Realistic μPMU Data Generation for Different Real-Time Events in an Unbalanced Distribution Network
Abstract
1. Introduction
- Modeling an unbalanced real distribution network in DP. This model is subsequently used for data generation.
- Synthetic μPMU data generation for real-time applications, such as event detection, classification and localization.
- Validation of the generated data with real data published in the literature and with the load flow variations in the network.
2. Real-Time Events in DN
2.1. No-Fault Events
2.2. Fault Events
3. Methodology
3.1. Real DN Selection and Modeling
3.2. Load Flow Simulations and Validations
3.3. μPMU Placement
3.4. Sizing and Placement of DGs
3.5. μPMU-Based Real-Time Event Data Generation
3.5.1. Realistic Real-Time Events
3.5.2. Data-Generation Settings in DP
3.5.3. Event Simulations and Plots
4. Results
| Sl. No. | Event Description | Figure Numbers |
|---|---|---|
| 1 | Capacitor Bank Switching | Figure 3, Figure 4, Figure 5 and Figure 6 |
| 2 | Circuit Breaker Trip | Figure 7 and Figure 8 |
| 3 | Circuit Breaker Switching | Figure 9 and Figure 10 |
| 4 | DG Switching | Figure 11, Figure 12, Figure 13 and Figure 14 |
| 5 | DG Trip | Figure 15 and Figure 16 |
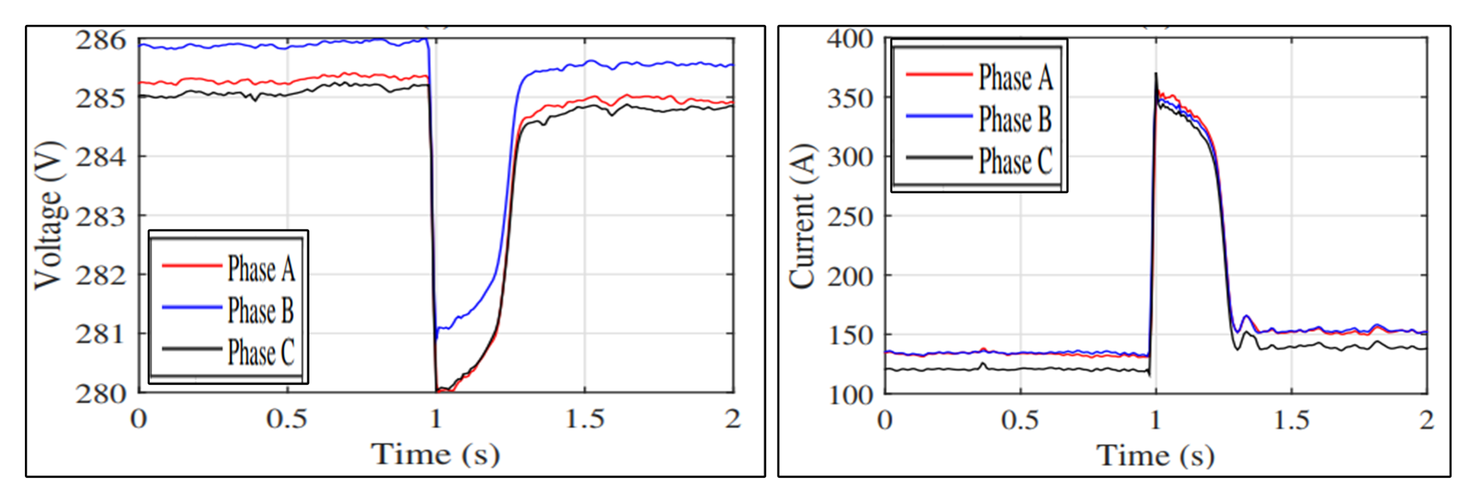
| 6 | Line De-energization | Figure 17 and Figure 18 |
| 7 | Line Energization | Figure 19 and Figure 20 |
| 8 | Load switching | Figure 21, Figure 22, Figure 23 and Figure 24 |
| 9 | Load trip Event | Figure 25 and Figure 26 |
| 10 | Open Circuit Fault | Figure 27 and Figure 28 |
| 11 | Short Circuit Fault | Figure 29 and Figure 30 |
| 12 | Tap Changer | Figure 31, Figure 32, Figure 33 and Figure 34 |
| 13 | Temporary Fault | Figure 35 and Figure 36 |
| 14 | Transformer Outage | Figure 37 and Figure 38 |
| 15 | Transformer Energization | Figure 39 and Figure 40 |
| 16 | Transformer trip | Figure 41 and Figure 42 |
| 17 | Off Supply Complaint | Figure 43 and Figure 44 |
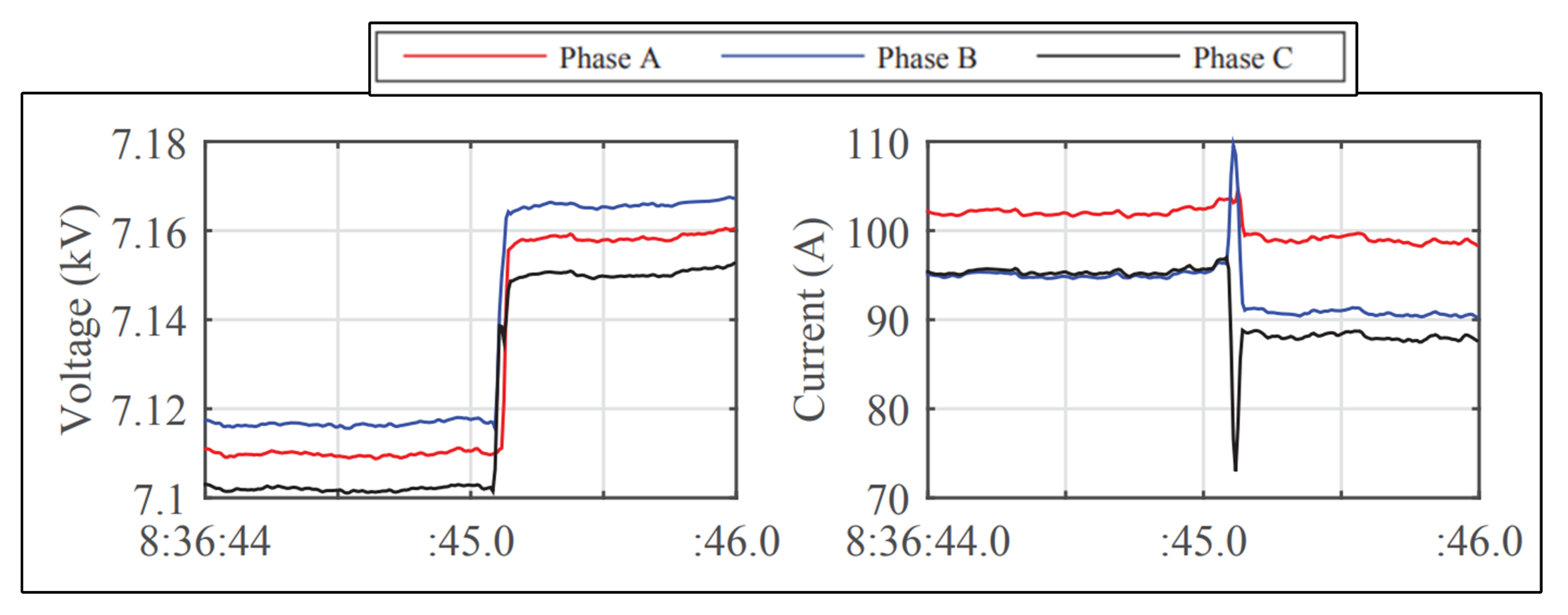
| 18 | Unbalance Voltage Complaint | Figure 45 and Figure 46 |












































5. Data Validation
5.1. Capacitor Bank Switching
5.1.1. Capacitor Bank Switch-Off Event
5.1.2. Capacitor Bank Switch-On Event
5.2. Fault, Trip, CB Open, and Reclose Events
5.3. DG-Switching Event
5.4. Other Events
6. Experimental Use Case Test
Use Case: Event Classification
7. Conclusions
Author Contributions
Funding
Data Availability Statement
Acknowledgments
Conflicts of Interest
Abbreviations
| μPMU | Micro-Phasor Measurement Unit |
| DER | Distributed Energy Resources |
| DN | Distribution Network |
| ROCOF | Rate of Change of Frequency |
| DP | DIgSILENT PowerFactory |
| SCADA | Supervisory Control and Data Acquisition |
| RTU | Remote Terminal Unit |
| GPS | Global Positioning System |
| DCC | Distribution Control Centre |
| DG | Distributed Generation |
| LV | Low Voltage |
| DT | Distribution Transformer |
| OHL | Overhead Lines |
| IEEE | Institute of Electrical and Electronics Engineers |
| PES | Power and Energy Society |
| DSAC | Distribution System Analysis Committee |
| NR | Newton–Raphson |
| CSORI | Complete System Observability Redundancy Index |
| CI | Cost Index |
| CB | Circuit Breaker |
| US | Upstream |
| DS | Downstream |
| XF10 | Line Transformer |
| S Capacitor | Shunt Capacitor |
| SL | Spot Load |
| DL | Distributed Load |
| MCB | Miniature Circuit Breaker |
| MSCC | Minimum Short Circuit Current |
Appendix A
| Line Section | Node (i) | Node (j) |
|---|---|---|
| A | 800 | 802 |
| B | 802 | 802’ |
| C | 802’ | 806 |
| D | 806 | 808 |
| E | 808 | 812 |
| F | 812 | 814 |
| G | RG10 | 850 |
| H | 850 | 816 |
| I | 816 | 816’ |
| J | 816’ | 824 |
| K | 824 | 824’ |
| L | 824’ | 828 |
| M | 828 | 828’ |
| N | 828’ | 830 |
| O | 830 | 854 |
| P | 854 | 852 |
| Q | RG11 | 832 |
| R | 832 | 832’ |
| S | 832’ | 858 |
| T | 858 | 858’ |
| U | 858’ | 834 |
| V | 834 | 834’ |
| W | 834’ | 860 |
| X | 860 | 860’ |
| Y | 860’ | 836 |
| Z | 836 | 836’ |
| a | 836’ | 840 |
| b | 808 | 808’ |
| c | 808’ | 810 |
| d | 816 | 818 |
| e | 818 | 818’ |
| f | 818’ | 820 |
| g | 820 | 820’ |
| h | 820’ | 822 |
| i | 824 | 824’ |
| j | 824’ | 826 |
| k | 854 | 854’ |
| l | 854’ | 856 |
| m | 888 | 890 |
| n | 858 | 858’ |
| o | 858’ | 864 |
| p | 834 | 842 |
| q | 842 | 842’ |
| r | 842’ | 844 |
| s | 844 | 844’ |
| t | 844’ | 846 |
| u | 846 | 846’ |
| v | 846’ | 848 |
| w | 836 | 862 |
| x | 862 | 862’ |
| y | 862’ | 838 |
| Node | Uln, Magnitude A (p.u.) | Uln, Magnitude B (p.u.) | Uln, Magnitude C (p.u.) | Uln, Angle A (deg) | Uln, Angle B (deg) | Uln, Angle C (deg) |
|---|---|---|---|---|---|---|
| 802 | 1.047 | 1.048 | 1.048 | −0.05 | −120.06 | 119.95 |
| 806 | 1.046 | 1.047 | 1.047 | −0.09 | −120.11 | 119.91 |
| 808 | 1.014 | 1.03 | 1.029 | −0.75 | −120.95 | 119.3 |
| 810 | 1.03 | −120.95 | ||||
| 812 | 0.976 | 1.01 | 1.007 | −1.58 | −121.92 | 118.58 |
| 814 | 0.947 | 0.995 | 0.989 | −2.27 | −122.7 | 118.01 |
| 816 | 1.017 | 1.025 | 1.02 | −2.28 | −122.71 | 118 |
| 818 | 1.016 | −2.28 | ||||
| 820 | 0.99 | −2.3 | ||||
| 822 | 0.99 | −2.35 | ||||
| 824 | 1.008 | 1.016 | 1.012 | −2.39 | −122.93 | 117.75 |
| 826 | 1.016 | −122.94 | ||||
| 828 | 1.007 | 1.015 | 1.011 | −2.4 | −122.95 | 117.73 |
| 830 | 0.989 | 0.998 | 0.994 | −2.66 | −123.39 | 117.23 |
| 832 | 1.036 | 1.035 | 1.036 | −3.14 | −124.18 | 116.32 |
| 834 | 1.031 | 1.03 | 1.031 | −3.27 | −124.38 | 116.07 |
| 836 | 1.03 | 1.029 | 1.031 | −3.26 | −124.38 | 116.07 |
| 838 | 1.029 | −124.39 | ||||
| 840 | 1.03 | 1.029 | 1.031 | −3.26 | −124.38 | 116.07 |
| 842 | 1.031 | 1.03 | 1.031 | −3.27 | −124.38 | 116.06 |
| 844 | 1.031 | 1.029 | 1.031 | −3.29 | −124.41 | 116.03 |
| 846 | 1.031 | 1.029 | 1.031 | −3.33 | −124.45 | 115.97 |
| 848 | 1.031 | 1.029 | 1.031 | −3.34 | −124.45 | 115.96 |
| 850 | 1.018 | 1.026 | 1.02 | −2.27 | −122.7 | 118.01 |
| 852 | 0.958 | 0.968 | 0.964 | −3.14 | −124.18 | 116.32 |
| 854 | 0.989 | 0.998 | 0.993 | −2.66 | −123.4 | 117.22 |
| 856 | 0.998 | −123.41 | ||||
| 858 | 1.033 | 1.032 | 1.034 | −3.2 | −124.27 | 116.21 |
| 860 | 1.03 | 1.029 | 1.031 | −3.26 | −124.38 | 116.06 |
| 862 | 1.03 | 1.029 | 1.031 | −3.26 | −124.38 | 116.07 |
| 864 | 1.033 | −3.2 | ||||
| 888 | 0.999 | 0.999 | 1 | −4.67 | −125.73 | 114.8 |
| 890 | 0.917 | 0.923 | 0.918 | −5.15 | −126.79 | 113.91 |
| DG802_BB | 0 | 0 | 0 | 0 | 0 | 0 |
| DG840_BB | 0 | 0 | 0 | 0 | 0 | 0 |
| DG848_BB | 0 | 0 | 0 | 0 | 0 | 0 |
| DG850_BB | 0 | 0 | 0 | 0 | 0 | 0 |
| DG852_BB | 0 | 0 | 0 | 0 | 0 | 0 |
| DG862_BB | 0 | 0 | 0 | 0 | 0 | 0 |
| RG10 | 1.018 | 1.026 | 1.02 | −2.27 | −122.7 | 118.01 |
| RG11 | 1.036 | 1.035 | 1.036 | −3.14 | −124.18 | 116.32 |
| RG11 | 1.036 | 1.035 | 1.036 | −3.1 | −124.2 | 116.3 |
| Line Section | Phase Current, Magnitude A (A) | Phase Current, Magnitude B (A) | Phase Current, Magnitude C (A) | Phase Current, Angle A (deg) | Phase Current, Angle B (deg) | Phase Current, Angle C (deg) |
|---|---|---|---|---|---|---|
| A | 51.6 | 44.6 | 40.9 | −12.74 | −127.67 | 117.32 |
| B | 51.6 | 44.6 | 40.9 | −12.79 | −127.73 | 117.26 |
| C | 51.6 | 42.5 | 39.2 | −12.81 | −126.78 | 118.48 |
| D | 51.6 | 42.5 | 39.2 | −12.83 | −126.8 | 118.46 |
| E | 51.8 | 41.3 | 39.3 | −13.46 | −127.07 | 117.71 |
| F | 52 | 41.3 | 39.3 | −14.18 | −127.97 | 116.85 |
| G | 48.5 | 40 | 38.2 | −14.73 | −128.67 | 116.18 |
| H | 48.5 | 40 | 38.2 | −14.73 | −128.67 | 116.18 |
| I | 35.8 | 40 | 38.2 | −10.43 | −128.67 | 116.17 |
| J | 35.9 | 39.8 | 38 | −10.57 | −128.87 | 116.31 |
| K | 35.9 | 36.9 | 38 | −10.7 | −127.36 | 116.19 |
| L | 35.9 | 36.9 | 37.8 | −10.72 | −127.37 | 116.38 |
| M | 35.9 | 36.9 | 37.8 | −10.73 | −127.38 | 116.37 |
| N | 35.4 | 36.9 | 37.8 | −10.79 | −127.64 | 116.14 |
| O | 34.2 | 36.2 | 36.5 | −9.98 | −127.44 | 116.21 |
| P | 34.2 | 35.9 | 36.5 | −9.99 | −127.69 | 116.2 |
| Q | 31.8 | 33.6 | 34 | −11.01 | −128.63 | 115.35 |
| R | 21.3 | 23.4 | 24.3 | 0.44 | −116.87 | 128.32 |
| S | 20.9 | 23.1 | 24 | 0.95 | −116.27 | 128.54 |
| T | 20.7 | 23.1 | 24 | 0.98 | −116.37 | 128.45 |
| U | 20.3 | 22.4 | 23.2 | 2.3 | −115.92 | 130.14 |
| V | 11.2 | 9.1 | 10.6 | −43.07 | −154.82 | 99.32 |
| W | 5.9 | 7.7 | 5.3 | −33.49 | −156.41 | 86.22 |
| X | 4.2 | 6 | 3.6 | −30.2 | −154.63 | 90.23 |
| Y | 1.5 | 4.4 | 1.7 | −18.98 | −150.47 | 68.5 |
| Z | 1.5 | 2.3 | 1.7 | −20.02 | −151.97 | 67.98 |
| a | 0.8 | 0.8 | 0.8 | −40.72 | −161.81 | 78.55 |
| b | 1.2 | −144.6 | ||||
| c | 0 | −30.95 | ||||
| d | 13 | −26.66 | ||||
| e | 13 | −26.74 | ||||
| f | 10.5 | −27.6 | ||||
| g | 10.6 | −28.96 | ||||
| h | 0.1 | 87.67 | ||||
| i | 3.1 | −148.91 | ||||
| j | 0 | −32.94 | ||||
| k | 0.3 | −98.38 | ||||
| l | 0.1 | −33.41 | ||||
| m | 69.9 | 70 | 69.5 | −32.3 | −152.74 | 87.37 |
| n | 0.1 | −22.8 | ||||
| o | 0 | 86.8 | ||||
| p | 14.7 | 16.3 | 15.1 | 34.63 | −95.6 | 151.02 |
| q | 14.7 | 16.3 | 15.1 | 34.62 | −95.61 | 151.01 |
| r | 14.5 | 16.3 | 15.1 | 37.11 | −95.64 | 150.97 |
| s | 9.8 | 9.4 | 9.4 | 78.83 | −63.85 | −170.68 |
| t | 9.8 | 9.4 | 9.8 | 78.8 | −52.49 | −161.91 |
| u | 9.8 | 9.4 | 9.8 | 78.76 | −52.53 | −161.94 |
| v | 9.8 | 9.8 | 9.8 | 78.75 | −42.46 | −161.95 |
| w | 0 | 2.1 | 0 | 90.43 | −149.37 | −150.76 |
| x | 2.1 | −149.49 | ||||
| y | 0 | −34.39 |
| Sl. No | Event Execution Time(s) on 21 August 2022 11:00 AM | Event Description * | Event Location | Event Category |
|---|---|---|---|---|
| 1 | 40.05 | Unbalanced Voltage complaint from SL 890 | SL 890 | Unbalanced voltage |
| 2 | 52.05 | Rectification of Unbalanced Voltage from SL 890 | SL 890 | Unbalanced voltage rectification |
| 3 | 54 | XF10 DE-ENERGIZED for Maintenance | XF10 | Transformer outage |
| 4 | 74 | VR2 Tap Lowered (13-11-12 to 12-10-11) | VR2 | Tap changer event |
| 5 | 94 | VR2 Tap Lowered (12-10-11 to 11-09-10) | VR2 | Tap changer event |
| 6 | 114 | VR2 Tap Lowered (11-09-10 to 10-08-09) | VR2 | Tap changer event |
| 7 | 134 | VR2 Tap Lowered (10-08-09 to 09-07-08) | VR2 | Tap changer event |
| 8 | 154 | VR2 Tap Lowered (09-07-08 to 08-06-07) | VR2 | Tap changer event |
| 9 | 174 | Cap844 Switch Off | S Capacitor 1 | Capacitor bank event |
| 10 | 194 | DG848 Switch On | DG848 | DG-switching event |
| 11 | 214 | C-G Fault 20ohm Temporary Fault at A | A | Temporary fault event |
| 12 | 214.04 | Main Feeder Circuit Breaker Tripped on C-G Fault | Main Feeder Circuit Breaker | CB trip event |
| 13 | 214.135 | C-G Temporary Fault Cleared | A | Fault clearing |
| 14 | 234.185 | Main Feeder Circuit Breaker Reclosed | A | CB-switching event |
| 15 | 254.185 | Heavy Load 844 (3PH) Switch Off | SL 844 | Load trip event |
| 16 | 274.185 | B-N Jumper Parted OpenCircuit Flt808-810 | 808-810 B-N Jumper | Open circuit fault event |
| 17 | 294.185 | XF10 ENERGIZED After Maintenance | XF10 | Transformer energization |
| 18 | 314.185 | DG848 Switch Off | DG848 | DG-switching event |
| 19 | 334.185 | 3Phase Short-Circuit Fault 10 ohms at G | G | Short circuit fault event |
| 20 | 334.225 | Main Feeder Circuit Breaker Tripped on ABC SC Fault | Main Feeder Circuit Breaker | CB trip event |
| 21 | 354.225 | Fault Rectified and Cable Kept in Service | G | Fault Clearing |
| 22 | 374.225 | Main Feeder Circuit Breaker Closed_1 | Main Feeder Circuit Breaker | CB-switching event |
| 23 | 394.225 | DG840 Switch On | DG840 | DG-switching event |
| 24 | 414.225 | ABC Short-Circuit Fault 10 ohm at G DG840 | G | Short circuit fault event |
| 25 | 414.265 | Main Feeder Circuit Breaker Tripped on ABC SC wDG840 | Main Feeder Circuit Breaker | CB trip event |
| 26 | 434.265 | Fault Rectified and Cable Kept in Srvc | G | Fault clearing |
| 27 | 454.265 | Main Feeder Circuit Breaker Closed_2 | Main Feeder Circuit Breaker | CB-switching event |
| 28 | 474.265 | VR1 Tap Lowered (12-05-05 to 13-06-06) | VR1 | Tap changer event |
| 29 | 494.265 | DG840 Switch Off | DG840 | DG-switching event |
| 30 | 514.265 | A-B Fault 10ohms at O | O | Short circuit fault event |
| 31 | 514.305 | Main Feeder Circuit Breaker Tripped on A-B Fault | Main Feeder Circuit Breaker | CB trip event |
| 32 | 534.048 | Fault Rectified and Cable Kept in SRVC | O | Fault clearing |
| 33 | 554.048 | Main Feeder Circuit Breaker Closed_3 | Main Feeder Circuit Breaker | CB-switching event |
| 34 | 574.048 | Customer requested outage at SL848 | SL 848 | Load-switching event |
| 35 | 594.048 | Cap 848 Switch Off | S Capacitor 2 | Capacitor bank Event |
| 36 | 614.048 | OHL section D De-energized 4 Jumper Connection | D | Line De-energization |
| 37 | 634.048 | OHL section E De-energized 4 Jumper Connection | E | Line energization |
| 38 | 654.048 | B-N Jumper 808-810 Connected | 808-810 B-N Jumper | OHL jumper connection |
| 39 | 674.048 | OHL section E Connected for engzn | E | Line energization |
| 40 | 694.048 | OHL section D Connected and Svc restd2al | D | Line energization |
| 41 | 714.048 | DG852 Switched On | DG852 | DG-switching event |
| 42 | 734.048 | A_G Fault at A | A | Short circuit fault event |
| 43 | 734.088 | DG852 Tripped on A-G Fault | CB | DG trip event |
| 44 | 734.128 | Main Feeder Circuit Breaker Tripped on A-G Fault | Main Feeder Circuit Breaker | CB trip event |
| 45 | 754.128 | Fault Rectified and Cable Kept in SVC | A | Fault clearing |
| 46 | 774.128 | Main Feeder Circuit Breaker Closed_4 | A | CB-switching event |
| 47 | 794.128 | B-C Jumper OP between 834-842 | p | OHL jumper opening |
| 48 | 814.128 | B_C Fault at p | p | Short circuit fault event |
| 49 | 814.168 | Main Feeder Circuit Breaker Tripped on BC SC Fault | Main Feeder Circuit Breaker | CB trip event |
| 50 | 834.168 | SC Fault Cleared | p | Fault Clearing |
| 51 | 854.168 | Jumper Closed 834 to 842 | Jumper | OHL jumper connection |
| 52 | 874.168 | Main Feeder Circuit Breaker Closed_5 | Main Feeder Circuit Breaker | CB-switching event |
| 53 | 894.168 | DG 850 Switched On | DG850 | DG-switching event |
| 54 | 914.168 | BCN Load Trip Event | DL 802-806 | Load trip event |
| 55 | 934.168 | A-B-G Fault at F | F | Short circuit fault event |
| 56 | 934.208 | DG850 Tripped | DG850 | DG trip event |
| 57 | 934.248 | Main Feeder Circuit Breaker tripped on A-B-G Fault | Main Feeder Circuit Breaker | CB trip event |
| 58 | 954.248 | A-B-G Fault Cleared | F | Fault clearing |
| 59 | 974.248 | Main Feeder Circuit Breaker Closed_6 | Main Feeder Circuit Breaker | CB-switching event |
| 60 | 994.248 | C-phase of DL 834-860 Tripped | DL 834-860 | Load trip event |
| 61 | 1014.248 | MCB of C-phase Closed for DL 834-860 | DL 834-860 | Load-switching event |
| 62 | 1034.248 | DG802 Switched On | DG802 | DG-switching event |
| 63 | 1054.248 | DG840 Switched On Generation Increased | DG840 | DG-switching event |
| 64 | 1074.248 | ABCN-G Fault at L | L | Short circuit fault event |
| 65 | 1074.288 | DG840 Tripped | DG840 | DG trip event |
| 66 | 1074.328 | DG802 Tripped | DG802 | DG trip event |
| 67 | 1074.368 | Main Feeder Circuit Breaker Tripped on ABCG Fault | Main Feeder Circuit Breaker | CB trip event |
| 68 | 1094.368 | ABCG Fault Cleared | L | Fault Clearing |
| 69 | 1114.368 | Main feeder Circuit Breaker Closed07 | Main Feeder Circuit Breaker | CB-switching event |
| 70 | 1134.368 | 2 PH YN load Switched On (DL 802-806) | DL 802-806 | Load-switching event |
| 71 | 1154.368 | 2 PH YN load Switched Off (DL 844-846)byC | DL 844-846 | Load-switching event |
| 72 | 1174.368 | 2 PH YN load Switched On (DL 844-846)by C | DL 844-846 | Load-switching event |
| 73 | 1194.368 | B-G Fault 10 ohms at m | m | Short circuit fault event |
| 74 | 1194.408 | XF10 Tripped | XF10 | Transformer trip event |
| 75 | 1214.408 | B-C-G Fault 10 ohms at q | q | Short circuit fault event |
| 76 | 1214.448 | Main Feeder Circuit Breaker Tripped on B-C-G Fault | Main Feeder Circuit Breaker | CB trip event |
| 77 | 1234.448 | B-C-G Fault Cleared | q | Fault Clearing |
| 78 | 1254.448 | Main Feeder Circuit Breaker Closed_8 | Main Feeder Circuit Breaker | CB-switching event |
| 79 | 1274.448 | A-N load Switch Off (DL 820-822) | DL 820-822 | Load-switching event |
| 80 | 1294.448 | C-A Fault 10 ohms at B | B | Short circuit fault event |
| 81 | 1294.488 | Main Feeder Circuit Breaker Tripped on C-A Fault | Main Feeder Circuit Breaker | CB trip event |
| 82 | 1314.488 | C-A Fault Cleared | B | Fault clearing |
| 83 | 1334.488 | Main Feeder Circuit Breaker Closed_9 | Main Feeder Circuit Breaker | CB-switching event |
| 84 | 1354.488 | B-G Fault Cleared at m | m | Fault clearing |
| 85 | 1374.488 | XF10 Switched On | XF10 | Transformer energization |
| 86 | 1394.488 | DG852 Switch On | DG852 | DG-switching event |
| 87 | 1414.488 | VR2 Tap Raised (08-06-07 to 09-07-08) | VR2 | Tap changer event |
| 88 | 1434.488 | VR2 Tap Raised (09-07-08 to 10-08-09) | VR2 | Tap changer event |
| 89 | 1454.488 | VR2 Tap Raised (10-08-09 to 11-09-10) | VR2 | Tap changer event |
| 90 | 1474.488 | VR2 Tap Raised (11-09-10 TO 12-10-11) | VR2 | Tap changer event |
| 91 | 1494.488 | VR2 Tap Raised (12-10-11 to 13-11-12) | VR2 | Tap changer event |
| 92 | 1514.488 | DG852 Switch Off | DG852 | DG-switching event |
| 93 | 1534.488 | C-A-G Fault 10 ohms at A | A | Short circuit fault event |
| 94 | 1534.528 | Main Feeder Circuit Breaker Tripped on C-A-G Fault | Main Feeder Circuit Breaker | CB trip event |
| 95 | 1554.528 | C-A-G Fault Cleared at A | A | Fault clearing |
| 96 | 1574.528 | Main Feeder Circuit Breaker Closed | Main Feeder Circuit Breaker | CB-switching event |
| 97 | 1594.528 | A-N load Switch On (DL 820-822) | DL 820-822 | Load-switching event |
| 98 | 1614.528 | C-G Fault 10 ohms at A | A | Short circuit fault event |
| 99 | 1614.568 | Main Feeder Circuit Breaker Tripped onC-G Fault | Main Feeder Circuit Breaker | CB trip event |
| 100 | 1634.568 | C-G Fault cleared at A | A | Fault clearing |
| 101 | 1654.568 | Main Feeder Circuit Breaker Closed | Main Feeder Circuit Breaker | CB-switching event |
| 102 | 1674.568 | Low Voltage Complaint from SL 890 | SL 890 | LV complaint |
| 103 | 1694.568 | VR1 Tap Raised (13-06-06 to 14-07-07) | VR1 | Tap changer event |
| 104 | 1714.568 | VR1 Tap Raised (14-07-07 to 15-08-08) | VR1 | Tap changer event |
| 105 | 1734.568 | SL 890 Energized after V regulation | SL 890 | Load-switching event |
| 106 | 1740.568 | Cap844 Switch On | S Capacitor 1 | Capacitor bank event |
| 107 | 1746.025 | SL 844 Switch On | SL 844 | Load-switching event |
| 108 | 1777.123 | SL 848 Switch On | SL 848 | Load-switching event |
| 109 | 1799.001 | Cap848 Switch On | S Capacitor 2 | Capacitor bank event |
Appendix B






References
- Von Meier, A.; Stewart, E.; McEachern, A.; Andersen, M.; Mehrmanesh, L. Precision μ-Synchrophasors for Distribution Systems: A Summary of Applications. IEEE Trans. Smart Grid 2017, 2, 2926–2936. [Google Scholar] [CrossRef]
- Dusabimana, E.; Yoon, S.-G. A Survey on the μ-Phasor Measurement Unit in Distribution Networks. Energies 2020, 9, 305. [Google Scholar] [CrossRef]
- Shahsavari, A.; Farajollahi, M.; Stewart, E.M.; Cortez, E.; Mohsenian-Rad, H. Situational Awareness in Distribution Grid Using μPMU Data: A Machine Learning Approach. IEEE Trans. Smart Grid 2019, 10, 6167–6177. [Google Scholar] [CrossRef]
- Energy Technologies Area. Available online: https://eta-publications.lbl.gov/sites/default/files/lbnl-1006408_open_uμPMU_ieee_oct2016.pdf (accessed on 13 November 2022).
- Haridas, R.P. GPS Based Phasor Technology in Electrical Power System. IJEEE 2014, 3, 493–496. [Google Scholar] [CrossRef]
- Power Standards Lab. Introduction to μPMU. Available online: www.powerstandards.com$/wpcontent/uploads/dlm_uploads/2017/10/$Introduction-to-μμPMU.pdf (accessed on 13 November 2022).
- Lee, L.; Centeno, V. Comparison of mμPMU and μPMU. In Proceedings of the Clemson University Power Systems Conference (PSC), Charleston, SC, USA, 4–7 December 2018; pp. 1–6. [Google Scholar]
- Kummerow, A.; Rösch, D.; Monsalve, C.; Nicolai, S.; Bretschneider, P.; Brosinsky, C.; Westermann, D. Challenges and Opportunities for Phasor Data Based Event Detection in Transmission Control Centers under Cyber Security Constraints. In Proceedings of the 2019 IEEE Milan PowerTech, Milan, Italy, 23–27 June 2019; pp. 1–6. [Google Scholar]
- Sajan, K.S.; Bariya, M.; Basak, S.; Srivastava, A.; Dubey, A.; von Meier, A.; Biswas, G. Realistic Synchrophasor Data Generation for Anomaly Detection and Event Classification. In Proceedings of the 2020 8th Workshop on Modeling and Simulation of Cyber-Physical Energy Systems, Sydney, NSW, Australia, 21 April 2020; pp. 1–6. [Google Scholar]
- Shahsavari, A.; Farajollahi, M.; Stewart, E.; Roberts, C.; Megala, F.; Alvarez, L.; Cortez, E.; Mohsenian-Rad, H. Autopsy on active distribution networks: A data-driven fault analysis using μPMU data. In Proceedings of the 2017 North American Power Symposium (NAPS), Morgantown, WV, USA, 17–19 September 2017; pp. 1–7. [Google Scholar]
- Aligholian, A.; Shahsavari, A.; Stewart, E.M.; Cortez, E.; Mohsenian-Rad, H. Unsupervised Event Detection, Clustering, and Use Case Exposition in μPMU Measurements. IEEE Trans. Smart Grid 2021, 12, 3624–3636. [Google Scholar] [CrossRef]
- Soltani, Z.; Khorsand, M. Real-Time Topology Detection and State Estimation in Distribution Systems Using μPMU and Smart Meter Data. IEEE Syst. J. 2022, 16, 3554–3565. [Google Scholar] [CrossRef]
- Khaledian, P.; Mohsenian-Rad, H. Automated Event Region Identification and Its Data-Driven Applications in Behind-the-Meter Solar Farms Based on μPMU Measurements. IEEE Trans. Smart Grid 2022, 13, 2094–2106. [Google Scholar] [CrossRef]
- Bu, F.; Dehghanpour, K.; Wang, Z. Enriching Load Data Using μPMUs and Smart Meters. IEEE Trans. Smart Grid 2021, 12, 5084–5094. [Google Scholar] [CrossRef]
- Shahsavari, A.; Farajollahi, M.; Stewart, E.; von Meier, A.; Alvarez, L.; Cortez, E.; Mohsenian-Rad, H. A data-driven analysis of capacitor bank operation at a distribution feeder using μPMU data. In Proceedings of the 2017 IEEE Power & Energy Society Innovative Smart Grid Technologies Conference (ISGT), Washington, DC, USA, 23–26 April 2017; pp. 1–5. [Google Scholar]
- Farajollahi, M.; Shahsavari, A.; Stewart, E.M.; Mohsenian-Rad, H. Locating the Source of Events in Power Distribution Systems Using μPMU Data. IEEE Trans. Power Syst. 2018, 33, 6343–6354. [Google Scholar] [CrossRef]
- Zhang, Y.; Wang, J.; Khodayar, M.E. Graph-Based Faulted Line Identification Using μPMU Data in Distribution Systems. IEEE Trans. Smart Grid 2020, 11, 3982–3992. [Google Scholar] [CrossRef]
- Sanitha, G.; Shereef, R.M. μPMU data based location identification and classification of events. In Proceedings of the 2020 IEEE International Conference on Power Electronics, Smart Grid and Renewable Energy (PESGRE2020), Cochin, India, 2–4 January 2020; pp. 1–6. [Google Scholar]
- Duan, N.; Stewart, E.M. Frequency Event Categorization in Power Distribution Systems Using μPMU Measurements. IEEE Trans. Smart Grid 2020, 11, 3043–3053. [Google Scholar] [CrossRef]
- Stewart, E.M.; Kiliccote, S.; Shand, C.M.; McMorran, A.W.; Arghandeh, R.; von Meier, A. Addressing the challenges for integrating micro-synchrophasor data with operational system applications. In Proceedings of the 2014 IEEE PES General Meeting & Exposition, National Harbor, MD, USA, 27–31 July 2014; pp. 1–5. [Google Scholar]
- Jacob, R.A.; Paul, S.; Li, W.; Chowdhury, S.; Gel, Y.R.; Zhang, J. Reconfiguring Unbalanced Distribution Networks using Reinforcement Learning over Graphs. In Proceedings of the 2022 IEEE Texas Power and Energy Conference (TPEC), College Station, TX, USA, 28 February–1 March 2022; pp. 1–6. [Google Scholar]
- Dashti, R.; Ghasemi, M.; Daisy, M. Fault location in power distribution network with presence of distributed generation resources using impedance based method and applying π line model. Energy 2018, 159, 344–360. [Google Scholar] [CrossRef]
- Haleem, A.M.I.; Sharma, M.; Sajan, K.S.; Babu, K.N.D. A Comparative Review of Fault Location/Identification Methods in Distribution Networks. In Proceedings of the 2018 1st International Conference on Advanced Research in Engineering Sciences (ARES), Dubai, United Arab Emirates, 15 June 2018; pp. 1–6. [Google Scholar]
- Kersting, W. Radial distribution test feeders. IEEE Trans. Power Syst. 2001, 2, 908–912. [Google Scholar]
- Radial Distribution Test Feeders. Available online: http://ewh.ieee.org/soc/pes/dsacom/testfeeders.html (accessed on 13 November 2022).
- Digsilent Powerfactory 2022 Technical References. Available online: https://www.digsilent.de/en/powerfactory-download.html?folder=files%2Fdownloads%2Fprivate%2F10_PowerFactory%2F10_PowerFactory_2022%2F70_Technical+References (accessed on 13 November 2022).
- IEEE. IEEE Tutorial Course on Distribution Automation; 88 EH0280-8 PWR; IEEE Power Engineering Society: Piscataway, NJ, USA, 1988. [Google Scholar]
- IEEE. IEEE Tutorial Course on Power Distribution Planning; 92 EHO 381-6 PWR; IEEE Power Engineering Society: Piscataway, NJ, USA, 1992. [Google Scholar]
- Birt, K.A.; Graffy, J.J.; McDonald, J.D.; El-Abiad, A.H. Three phase load flow program. IEEE Trans. Power Appar. Syst. 1976, 952, 59–65. [Google Scholar] [CrossRef]
- Chen, T.H.; Chen, M.S.; Hwang, K.-J.; Kotas, P.; Chebli, E.A. Distribution system power flow analysis-A rigid approach. IEEE Trans. Power Deliv. 1991, 6, 1146–1152. [Google Scholar] [CrossRef]
- Chen, T.H.; Chen, M.S.; Inoue, T.; Chebli, E.A. Three-phase cogenerator and transformer models for distribution system analysis. IEEE Trans. Power Deliv. 1991, 6, 1671–1681. [Google Scholar] [CrossRef]
- Lin, W.M.; Teng, J.H. Three-phase distribution network fast decoupled power flow solution. Int. J. Elect. Power Energy Syst. 2000, 5, 375–380. [Google Scholar] [CrossRef]
- Teng, J.-H.; Chang, C.-Y. A novel and fast three-phase load flow for unbalanced radial distribution systems. IEEE Trans. Power Syst. 2002, 17, 1238–1244. [Google Scholar] [CrossRef]
- Kotha, S.K.; Rajpathak, B.; Ramesh, B.; Khedkar, M.K. Optimal Placement of μPMUs for Real-time Monitoring of Inter-Connected Smart Distribution Networks. In Proceedings of the 2nd Asian Conference on Innovation in Technology (ASIANCON), Ravet, India, 26–28 August 2022; pp. 1–5. [Google Scholar]
- Tahabilder, A.; Ghosh, P.K.; Chatterjee, S.; Rahman, N. Distribution system monitoring by using μPMU in graph theoretic way. In Proceedings of the 2017 4th International Conference on Advances in Electrical Engineering (ICAEE), Dhaka, Bangladesh, 28–30 September 2017; pp. 159–163. [Google Scholar]
- Chen, X.; Chen, T.; Tseng, K.J.; Sun, Y.; Amaratunga, G. Hybrid approach based on global search algorithm for optimal placement of μPMU in distribution networks. In Proceedings of the 2016 IEEE Innovative Smart Grid Technologies—Asia (ISGT-Asia), Melbourne, VIC, Australia, 28 November–1 December 2016; pp. 559–563. [Google Scholar]
- Jamil, E.; Rihan, M.; Anees, M.A. Towards optimal placement of phasor measurement units for smart distribution systems. In Proceedings of the 2014 6th IEEE Power India International Conference (PIICON), Delhi, India, 5–7 December 2014; pp. 1–6. [Google Scholar]
- Silva, J.A.; Funmilayo, H.B.; Bulter-Purry, K.L. Impact of Distributed Generation on the IEEE 34 Node Radial Test Feeder with Overcurrent Protection. In Proceedings of the 2007 39th North American Power Symposium, Las Cruces, NM, USA, 30 September–2 October 2007; pp. 49–57. [Google Scholar]
- Short, T.A. Electric Power Distribution Handbook, 2nd ed.; CRC Press: Boca Raton, FL, USA, 2014. [Google Scholar]
- Shahsavari, A. Data-Driven Analysis of Power Distribution Synchrophasors with Applications to Situational Awareness, Load Modeling, and Reliability. Ph.D. Thesis, University of California, Riverside, CA, USA, September 2019. [Google Scholar]













| A-N Voltage * | B-N Voltage * | C-N Voltage * | |
|---|---|---|---|
| Minimum Error | −0.0021 | −0.0007 | −0.0002 |
| Maximum Error | 0.0002 | 0.0004 | 0.0006 |
| Average Error | −0.0001 | 0.0001 | 0.0000 |
| A-N Angle * | B-N Angle * | C-N Angle * | |
|---|---|---|---|
| Minimum Error | −0.0091 | −0.0001 | −0.0006 |
| Maximum Error | 0.0737 | 0.0000 | 0.0000 |
| Average Error | 0.0095 | 0.0000 | −0.0001 |
| Line A * | Line B * | Line C * | |
|---|---|---|---|
| Minimum Error | −0.0256 | −0.0067 | −0.0020 |
| Maximum Error | 0.2857 | 0.0322 | 0.0285 |
| Average Error | 0.0111 | 0.0020 | 0.0017 |
| Line A Current Angle * | Line B Current Angle * | Line C Current Angle * | |
|---|---|---|---|
| Minimum Error | −0.0004 | −0.0029 | −0.0128 |
| Maximum Error | 0.0014 | 0.0004 | 0.0004 |
| Average Error | 0.0000 | 0.0000 | −0.0003 |
| Active Power (kW) | Reactive Power (kVAr) | % Error | |
|---|---|---|---|
| Total System Input | 2043.13 (2042.872) | 290.47 (290.258) | kW = 0.0001 kVAr = 0.0007 |
| Total Load * | 1769.66 (1769.824) | 1051.47 (1051.547) | kW = 0.0000 kVAr = 0.0000 |
| Total Losses | 273.47 (273.049) | 35.28 (34.999) | kW = 0.0015 kVAr = 0.0080 |
| Method | Approach | No. of μPMUs | Optimal Locations |
|---|---|---|---|
| [34] | Deployment cost minimization | 12 | 802, 810, 814, 820, 824, 834, 838, 840, 846, 854, 864, and 888 |
| Full system observability | 12 * | 802, 808, 820, 824, 834, 836, 846, 850, 854, 858, 862, and 888 | |
| [35] | Full system observability | 12 | 802, 808, 814, 820, 824, 834, 836, 846, 854, 858, 862, and 888 |
| Full system observability | 12 * | 802, 808, 850, 820, 824, 834, 836, 846, 854, 858, 862, and 888 | |
| [36] | Full system observability (with Min. No. of μPMUs) | 12 | 802, 808, 814, 820, 824, 834, 836, 846, 854, 858, 862, and 888 |
| Full system observability (with Min. No. of μPMUs) | 12 * | 802, 808, 850, 820, 824, 834, 836, 846, 854, 858, 862, and 888 | |
| [37] | Full system observability | 12 | 802, 808, 814, 820, 824, 834, 836, 846, 854, 858, 862, and 888 |
| V = 480 (V) | kVA = 410 (kVA) | P = 350 (kW) |
| V = 1 (p.u.) | Q = 0.5 (p.u.) | Q = −0.25 (p.u.) |
| pf = 0.8536585 | X = 1.76 (p.u.) | X = 1.66 (p.u.) |
| X = 0.21 (p.u.) | X = 0.18 (p.u.) | X = 0.13 (p.u.) |
| X = 0.11 (p.u.) | r = 0 (p.u.) | r = 0 (p.u.) |
| r = 0 (p.u.) | X = 0 (p.u.) | X = 0 (p.u.) |
| Tested Data | Event Location | If Master μPMU Value ⪖ MSSC | If Any μPMU Value ⪖ Threshold | Classified Event |
|---|---|---|---|---|
| Tap Lowering | VR1 | No | No | No-fault |
| A-G fault | At 99.99% of line section “m” with 20 ohms | Yes | Yes | Fault |
| Capacitor Off | 844 | No | No | No-fault |
Disclaimer/Publisher’s Note: The statements, opinions and data contained in all publications are solely those of the individual author(s) and contributor(s) and not of MDPI and/or the editor(s). MDPI and/or the editor(s) disclaim responsibility for any injury to people or property resulting from any ideas, methods, instructions or products referred to in the content. |
© 2023 by the authors. Licensee MDPI, Basel, Switzerland. This article is an open access article distributed under the terms and conditions of the Creative Commons Attribution (CC BY) license (https://creativecommons.org/licenses/by/4.0/).
Share and Cite
Medattil Ibrahim, A.H.; Sharma, M.; Subramaniam Rajkumar, V. Realistic μPMU Data Generation for Different Real-Time Events in an Unbalanced Distribution Network. Energies 2023, 16, 3842. https://doi.org/10.3390/en16093842
Medattil Ibrahim AH, Sharma M, Subramaniam Rajkumar V. Realistic μPMU Data Generation for Different Real-Time Events in an Unbalanced Distribution Network. Energies. 2023; 16(9):3842. https://doi.org/10.3390/en16093842
Chicago/Turabian StyleMedattil Ibrahim, Abdul Haleem, Madhu Sharma, and Vetrivel Subramaniam Rajkumar. 2023. "Realistic μPMU Data Generation for Different Real-Time Events in an Unbalanced Distribution Network" Energies 16, no. 9: 3842. https://doi.org/10.3390/en16093842
APA StyleMedattil Ibrahim, A. H., Sharma, M., & Subramaniam Rajkumar, V. (2023). Realistic μPMU Data Generation for Different Real-Time Events in an Unbalanced Distribution Network. Energies, 16(9), 3842. https://doi.org/10.3390/en16093842

