Effects of Trapping Characteristics on Space Charge and Electric Field Distributions in HVDC Cable under Electrothermal Stress
Abstract
1. Introduction
2. Simulation Model and Bipolar Charge Transport Theory
3. Results and Discussion
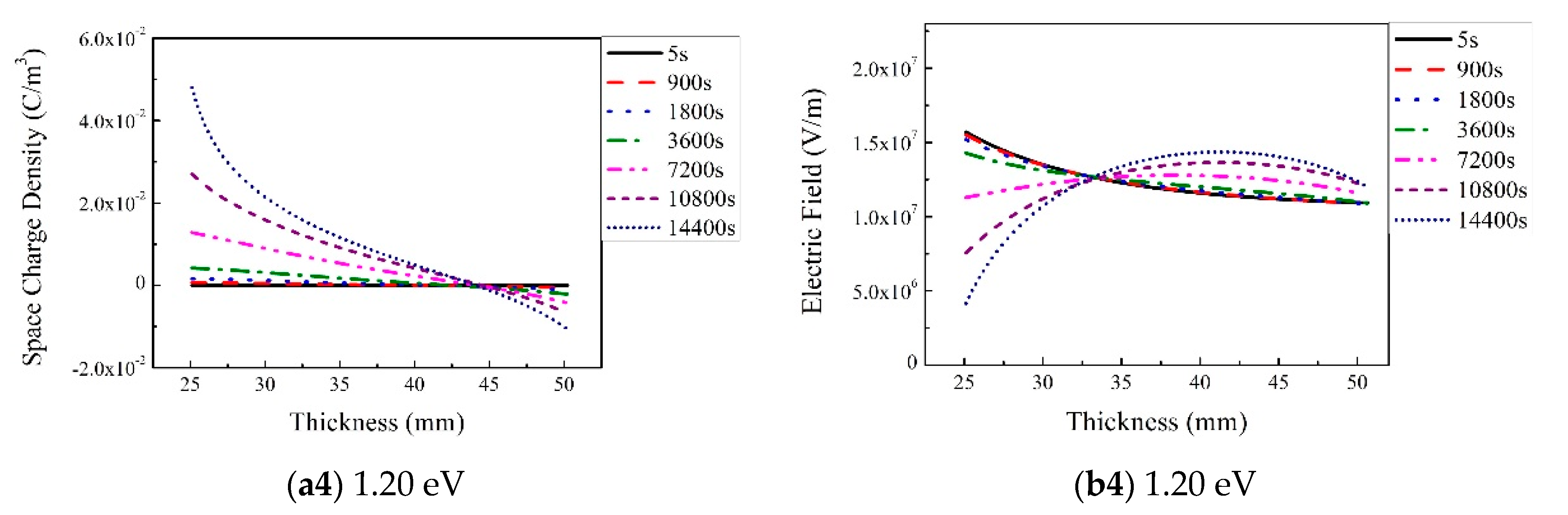
3.1. Effects of Trap Depth on Space Charge and Electric Field Evolution
3.2. Effects of Trap Density on Space Charge and Electric Field Evolution
3.3. Effects of Load Current on Space Charge and Electric Field Evolution
3.4. Effects of Applied Voltage on Space Charge and Electric Field Evolution
4. Conclusions
- (1)
- The effect of trapping characteristics on space charge and electric field evolution in HVDC cable insulation under electrothermal stress is obviously different from that in the plate samples with constant temperature, and more complex especially when the current load varies.
- (2)
- Enhancing bulk conduction current by decreasing trap depth and trap density can effectively suppress the accumulation of bulk space charge and conductor–insulation interface space charge. However, this will increase the leaking current and power loss.
- (3)
- Simultaneously increasing the trap density and depth can remarkably suppress bulk space charge accumulation and electric field distortion in the cable insulation under the electrothermal coupling field. However, the effect of trapped charges with large density at the conductor–dielectric interface on the dielectric properties of the HVDC cable insulation should be reassessed especially under polarity reversal conditions.
Author Contributions
Funding
Institutional Review Board Statement
Informed Consent Statement
Data Availability Statement
Acknowledgments
Conflicts of Interest
References
- Du, B.X.; Li, Z.; Yang, Z.; Jin, L. Application and research progress of HVDC XLPE cables. High Volt. Eng. 2017, 43, 344–354. [Google Scholar]
- Mazzanti, G.; Marzinotto, M. Extruded Cables for High Voltage Direct Current Transmission: Advances in Research and Development; John Wiley & Sons: Hoboken, NJ, USA, 2013. [Google Scholar]
- Hao, Y.P.; Chen, Y.; Yang, L.; Qiu, W.H.; Fu, M.; Hou, S. Coupled Simulation on Electro-thermal-fluid Multiple Physical Fields of HVDC Submarine Cable. High Volt. Eng. 2017, 43, 3534–3542. [Google Scholar]
- He, J.L.; Dang, B.; Zhou, Y.; Hu, J. Reviews on Research Progress and Key Technology in Extruded Cables for HVDC Trans-mission. High Volt. Eng. 2015, 41, 1417–1429. [Google Scholar]
- Mazzanti, G.; Marzinotto, M. Fundamentals of HVDC Cable Transmission. In Extruded Cables for High-Voltage Direct-Current Transmission: Advances in Research and Development; IEEE: New York, NY, USA, 2013; Volume 43, pp. 11–40. [Google Scholar]
- Li, Z.H.; Liu, L.L.; Zheng, H.; Liang, S.T. Simulation on the Influence Factors of Electric Field Distribution in HVDC Cable. Proc. CSEE 2016, 36. [Google Scholar]
- Yan, Y.X.; Fang, X.L.; Zhang, W.G.; Zhao, J.; Chen, C. Cable Section and Laying of Xiamen ±320 kV Flexible DC Cable Transmission Project. High Volt. Eng. 2015, 41, 1147–1153. [Google Scholar]
- Doedens, E.; Jarvid, E.M.; Guffond, R.; Serdyuk, Y.V. Space Charge Accumulation at Material Interfaces in HVDC Cable Insulation Part I—Experimental Study and Charge Injection Hypothesis. Energies 2020, 13, 2005. [Google Scholar] [CrossRef]
- Doedens, E.; Jarvid, E.M.; Guffond, R.; Serdyuk, Y.V. Space Charge Accumulation at Material Interfaces in HVDC Cable Insulation Part II—Simulations of Charge Transport. Energies 2020, 13, 1750. [Google Scholar] [CrossRef]
- Rizzo, G.; Romano, P.; Imburgia, A.; Viola, F.; Ala, G. The Effect of the Axial Heat Transfer on Space Charge Accumulation Phenomena in HVDC Cables. Energies 2020, 13, 4827. [Google Scholar] [CrossRef]
- Zhan, Y.; Chen, G.; Hao, M.; Pu, L.; Zhao, X.; Wang, S.; Liu, J. Space Charge Measurement and Modelling in Cross-Linked Polyethylene. Energies 2020, 13, 1906. [Google Scholar] [CrossRef]
- Zhou, Y.; Wang, W.; Guo, T. Space Charge Accumulation Characteristics in HVDC Cable under Temperature Gradient. Energies 2020, 13, 5571. [Google Scholar] [CrossRef]
- Kim, S.; Lee, B. Numerical Analysis of Space Charge Behavior and Transient Electric Field under Polarity Reversal of HVDC Extruded Cable. Energies 2020, 13, 2845. [Google Scholar] [CrossRef]
- Du, B.X.; Han, C.; Li, J.; Li, Z. Temperature-dependent DC conductivity and space charge distribution of XLPE/GO nanocom-posites for HVDC cable insulation. IEEE Trans. Dielectr. Electr. Insul. 2020, 27, 418–426. [Google Scholar] [CrossRef]
- Tian, F.Q.; Hou, C.Y. A trap regulated space charge suppression model for LDPE based nanocomposites by simulation and experiment. IEEE Trans. Dielectr. Electr. Insul. 2018, 25, 2169–2177. [Google Scholar] [CrossRef]
- Mauseth, F.; Haugdal, H. Electric field simulations of high voltage DC extruded cable systems. IEEE Electr. Insul. Mag. 2017, 33, 16–21. [Google Scholar] [CrossRef]
- Che, H. Simulation on Dynamic Space Charge Behaviour in LDPE. Master Thesis, Harbin University of Science and Technology, Harbin, China, 2014. [Google Scholar]
- Wu, J. Charge Transport Investigation in Low-Density Polyethylene/Silica Nanocomposite Based on Experiment and Numerical Simulation. Ph.D. Thesis, Shanghai Jiao Tong University, Shanghai, China, 2012. [Google Scholar]
- Xia, J. Numerical Simulation and Experimental Study on Space Charge Interface Injection and Bulk Tranportion in LDPE. Ph.D. Thesis, Tongji University, Shanghai, China, 2010. [Google Scholar]
- Tian, F.; Zhang, J.; Peng, X.; Hou, C. Interface trapping effects on the charge transport characteristics of LDPE/ZnO nano-composites. IEEE Trans. Dielectr. Electr. Insul. 2017, 24, 1888–1895. [Google Scholar] [CrossRef]
- Tian, F.; Yao, J.; Li, P.; Wang, Y.; Wu, M.; Lei, Q. Stepwise electric field induced charging current and its correlation with space charge formation in LDPE/ZnO nanocomposite. IEEE Trans. Dielectr. Electr. Insul. 2015, 22, 1232–1239. [Google Scholar] [CrossRef]
- Tian, F.; Lei, Q.; Wang, X.; Wang, Y. Effect of Deep Trapping States on Space Charge Suppression in Polyethylene/ZnO Nanocomposite. Appl. Phys. Lett. 2011, 99, 142903. [Google Scholar] [CrossRef]
- Tian, F.; Lei, Q.; Wang, X.; Wang, Y. Investigation of electrical properties of LDPE/ZnO nanocomposite dielectrics. IEEE Trans. Dielectr. Electr. Insul. 2012, 19, 763–769. [Google Scholar] [CrossRef]
- Zhou, Y.; Yuan, C.; Li, C.; Meng, P.; Hu, J.; Li, Q.; He, J. Temperature dependent electrical properties of thermoplastic polypropylene nanocomposites for HVDC cable insulation. IEEE Trans. Dielectr. Electr. Insul. 2019, 26, 1596–1604. [Google Scholar] [CrossRef]
- Paramane, A.; Chen, X.; Dai, C.; Guan, H.; Yu, L.; Tanaka, Y. Electrical insulation performance of cross-linked polyeth-ylene/MgO nanocomposite material for ±320 kV high-voltage direct-current cables. Polym. Compos. 2020, 41, 1936–1949. [Google Scholar] [CrossRef]
- Liang, Y.; Liu, L.; Zhang, W.; Weng, L.; Li, C. Preparation and electrical properties of 4-acetoxystyrene grafted polypropylene for HVDC cable insulation. J. Mater. Sci. Mater. Electron. 2020, 31, 3890–3898. [Google Scholar] [CrossRef]
- Zha, J.W.; Qin, Q.Q.; Dang, Z.M. Effect of multi-dimensional zinc oxide on electrical properties of polypropylene nanocom-posites for HVDC cables. IEEE Trans. Dielectr. Electr. Insul. 2019, 26, 868–875. [Google Scholar] [CrossRef]
- Ashish, P.; Sathish, K.; Hafizi, A.M.; Afendi, M.P.M. Space Charge and Conductivity Measurement of XLPE Nanocomposites for HVDC Insulation—Permittivity as a Nanofiller Selection Parameter. IET Sci. Meas. Technol. 2018, 12, 1058–1065. [Google Scholar]


















| Construction | Thickness or Radius (mm) | Density (kg/mm3) | Coefficient of Heat Conductivity (W/(m·K)) | Specific Heat Capacity (J/(kg·K)) |
|---|---|---|---|---|
| Conductor | 25 | 8.89 × 10−6 | - | 390 |
| Conductor shield | 2 | 1.12 × 10−6 | 0.25 | 2700 |
| Insulation | 26 | 1.20 × 10−6 | 0.20 | 2300 |
| Insulation shield | 1 | 1.12 × 10−6 | 0.25 | 2700 |
| Water-blocking tape | 2 | 1.15 × 10−6 | 0.23 | 2000 |
| Metallic sheath | 2.8 | 2.70 × 10−6 | 156 | 947 |
| Polyethylene sheath | 5 | 0.95 × 10−6 | 0.30 | 2302 |
| Soil | 200 | 2.60 × 10−6 | 0.20 | 1500 |
| Model Parameter | Numerical Value | Unit |
|---|---|---|
| Electron injection barrier | 1.25 | eV |
| Hole injection barrier | 1.25 | eV |
| Electron jump barrier height | 0.45 | eV |
| Hole jump barrier height | 0.45 | eV |
| Jump distance between electronic shallow traps | 3 × 10−9 | m |
| Jump distance between shallow hole traps | 3 × 10−9 | m |
| Electron trapping coefficient | 0.1 | s−1 |
| Hole trapping coefficient | 0.1 | s−1 |
| Deep trap density of electron | 80 × 1019 | m−3 |
| Deep trap density of hole | 80 × 1019 | m−3 |
| Deep trap depth of electron | 0.94 | eV |
| Deep trap depth of hole | 0.94 | eV |
| Recombination coefficient S1, S2, S3 | 1 × 10−5 | m3·C−1·s−1 |
| Recombination coefficient S0 | 0 | m3·C−1·s−1 |
Publisher’s Note: MDPI stays neutral with regard to jurisdictional claims in published maps and institutional affiliations. |
© 2021 by the authors. Licensee MDPI, Basel, Switzerland. This article is an open access article distributed under the terms and conditions of the Creative Commons Attribution (CC BY) license (http://creativecommons.org/licenses/by/4.0/).
Share and Cite
Tian, F.; Zhang, S.; Hou, C. Effects of Trapping Characteristics on Space Charge and Electric Field Distributions in HVDC Cable under Electrothermal Stress. Energies 2021, 14, 1313. https://doi.org/10.3390/en14051313
Tian F, Zhang S, Hou C. Effects of Trapping Characteristics on Space Charge and Electric Field Distributions in HVDC Cable under Electrothermal Stress. Energies. 2021; 14(5):1313. https://doi.org/10.3390/en14051313
Chicago/Turabian StyleTian, Fuqiang, Shuting Zhang, and Chunyi Hou. 2021. "Effects of Trapping Characteristics on Space Charge and Electric Field Distributions in HVDC Cable under Electrothermal Stress" Energies 14, no. 5: 1313. https://doi.org/10.3390/en14051313
APA StyleTian, F., Zhang, S., & Hou, C. (2021). Effects of Trapping Characteristics on Space Charge and Electric Field Distributions in HVDC Cable under Electrothermal Stress. Energies, 14(5), 1313. https://doi.org/10.3390/en14051313

