Three-Dimensional Pore-Scale Simulation of Flow and Thermal Non-Equilibrium for Premixed Gas Combustion in a Random Packed Bed Burner
Abstract
1. Introduction
2. Physical Model and Dimension
2.1. Governing Equation
2.2. Boundary Conditions
2.3. Mesh, Initial Conditions and Solution Method
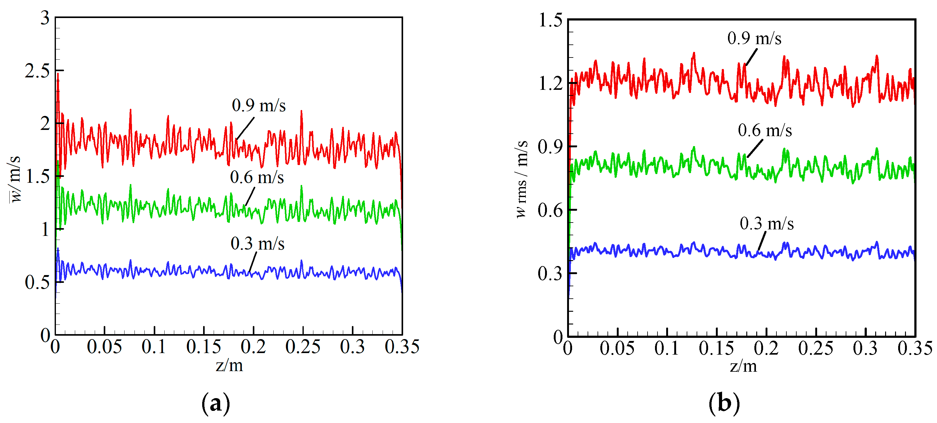
3. Results and Discussion
3.1. Model Validation
3.2. Variation of Variables in Packed Bed
3.3. Heat Recirculation in Pore-Scale
3.4. The Non-Equilibrium
3.5. Effect of Mixture Velocity
4. Conclusions
Author Contributions
Funding
Institutional Review Board Statement
Informed Consent Statement
Data Availability Statement
Acknowledgments
Conflicts of Interest
Symbols
| Nomenclature | |
| c | specific heat capacity, |
| P | pressure, Pa |
| hv | convective heat transfer coefficient, |
| T0 | ambient temperature, K |
| gas average temperature, K | |
| uw, | thermal wave speed, m/s |
| Wi | molecular weight of species i, |
| average velocity in z direction, m/s | |
| wRMS | root mean square of velocity in z direction, m/s |
| Y | mass fraction |
| d | diameter of pellets, m |
| t, | time |
| T | temperature, K |
| Tg, rms | root mean square of gas temperature, K |
| u | velocity in x direction, m/s |
| v | velocity in y direction, m/s |
| w | velocity in z direction, m/s |
| x | coordinate, m |
| y | coordinate, m |
| z | coordinate, m |
| Greek Symbols | |
| thermal conductivity, | |
| thermal conductivity of packing bed, | |
| porosity | |
| reaction rate of species i, | |
| dynamic viscosity, | |
| radiative thermal conductivity, | |
| density, | |
| thermal dispersion coefficient, | |
| Stephan-Boltzmann constant, | |
| solid surface emissivity | |
| Subscripts | |
| g | gas |
| s | solid |
References
- Ellzey, J.L.; Belmont, E.L.; Smith, C.H. Heat recirculating reactors: Fundamental research and applications. Prog. Energy Combust. Sci. 2019, 72, 32–58. [Google Scholar] [CrossRef]
- Oliveira, M.; Kaviany, M. Nonequilibrium in the transport of heat and mass reactants in combustion in porous media. Prog. Energy Combust. Sci. 2001, 27, 523–545. [Google Scholar] [CrossRef]
- Vandadi, V.; Wu, H.; Kwon, O.C.; Kaviany, M.; Park, C. Multiscale thermal nonequilibria for record superadiabatic-radiant-burner efficiency: Experiment and analyses. Int. J. Heat Mass Transf. 2017, 106, 731–740. [Google Scholar] [CrossRef]
- Weinberg, F.J. Combustion temperature: The future? Nature 1971, 233, 239–241. [Google Scholar] [CrossRef] [PubMed]
- Takeno, T.; Sato, K. An excess enthalpy flame theory. Combust. Sci. Technol. 1979, 20, 73–84. [Google Scholar] [CrossRef]
- Takeno, T.; Sato, K. A theoretical study on an excess enthalpy flame. In Eighteenth Symposium (International) on Combustion, Proceedings of the Eighteenth Symposium (International) on Combustion, Waterloo, Canada, 17–22 June 1980; The Combustion Institute: Waterloo, ON, Canada, 1981; pp. 1503–1509. [Google Scholar]
- Barra, A.J.; Ellzey, J.L. Heat recirculation and heat transfer in porous burners. Combust. Flame 2004, 137, 230–241. [Google Scholar] [CrossRef]
- Dixon, A.G. Local transport and reaction rates in a fixed bed reactor tube: Endothermic steam methane reforming. Chem. Eng. Sci. 2017, 168, 156–177. [Google Scholar] [CrossRef]
- Zhdanok, S.; Kennedy, L.A.; Koester, G. Superadiabatic combustion of methane air mixtures under filtration in a packed bed. Combust. Flame 1995, 100, 221–231. [Google Scholar] [CrossRef]
- Shi, J.; Lv, J.; He, F.; Yongqi, L. 3D numerical study on syngas production in a structured packed bed with connected pellets. Int. J. Hydrogen Energy 2020, 45, 32579–32588. [Google Scholar] [CrossRef]
- Cademartori, C.; Cravero, C.; Marini, M.; Marsano, D. CFD simulation of the slot jet impingement heat transfer process and application to a temperature control system for galvanizing line of metal band. Appl. Sci. 2021, 1, 1149. [Google Scholar] [CrossRef]
- Huang, H.; Sun, T.; Zhang, G.; Li, D.; Wei, H. Evaluation of a developed SST k-ω turbulence model for the prediction of turbulent slot jet impingement heat transfer. Int. J. Heat Mass Transf. 2019, 139, 700–712. [Google Scholar] [CrossRef]
- Azizi, S.; Hosseini, S.H.; Moraveji, M.; Ahmadi, G. CFD modeling of a spouted bed with a porous draft tube. Particuology 2010, 8, 415–424. [Google Scholar] [CrossRef]
- Hayes, A.M.; Khan, J.A.; Shaaban, A.H.; Spearing, I.G. The thermal modeling of a matrix heat exchanger using a porous medium and the thermal non-equilibrium model. Int. J. Therm. Sci. 2008, 47, 1306–1315. [Google Scholar] [CrossRef]
- Cravero, C.; De Domenico, D.; Leutcha, P.J.; Marsano, D. Strategies for the numerical modelling of regenerative pre-heating systems for recycled glass raw material. Math. Model. Eng. Probl. 2019, 6, 324–332. [Google Scholar] [CrossRef][Green Version]
- Lin, S.; Selig, J. Self-propagating high-temperature synthesis of Ca1.24Co1.62O3.86 thermoelectric powders. J. Alloy. Compd. 2010, 503, 402–409. [Google Scholar] [CrossRef]
- Venkata, V.K.; Doddapaneni Lin, S. Numerical investigation of heat transfer and reaction kinetics during the self-propagating high-temperature synthesis of silicon nitride. In Advances in Ceramics for Environmental, Functional, Structural, and Energy Applications; Mahmoud, M.M., Sridharan, K., Colorado, H., Bhalla, A.S., Singh, J.P., Gupta, S., Langhorn, J., Jitianu, A., Manjooran, N.J., Eds.; Wiley: Hoboken, NJ, USA, 2018; pp. 121–135. [Google Scholar]
- Zhao, Z.; Li, H.; Zhao, K.; Wang, L.; Gao, X. Microwave-assisted synthesis of MOFs: Rational design via numerical simulation. Chem. Eng. J. 2022, 428, 131006. [Google Scholar] [CrossRef]
- Henneke, M.R.; Ellzey, J.L. Modeling of filtration combustion in a packed bed. Combust. Flame 1999, 117, 832–840. [Google Scholar] [CrossRef]
- Yakovlev, I.; Zambalov, S. Three-dimensional pore-scale numerical simulation of methane-air combustion in inert porous media under the conditions of upstream and downstream combustion wave propagation through the media. Combust. Flame 2019, 209, 74–98. [Google Scholar] [CrossRef]
- ANSYS Inc. ANSYS Fluent Theory Guide; Release 17.0; SAS IP Inc.: Canonsburg, PA, USA, 2016. [Google Scholar]
- Munro, M. Evaluated material properties for a sintered alpha-alumina. J. Am. Ceram. Soc. 2010, 80, 1919–1928. [Google Scholar] [CrossRef]
- Hsu, P.F.; Matthews, R.D. The necessity of using detailed kinetics in models for premixed combustion within porous media. Combust. Flame 1993, 93, 457–466. [Google Scholar] [CrossRef]








Publisher’s Note: MDPI stays neutral with regard to jurisdictional claims in published maps and institutional affiliations. |
© 2021 by the authors. Licensee MDPI, Basel, Switzerland. This article is an open access article distributed under the terms and conditions of the Creative Commons Attribution (CC BY) license (https://creativecommons.org/licenses/by/4.0/).
Share and Cite
Lv, J.; Shi, J.; Mao, M.; He, F. Three-Dimensional Pore-Scale Simulation of Flow and Thermal Non-Equilibrium for Premixed Gas Combustion in a Random Packed Bed Burner. Energies 2021, 14, 6939. https://doi.org/10.3390/en14216939
Lv J, Shi J, Mao M, He F. Three-Dimensional Pore-Scale Simulation of Flow and Thermal Non-Equilibrium for Premixed Gas Combustion in a Random Packed Bed Burner. Energies. 2021; 14(21):6939. https://doi.org/10.3390/en14216939
Chicago/Turabian StyleLv, Jinsheng, Junrui Shi, Mingming Mao, and Fang He. 2021. "Three-Dimensional Pore-Scale Simulation of Flow and Thermal Non-Equilibrium for Premixed Gas Combustion in a Random Packed Bed Burner" Energies 14, no. 21: 6939. https://doi.org/10.3390/en14216939
APA StyleLv, J., Shi, J., Mao, M., & He, F. (2021). Three-Dimensional Pore-Scale Simulation of Flow and Thermal Non-Equilibrium for Premixed Gas Combustion in a Random Packed Bed Burner. Energies, 14(21), 6939. https://doi.org/10.3390/en14216939
