Reduction of Power Imbalances Using Battery Energy Storage System in a Bulk Power System with Extremely Large Photovoltaics Interactions
Abstract
1. Introduction
2. Operation and Schedule Update Method for Generators and a Large BESS
2.1. Time Chart of the Schedule Update
2.1.1. Case 1 (Base Case)
2.1.2. Case 2 (Proposed Case)
2.2. Problem Formulation
2.2.1. Optimization Problem
2.2.2. Economic Dispatch
3. Simulation
3.1. Simulation Conditions
3.1.1. Power and Control Resources
3.1.2. Load Demand Data
3.1.3. PV Power Output Data
3.2. Simulation Results
3.2.1. Total Imbalance and Cost
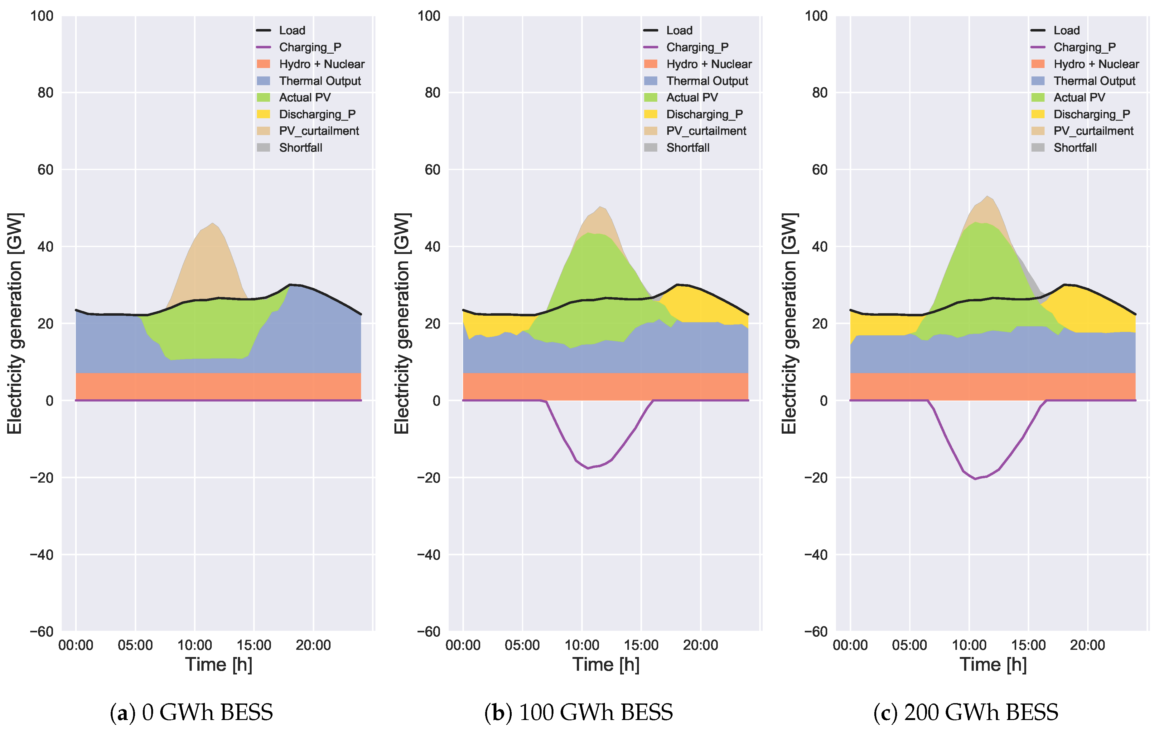
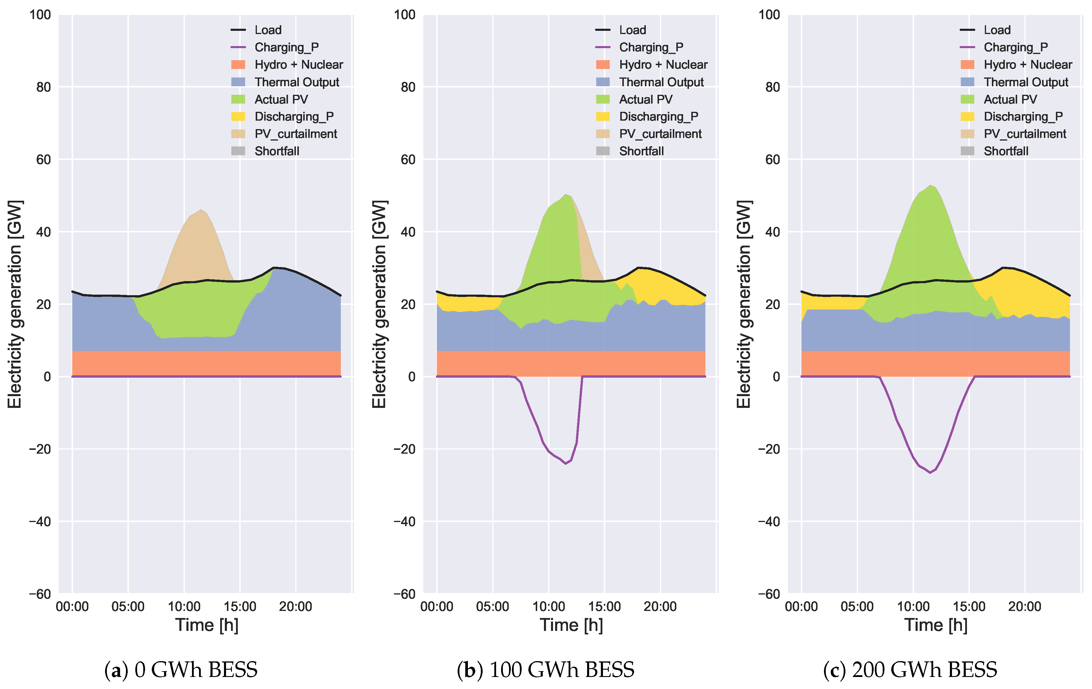
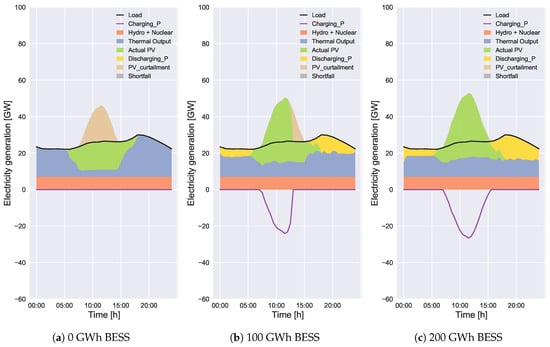
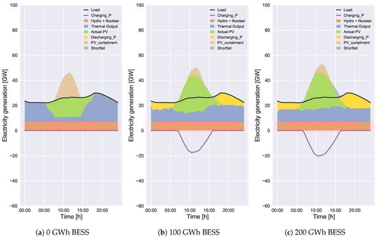
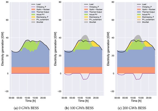
3.2.2. Daily generation curves
4. Conclusions
Author Contributions
Funding
Institutional Review Board Statement
Informed Consent Statement
Data Availability Statement
Conflicts of Interest
Abbreviations
| BESS | Battery energy storage system |
| LFC | Load frequency control |
| LT | Local time |
| MBE | Mean bias error |
| MILP | Mixed integer linear programming |
| MSM | Meso-scale model |
| PV | Photovoltaic |
| RMSE | Root mean square error |
| RT | Release time |
| SoC | State of charge |
| UC | Unit commitment |
Nomenclature
| Parameters | |
| Time interval of unit commitment calculation | |
| BESS charging efficiency | |
| The schedule cycle | |
| gradient of interval k of piece-wise linear fuel cost function of unit i | |
| parameters of fuel cost function for generator i | |
| Initial charge of the BESS | |
| Maximum charge of the BESS | |
| Total LFC regulating capacity of hydro power plants [ MW ] | |
| LFC regulating capacity of generator i | |
| Penalty cost for SoC difference | |
| Down time of generator i | |
| Fuel cost function at power p for generator i [ JPY/h ] | |
| Load curtailment cost of time j [ JPY/h ] | |
| Number of thermal power plants [h] | |
| PV curtailment cost of time j [ JPY/h ] | |
| The estimated PV power output at time t on day d | |
| The forecasted PV power output at time t on day d that was released at time | |
| Rated charging power of the BESS | |
| Rated discharging power of the BESS | |
| Total output of Hydro Power | |
| Forecasted load demand at time t | |
| Maximum rated output of generator i | |
| Minimum output of generator i | |
| Total output of Nuclear Power | |
| Forecasted PV power output at time t (Actual PV power output for in Case 2.) | |
| Ratio of required LFC regulation capacity to load demand | |
| Ramp up rate of generator i | |
| Ratio of upward reserve capacity | |
| Ratio of required LFC regulation capacity to PV power output | |
| Ramp up rate of generator i | |
| Startup cost of generator i | |
| Number of Time steps | |
| Current time in wall time | |
| Current time index | |
| time index at midnight | |
| Up time of generator i | |
| The generator schedule calculated by UC. 1 if generator i at time interval t is on and 0 otherwise | |
| Decision Variables | |
| charge of the BESS at time t | |
| load curtailment at time t | |
| PV curtailment at time t | |
| 1 if generator i is shutdown at time interval t. 0 otherwise. | |
| Output power of generator i at time t | |
| charging power for 100% efficient BESS at time t | |
| discharging power for BESS at time t | |
| 1 if generator i is started at time interval t. 0 otherwise. | |
| 1 if generator i at time interval t is on and 0 otherwise | |
| value of interval k of piece-wise linear fuel cost function of unit i at time interval t | |
| Auxiliary Variables | |
| value of interval k of piece-wise linear fuel cost function of unit i at time interval t | |
| Upper bound of SoC difference. | |
| 1 if BESS is charging at time interval t is on and 0 otherwise | |
| 1 if BESS is discharging at time interval t is on and 0 otherwise | |
References
- Present Status and Promotion Measures for the Introduction of Renewable Energy in Japan. Available online: http://www.meti.go.jp/english/policy/energy_environment/renewable (accessed on 11 May 2020).
- Domestic and Foreign Renewable Introduction and Agenda of The Calculation Committee for Procurement Price, etc. Available online: https://www.meti.go.jp/shingikai/santeii/pdf/046_01_00.pdf (accessed on 11 May 2020). (In Japanese)
- Long-Term Energy Supply and Demand Outlook (in Japanese). Available online: https://www.enecho.meti.go.jp/committee/council/basic_policy_subcommittee/mitoshi/pdf/report_01.pdf (accessed on 11 May 2020). (In Japanese)
- Japan Photovoltaic Energy Association (JPEA). Available online: http://www.jpea.gr.jp/en (accessed on 11 May 2020).
- JPEA PV Outlook. Available online: http://www.jpea.gr.jp/pvoutlook2050.pdf (accessed on 11 May 2020). (In Japanese).
- System Theory for Harmonized Power System Control Based on Photovoltaic Power Prediction. Available online: http://www.cyb.sc.e.titech.ac.jp/harps/en/index.php/ (accessed on 11 May 2020). (In Japanese).
- Masuta, T.; Oozeki, T.; Da Silva Fonseca, J.G., Jr.; Murata, A. Evaluation of Power Surpluses and Shortfalls Due to Error in Forecasting of Photovoltaic Generation Output. J. IEE Jpn. 2015, 192, 34–45. [Google Scholar] [CrossRef]
- Masuta, T.; da Silva Fonseca, J.G.; Ohtake, H.; Murata, A. Study on Demand and Supply Operation Using Forecasting in Power Systems with Extremely Large Integrations of Photovoltaic Generation. In Proceedings of the 4th International Conference Sustainable Energy Technol, Hanoi, Vietnam, 14–16 November 2016. [Google Scholar]
- Margeta, J.; Glasnovic, Z. Theoretical settings of photovoltaic-hydro energy system for sustainable energy production. Sol. Energy 2012, 86, 972–982. [Google Scholar] [CrossRef]
- François, B.; Hingray, B.; Borga, M.; Zoccatelli, D.; Brown, C.; Creutin, J.D. Impact of Climate Change on Combined Solar and Run-of-River Power in Northern Italy. Energies 2018, 88, 290. [Google Scholar] [CrossRef]
- Campana, P.E.; Li, H.; Yan, J. Dynamic modelling of a PV pumping system with special consideration on water demand. Appl. Energy 2013, 112, 635–645. [Google Scholar] [CrossRef]
- Shabani, M.; Mahmoudimehr, J. Techno-economic role of PV tracking technology in a hybrid PV-hydroelectric standalone power system. Appl. Energy 2018, 212, 84–108. [Google Scholar] [CrossRef]
- Angarita, J.L.; Usaola, J.; Martínez-Crespo, J. Combined hydro-wind generation bids in a pool-based electricity market. Electr. Power Syst. Res. 2009, 79, 1038–1046. [Google Scholar] [CrossRef]
- Ghadikolaei, H.M.; Ahmadi, A.; Aghaei, J.; Najafi, M. Risk constrained self-scheduling of hydro/wind units for short term electricity markets considering intermittency and uncertainty. Renew. Sust. Energ. Rev. 2012, 16, 4734–4743. [Google Scholar] [CrossRef]
- Purvins, A.; Zubaryeva, A.; Llorente, M.; Tzimas, E.; Mercier, A. Challenges and options for a large wind power uptake by the European electricity system. Appl. Energy 2011, 88, 1461–1469. [Google Scholar] [CrossRef]
- Yang, Z.; Li, K.; Niu, Q.; Xue, Y. A comprehensive study of economic unit commitment of power systems integrating various renewable generations and plug-in electric vehicles. Energy Convers. Manag. 2017, 132, 460–481. [Google Scholar] [CrossRef]
- Luburić, Z.; Pandžić, H. FACTS devices and energy storage in unit commitment. Int. J. Electr. Power Energy Syst. 2019, 104, 311–325. [Google Scholar] [CrossRef]
- Fu, B.; Ouyang, C.; Li, C.; Wang, J.; Gul, E. An Improved Mixed Integer Linear Programming Approach Based on Symmetry Diminishing for Unit Commitment of Hybrid Power System. Energies 2019, 12, 833. [Google Scholar] [CrossRef]
- ElAzab, H.A.; Swief, R.A.; El-Amary, N.; Temraz, H. Unit Commitment Towards Decarbonized Network Facing Fixed and Stochastic Resources Applying Water Cycle Optimization. Energies 2018, 11, 1140. [Google Scholar] [CrossRef]
- Zheng, Q.P.; Wang, J.; Liu, A.L. Stochastic Optimization for Unit Commitment—A Review. IEEE Trans. Power Syst. 2015, 30, 1913–1924. [Google Scholar] [CrossRef]
- Abujarad, S.Y.; Mustafa, M.; Jamian, J. Recent approaches of unit commitment in the presence of intermittent renewable energy resources: A review. Renew. Sust. Energ. Rev. 2017, 70, 215–223. [Google Scholar] [CrossRef]
- Luo, L.; Abdulkareem, S.S.; Rezvani, A.; Miveh, M.R.; Samad, S.; Aljojo, N.; Pazhoohesh, M. Optimal scheduling of a renewable based microgrid considering photovoltaic system and battery energy storage under uncertainty. J. Energy Storage 2020, 28, 101306. [Google Scholar] [CrossRef]
- Wang, B.; Zhou, M.; Xin, B.; Zhao, X.; Watada, J. Analysis of operation cost and wind curtailment using multi-objective unit commitment with battery energy storage. Energy 2019, 178, 101–114. [Google Scholar] [CrossRef]
- Kobayashi, D.; Masuta, T.; Ohtake, H. Coordinated operation of a battery energy storage system and thermal generators for supply–demand balance maintenance and efficient use of photovoltaic energy. Electr. Eng. Jpn. 2019, 207, 28–37. [Google Scholar]
- Palma-Behnke, R.; Benavides, C.; Lanas, F.; Severino, B.; Reyes, L.; Llanos, J.; Sáez, D. A Microgrid Energy Management System Based on the Roll-ing Horizon Strategy. IEEE Trans. Smart Grid 2013, 4, 996–1006. [Google Scholar] [CrossRef]
- Warrington, J.; Hohl, C.; Goulart, P.J.; Morari, M. Rolling Unit Commitment and Dispatch With Multi-Stage Recourse Policies for Heterogeneous Devices. IEEE Trans. Power Syst. 2016, 31, 187–197. [Google Scholar] [CrossRef]
- Vagropoulos, S.I.S.; Balaskas, G.A.; Bakirtzis, A.G. An Investigation of Plug-In Electric Vehicle Charging Impact on Power Systems Scheduling and Energy Costs. IEEE Trans. Power Syst. 2017, 32, 1902–1912. [Google Scholar] [CrossRef]
- Saint-Pierre, A.; Mancarella, B. A Du-al-Horizon Scheduling Framework for DSO/TSO Interface Under Uncertainty. IEEE Trans. Smart Grid 2017, 8, 2186–2197. [Google Scholar] [CrossRef]
- Kryzia, D.; Kopacz, M.; Kryzia, K. The Valuation of the Operational Flexibility of the Energy Investment Project Based on a Gas-Fired Power Plant. Energies 2020, 13, 1567. [Google Scholar] [CrossRef]
- Gurobi Optimizer Reference Manual. Available online: http://www.gurobi.com (accessed on 11 May 2020).
- IEEJ Power and Energy, Japanese Power System Models. Available online: http://denki.iee.jp/pes/?page_id=141 (accessed on 26 June 2020).
- IEEJ. Recommended practice for simulation models for automatic generation control. IEEJ Tech. Rep. 2016, 1386. Available online: https://scholar.google.com/scholar?q=Investigating%20R%26D%20Committee%20%282016%29%20Recommended%20practice%20for%20simulation%20models%20for%20automatic%20generation%20control.%20In%20IEEJ%20Technical%20Report%201386 (accessed on 1 December 2020). (In Japanese).
- Agency for Natural Resources and Energy, Certificated and Actual Renewable Capacity by Prefecture. Available online: https://www.fit-portal.go.jp/PublicInfoSummary (accessed on 9 September 2020). (In Japanese)
- TEPCO: Electricity Forecast. Available online: https://www.tepco.co.jp/en/forecast/html/index-e.html (accessed on 26 June 2020).
- Ohtake, H.; Uno, F.; Oozeki, T.; Yamada, Y.; Takenaka, H.; Nakajima, T. Estimation of satellite- derived regional photovoltaic power generation using a satellite- estimated solar radiation data. Energy Sci. Eng. 2018, 6, 570–583. [Google Scholar] [CrossRef]
- Japan Meterological Agency: OUTLINE NWP March 2019. Available online: https://www.jma.go.jp/jma/jma-eng/jma-center/nwp/outline2019-nwp/index.htm (accessed on 2 July 2020).
- Ohtake, H.; Shimose, K.I.; da Silva Fonseca, J.G., Jr.; Takashima, T.; Oozeki, T.; Yamada, Y. Accuracy of the solar irradiance forecasts of the Japan Meteorological Agency mesoscale model for the Kanto region, Japan. Sol. Energy 2013, 98, 38–152. [Google Scholar] [CrossRef]
- Ohtake, H.; Fonseca, J.G.d.S., Jr.; Takashima, T.; Oozeki, T.; Shimose, K.I.; Yamada, Y. Regional and seasonal characteristics of global horizontal irradiance forecasts obtained from the Japan Meteorological Agency mesoscale model. Sol. Energy 2015, 116, 83–99. [Google Scholar] [CrossRef]
- Bessho, K.; Date, K.; Hayashi, M.; Ikeda, A.; Imai, T.; Inoue, H.; Kumagai, Y.; Miyakawa, T.; Murata, H.; Ohno, T.; et al. An Introduction to Himawari-8/9— Japan’s New-Generation Geostationary Meteorological Satellites. J. Meteor. Soc. Jpn. 2016, 94, 151–183. [Google Scholar] [CrossRef]
- Meteorological Satellite Center (MSC)| Himawari Realtime Image. Available online: https://www.data.jma.go.jp/mscweb/data/himawari/index.html (accessed on 26 June 2020).
- Takenaka, H.; Nakajima, T.Y.; Higurashi, A.; Higuchi, A.; Takamura, T.; Pinker, R.T.; Nakajima, T. Estimation of solar radiation using a neural network based on radiative transfer. J. Geophys. Res. 2011, 116, D08215. [Google Scholar] [CrossRef]
- Solar Radiation Consortium (Non Profit Organization). Available online: http://www.amaterass.org/contact.html (accessed on 2 July 2020).


















| Installed Capacity (MW) | |
|---|---|
| Nuclear | 6000 |
| Hydro | 1200 |
| Thermal | 60,850 (168 machines) |
| Rated Output (MW) | Lower Limit (MW) | Coefficient of Fuel Cost Function | Start-up Cost (JPY) | Ramp -Up Rate (%MW /min.) | Ramp -Down Rate (%MW /min.) | Up Time (h) | Down Time (h) | Num- ber of Gene- Rators | Total Capacity (MW) | |||
|---|---|---|---|---|---|---|---|---|---|---|---|---|
(JPY /MWh) | (JPY /MWh) | (JPY /MW2h) | ||||||||||
| Coal | 1000 | 300 | 550,000 | 400 | 0.70 | 2,380,000 | 3.0 | 3.0 | 3.0 | 3.0 | 12 | 12,000 |
| 700 | 105 | 182,000 | 1300 | 0.16 | 1,670,000 | 3.0 | 3.0 | 3.0 | 3.0 | 4 | 2800 | |
| CC | 250 | 63 | 120,000 | 1400 | 1.66 | 378,000 | 5.0 | 5.0 | 1.5 | 1.5 | 74 | 18,500 |
| 100 | 30 | 104,000 | 900 | 0.73 | 151,000 | 5.0 | 5.0 | 1.5 | 1.5 | 21 | 2100 | |
| LNG | 700 | 140 | 117,000 | 2400 | 0.40 | 1,060,000 | 3.0 | 3.0 | 1.5 | 1.5 | 19 | 13,300 |
| 200 | 80 | 66,000 | 2200 | 2.50 | 302,000 | 3.0 | 3.0 | 1.5 | 1.5 | 13 | 2600 | |
| Oil | 700 | 175 | 260,000 | 5000 | 0.38 | 1,060,000 | 3.0 | 3.0 | 1.5 | 1.5 | 4 | 2800 |
| 500 | 100 | 200,000 | 5000 | 0.05 | 756,000 | 3.0 | 3.0 | 1.5 | 1.5 | 6 | 3000 | |
| 250 | 50 | 316,000 | 4600 | 1.05 | 378,000 | 3.0 | 3.0 | 1.5 | 1.5 | 15 | 3750 | |
| Total | 168 | 60,850 | ||||||||||
| Installed PV capacity (GW) | 50 | 100 | |||||
| Installed BESS capacity (GWh) | 0 | 100 | 200 | 0 | 100 | 200 | |
| April (2–30) | Total energy demand (GWh) (Daily average) | 694 | |||||
| Hourly average demand (GW) | 28.9 | ||||||
| Total PV energy production (GWh) (Daily average before curtailment) | 219 | 438 | |||||
| Hourly average PV power from 7 to 15 h (GW) (Before curtailment) | 22.5 | 45.1 | |||||
| Total curtailed PV energy (GWh) (Daily average for Case 2) | 61.2 | 7.4 | 2.7 | 241 | 147 | 73.6 | |
| PV curtailment ratio ( % ) (Case 2) | 28.0 | 3.4 | 1.2 | 55.1 | 33.6 | 16.8 | |
| PV curtailment reduction ratio ( % ) (Case 2 with BESS) | - | 88.0 | 95.7 | - | 39.1 | 69.5 | |
| January (2–30) | Total energy demand (GWh) (Daily average) | 866 | |||||
| Hourly average demand (GW) | 36.1 | ||||||
| Total PV energy production (GWh) (Daily average for before curtailment) | 140 | 280 | |||||
| Hourly average PV power from 7 to 15 h (GW) (Before curtailment) | 15.6 | 31.2 | |||||
| Total curtailed PV energy (GWh) (Daily average for Case 2) | 6.9 | 0.0 | 0.0 | 95.3 | 17.1 | 7.4 | |
| PV curtailment ratio ( % ) (Case 2) | 5.0 | 0.0 | 0.0 | 34.0 | 6.1 | 2.6 | |
| PV curtailment reduction ratio ( % ) (Case 2 with BESS) | - | 99.9 | 100 | - | 88.9 | 95.2 | |
Publisher’s Note: MDPI stays neutral with regard to jurisdictional claims in published maps and institutional affiliations. |
© 2021 by the authors. Licensee MDPI, Basel, Switzerland. This article is an open access article distributed under the terms and conditions of the Creative Commons Attribution (CC BY) license (http://creativecommons.org/licenses/by/4.0/).
Share and Cite
Udawalpola, R.; Masuta, T.; Yoshioka, T.; Takahashi, K.; Ohtake, H. Reduction of Power Imbalances Using Battery Energy Storage System in a Bulk Power System with Extremely Large Photovoltaics Interactions. Energies 2021, 14, 522. https://doi.org/10.3390/en14030522
Udawalpola R, Masuta T, Yoshioka T, Takahashi K, Ohtake H. Reduction of Power Imbalances Using Battery Energy Storage System in a Bulk Power System with Extremely Large Photovoltaics Interactions. Energies. 2021; 14(3):522. https://doi.org/10.3390/en14030522
Chicago/Turabian StyleUdawalpola, Rajitha, Taisuke Masuta, Taisei Yoshioka, Kohei Takahashi, and Hideaki Ohtake. 2021. "Reduction of Power Imbalances Using Battery Energy Storage System in a Bulk Power System with Extremely Large Photovoltaics Interactions" Energies 14, no. 3: 522. https://doi.org/10.3390/en14030522
APA StyleUdawalpola, R., Masuta, T., Yoshioka, T., Takahashi, K., & Ohtake, H. (2021). Reduction of Power Imbalances Using Battery Energy Storage System in a Bulk Power System with Extremely Large Photovoltaics Interactions. Energies, 14(3), 522. https://doi.org/10.3390/en14030522

