccharides [107].
- (III)
- The presence of ash and inorganic compounds such as calcium oxides in the SMC plays a significant role in the formation of CaCO3 in the presence of water through the formation of calcium hydroxide [108] (Equation (4)). This exothermic reaction occurs during torrefaction, thus accelerating the decomposition reactions in an oxidative atmosphere.
- (IV)
- Due to degradation reactions, significant amounts of CO2 are released. In the presence of calcium hydroxides, CO2 can form CaCO3 complexes in the warmest areas of the reactor. These particles exhibit higher temperatures inside the reactor due to accelerated conduction phenomena, thus favoring the reaction [107] (Equation (5)).
Industrial Approximation
4. Conclusions
- -
- Lacasse was detected in the SMC (Agaricus bisporus) studied. Therefore, it is suggested to study the feasibility of extracting this enzyme before carrying out any thermal or biological treatments on this biomass to avoid wasting its biological potential. Further studies could determine the impact of implementing a sequential process to use the obtained residue after enzyme extraction.
- -
- Regarding the water washing pretreatments, it was observed that the number of steps (1 or 2) and the residence time (10 or 20 min) did not have a statistically significant impact on the reduction in ash content. Notably, the two-step, 10 min treatment resulted in a remarkable 13.8% reduction in ash content, which led to a significant 49.46% increase in calorific value. This observation highlights the promising potential of this pretreatment approach.
- -
- In the oxidative torrefaction process, residence time had a greater effect compared to temperature, while the amount of initial mass had no statistically significant effect. Mild torrefaction conditions (190 °C and 10 min) increased the content of volatile material and decreased fixed carbon, possibly because the devolatilization and decomposition reactions of the biomass were not as relevant as the oxidation reactions. Moderate and severe conditions favored a decrease in volatile material and an increase in fixed carbon. In most conditions evaluated, the calorific value increased, with up to a 17% increase observed for the conditions of 250 °C, 10 min, and 148 °C.
Supplementary Materials
Author Contributions
Funding
Data Availability Statement
Acknowledgments
Conflicts of Interest
References
- Antunes, F.; Marcal, S.; Taofiq, O.; Morais, A.; Freitas, A.; Ferreria, I.; Pintado, M. Valorization of Mushroom By-Products as a Source of Value-Added Compounds and Potential Applications. Molecules 2020, 25, 2672. [Google Scholar] [CrossRef] [PubMed]
- McGee, C.F. Microbial ecology of the Agaricus bisporus mushroom cropping process. Appl. Microbiol. Biotechnol. 2018, 102, 1075–1083. [Google Scholar] [CrossRef] [PubMed]
- Vieira, F.R.; Pecchia, J.A. Bacterial Community Patterns in the Agaricus bisporus Cultivation System, from Compost Raw Materials to Mushroom Caps. Microb. Ecol. 2022, 84, 20–32. [Google Scholar] [CrossRef] [PubMed]
- Ban, G.-H.; Kim, J.; Kim, S.; Rhee, M.; Choi, S.; Hwang, I.; Kim, S.R. Microbial succession during button mushroom (Agaricus bisporus) production evaluated via high-throughput sequencing. Food Microbiol. 2023, 114, 104307. [Google Scholar] [CrossRef]
- Umor, N.A.; Ismail, S.; Abdullah, S.; Huzaifah, M.; Huzir, N.; Mahmood, N.; Zahrim, A. Zero waste management of spent mushroom compost. J. Mater. Cycles Waste Manag. 2021, 23, 1726–1736. [Google Scholar] [CrossRef]
- Leong, Y.K.; Ma, T.-W.; Chang, J.-S.; Yang, F.-C. Recent advances and future directions on the valorization of spent mushroom substrate (SMS): A review. Bioresour. Technol. 2022, 344 Pt A, 126157. [Google Scholar] [CrossRef]
- Slezak, R.; Krzystek, L.; Ledakowicz, S. Thermogravimetric analysis coupled with mass spectrometry of spent mushroom substrate and its fractions. J. Anal. Appl. Pyrolysis 2018, 133, 1–8. [Google Scholar] [CrossRef]
- Dias, E.S.; Zied, D.C.; Pardo-Gimenez, A. Revisiting the casing layer: Casing materials and management in Agaricus mushroom cultivation. Ciênc. Agrotecnol. 2021, 45, e0001R21. [Google Scholar] [CrossRef]
- Urrego, J.M.G.; Jaramillo, S.A.Y. Caracterización nutricional del residuo del cultivo de la seta Agaricus bisporus como alimento potencial para bovinos. CES Med. Vet. Zootec. 2013, 8, 34–56. [Google Scholar]
- Atallah, E.; Zeaiter, J.; Ahmad, M.N.; Leahy, J.J.; Kwapinski, W. Hydrothermal carbonization of spent mushroom compost waste compared against torrefaction and pyrolysis. Fuel Process. Technol. 2021, 216, 106795. [Google Scholar] [CrossRef]
- Ruangjanda, S.; Iwai, C.B.; Greff, B.; Chang, S.W.; Ravindran, B. Valorization of spent mushroom substrate in combination with agro-residues to improve the nutrient and phytohormone contents of vermicompost. Environ. Res. 2022, 214 Pt 1, 113771. [Google Scholar] [CrossRef] [PubMed]
- Leong, Y.K.; Varjani, S.; Lee, D.-J.; Chang, J.-S. Valorization of spent mushroom substrate for low-carbon biofuel production: Recent advances and developments. Bioresour. Technol. 2022, 363, 128012. [Google Scholar] [CrossRef] [PubMed]
- Robinson, B.; Winans, K.; Kendall, A.; Dlott, J.; Dlott, F. A life cycle assessment of Agaricus bisporus mushroom production in the USA. Int. J. Life Cycle Assess. 2019, 24, 456–467. [Google Scholar] [CrossRef]
- Dorr, E.; Koegler, M.; Gabrielle, B.; Aubry, C. Life cycle assessment of a circular, urban mushroom farm. J. Clean. Prod. 2021, 288, 125668. [Google Scholar] [CrossRef]
- Paula, F.S.; Tatti, E.; Abram, F.; Wilson, J.; O’Flaherty, V. Stabilisation of spent mushroom substrate for application as a plant growth-promoting organic amendment. J. Environ. Manag. 2017, 196, 476–486. [Google Scholar] [CrossRef]
- Joniec, J.; Kwiatkowska, E.; Kwiatkowski, C.A. Assessment of the effects of soil fertilization with spent mushroom substrate in the context of microbial nitrogen transformations and the potential risk of exacerbating the greenhouse effect. Collect. FAO Agric. 2022, 12, 1190. [Google Scholar] [CrossRef]
- Rinker, D.L. Spent mushroom substrate uses. In Edible and Medicinal Mushrooms; John Wiley & Sons, Ltd.: Chichester, UK, 2017; pp. 427–454. [Google Scholar]
- Zou, D.; Jiuxiang, W.; Weijin, W.; Xiaoxin, Y.; Chenming, Y.; Fuqing, H.; Manyun, Z. Co-occurrences of soil nitrogen cycling and human-disease genes following spent mushroom substrate and nitrification inhibitor applications: A strategy for decreasing health risk. Land Degrad. Dev. 2022, 33, 2769–2782. [Google Scholar] [CrossRef]
- Romero, C.A.T.; Castro, D.F.; Ortiz, J.H.; Khalaf, O.I.; Vargas, M.A. Synergy between Circular Economy and Industry 4.0: A Literature Review. Sustain. Sci. Pract. Policy 2021, 13, 4331. [Google Scholar]
- Awasthi, M.K.; Patel, A.; Sarsaiya, S.; Juneja, A.; Singh, R.; Yan, B.; Awasthi, S.; Jain, A.; Liu, T.; Duan, Y.; et al. Refining biomass residues for sustainable energy and bio-products: An assessment of technology, its importance, and strategic applications in circular bio-economy. Renew. Sustain. Energy Rev. 2020, 127, 109876. [Google Scholar] [CrossRef]
- Mujtaba, M.; Fraceto, L.; Fazeli, M.; Mukherjee, S.; Savassa, S.; Medeiros, G.; Pereira, A.; Mancini, S.; Lipponen, J.; Vilaplana, F. Lignocellulosic biomass from agricultural waste to the circular economy: A review with focus on biofuels, biocomposites and bioplastics. J. Clean. Prod. 2023, 402, 136815. [Google Scholar] [CrossRef]
- El Diagrama de la Mariposa: Visualizando la Economía Circular. Available online: https://ellenmacarthurfoundation.org/es/el-diagrama-de-la-mariposa (accessed on 19 June 2023).
- Ministerio de Ambiente y Desarrollo Sostenible. Estrategia Nacional de Economía Circular. 2021. Available online: https://www.minambiente.gov.co/asuntos-ambientales-sectorial-y-urbana/estrategia-nacional-de-economia-circular/ (accessed on 21 June 2023).
- Flujo de Biomasa. Available online: https://economiacircular.minambiente.gov.co/index.php/lineas-de-accion/flujo-de-biomasa/ (accessed on 21 June 2023).
- Kojić, M.M.; Petrovic, J.; Petrovic, M.; Stankovic, S.; Porobic, S.; Cincovic, M.; Mihajlovic, M. Hydrothermal carbonization of spent mushroom substrate: Physicochemical characterization, combustion behavior, kinetic and thermodynamic study. J. Anal. Appl. Pyrolysis 2021, 155, 105028. [Google Scholar] [CrossRef]
- Jasińska, A. Spent mushroom compost (SMC)—Retrieved added value product closing loop in agricultural production. Agrártud. Közlemények 2018, 150, 185–202. [Google Scholar] [CrossRef] [PubMed]
- Huang, J.; Liu, J.; Xie, W.; Zhang, X.; Chang, K.; Buyakada, M.; Evrendilek, F. Kinetics, thermodynamics, gas evolution and empirical optimization of (co-)combustion performances of spent mushroom substrate and textile dyeing sludge. Bioresour. Technol. 2019, 280, 313–324. [Google Scholar] [CrossRef]
- Javanmard, A.; Patah, M.F.A.; Zulhelmi, A.; Daud, W.M.A.W. A comprehensive overview of the continuous torrefaction method: Operational characteristics, applications, and challenges. J. Energy Inst. 2023, 108, 101199. [Google Scholar] [CrossRef]
- Cahyanti, M.N.; Doddapaneni, T.R.K.C.; Kikas, T. Biomass torrefaction: An overview on process parameters, economic and environmental aspects and recent advancements. Bioresour. Technol. 2020, 301, 122737. [Google Scholar] [CrossRef]
- Syguła, E.; Koziel, J.A.; Białowiec, A. Proof-of-Concept of Spent Mushrooms Compost Torrefaction—Studying the Process Kinetics and the Influence of Temperature and Duration on the Calorific Value of the Produced Biocoal. Energies 2019, 12, 3060. [Google Scholar] [CrossRef]
- Zhao, Z.; Feng, S.; Zhao, Y.; Wang, Z.; Ma, J.; Xu, L.; Yang, J.; Shen, B. Investigation on the fuel quality and hydrophobicity of upgraded rice husk derived from various inert and oxidative torrefaction conditions. Renew. Energy 2022, 189, 1234–1248. [Google Scholar] [CrossRef]
- Barskov, S.; Zappi, M.; Buchireddy, P.; Dufreche, S.; Guillory, J.; Gang, D.; Hernandez, R.; Bajpai, R.; Baudier, J.; Cooper, R.; et al. Torrefaction of biomass: A review of production methods for biocoal from cultured and waste lignocellulosic feedstocks. Renew. Energy 2019, 142, 624–642. [Google Scholar] [CrossRef]
- Panahi, A.; Vorobiev, N.; Schiemann, M.; Tarakcioglu, M.; Delichatsios, M.; Levendis, Y.A. Combustion details of raw and torrefied biomass fuel particles with individually-observed size, shape and mass. Combust. Flame 2019, 207, 327–341. [Google Scholar] [CrossRef]
- Liu, Y.; Tan, W.; Liang, S.; Bi, X.; Sun, R.; Pan, X. Comparative study on the co-combustion behavior of torrefied biomass blended with different rank coals. Biomass Convers. Biorefinery 2022, 14, 781–793. [Google Scholar] [CrossRef]
- Mukherjee, A.; Okolie, J.A.; Niu, C.; Dalai, A.K. Experimental and Modeling Studies of Torrefaction of Spent Coffee Grounds and Coffee Husk: Effects on Surface Chemistry and Carbon Dioxide Capture Performance. ACS Omega 2022, 7, 638–653. [Google Scholar] [CrossRef] [PubMed]
- Mergbi, M.; Galloni, M.; Abagye, D.; Elimian, E.; Su, P.; Ikramy, B.; Nabgan, W.; Bedia, J.; Amor, H.; Contreras, S.; et al. Valorization of lignocellulosic biomass into sustainable materials for adsorption and photocatalytic applications in water and air remediation. Environ. Sci. Pollut. Res. Int. 2023, 30, 74544–74574. [Google Scholar] [CrossRef] [PubMed]
- Da Silva Alves, L.; Moreira, B.; Viana, R.; Días, E.; Rinker, D.; Gimenez, A.; Zied, D. Spent mushroom substrate is capable of physisorption-chemisorption of CO2. Environ. Res. 2022, 204, 111945. [Google Scholar] [CrossRef] [PubMed]
- De Almeida Moreira, B.R.; da Silva Alves, L.; Noble, R.; Zied, D.C. High-performance carbon-capturing lignocellulosic hydrochar with post-synthesis addition of spent mushroom substrate. Biomass Convers. Biorefinery 2022. [Google Scholar] [CrossRef]
- Petrovic, B.; Gorbounov, M.; Soltani, S.M. Influence of surface modification on selective CO2 adsorption: A technical review on mechanisms and methods. Microporous Mesoporous Mater. 2021, 312, 110751. [Google Scholar] [CrossRef]
- Dizaji, H.B.; Zeng, T.; Hölzig, H.; Bauer, J.; Klöß, G.; Enke, D. Ash transformation mechanism during combustion of rice husk and rice straw. Fuel 2022, 307, 121768. [Google Scholar] [CrossRef]
- Cen, K.; Zhang, J.; Ma, Z.; Chen, D.; Zhou, J.; Ma, H. Investigation of the relevance between biomass pyrolysis polygeneration and washing pretreatment under different severities: Water, dilute acid solution and aqueous phase bio-oil. Bioresour. Technol. 2019, 278, 26–33. [Google Scholar] [CrossRef]
- Ren, Y.; Wang, Z.; Chen, J.; Gao, H.; Guo, K.; Wang, X.; Wang, X.; Wang, Y.; Chen, H.; Zhu, J.; et al. Effect of water/acetic acid washing pretreatment on biomass chemical looping gasification (BCLG) using cost-effective oxygen carrier from iron-rich sludge ash. Energy 2023, 272, 127161. [Google Scholar] [CrossRef]
- Wang, Y.; Li, B.; Gao, A.; Ding, K.; Xing, X.; Wei, J.; Huang, Y.; Lam, J.C.-H.; Subramanian, K.; Zhang, S. Volatile-char interactions during biomass pyrolysis: Effect of biomass acid-washing pretreatment. Fuel 2023, 340, 127496. [Google Scholar] [CrossRef]
- Toor, S.S.; Jasiunas, L.; Xu, C.; Sintamarean, I.M.; Yu, D.; Nielsen, A.H.; Rosendahl, L.A. Reduction of inorganics from macroalgae Laminaria digitata and spent mushroom compost (SMC) by acid leaching and selective hydrothermal liquefaction. Biomass Convers. Biorefinery 2018, 8, 369–377. [Google Scholar] [CrossRef]
- Rodríquez-Machín, L.; Ronsse, F.; Casas-Ledón, Y.; Arteaga-Pérez, L.E. Fast pyrolysis of raw and acid-leached sugarcane residues en route to producing chemicals and fuels: Economic and environmental assessments. J. Clean. Prod. 2021, 296, 126601. [Google Scholar] [CrossRef]
- ISO 14040:2006; Environmental Management—Life Cycle Assessment—Principles and Framework. ISO: Geneva, Switzerland, 2022. Available online: https://www.iso.org/standard/37456.html (accessed on 19 June 2023).
- ISO 14044:2006; Environmental Management—Life Cycle Assessment—Requirements and Guidelines. ISO: Geneva, Switzerland, 2022. Available online: https://www.iso.org/standard/38498.html (accessed on 19 June 2023).
- Singhal, A.; Konttinen, J.; Joronen, T. Effect of different washing parameters on the fuel properties and elemental composition of wheat straw in water-washing pre-treatment. Part 2: Effect of washing temperature and solid-to-liquid ratio. Fuel 2021, 292, 120209. [Google Scholar] [CrossRef]
- Singhal, A.; Konttinen, J.; Joronen, T. Effect of different washing parameters on the fuel properties and elemental composition of wheat straw in water-washing pre-treatment. Part 1: Effect of washing duration and biomass size. Fuel 2021, 292, 120206. [Google Scholar] [CrossRef]
- Singhal, A.; Goossens, M.; Fantozzi, D.; Raiko, A.; Konttinen, J.; Joronen, T. Step washing: A modified pretreatment approach for industrial applications to improve chemical composition of agricultural residues. Bioresour. Technol. 2021, 341, 125753. [Google Scholar] [CrossRef]
- Pérez-Chávez, A.M.; Alberti, M.M.; Albertó, E. Evaluation of ligninolytic activity in spent mushroom substrate from four cultivated mushrooms. J. Bioresour. Bioprod. 2022, 7, 288–294. [Google Scholar] [CrossRef]
- Zhou, J.; Ge, W.; Zhang, X.; Wu, J.; Chen, Q.; Ma, D.; Chai, C. Effects of spent mushroom substrate on the dissipation of polycyclic aromatic hydrocarbons in agricultural soil. Chemosphere 2020, 259, 127462. [Google Scholar] [CrossRef]
- Schallemberger, J.B.; Libardi, N.; Dalari, B.L.S.K.; Chaves, M.B.; Hassemer, M.E.N. Textile azo dyes discolouration using spent mushroom substrate: Enzymatic degradation and adsorption mechanisms. Environ. Technol. 2023, 44, 1265–1286. [Google Scholar] [CrossRef]
- Backes, E.; Kato, C.G.; Corrêa, R.C.G.; Moreira, R.D.F.P.M.; Peralta, R.A.; Barros, L.; Ferreira, I.C.; Zanin, G.M.; Bracht, A.; Peralta, R.M. Laccases in food processing: Current status, bottlenecks and perspectives. Trends Food Sci. Technol. 2021, 115, 445–460. [Google Scholar] [CrossRef]
- Tian, X.; Wang, Y.; Duan, S.; Hao, Y.; Zhao, K.; Li, Y.; Dai, R.; Wang, W. Evaluation of a novel nano-size collagenous matrix film cross-linked with gallotannins catalyzed by laccase. Food Chem. 2021, 351, 129335. [Google Scholar] [CrossRef]
- Tang, P.; Zheng, T.; Ran, R.; Xiong, Y.; Li, G. Collagen films functionalized with gallic acid in the presence of laccase for beef preservation. Food Packag. Shelf Life 2023, 38, 101100. [Google Scholar] [CrossRef]
- Tang, P.; Zheng, T.; Yang, C.; Li, G. Enhanced physicochemical and functional properties of collagen films cross-linked with laccase oxidized phenolic acids for active edible food packaging. Food Chem. 2022, 393, 133353. [Google Scholar] [CrossRef] [PubMed]
- D2234/D2234M–20; ASTM Standard Practice for Collection of a Gross Sample of Coal. ASTM: West Conshohocken, PA, USA, 2020.
- E1757–19; ASTM Standard Practice for Preparation of Biomass for Compositional Analysis. ASTM: West Conshohocken, PA, USA, 2019.
- De Aburrá, Á. Guía Metodológica para la Caracterización y Evaluación de la Calidad de Combustibles Sólidos, Líquidos y Gaseosos; National University of Colombia at Medellin: Medellin, Colombia, 2006. [Google Scholar]
- De Carbón, E.C. Normas Generales Sobre Muestreo y Análisis de Carbones. Available online: https://repositoriobi.minenergia.gov.co/bitstream/handle/123456789/2330/3224.pdf?sequence=1 (accessed on 16 May 2023).
- Fang, W.; Ye, J.; Zhang, P.; Zhu, X.; Zhou, S. Solid-state anaerobic fermentation of spent mushroom compost for volatile fatty acids production by pH regulation. Int. J. Hydrogen Energy 2017, 42, 18295–18300. [Google Scholar] [CrossRef]
- Zhang, J.; Meng, G.; Zhai, G.; Yang, Y.; Zhao, H.; Jia, L. Extraction, characterization and antioxidant activity of polysaccharides of spent mushroom compost of Ganoderma lucidum. Int. J. Biol. Macromol. 2016, 82, 432–439. [Google Scholar] [CrossRef] [PubMed]
- Lim, S.-H.; Lee, Y.-H.; Kang, H.-W. Efficient Recovery of Lignocellulolytic Enzymes of Spent Mushroom Compost from Oyster Mushrooms, Pleurotus spp., and Potential Use in Dye Decolorization. Mycobiology 2013, 41, 214–220. [Google Scholar] [CrossRef] [PubMed]
- Vats, A.; Kurade, A.S.; Mutnuri, S. Recovery of Lignocellulolytic Enzymes and Valorization of Spent Mushroom Substrate. Environ. Nat. Resour. J. 2022, 20, 1–9. [Google Scholar] [CrossRef]
- Singhal, A.; Goossens, M.; Konttinen, J.; Joronen, T. Effect of basic washing parameters on the chemical composition of empty fruit bunches during washing pretreatment: A detailed experimental, pilot, and kinetic study. Bioresour. Technol. 2021, 340, 125734. [Google Scholar] [CrossRef]
- Thengane, S.K.; Kung, K.S.; Gomez-Barea, A.; Ghoniem, A.F. Advances in biomass torrefaction: Parameters, models, reactors, applications, deployment, and market. Prog. Energy Combust. Sci. 2022, 93, 101040. [Google Scholar] [CrossRef]
- Brachi, P.; Chirone, R.; Miccio, M.; Ruoppolo, G. Fluidized bed torrefaction of biomass pellets: A comparison between oxidative and inert atmosphere. Powder Technol. 2019, 357, 97–107. [Google Scholar] [CrossRef]
- Chen, D.; Chen, F.; Cen, K.; Cao, X.; Zhang, J.; Zhou, J. Upgrading rice husk via oxidative torrefaction: Characterization of solid, liquid, gaseous products and a comparison with non-oxidative torrefaction. Fuel 2020, 275, 117936. [Google Scholar] [CrossRef]
- Simonic, M.; Goricanec, D.; Urbancl, D. Impact of torrefaction on biomass properties depending on temperature and operation time. Sci. Total Environ. 2020, 740, 140086. [Google Scholar] [CrossRef]
- Singh, R.K.; Jena, K.; Chakraborty, J.P.; Sarkar, A. Energy and exergy analysis for torrefaction of pigeon pea stalk (Cajanus cajan) and eucalyptus (Eucalyptus tereticornis). Int. J. Hydrogen Energy 2020, 45, 18922–18936. [Google Scholar] [CrossRef]
- Huang, J.; Liu, J.; Chen, J.; Xie, W.; Kuo, J.; Lu, X.; Chang, K.; Wen, S.; Sun, G.; Cai, H.; et al. Combustion behaviors of spent mushroom substrate using TG-MS and TG-FTIR: Thermal conversion, kinetic, thermodynamic and emission analyses. Bioresour. Technol. 2018, 266, 389–397. [Google Scholar] [CrossRef] [PubMed]
- ASTM E11-20; Standard Specification for Woven Wire Test Sieve Cloth and Test Sieves. ASTM: West Conshohocken, PA, USA, 2020.
- Standard Test Method for Compositional Analysis by Thermogravimetry. Available online: https://www.astm.org/e1131-20.html (accessed on 22 June 2023).
- Ghose, A.; Gupta, D.; Nuzelu, V.; Rangan, L.; Mitra, S. Optimization of laccase enzyme extraction from spent mushroom waste of Pleurotus florida through ANN-PSO modeling: An ecofriendly and economical approach. Environ. Res. 2023, 222, 115345. [Google Scholar] [CrossRef]
- Wang, Y.; Guo, S.; Cao, F.; He, C.; Wei, Y.; Qin, Y.; He, Y.; Du, X.; Vassilev, S.V.; Vassileva, C.G. Leaching mechanisms of ash-forming elements during water washing of corn straw. Biomass Convers. Biorefinery 2022, 14, 133–146. [Google Scholar] [CrossRef]
- Liu, T.; Wen, C.; Li, C.; Yan, K.; Li, R.; Jing, Z.; Zhang, B.; Ma, J. Integrated water washing and carbonization pretreatment of typical herbaceous and woody biomass: Fuel properties, combustion behaviors, and techno-economic assessments. Renew. Energy 2022, 200, 218–233. [Google Scholar] [CrossRef]
- Chen, W.-H.; Aniza, R. Specific chemical bioexergy and microwave-assisted torrefaction optimization via statistical and artificial intelligence approaches. Fuel 2023, 333, 126524. [Google Scholar] [CrossRef]
- Orisaleye, J.I.; Jekayinfa, S.O.; Pecenka, R.; Ogundare, A.A.; Akinseloyin, M.O.; Fadipe, O.L. Investigation of the Effects of Torrefaction Temperature and Residence Time on the Fuel Quality of Corncobs in a Fixed-Bed Reactor. Energies 2022, 15, 5284. [Google Scholar] [CrossRef]
- Soria-Verdugo, A.; Cano-Pleite, E.; Panahi, A.; Ghoniem, A.F. Kinetics mechanism of inert and oxidative torrefaction of biomass. Energy Convers. Manag. 2022, 267, 115892. [Google Scholar] [CrossRef]
- Campbell, W.A.; Coller, A.; Evitts, R.W. Comparing severity of continuous torrefaction for five biomass with a wide range of bulk density and particle size. Renew. Energy 2019, 141, 964–972. [Google Scholar] [CrossRef]
- Kota, K.B.; Shenbagaraj, S.; Sharma, P.K.; Sharma, A.K.; Ghodke, P.K.; Chen, W.-H. Biomass torrefaction: An overview of process and technology assessment based on global readiness level. Fuel 2022, 324, 124663. [Google Scholar] [CrossRef]
- Piersa, P.; Unyay, H.; Szufa, S.; Lewandowska, W.; Modrzewski, R.; Ślężak, R.; Ledakowicz, S. An Extensive Review and Comparison of Modern Biomass Torrefaction Reactors vs. Biomass Pyrolysis—Part 1. Energies 2022, 15, 2227. [Google Scholar] [CrossRef]
- Zhang, C.; Yang, W.; Chen, W.-H.; Ho, S.-H.; Pétrissans, A.; Pétrissans, M. Effect of torrefaction on the structure and reactivity of rice straw as well as life cycle assessment of torrefaction process. Energy 2022, 240, 122470. [Google Scholar] [CrossRef]
- Bampenrat, A.; Sukkathanyawat, H.; Jarunglumlert, T. Agro-industrial Waste Upgrading via Torrefaction Process—A Case Study on Sugarcane Bagasse and Palm Kernel Shell in Thailand. J. Ecol. Eng. 2023, 24, 64–75. [Google Scholar] [CrossRef]
- Chen, D.; Cen, K.; Zhuang, X.; Gan, Z.; Zhou, J.; Zhang, Y. Insight into biomass pyrolysis mechanism based on cellulose, hemicellulose, and lignin: Evolution of volatiles and kinetics, elucidation of reaction pathways, and characterization of gas, biochar and bio-oil. Combust. Flame 2022, 242, 112142. [Google Scholar] [CrossRef]
- Kwon, E.E.; Lee, T.; Ok, Y.S.; Tsang, D.C.W.; Park, C.; Lee, J. Effects of calcium carbonate on pyrolysis of sewage sludge. Energy 2018, 153, 726–731. [Google Scholar] [CrossRef]
- Jäglid, R.Y.Y.U. Carbonation of Portland Cement Studied by Diffuse Reflection Fourier Transform Infrared Spectroscopy. Int. J. Concr. Struct. Mater. 2013, 7, 119–125. [Google Scholar]
- Vagenas, N.V.; Gatsouli, A.; Kontoyannis, C.G. Quantitative analysis of synthetic calcium carbonate polymorphs using FT-IR spectroscopy. Talanta 2003, 59, 831–836. [Google Scholar] [CrossRef]
- Varrica, D.; Tamburo, E.; Vultaggio, M.; Di Carlo, I. ATR-FTIR Spectral Analysis and Soluble Components of PM10 And PM2.5 Particulate Matter over the Urban Area of Palermo (Italy) during Normal Days and Saharan Events. Int. J. Environ. Res. Public Health 2019, 16, 2507. [Google Scholar] [CrossRef] [PubMed]
- Chen, W.-H.; Lin, B.-J.; Colin, B.; Chang, J.-S.; Pétrissans, A.; Bi, X.; Pétrissans, M. Hygroscopic transformation of woody biomass torrefaction for carbon storage. Appl. Energy 2018, 231, 768–776. [Google Scholar] [CrossRef]
- Yuan, X.; Tan, M.; Jiang, S.; Wang, Z.; Huang, Z.; Wang, H.; Jiang, L.; Li, H. Properties of oxidatively torrefied Chinese fir residue: Color dimension, pyrolysis kinetics, and storage behavior. Fuel Process. Technol. 2021, 213, 106663. [Google Scholar]
- Qin, H.; Dongmeng, H.; Wang, X.; Pan, S.; Liu, H.; Zhang, L.; Wang, Q. Study on Molecular Structure Model and Reactivity of Spent Mushroom Substrate: Experiment and Simulation. Waste Biomass Valor. 2023, 14, 2191–2209. [Google Scholar] [CrossRef]
- Wang, C.-Y. A Review on the Potential Reuse of Functional Polysaccharides Extracted from the By-Products of Mushroom Processing. Food Bioprocess Technol. 2020, 13, 217–228. [Google Scholar] [CrossRef]
- Gao, Y.; Wu, Z.; Li, W.; Sun, H.; Chai, Y.; Li, T.; Liu, C.; Gong, X.; Liang, Y.; Qin, P. Expanding the valorization of waste mushroom substrates in agricultural production: Progress and challenges. Environ. Sci. Pollut. Res. Int. 2023, 30, 2355–2373. [Google Scholar] [CrossRef] [PubMed]
- Paul, A.; Hussain, M.; Ramu, B. The physicochemical properties and microstructural characteristics of peat and their correlations: Reappraisal. Int. J. Geotech. Eng. 2018, 15, 692–703. [Google Scholar] [CrossRef]
- Falatehan, A.F.; Sari, D.A.P. Characteristics of Peat Biomass as an Alternative Energy and Its Impact on the Environment. Solid State Technol. 2020, 63, 4700–4712. [Google Scholar]
- Ahmad, A.; Sutanto, M.H.; Al-Bared, M.A.M.; Harahap, I.S.H.; Abad, S.V.A.N.K.; Khan, M.A. Physio-chemical properties, consolidation, and stabilization of tropical peat soil using traditional soil additives—A state of the art literature review. KSCE J. Civ. Eng. 2021, 25, 3662–3678. [Google Scholar] [CrossRef]
- Kamthan, R.; Tiwari, I. Agricultural wastes-potential substrates for mushroom cultivation. Eur. J. Exp. Biol. 2017, 7, 31. [Google Scholar]
- Krysanova, K.; Krylova, A.; Kulikova, M.; Kulikov, A.; Rusakova, O. Biochar characteristics produced via hydrothermal carbonization and torrefaction of peat and sawdust. Fuel 2022, 328, 125220. [Google Scholar] [CrossRef]
- Jarukas, L.; Ivanauskas, L.; Kasparaviciene, G.; Baranauskaite, J.; Marksa, M.; Bernatoniene, J. Determination of Organic Compounds, Fulvic Acid, Humic Acid, and Humin in Peat and Sapropel Alkaline Extracts. Molecules 2021, 26, 2995. [Google Scholar] [CrossRef]
- Gondar, D.; Lopez, R.; Fiol, S.; Antelo, J.M.; Arce, F. Characterization and acid–base properties of fulvic and humic acids isolated from two horizons of an ombrotrophic peat bog. Geoderma 2005, 126, 367–374. [Google Scholar] [CrossRef]
- Boguta, P.; Cybulak, M.; Sokołowska, Z.; Zarzycki, R.; Kacprzak, A.; Kobyłecki, R. Quality and quantity of humic-like and fulvic-like acids entrapped in biochars—The effect of various forestry feedstock and pyrolysis temperature of biochars. Fuel 2023, 333, 126405. [Google Scholar] [CrossRef]
- Chen, C.; Qu, B.; Wang, W.; Wang, W.; Ji, G.; Li, A. Rice husk and rice straw torrefaction: Properties and pyrolysis kinetics of raw and torrefied biomass. Environ. Technol. Innov. 2021, 24, 101872. [Google Scholar] [CrossRef]
- Manatura, K. Inert torrefaction of sugarcane bagasse to improve its fuel properties. Case Stud. Therm. Eng. 2020, 19, 100623. [Google Scholar] [CrossRef]
- Calixto, G.Q.; Melo, D.M.A.; Melo, M.A.F.; Braga, R.M. Analytical pyrolysis (Py–GC/MS) of corn stover, bean pod, sugarcane bagasse, and pineapple crown leaves for biorefining. Braz. J. Chem. Eng. 2022, 39, 137–146. [Google Scholar] [CrossRef]
- Werner, K.; Pommer, L.; Broström, M. Thermal decomposition of hemicelluloses. J. Anal. Appl. Pyrolysis 2014, 110, 130–137. [Google Scholar] [CrossRef]
- Zhang, L.; Zhang, B.; Yang, Z.; Yan, Y. Pyrolysis behavior of biomass with different Ca-based additives. RSC Adv. 2014, 4, 39145–39155. [Google Scholar] [CrossRef]
- Li, C.; Gong, X.; Zhang, H.; Zhang, Y.; Yang, M.; Chen, B. CO2 capture performance of CaO-based sorbent modified with torrefaction condensate during calcium looping cycles. Chem. Eng. J. 2023, 469, 144004. [Google Scholar] [CrossRef]
- Han, R.; Wang, Y.; Xing, S.; Pang, C.; Hao, Y.; Song, C.; Liu, Q. Progress in reducing calcination reaction temperature of Calcium-Looping CO2 capture technology: A critical review. Chem. Eng. J. 2022, 450, 137952. [Google Scholar] [CrossRef]
- Chen, F.; Grimm, A.; Eilertsen, L.; Martín, C.; Arshadi, M.; Xiong, S. Integrated production of edible mushroom (Auricularia auricula-judae), fermentable sugar and solid biofuel. Renew. Energy. 2021, 170, 172–180. [Google Scholar] [CrossRef]
- Ikeda, S.; Yamauchi, M.; Watari, T.; Hatamoto, M.; Yamada, M.; Maki, S.; Hara, H.; Yamaguchi, T. Development of enokitake (Flammulina velutipes) mushroom cultivation technology using spent mushroom substrate anaerobic digestion residue. Environ. Technol Innov. 2021, 24, 102046. [Google Scholar] [CrossRef]
- Economou, C.N.; Diamantopoulou, P.A.; Philippoussis, A.N. Valorization of spent oyster mushroom substrate and laccase recovery through successive solid state cultivation of Pleurotus, Ganoderma, and Lentinula strains. Appl. Microbiol. Biotechnol. 2017, 101, 5213–5222. [Google Scholar] [CrossRef]
















| Factor | Level | Fixed Operating Conditions |
|---|---|---|
| Temperature (°C) | 190, 220, 250 | Airflow: 2 L/min |
| Time (min) | 10, 30 | Samples were milled using a manual Corona L14200 grinder (Medellín, Colombia) to avoid clogging during the process (fraction size < 5 mm). |
| SMC mass (g) | 148, 222 |
| Factor | Level | Fixed Operating Conditions |
|---|---|---|
| Biomass fraction | SMC Casing layer (CL) Substrate with no washing treatment (UTS) Substrate with washing treatment (TS) | Airflow: 2 L/min Temperature/time/biomass mass—conditions providing the best mass and energy yields as determined through the evaluation of operating parameters. The samples were milled using a manual Corona L14200 grinder to avoid clogging during the process (fraction size < 5 mm). This process was omitted for CL due to its homogeneity. |
| Equation | Description | |
|---|---|---|
| Mass yield of torrefied solid products [30] | mBiomass_f refers to the mass in g of the solid products resulting from torrefaction, and mBiomass_i is the mass in g of the initial solid products before the treatment. The result is expressed as a percentage. | |
| (1) | ||
| Energy yield of torrefied solid products [30] | GCVBiomass_f refers to the moisture-free gross calorific value in MJ/kg of the solid products resulting from torrefaction, and GCVBiomass_i is the moisture-free gross calorific value in MJ/kg of the initial solid products before the treatment. The result is expressed as a percentage. | |
| (2) | ||
| Mass of non-condensable gasses from torrefaction [71] | mNCG refers to the mass in g of the non-condensable gasses resulting from torrefaction, mBiomass_f is the mass in g of the solid products resulting from torrefaction, and mL denotes the mass in g of the liquid products resulting from torrefaction. | |
| (3) | ||
| Compound | Value (%) |
|---|---|
| Calcium oxide | 12.68 |
| Magnesium oxide | 0.82 |
| Potassium oxide | 2.30 |
| Temperature (°C) | Time (min) | Mass (g) | Mass Yield (%) | Energy Yield (%) | Volatiles (%) | Fixed Carbon (%) | Ash (%) | GCV (MJ/kg) |
|---|---|---|---|---|---|---|---|---|
| Non-torrefied | 100.00 | 100.00 | 44.82 | 7.32 | 47.80 | 7.71 | ||
| 190 | 10 | 148 | 92.87 | 98.64 | 48.05 | 4.02 | 47.84 | 8.19 |
| 190 | 10 | 222 | 84.98 | 99.49 | 47.70 | 5.09 | 46.94 | 9.02 |
| 190 | 30 | 222 | 78.94 | 87.10 | 40.86 | 9.29 | 50.28 | 8.51 |
| 190 | 30 | 148 | 78.00 | 86.43 | 42.91 | 9.11 | 47.80 | 8.52 |
| 220 | 10 | 148 | 86.02 | 96.10 | 44.29 | 5.35 | 50.02 | 8.61 |
| 220 | 10 | 222 | 84.08 | 91.39 | 46.14 | 1.82 | 51.87 | 8.39 |
| 220 | 30 | 222 | 73.75 | 79.26 | 36.66 | 11.19 | 51.80 | 8.29 |
| 220 | 30 | 148 | 73.22 | 76.67 | 34.10 | 10.28 | 55.40 | 8.09 |
| 250 | 10 | 148 | 76.53 | 89.83 | 37.55 | 11.03 | 51.02 | 9.06 |
| 250 | 10 | 222 | 81.52 | 91.77 | 37.53 | 10.84 | 51.46 | 8.68 |
| 250 | 30 | 222 | 67.84 | 71.03 | 33.77 | 10.13 | 55.72 | 8.13 |
| 250 | 30 | 148 | 69.40 | 66.16 | 34.35 | 9.21 | 56.07 | 7.26 |
| Sample | Mass Yield (%) | Energy Yield (%) | Proximate Analysis (db) | GCV (MJ/kg) | ||
|---|---|---|---|---|---|---|
| Volatiles (%) | Fixed Carbon (%) | Ash (%) | ||||
| Non torrefied SMC | 100.00 | 100.00 | 44.82 | 7.32 | 47.80 | 7.71 |
| SMC_Torr | 86.02 | 96.06 | 44.25 | 5.35 | 50.02 | 8.61 |
| Non torrefied CL | 100.00 | 100.00 | 55.76 | 0.00 | 43.85 | 6.06 |
| CL_Torr | 90.23 | 101.10 | 44.91 | 8.74 | 45.97 | 6.79 |
| Non torrefied UTS | 100.00 | 100.00 | 48.91 | 8.41 | 42.35 | 8.43 |
| UTS_Torr | 75.55 | 90.88 | 43.41 | 8.48 | 47.47 | 10.14 |
| Non torrefied TS | 100.00 | 100.00 | 58.19 | 5.15 | 36.37 | 12.39 |
| TS_Torr | 76.26 | 62.41 | 41.36 | 10.30 | 47.94 | 10.14 |
Disclaimer/Publisher’s Note: The statements, opinions and data contained in all publications are solely those of the individual author(s) and contributor(s) and not of MDPI and/or the editor(s). MDPI and/or the editor(s) disclaim responsibility for any injury to people or property resulting from any ideas, methods, instructions or products referred to in the content. |
© 2024 by the authors. Licensee MDPI, Basel, Switzerland. This article is an open access article distributed under the terms and conditions of the Creative Commons Attribution (CC BY) license (https://creativecommons.org/licenses/by/4.0/).
Share and Cite
Londoño, C.R.; Gil, A.G.; Moreno, A.; Alvarado, P.N. Valorization of Spent Mushroom Compost Through a Cascading Use Aproach. Energies 2024, 17, 5458. https://doi.org/10.3390/en17215458
Londoño CR, Gil AG, Moreno A, Alvarado PN. Valorization of Spent Mushroom Compost Through a Cascading Use Aproach. Energies. 2024; 17(21):5458. https://doi.org/10.3390/en17215458
Chicago/Turabian StyleLondoño, Carolina Restrepo, Alexander Giraldo Gil, Andrés Moreno, and Pedro Nel Alvarado. 2024. "Valorization of Spent Mushroom Compost Through a Cascading Use Aproach" Energies 17, no. 21: 5458. https://doi.org/10.3390/en17215458
APA StyleLondoño, C. R., Gil, A. G., Moreno, A., & Alvarado, P. N. (2024). Valorization of Spent Mushroom Compost Through a Cascading Use Aproach. Energies, 17(21), 5458. https://doi.org/10.3390/en17215458

