Exploitation of Liquid Digestate as the Sole Nutrient Source for Floating Hydroponic Cultivation of Baby Lettuce (Lactuca sativa) in Greenhouses
Abstract
:1. Introduction
2. Materials and Methods
2.1. Greenhouse Set Up and Plant Material
2.2. Liquid Digestate
2.3. Nutrient Solution
2.4. Harvest and Analytical Measurements
2.5. Statistical Analysis
3. Results and Discussion
3.1. Microclimatic Conditions in the Greenhouse and Root Zone Temperature
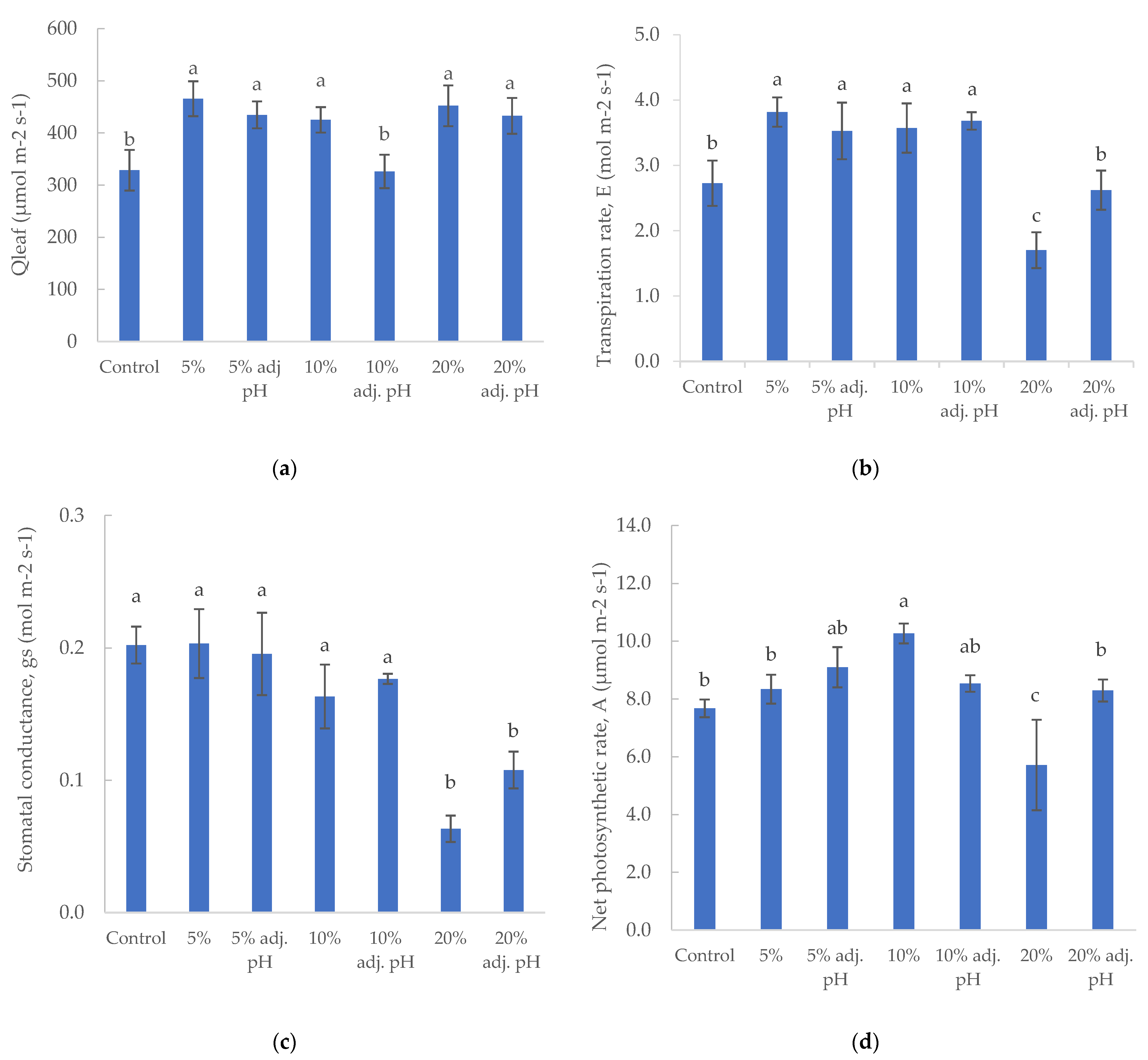
3.2. Quantitative Characteristics of Baby Leaf Lettuce
3.3. Qualitative Characteristics of Baby Leaf Lettuce
3.4. Mineral Uptake
4. Conclusions
Author Contributions
Funding
Institutional Review Board Statement
Informed Consent Statement
Data Availability Statement
Conflicts of Interest
References
- Kougias, P.G.; Angelidaki, I. Biogas and its opportunities—A review. Front. Environ. Sci. Eng. 2018, 12, 14. [Google Scholar] [CrossRef]
- Alibardi, L.; Green, K.; Favaro, L.; Vale, P.; Soares, A.; Cartmell, E.; Fernández, Y.B. Performance and stability of sewage sludge digestion under CO2 enrichment: A pilot study. Bioresour. Technol. 2017, 245, 581–589. [Google Scholar] [CrossRef] [Green Version]
- Möller, K.; Müller, T. Effects of anaerobic digestion on digestate nutrient availability and crop growth: A review. Eng. Life Sci. 2012, 12, 242–257. [Google Scholar] [CrossRef]
- Duan, N.; Khoshnevisan, B.; Lin, C.; Liu, Z.; Liu, H. Life cycle assessment of anaerobic digestion of pig manure coupled with different digestate treatment technologies. Environ. Int. 2020, 137, 105522. [Google Scholar] [CrossRef]
- Drosg, B.; Fuchs, W.; Al Seadi, T.; Madsen, M.; Linke, B. Nutrient Recovery by Biogas Digestate Processing; IEA Bioenergy: Dublin, Ireland, 2015; p. 711. [Google Scholar]
- Estevez, M.M.; Sapci, Z.; Linjordet, R.; Schnürer, A.; Morken, J. Semi-continuous anaerobic co-digestion of cow manure and steam-exploded Salix with recirculation of liquid digestate. J. Environ. Manag. 2014, 136, 9–15. [Google Scholar] [CrossRef]
- Barłóg, P.; Hlisnikovský, L.; Kunzová, E. Effect of digestate on soil organic carbon and plant-available nutrient content compared to cattle slurry and mineral fertilization. Agronomy 2020, 10, 379. [Google Scholar] [CrossRef] [Green Version]
- Xia, A.; Murphy, J.D. Microalgal cultivation in treating liquid digestate from biogas systems. Trends Biotechnol. 2016, 34, 264–275. [Google Scholar] [CrossRef] [PubMed]
- Maucieri, C.; Nicoletto, C.; Van Os, E.; Anseeuw, D.; Van Havermaet, R.; Junge, R. Hydroponic technologies. In Aquaponics Food Production Systems; Springer: Cham, Switzerland, 2019; pp. 77–110. [Google Scholar]
- Nicola, S.; Hoeberechts, J.; Fontana, E. Comparison between traditional and soilless culture systems to produce rocket (Eruca sativa) with low nitrate content. Acta Hortic. 2005, 697, 549–555. [Google Scholar] [CrossRef]
- Karnoutsos, P.; Karagiovanidis, M.; Bantis, F.; Chatzistathis, T.; Koukounaras, A.; Ntinas, G.K. Controlled root-zone temperature effect on baby leaf vegetables yield and quality in a floating system under mild and extreme weather conditions. J. Sci. Food Agric. 2019, 101, 3933–3941. [Google Scholar] [CrossRef]
- Kotsiras, A.; Vlachodimitropoulou, A.; Gerakaris, A.; Bakas, N.; Darras, A.I. Innovative harvest practices of Butterhead, Lollo rosso and Batavia green lettuce (Lactuca sativa L.) types grown in floating hydroponic system to maintain the quality and improve storability. Sci. Hortic. 2016, 201, 1–9. [Google Scholar] [CrossRef]
- Conesa, E.; Niñirola, D.; Vicente, M.J.; Ochoa, J.; Bañón, S.; Fernández, J.A. The influence of nitrate/ammonium ratio on yield quality and nitrate, oxalate and vitamin c content of baby leaf spinach and bladder campion plants grown in a floating system. Acta Hortic. 2009, 843, 269–274. [Google Scholar] [CrossRef]
- Hoagland, D.R.; Arnon, D.I. The Water-Culture Method for Growing Plants without Soil. Circ. Calif. Agric. Exp. Stn. 1950, 347, 32. Available online: https://scholar.google.com/scholar_lookup?title=The+Water-Culture+Method+for+Growing+Plants+without+Soil&author=Hoagland,+D.R.&author=Arnon,+D.I.&publication_year=1950 (accessed on 8 July 2021).
- Kim, M.J.; Moon, Y.; Tou, J.C.; Mou, B.; Waterland, N.L. Nutritional value, bioactive compounds and health benefits of lettuce (Lactuca sativa L.). J. Food Compos. Analys. 2016, 49, 19–34. [Google Scholar] [CrossRef]
- Santamaria, P. Nitrate in vegetables: Toxicity, content, intake and EC regulation. J. Sci. Food Agric. 2006, 86, 10–17. [Google Scholar] [CrossRef]
- Colla, G.; Kim, H.J.; Kyriacou, M.C.; Rouphael, Y. Nitrate in fruits and vegetables. Sci. Hortic. 2018, 237, 221–238. [Google Scholar] [CrossRef]
- Stoknes, K.; Scholwin, F.; Krzesiński, W.; Wojciechowska, E.; Jasińska, A. Efficiency of a novel “Food to waste to food” system including anaerobic digestion of food waste and cultivation of vegetables on digestate in a bubble-insulated greenhouse. Waste Manag. 2016, 56, 466–476. [Google Scholar] [CrossRef]
- Ronga, D.; Pellati, F.; Brighenti, V.; Laudicella, K.; Laviano, L.; Fedailaine, M.; Benvenuti, S.; Pecchioni, N.; Francia, E. Testing the influence of digestate from biogas on growth and volatile compounds of basil (Ocimum basilicum L.) and peppermint (Mentha x piperita L.) in hydroponics. J. Appl. Res. Medic. Arom. Plants 2018, 11, 18–26. [Google Scholar] [CrossRef]
- Ronga, D.; Setti, L.; Salvarani, C.; De Leo, R.; Bedin, E.; Pulvirenti, A.; Milc, J.; Pecchioni, N.; Francia, E. Effects of solid and liquid digestate for hydroponic baby leaf lettuce (Lactuca sativa L.) cultivation. Sci. Hortic. 2019, 244, 172–181. [Google Scholar] [CrossRef]
- Cataldo, D.A.; Haroon, M.H.; Schrader, L.E.; Youngs, V.L. Rapid colorimetric determination of nitrate in plant tissue by nitration of salicylic acid. Commun. Soil Sci. Plant Anal. 1975, 6, 71–80. [Google Scholar] [CrossRef]
- Singleton, V.L.; Rossi, J.A. Colorimetry of total phenolics with phosphomolybdic-phosphotungstic acid reagents. Am. J. Enol. Vitic. 1965, 16, 144–158. [Google Scholar]
- Benzie, I.F.F.; Strain, J.J. The ferric reducing ability of plasma (FRAP) as a measure of ‘antioxidant power’: The FRAP assay. Anal Biochem. 1996, 239, 70–76. [Google Scholar] [CrossRef] [Green Version]
- Watanabe, F.S.; Olsen, S.R. Test of an ascorbic acid method for determining phosphorus in water and NaHCO3 extracts from soil. Soil Sci. Soc. Am. J. 1965, 29, 677–678. [Google Scholar] [CrossRef]
- Aschonitis, V.; Karydas, C.G.; Iatrou, M.; Mourelatos, S.; Metaxa, I.; Tziachris, P.; Iatrou, G. An integrated approach to assessing the soil quality and nutritional status of large and long-term cultivated rice agro-ecosystems. Agriculture 2019, 9, 80. [Google Scholar] [CrossRef] [Green Version]
- Gonnella, M.; Serio, F.; Conversa, G.; Santamaria, P. Yield and quality of lettuce grown in floating system using different sowing density and plant spatial arrangements. In Proceedings of the VI International Symposium on Protected Cultivation in Mild Winter Climate: Product and Process Innovation, Ragusa-Sicilia, Italy, 5–8 March 2002; Volume 614, pp. 687–692. [Google Scholar]
- Wenceslau, D.D.S.L.; de Oliveira, D.F.; de Oliveira Rabelo, H.; Ferbonink, G.F.; Gomes, L.A.A.; Leonel, E.C.A.; Caione, G. Nitrate concentration and nitrate/ammonium ratio on lettuce grown in hydroponics in Southern Amazon. Afr. J. Agric. Res. 2021, 17, 862–868. [Google Scholar]
- Celletti, S.; Lanz, M.; Bergamo, A.; Benedetti, V.; Basso, D.; Baratieri, M.; Cesco, S.; Mimmo, T. Evaluating the Aqueous Phase from Hydrothermal Carbonization of Cow Manure Digestate as Possible Fertilizer Solution for Plant Growth. Front. Plant Sci. 2021, 12, 687434. [Google Scholar] [CrossRef]
- Chung, J.-B.; Jin, S.-J.; Cho, H.-J. Low water potential in saline soils enhances nitrate accumulation of lettuce. Commun. Soil Sci. Plant Analys. 2007, 36, 1773–1785. [Google Scholar] [CrossRef]
- Lattanzio, V.; Lattanzio, V.M.T.; Cardinali, A. Role of phenolics in the resistance mechanisms of plants against fungal pathogens and insects. In Phytochemistry: Advances in Research; Imperato, F., Ed.; Research Signpost: Trivandrum, India, 2006; pp. 23–67. [Google Scholar]
- Chassy, A.W.; Bui, L.; Renaud, E.N.C.; Van Horn, M.; Mitchell, A.E. Three-Year Comparison of the Content of Antioxidant Microconstituents and Several Quality Characteristics in Organic and Conventionally Managed Tomatoes and Bell Peppers. J. Agric. Food. Chem. 2006, 54, 8244–8252. [Google Scholar] [CrossRef]
- Ostan, R.; Lanzarini, C.; Pini, E.; Scurti, M.; Vianello, D.; Bertarelli, C.; Fabbri, C.; Izzi, M.; Palmas, G.; Biondi, F.; et al. Inflammaging and cancer: A challenge for the Mediterranean diet. Nutrients 2015, 7, 2589–2621. [Google Scholar] [CrossRef] [PubMed] [Green Version]
- Panuccio, M.R.; Papalia, T.; Attinà, E.; Giuffrè, A.; Muscolo, A. Use of digestate as an alternative to mineral fertilizer: Effects on growth and crop quality. Arch. Agron. Soil Sci. 2019, 65, 700–711. [Google Scholar] [CrossRef]
- Barzee, T.J.; Edalati, A.; El-Mashad, H.; Wang, D.; Scow, K.; Zhang, R. Digestate Biofertilizers Support Similar or Higher Tomato Yields and Quality Than Mineral Fertilizer in a Subsurface Drip Fertigation System. Front. Sustain. Food Syst. 2019, 3, 58. [Google Scholar] [CrossRef]
- Martínez-Ballesta, M.C.; Dominguez-Perles, R.; Moreno, D.A.; Muries, B.; Alcaraz-López, C.; Bastías, E.; García-Viguera, C.; Carvajal, M. Minerals in plant food: Effect of agricultural practices and role in human health. A review Agron. Sustain. Dev. 2010, 30, 295–309. [Google Scholar] [CrossRef]
- Soetan, K.O.; Olaiya, C.O.; Oyewole, O.E. The importance of mineral elements for humans, domestic animals and plants: A review. Afr. J. Food Sci. 2010, 45, 200–222. [Google Scholar]
- Alejandro, S.; Holler, S.; Meier, B.; Peiter, E. Manganese in Plants: From Acquisition to Subcellular Allocation. Front. Plant Sci. 2020, 11, 300. [Google Scholar] [CrossRef] [PubMed] [Green Version]
- Van Os, E.A.; Blok, C.; Voogt, W.; Waked, L. Water quality and salinity aspects in hydroponic cultivation. WUR Glastuinbouw 2016, 1–7. Available online: https://edepot.wur.nl/403810 (accessed on 18 July 2021).










| Parameter Concentration | Value (mg/L) |
|---|---|
| N | 331.33 ± 47.65 |
| P | 153.62 ± 12.89 |
| K | 470.25 ± 2.05 |
| Ca | 12.90 ± 3.25 |
| Mg | 3.38 ± 0.31 |
| Na | 106.20 ± 1.13 |
| Cd | 0.01 ± 0.00 |
| Co | 0.04 ± 0.02 |
| Cr | 0.05 ±0.01 |
| Ni | 0.28 ±0.01 |
| Pb | <0.042 |
| Mn | 0.02 ± 0.00 |
| Fe | 4.20 ± 1.56 |
| Zn | 2.42 ± 0.10 |
| Cu | 0.40 ± 0.10 |
| Nutrient Solution | pH | EC (mS/cm) |
|---|---|---|
| 100% Hoagland (Control) | 6.4–7.0 | 2.67–2.75 |
| 5% digestate | 7.7–8.0 | 2.46–2.79 |
| 5% digestate (adj. pH) | 6.7–7.5 | 2.59–2.73 |
| 10% digestate | 7.7–8.1 | 3.85–4.06 |
| 10% digestate (adj. pH) | 6.7–7.6 | 4.05–4.38 |
| 20% digestate | 8.0–8.3 | 6.54–7.00 |
| 20% digestate (adj. pH) | 6.7–7.9 | 6.88–7.33 |
| N | P | K | Ca | Mg | B | Mn | Zn | Fe | Cu | |
|---|---|---|---|---|---|---|---|---|---|---|
| Lettuce | (%) | (%) | (%) | (%) | (%) | (mg kg−1) | (mg kg−1) | (mg kg−1) | (mg kg−1) | (mg kg−1) |
| Hoagland solution | 5.52 ± 0.09 e | 2.90 ± 0.10 a | 9.99 ± 0.47 a | 1.61 ± 0.17 a | 0.53 ± 0.01 a | 22.30 ± 0.90 d | 48.00 ± 0.56 f | 36.70 ± 1.83 d | 85.70 ± 2.42 a | 8.01 ± 0.82 a |
| Digestate 5% | 5.63 ± 0.15 e | 2.09 ± 0.22 c | 7.75 ± 0.70 b | 1.48 ± 0.17 b | 0.48 ± 0.06 b | 26.00 ± 0.29 c | 215.00 ± 21.48 b | 64.30 ± 5.55 b | 40.70 ± 2.31 c | 10.39 ± 3.40 a |
| Digestate 5% adj pH | 5.68 ± 0.13 e | 2.44 ± 0.07 b | 7.48 ± 0.15 b | 1.42 ± 0.05 b | 0.46 ± 0.01 b,c | 27.5 ± 0.70 b | 232.00 ± 14.28 a | 74.7 ± 9.87 a | 50.10 ± 4.77 b | 7.90 ± 1.08 a |
| Digestate 10% | 5.96 ± 0.05 d | 1.98 ± 0.12 c | 7.36 ± 0.09 b | 1.27 ± 0.07 c | 0.44 ± 0.03 b,c,d | 20.10 ± 1.55 d,e | 183.00 ± 12.99 c | 60.30 ± 5.24 b | 43.60 ± 1.61 c | 7.33 ± 3.20 a |
| Digestate 10% adj pH | 6.16 ± 0.10 c | 2.40 ± 0.08 b | 6.70 ± 0.32 c | 1.19 ± 0.07 c,d | 0.41 ± 0.03 d | 30.50 ± 3.51 a | 202.00 ± 4.70 b | 73.30 ± 11.01 a | 49.40 ± 2.87 b | 8.95 ± 0.80 a |
| Digestate 20% | 6.88 ± 0.08 a | 1.53 ± 0.09 b | 5.61 ± 0.27 d | 1.02 ± 0.09 e | 0.40 ± 0.04 d | 15.10 ± 1.01 f | 103.00 ± 8.90 e | 41.30 ± 1.86 d | 26.30 ± 5.29 d | 6.18 ± 0.89 a |
| Digestate 20% adj pH | 6.59 ± 0.32 b | 2.07 ± 0.26 c | 6.32 ± 0.36 c | 1.08 ± 0.07 d,e | 0.42 ± 0.04 cd | 19.80 ± 2.62 e | 128.00 ± 15.43 d | 51.60 ± 4.53 c | 41.40 ± 6.33 c | 8.18 ± 0.65 a |
Publisher’s Note: MDPI stays neutral with regard to jurisdictional claims in published maps and institutional affiliations. |
© 2021 by the authors. Licensee MDPI, Basel, Switzerland. This article is an open access article distributed under the terms and conditions of the Creative Commons Attribution (CC BY) license (https://creativecommons.org/licenses/by/4.0/).
Share and Cite
Ntinas, G.K.; Bantis, F.; Koukounaras, A.; Kougias, P.G. Exploitation of Liquid Digestate as the Sole Nutrient Source for Floating Hydroponic Cultivation of Baby Lettuce (Lactuca sativa) in Greenhouses. Energies 2021, 14, 7199. https://doi.org/10.3390/en14217199
Ntinas GK, Bantis F, Koukounaras A, Kougias PG. Exploitation of Liquid Digestate as the Sole Nutrient Source for Floating Hydroponic Cultivation of Baby Lettuce (Lactuca sativa) in Greenhouses. Energies. 2021; 14(21):7199. https://doi.org/10.3390/en14217199
Chicago/Turabian StyleNtinas, Georgios K., Filippos Bantis, Athanasios Koukounaras, and Panagiotis G. Kougias. 2021. "Exploitation of Liquid Digestate as the Sole Nutrient Source for Floating Hydroponic Cultivation of Baby Lettuce (Lactuca sativa) in Greenhouses" Energies 14, no. 21: 7199. https://doi.org/10.3390/en14217199
APA StyleNtinas, G. K., Bantis, F., Koukounaras, A., & Kougias, P. G. (2021). Exploitation of Liquid Digestate as the Sole Nutrient Source for Floating Hydroponic Cultivation of Baby Lettuce (Lactuca sativa) in Greenhouses. Energies, 14(21), 7199. https://doi.org/10.3390/en14217199
