Next Article in Journal
A DC Microgrid System for Powering Remote Areas
Next Article in Special Issue
Improving Thermal Stability and Hydrophobicity of Rutile-TiO2 Nanoparticles for Oil-Impregnated Paper Application
Previous Article in Journal
Thermoelectric Generation with Impinging Nano-Jets
 
 
Font Type:
Arial Georgia Verdana
Font Size:
Aa Aa Aa
Line Spacing:
Column Width:
Background:
Article

Oxidation Stability of Natural Ester Modified by Means of Fullerene Nanoparticles

by
Dominika Szcześniak
and
Piotr Przybylek
*
Institute of Electric Power Engineering, Poznan University of Technology, Piotrowo 3A, 60-965 Poznan, Poland
*
Author to whom correspondence should be addressed.
Energies 2021, 14(2), 490; https://doi.org/10.3390/en14020490
Submission received: 20 November 2020 / Revised: 12 January 2021 / Accepted: 15 January 2021 / Published: 18 January 2021
(This article belongs to the Special Issue Nanoparticles and Nanofluids for Electrical Power and Energy Systems)

Abstract

Increasing environmental demands influence the requirements for devices and materials used in the power industry. One example is a power transformer and an electro-insulating liquid used in it. In order to meet these requirements, electro-insulating liquids should be characterized by, inter alia, high biodegradability and good fire properties. One of such liquids is natural ester. However, its oxidation stability is low in comparison to mineral oil and demands improvement, which can be achieved by the addition of an antioxidant. The authors of this work used fullerene nanoparticles for that purpose. Pure natural ester samples were prepared, and samples with two concentrations of fullerene, 250 mg/L and 500 mg/L in natural ester. All these samples were aged in a thermal oxidation process. Thereafter, the aging properties of all the samples were compared to assess the oxidation stability of modified liquids. Moreover, the electrical properties of prepared insulating liquids were investigated to assess if fullerene deteriorates these properties after aging process. Based on the obtained results, it was proved that the aging process slowed down in the case of both fullerene concentrations in ester. The acid number of natural ester modified using fullerene was lower than in the case of pure liquid.

1. Introduction

Insulating liquids play an important role in the operation of power transformers. Their main task is to ensure electrical insulation and cooling of transformer core and its windings. These tasks can be successfully performed if the liquid maintains its electrical and physicochemical properties during long-time operation. Apart from technical aspects, attention should be paid to the growing environmental requirements which force the use of liquids of high biodegradability. Biodegradability is defined as the biochemical ability of saprobionts (mainly fungi and bacteria) to decompose organic compounds in the natural environment, for example, an electro-insulating liquid after its leakage from a device. Moreover, another important factor is fire safety, which can be assured by electro-insulating liquid with a high fire point classified in group K [1] and a low net calorific value classified in class 2. High biodegradability and good fire properties are both ensured by natural esters. Their biodegradability reaches 98%, fire point exceeds 300 ℃ and net calorific value is lower than 42 MJ/kg, which classify these liquids in the K2 category [1,2,3,4]. Natural esters are an alternative to mineral oil. In the early 1990s, research began on the possibility of applying natural esters as electro-insulating liquids for transformers. A few years later, in 1996, the first distribution transformer filled with natural ester was manufactured. The stages of implementation of natural ester for transformer applications are listed in Table 1.
Natural esters are derived from oilseeds such as sunflower, soya, coconut, rape and linen. Commonly used are soybean oils, e.g., FR3 and MIDEL eN 1215 or rapeseed/canola such as Midel En 1204. They consist of triglyceride molecules based on glycerol and fatty acids. Fatty acids are incorporated in place of hydrogen from the OH group of alcohol and constitute the rest of the fatty acids. Finally, the molecule of natural ester reaches the formula presented in Figure 1.
R′, R″, R‴ are the residue of both saturated and unsaturated fatty acids. Unsaturated fatty acids have a double unsaturated bond between two adjacent carbons in their structure. There may be between 1 and 3 of such bonds in one acid residue. At the operating temperature of a transformer and when oxygen is available, the double bond is saturated in the oxidation process. The oxidation rate of natural esters is closely related to their chemical structure and the ratio of saturated to unsaturated fatty acids. The higher the proportion of unsaturated fractions in oil, the more susceptible they are to oxidation. Table 2 shows the share of individual acids in selected vegetable oils.
As a result of the oxidation process of natural esters, there is a reaction between free radicals such as O* or H* in a liquid and hydrogen atoms in unsaturated bonds between carbons in fatty acids. The linkage of free radicals at these points in the carbon chain results in the saturation of fatty acid, which changes its structure and properties. The oxidation process is associated with the generation of acidic by-products, which increase the acidity of natural esters to a much greater extent than in the case of mineral oil. As experience has shown, access to oxygen and the elevated operation temperature of esters result in their rapid oxidation [1,3,6]. The fact led mainly to their use in sealed transformers to prevent the oxidation of such liquids. In order to extend the use of natural esters, research started on the inhibitors, which would improve the oxidative stability of natural ester (NE). Many scientific reports describe the antioxidant properties of fullerenes but mainly in the medical context [7,8,9,10,11]. Fullerene C60 is the smallest and the most stable allotropic variety of carbon [12,13]. Apart from C60, there are also less stable structures such as C50, C70, C80, C84 [14]. A single molecule of fullerene C60 consists of 60 carbon atoms arranged in the structure of an empty ball composed of 20 hexagons and 12 pentagons, with each apex planted with one carbon atom. According to scientific reports, their internal hollow structure can absorb free radicals and thus contribute to slowing down the oxidation process. Therefore, fullerenes have great antioxidant potential. Just one molecule can neutralize more than 20 free radicals. Moreover, the antioxidant properties are caused by a large number of conjugated double bonds and a low lying unfilled molecular orbit that can absorb the electron [7]. Therefore, this enhances the antioxidant properties, which has made the C60 molecule a free radical absorbent sponge [15,16].
In [17] the effect of the addition of fullerene nanoparticles to vegetable oil was described. Before the investigations, fullerene nanoparticles were pretreated, i.e., dispersed in ethanol, and then stirred at temperature of 60 °C. In the next stage, oleic acid was added to such a mixture and it was ultrasonicated for 2 h. Fullerene nanoparticles were separated from the mixture by centrifugation and drying process. The authors did not specify the aim of surface modification of fullerene nanoparticles (NPs). After the NPs pretreatment, the samples of NF were prepared. The aging process of all the samples was performed according to IEC 61125A [18] for 4 different fullerene concentrations in vegetable oil. After 36 days of aging, the acid number for the highest concentration of 200 mg/L was 25% lower compared to unmodified natural ester.
The use of fullerenes as antioxidants for electro-insulating liquids was also described in [19], whose authors carried out the research on mineral oil with fullerene after its aging process. A positive effect of fullerene addition on electrical parameters and water content after the mineral oil aging process was shown. The only disadvantage of fullerene addition is a decrease in the resistivity of dielectric liquid.
As previously mentioned, the fullerene NPs are also used in medicine field. Many publications describe the biological activity of fullerenes as antioxidants such as antiviral [7], antibacterial, antioxidative and prooxidative, neuroprotective, cytotoxic, cytoprotective, and anticancer molecules [20]. In [21] fullerene NPs were used as suppressors of lipid oxidation and the authors reported that such C60 molecule might break the chain reaction of lipid oxidation.
It should be noted that the literature provides the results of studies on the influence of fullerene not only on the oxidation stability but also on the physico-chemical and electrical parameters of nanofluids. The authors of [17] observed that a small amount of fullerene (~100 mg/L) could improve the electrical properties of vegetable oil, e.g., the dielectric breakdown strength increased by 8.6%. As result of the data presented in [22], the fullerene addition to vegetable oil does not affect the acid number. In turn, the authors of [23] showed that the modification of natural ester with fullerene did not substantially influence the thermal parameters such as thermal conductivity, specific heat, density, kinematic viscosity, and thermal expansion. The changes in the heat transfer coefficient calculated based on these parameters do not exceed 1%.
The natural ester is also modified by NPs other than fullerene. For this purpose, the conductive (Fe3O4, Fe2O3, ZnO), semiconductive (TiO2, CuO, CuO2) and dielectric (Al2O3, SiO2, BN) nanoparticles are used [24,25]. In [26] the authors described the influence of titanium oxide NPs on the cooling and insulating properties of natural esters. According to their research results, the addition of these NPs has a negligible effect on the thermal conductivity and electrical parameters of the ester. The authors of [27] proved that the iron NPs in the hydrophobic carbon shell are able to increase the breakdown voltage of natural ester. They obtained the highest value of the breakdown voltage for the NPs concentration in the modified ester equal to about 0.005 wt%. For this concentration, the authors found an increase in the breakdown voltage of the ester by over 40%. In [28] the ester was also modified by Fe2O3 and SiO2 NPs. In the case of natural ester modified by Fe2O3 NPs, the addition caused an increase of breakdown voltage. In turn, the addition of SiO2 NPs reduced the electrical strength of natural ester. In [29] the influence of ZnO and TiO2 NPs on breakdown voltage of natural ester was investigated before and after the aging test. The authors concluded, that nanofluid with 0.04 wt% concentration of TiO2 showed a higher dielectric strength before and the after aging process compared to nanofluids with the same concentration of ZnO NPs. However, the effect of these NPs on slowing down the aging process was not demonstrated.
The authors of this paper investigated the possibility of applying fullerene as anti-oxidative nanoparticles for natural ester. The main aim of this study was to investigate the properties of natural ester modified with fullerene in comparison to pure ester. This comparison was conducted after the aging process of each sample. To assess the oxidative stability of modified ester the following parameters were investigated: acid number, interfacial tension, water content and kinematic viscosity. Moreover, the electrical properties such as breakdown voltage, electrical permittivity, volume resistivity, and dissipation factor were investigated to evaluate if fullerene deteriorates these properties after aging process.

2. Materials and Methods

Natural ester FR3 and fullerene C60 powder of 99.9% purity and a diameter of approximately 0.7 nm (CAS No. 99685-96-8) were used for the research. FR3 is described as tri-ester, which means it has three fatty acid groups in one molecule. In the first stage of the study, a solubility test of fullerene C60 in NE for the concentration of 500 mg/L (0.054 %wt) was performed. For this purpose, 50 mL of NE with 25 mg of C60 was prepared. Such a prepared sample was magnetic stirred to accelerate the dissolution process of fullerene in natural ester. During fullerene dissolution, the colour change of natural ester was observed (Figure 2).
Every 24 h, the stirring of nanofluid was stopped and after partial fullerene sedimentation the supernatant was taken and spectrophotometric analysis was performed to confirm the completion of the dissolution process. The absorbance was measured in UV-VIS range. The first absorbance measurement was made for the pure natural ester as a reference measurement (spectrum I in Figure 3). After finding no changes in two subsequent obtained spectra (V and VI), the last absorbance measurement was carried out. In this case, the sample was taken from the bottom of the bottle (absorbance spectra—VII). The both measured absorbance spectra (VI and VII) were the same what means the completion of the dissolution process of fullerene in natural ester. During the fullerene dissolution process, the absorbance band at 435 nm was observed, which, as the fullerene dissolved, assumed ever higher values. In accordance with [30], this band shows the presence of chemical bond between fullerene cage and fatty acids chains.
On the basis of the above described test, the completion of fullerene dissolution process was confirmed. Fullerene C60 in natural ester forms a stable solution pink in colour.
In the next stage of the research, test samples were prepared. Natural ester was poured into six bottles of 650 mL each. The half of the prepared samples were dedicated to the tests before aging and the second part was used for the investigations after the aging process. Two different concentrations of fullerene, i.e., 250 mg/L, 500 mg/L were prepared in four bottles, and two bottles contained pure natural ester only. The ester samples modified with fullerene were stirred at ambient temperature to dissolve added NPs. After 4 days, no further colour change of liquids was observed. Between day 4 and 12, a small amount of fullerenes particles was still visible to the naked eye at the bottle bottoms. After two weeks of stirring all fullerene NPs were completely dissolved in natural ester. The completion of dissolution process was confirmed by means of the spectrophotometry method. The time needed for total dissolution of fullerene in NE was similar to the time required for fullerene dissolution in mineral oil given by authors of [19].
In the next step, the prepared test samples were subjected to the aging process, which was conducted in accordance with the standard [31]. Each liquid was poured from its bottle into the vials and closed with aluminium caps. A total of 48 vials were prepared for all three liquid samples (pure NE, 250 mg/L, 500 mg/L). The volume of a single vial used was equal to 50 mL. Each of them contained a sample of 37.5 mL in order to ensure an appropriate air to liquid ratio of 1:3. An aging catalyst in the form of 67 × 7.5 × 0.5 mm copper strip was placed in each vial. The copper strips were polished with Silicon Carbide P220. Before starting the aging process, the water content in all samples was equal to about 150 ppm. The water content was measured using Karl Fischer titration method in accordance with the standard [32].
All vials were placed in a forced air convection oven to conduct the sample aging procedure. The samples were aged for 164 h at a temperature of 150 °C. After aging, the liquid from each vial was poured into the bottle and stirred for 24 h in order to align the properties of the aged samples.
After the aging process the properties of natural ester, non-modified and modified by means of fullerene NPs, were compared. The physico-chemical properties that best describe the aging degree of the natural ester were selected for the tests. Additionally, the electrical properties were investigated to assess if fullerene caused a deterioration of these properties before and after the aging process. All tested parameters and the standards used for their investigation are listed in the Table 3.
The acid number of natural ester dissolved in 2-propanol was measured with colorimetric titration. For the titration, an alcoholic potassium hydroxide solution (0.1 mol/L) was used. In turn, to determine the titer of alcoholic potassium hydroxide solution potentiometric titration was used.
The interfacial tension of each sample was measured by means of de Noüy ring method with a tensiometer model Attension Sigma 702ET (Biolin Scientific, Gothenburg, Sweden). In this method, a platinum ring is lifted through the water-oil interface. The natural ester stays on the water surface due to the density difference between these two liquids. Water has a higher surface tension than oil and therefore force is needed to detach the ring from the water surface. The force measured is used to calculate the interfacial tension (mN/m) between ester and water. The surface tension of used water (HPLC water Pol-Aura) was equal to about 71 mN/m.
The water content in ester was measured with coulometric Karl Fischer titration method using titrator model Metrohm 831 KF (Metrohm, Riverview, FL, USA) equipped with cell with diaphragm. For the research, the anolyte (Hydranal Coulomat Oil) and catholyte (Hydranal Coulomat CG) reagents were used. Moreover, to verify the correct operation of the measuring system the Hydranal Water Standard 1.0 was used.
The kinematic viscosity of natural ester was measured using Ubbelohde viscometer. The viscometer constant was equal to 0.12038. Viscosity was tested at temperature equal to 40 °C. The temperature was assured by putting the viscometer in a water bath.
The breakdown voltage was tested in a system of hemispherical electrodes spaced apart by 2.50 mm ± 0.05 mm. The speed of voltage increase during the test was 2.0 kV/s ± 0.2 kV/s. During the breakdown voltage measurements, the contact of tested samples with the atmospheric air was minimized. Six breakdown voltage measurements were performed for each sample.
Tests of the dissipation factor, electric permittivity and volume resistivity were performed in the same three-electrode system at a temperature of 50 °C. In the case of the dissipation factor and electrical permittivity, alternating voltage was used. The electric field intensity was equal to 0.07 kV/mm. In turn, the volume resistivity was calculated based on measured resistance and electrical capacity of a three-electrode system. The resistance was measured with a direct voltage applied for a time of 60 s. Electric field intensity was equal to 250 V/mm.
Acid number, interfacial tension, water content, and kinematic viscosity are the properties which are the most susceptible to the aging process. In particular, acid number should be lower after the aging process in samples modified with fullerene. The research results should confirm the correctness of the conducted aging process as well as the validity of natural ester modification with fullerene in order to limit the process of its aging.

3. Results and Discussion

The main aim of the research was to show higher oxidation stability of natural ester modified with fullerene in comparison to pure ester. For this purpose, four properties of the electro-insulating liquid were measured, as they are the best indicators of the aging degree of the natural ester, and these are acid number, interfacial tension, water content in oil and kinematic viscosity. Moreover, by subjecting a sample of pure natural ester to the aging process, it was possible to verify the correctness of the applied aging procedure proposed in [31].
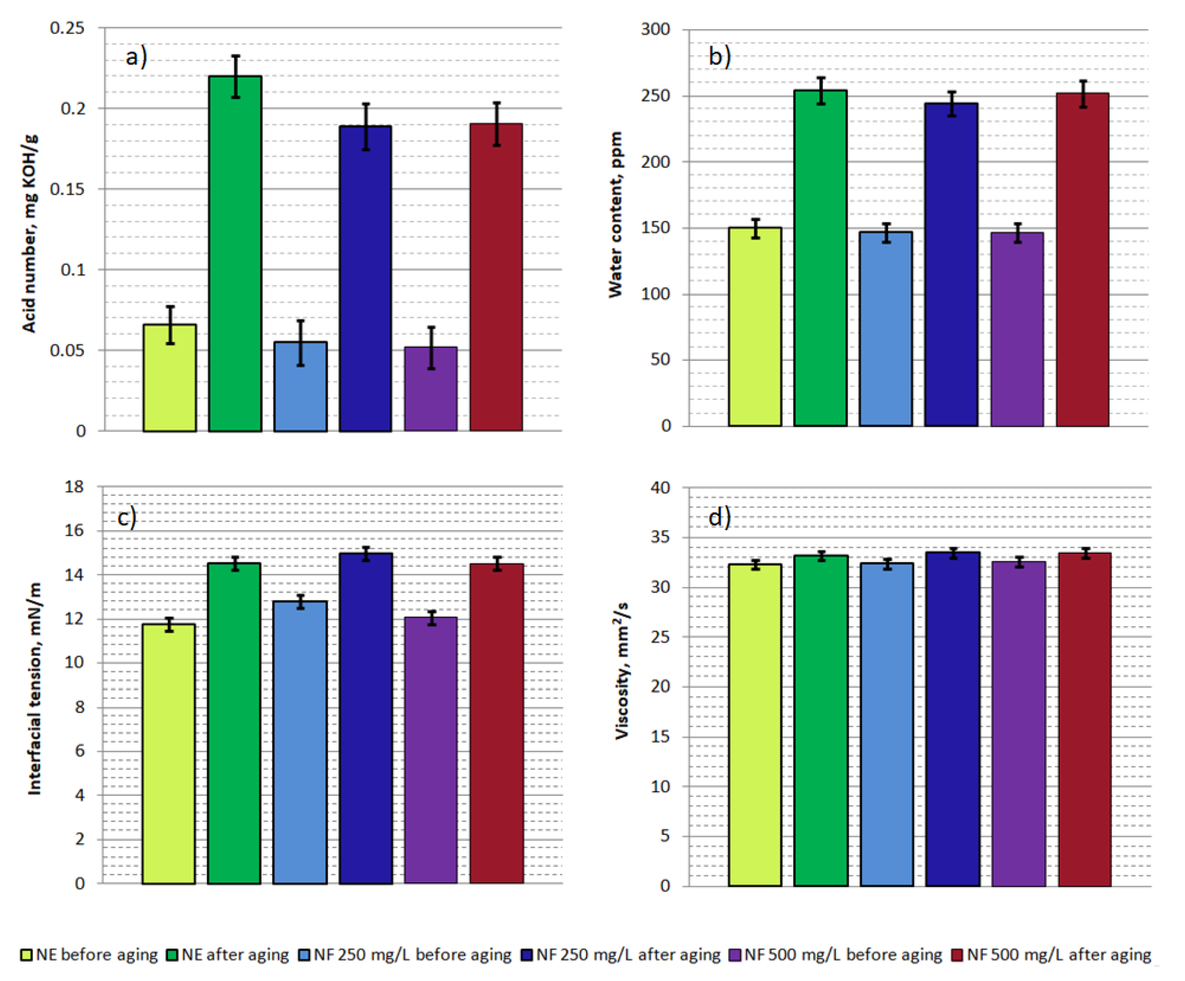
Figure 4 shows acid number, interfacial tension, water content and kinematic viscosity of natural ester and nanofluids of different fullerene concentrations, before and after the aging process. Expanded measurement uncertainties for the confidence level of 95% were estimated for all the results. Their values are marked on the figures with error bars.
The parameter, which was influenced to a large extent as a result of the aging process, was acid number. The acid number for pure natural ester before the aging test was equal to 0.066 mg KOH/g, while in accordance with the data in [38] its value for unused natural ester is 0.060 mg KOH/g. After the aging process of pure natural ester, the acid number increased more than threefold and reached a value of 0.220 mg KOH/g. This fact confirmed, that the applied aging procedure was appropriate. In the case of natural ester modified with fullerene, the obtained acid number results were equal to about 0.190 mg KOH/g. Thus, the addition of fullerene to the natural ester limited the growth of acid number in natural ester by 20%.
The growth of fullerene concentration in the natural ester to the value of 500 mg/L did not result in greater oxidative stability than in the concentration of 250 mg/L. This phenomenon was probably affected by the fact, that in a higher fullerene concentration, its nanoparticles could interact with each other and, as a result, their ability to neutralise acidic compounds was lost. On the basis of the obtained results, it was not possible to confirm that the optimal concentration of fullerene NP in natural ester was equal to 250 mg/L. On the other hand, it can be concluded, that the optimal concentration of fullerene in NE is in the range of up to 250 mg/L.
The ability of fullerene to neutralize acidic compounds depends on its chemical structure. According to [15,39], the C60 molecule, owning to double bonds at the edges (6, 6), allows for the attachment of free radicals to its structure without affecting its stability. In this regard, C60 shows strong antioxidant properties and thereby is often described as “radical sponge”. However, the antioxidant potential of fullerene against some liquids is limited by the hybridization of individual carbons in one molecule. Hybridisation determines the mutual position of the atomic orbitals of each carbon molecule in fullerene, which in turn affects the arrangement of the electron cloud around each molecule. Carbon atoms in the fullerene molecule have sp2 and sp3 hybridization. Hybridization sp2 means that one carbon atom is bonded by two single bonds of the sigma type σ (C–C) with other carbon atoms and one double bond C=C, which consists of the sigma type σ bond (top line in C=C) and type π bond arranged parallel to it (bottom line in C=C). Because the π bond is de-localized [40], two electrons connected with bond π could be an element of the electron cloud around the fullerene particle and affect its properties. That fact causes, that fullerene particles are surrounded by a π electrons cloud, which are de-localized [41]. The presence of an electron cloud determines the electron affinity, i.e., acceptance properties [19,42]. It is possible that at a certain concentration of fullerene NE there is excessively intensive accumulation of electric charges around its molecule, which makes it difficult for free radicals to be absorbed by the empty structure of the fullerene molecule. This way it can be explained that there is no significant difference in the aging process between the nanofluids with two tested concentrations of fullerene in natural ester.
The next measured parameter was interfacial tension. IFT measurements are especially important, because they may be used for the prediction and explanation of C60 interaction with other materials. This parameter is defined as an interaction force between two different media and allows to determine the dynamics of molecular self-organization, surface wettability and adhesion [43]. The value of IFT was obtained in an automatic measurement using tensiometer and the accuracy of the measurement depends on the fluctuation of the force, density of the test sample, water and on the dimensions of the du Nuoya ring [34]. IFT measurement results make it possible to evaluate the presence of polar substances generated during the aging of electro-insulating liquid [33].
In the case of mineral oil, IFT decreases with the aging of the insulating liquid [44]. As it turned out, for all the aged samples of NE, IFT increased in comparison to the value of IFT measured for the pure natural ester before its aging process. The phenomenon of interfacial tension growth of pure natural ester after aging requires explanation. There was no significant difference (exceeding the measurement uncertainty) between interfacial tension for non-modified natural ester and that modified with fullerene after the aging process. It should be noted, that IFT (11.77 mN/m) for pure NE before the aging process differs from the value of 24 mN/m given in [38].
After the aging process, water content in all the aged samples was measured. The results of investigations showed a similar increase in water content in all the tested samples after the aging. The differences between water content results in the aged samples do not exceed the measurement uncertainty. Hence, it can be concluded, that fullerene nanoparticles have no impact on water content after the aging process. In general, fullerene nanoparticles are considered as non-polar molecules and thus unable to attract polar water molecules to their structure. Moreover, the aging process could damage the fullerene structure so that it turned into an open structure and was incapable of absorbing water into its interior.
The next analyzed parameter was kinematic viscosity. After the aging process, a slight increase in the kinematic viscosity of each liquid was noted. After aging, pure natural ester was characterized by viscosity at the level of 33.2 mm2/s. The presence of fullerene impaired this property to a small extent. For samples with fullerene concentration of 250 mg/L and 500 mg/L, kinematic viscosity was equal to 33.49 mm2/s and 33.43 mm2/s, respectively. All the obtained values were mainly affected by the error of measuring the time of liquid flow through the viscometer and the error resulting from slight fluctuations in the temperature of the water bath in which the viscosity was tested. A slight increase in kinematic viscosity of all samples after the aging test is caused by aging products such as ketones, aldehydes and organic acids.
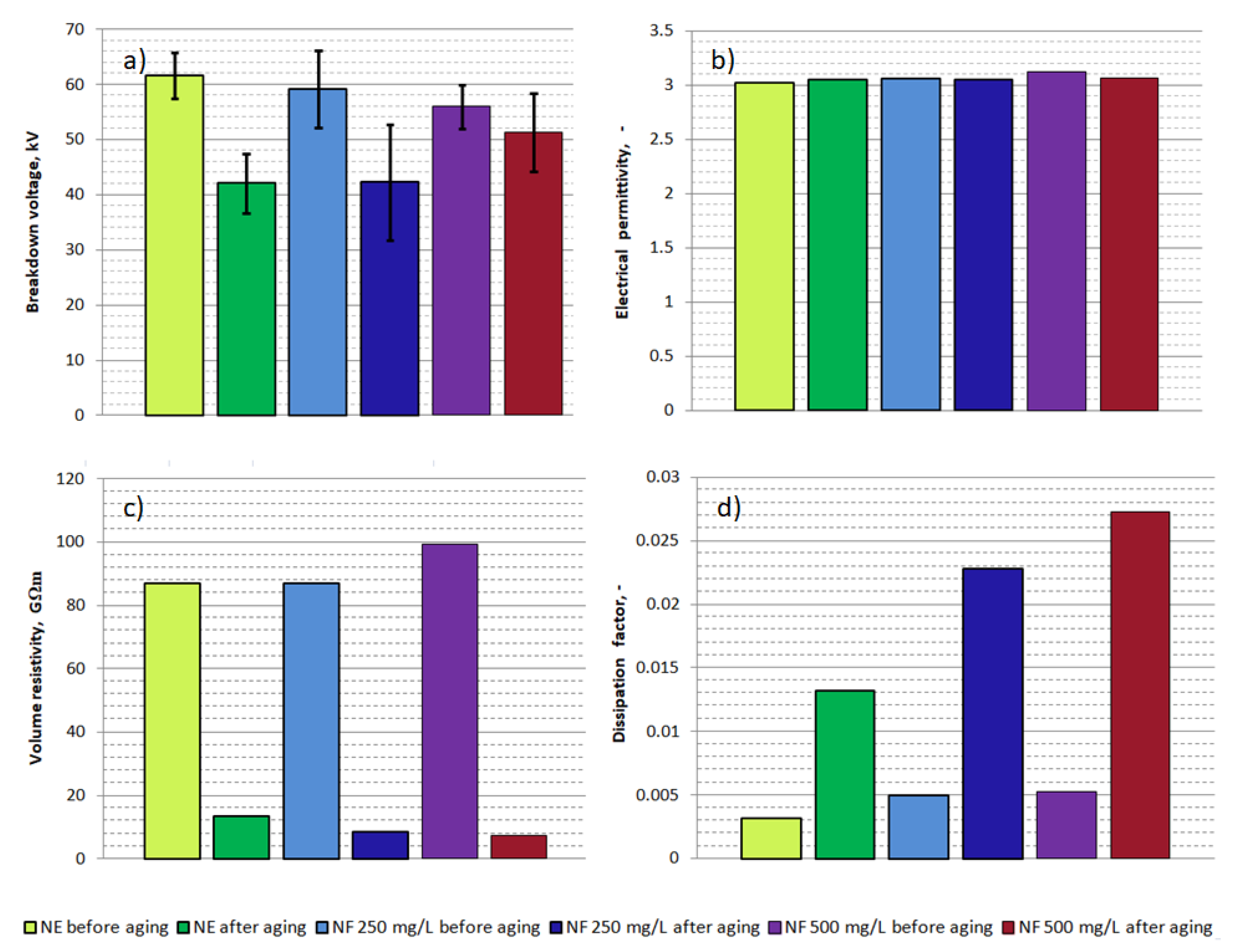
Figure 5 presents the results of research on breakdown voltage, electrical permittivity, volume resistivity and dissipation factor of natural ester and nanofluids of different fullerene concentrations, before and after the aging process.
The tested electrical parameters such as breakdown voltage, volume resistivity and dissipation factor are very sensitive to contamination. The sources of ester contamination are aging products linked to its oxidation process. These products include, inter alia, water and acidic by-products, which was confirmed by research results of physico-chemical properties presented in this work.
After the aging process, deterioration of breakdown voltage, volume resistivity, and dissipation factor was observed compared to pure natural ester. It should be pointed out that in the case of nanofluid with the highest fullerene concentration (500 mg/L) the smallest breakdown voltage drop was observed. The breakdown voltage of this liquid was about 20% higher than the breakdown voltage of pure natural ester after its aging. As a consequence of the aging process the volume resistivity of pure natural ester decreased by about one order of magnitude. A similar drop in resistivity was also observed in the case of nanofluids of both fullerene concentrations. As regards the dissipation factor, approximately 4, 7 and 8-fold growth of this parameter was observed after aging process, respectively for pure natural ester, and nanofluids with a fullerene concentration of 250 mg/L and 500 mg/L. The electrical permittivity of natural ester was not influenced by the addition of fullerene. For the pure natural ester and NE with concentrations of 250 and 500 mg/L, the electrical permittivity, after the aging process was equal to 3.05, 3.05 and 3.06, respectively.
There are several papers available in the literature concerning the influence of fullerene on the aging process of electro-insulating liquids such as natural ester [17] and mineral oil [19]. However, making an exact comparison between their results is problematic due to the differences in the nanofluids preparation procedures and their aging parameters. The general conclusions of the articles [17,19] are similar. In essence, it has been shown that fullerene is a nanomaterial capable of slowing down the aging process in both natural ester and mineral oil. However, it should be emphasized that in comparison with [17], the authors of this paper used a simplified procedure for the preparation of fullerene, which did not require any modification of its surface, as well as they did not use sonication to dissolve fullerene in the natural ester. The aging procedure was consistent with the normative standard [31].

4. Conclusions

Fullerene C60 in natural ester forms a stable solution, pink in color. For the assumed experimental conditions, the time needed for a complete dissolution of fullerene in NE was equaled 14 days.
On the basis of the research results, it was concluded, that the modification of natural ester by fullerene caused a slight improvement of acid number and volume resistivity. The properties such as water content, interfacial tension, kinematic viscosity, and electrical permittivity have not changed significantly. In turn, the addition of fullerene caused slight deterioration of breakdown voltage and dissipation factor, but their values meet requirements for unused natural ester given by ester producer [38] and data available in the standard [45]. These results confirmed the expediency of the research concerning the oxidation stability of ester modified by fullerene.
As a result of the aging process of the natural ester, all the physico-chemical properties were increased, i.e., acid number, interfacial tension, water content and kinematic viscosity. The biggest change was observed for the acid number, the value of which increased more than threefold. This proves the correctness of the applied aging procedure to assess the oxidative stability of natural ester modified by means of fullerene, which was the main aim of the study.
Based on the research results of aged samples, it was found that the addition of fullerene had a positive effect on the oxidative stability of the natural ester. In the case of ester modified by fullerene, the increase of acid number as a result of the aging process was limited by about 20% compared to ester which was not subjected to such a modification. A similar effect of slowing down the aging process was observed both for samples with a concentration of fullerene in the ester equal to 250 mg/L and 500 mg/L. Therefore, the optimal concentration of fullerene in natural ester, due to the limitation of the aging process of the liquid, is in the range up to 250 mg/L.
In the case of other tested properties, i.e., interfacial tension, water content and kinematic viscosity, no significant (i.e., exceeding the measurement uncertainty of individual parameters) influence of fullerene on the change of these properties after the aging process was found. The increase of interfacial tension in natural ester after its aging, both in samples modified and unmodified with fullerene, requires additional explanation.
Apart from the dissipation factor, it was not found that fullerene caused a deterioration of natural ester after its aging. It should be pointed out that an elevated value of dissipation factor is characteristic for liquid dielectrics modified by nanomaterials [29] and does not indicate a deterioration of other parameters which are important from the point of view of operation, such as breakdown voltage. There is currently no regulation on the limits which natural ester used in a transformer in operation should meet.
The measurements of UV/VIS absorbance spectra have proven the fullerene solubility in natural ester. The evidence of this was overlapping of the nanofluid spectra measured at a time interval of 24 h for the sample taken both from the bottom and the top of the bottle. It should be highlighted that for nanofluid the absorption band at 435 nm was observed. This band is related to the 1,2 addition to the fullerene cage across a double bond. This indicates for dissolving of C60 in natural ester and also for the ability to addition of the fatty chain to the fullerene cage. Moreover, the additional two absorption bands for 380 nm and 405 nm were recognized. The origin of these bands will be the subject of further research.
Further research will include the determination of the optimal concentration of fullerene in the ester due to the slowing down of its aging process, expressed mainly by the acid number. For the concentration of fullerene in natural ester determined in this way, all the physico-chemical and electrical properties of such a liquid will be studied. Moreover, the risk of transformer failure due to electric breakdown of the natural ester modified with fullerene caused by the bridge effect will be assessed.

Author Contributions

Conceptualization, D.S. and P.P.; methodology, D.S. and P.P.; validation, D.S. and P.P.; investigation, D.S.; data curation, D.S. and P.P.; writing—original draft preparation, D.S. and P.P.; writing—review and editing, D.S. and P.P.; visualization, D.S. and P.P.; supervision, P.P, Funding acquisition, P.P. All authors have read and agreed to the published version of the manuscript.

Funding

This research was funded by Ministry of Science and Higher Education, grant number 0711/SBAD/4456.

Institutional Review Board Statement

Not applicable.

Informed Consent Statement

Not applicable.

Data Availability Statement

Data is contained within the article.

Conflicts of Interest

The authors declare no conflict of interest.

References

  1. Athanassatou, H.; Duart, J.C.; Perrier, C.; Sitar, I.; Walker, J.; Claiborne, C.; Boche, T.; Cherry, D.; Darwin, A.; Gockenbach, E.; et al. Experiences in Service with New Insulating Liquids; Cigré Technical Brochure 436; International Council on Large Electric Systems (CIGRE): Paris, France, 2010. [Google Scholar]
  2. Asano, R.; Page, S.A. Reducing Environmental Impact and Improving Safety and Performance of Power Transformers with Natural Ester Dielectric Insulating Fluids. IEEE Trans. Ind. Appl. 2014, 50, 134–141. [Google Scholar] [CrossRef]
  3. Rafiq, M.; Shafique, M.; Azam, A.; Ateeq, M.; Khan, I.A.; Hussain, A. Sustainable, Renewable and Environmental-Friendly Insulation Systems for High Voltages Applications. Molecules 2020, 25, 3901. [Google Scholar] [CrossRef] [PubMed]
  4. Rozga, P. Properties of new environmentally friendly biodegradable insulating fluids for power transformers. In Proceeding of the 1st Annual International Interdisciplinary Conference (AIIC), Azores, Portugal, 24–26 April 2013. [Google Scholar]
  5. Oommen, T.V. Vegetable oils for liquid-filled transformers. IEEE Electr. Insul. Mag. 2002, 18, 6–11. [Google Scholar] [CrossRef]
  6. Azis, N.; Wang, Z.D. Acid generation study of natural ester. In Proceedings of the XVII International Symposium on High Voltage Engineering, Hannover, Germany, 22–26 August 2011. [Google Scholar]
  7. Świdwińska–Gajewska, A.M.; Czerczak, S. Fulereny–charakterystyka substancji, działanie biologiczne i dopuszczalne poziomy narażenia zawodowego. Med. Pr. 2016, 67, 397–410. (In Polish) [Google Scholar] [CrossRef] [PubMed]
  8. Bobrova, N.A.; Mikitiuk, M.V.; Kutsenko, L.A.; Kaĭdashev, I.P. Effect of fullerene C60 on free-radical induced lipid peroxidation processes in bronchial asthma. Patol. Fiziol. Eksp. Ter. 2012, 3, 109–114. [Google Scholar] [PubMed]
  9. Franskevych, D.; Palyvoda, K.; Petukhov, D.; Prylutska, S.; Grynyuk, I.; Schuetze, C.; Drobot, L.B.; Matyshevska, O.; Ritter, U. Fullerene C60 Penetration into Leukemic Cells and Its Photoinduced Cytotoxic Effects. Nanoscale Res. Lett. 2017, 12, 1–9. [Google Scholar] [CrossRef]
  10. Shcherbakova, N.E.; Ten, G.N.; Baranov, V.I. Effect of hydrogen bond on vibrational spectra of fullerene—Glycine and fullerene—phenylalanine. In Proceedings of the International Symposium on Optics and Biophotonics VI, Saratov, Russian, 25–29 September 2018. [Google Scholar]
  11. Didenko, G.; Prylutska, S.; Kichmarenko, Y.; Potebnya, G.; Prylutskyy, Y.; Slobodyanik, N.; Ritter, U.; Scharff, P. Evaluation of the antitumor immune response to C60 fullerene. Mater. Werkst. 2013, 44, 124–128. [Google Scholar] [CrossRef]
  12. Kroto, H.W. C60 Buckminsterfullerene, other fullerenes and the icospiral shell. Comput. Math. Appl. 1989, 17, 417–423. [Google Scholar] [CrossRef]
  13. Schmalz, T.G.; Seitz, W.; Klein, D.; Hite, G. C60 carbon cages. Chem. Phys. Lett. 1986, 130, 203–207. [Google Scholar] [CrossRef]
  14. Madhura, M.G.; Somani, R.R. Fullerenes: Chemistry and Its Applications. Mini Rev. Org. Chem. 2015, 12, 355. [Google Scholar] [CrossRef]
  15. Wilson, S.R. Biological aspects of fullerenes. In Fullerenes: Chemistry, Physics and Technology; Kadish, K.M., Ruoff, S.R., Eds.; Wiley: New Jersey, NJ, USA, 2000; pp. 437–466. [Google Scholar]
  16. Dugan, L.; Lovett, E.; Cuddihy, S.; Ma, B.W.; Lin, T.S.; Choi, D.W. Carboxyfullerenes as neuroprotective antioxidants. In Fullerenes: Chemistry, Physics and Technology; Kadish, K.M., Ruoff, S.R., Eds.; Wiley: New Jersey, NJ, USA, 2000; pp. 467–479. [Google Scholar]
  17. Wu, L.; Li, J.; Yao, W.; Xiang, C.; Li, N. Thermal stability of fullerene nano-modified vegetable insulating oil. In Proceedings of the 2016 IEEE International Conference on High Voltage Engineering Application (ICHVE), Chengdu, China, 19–22 September 2016. [Google Scholar]
  18. IEC 61125. Insulating Liquids–Test Methods for Oxidation Stability–Test Method for Evaluating the Oxidation Stability of Insulating Liquids in the Delivered State; International Electrotechnical Commission (IEC): Geneva, Switzerland, 2018. [Google Scholar]
  19. Dobry, D. Analysis of Using Fullerene as an Inhibitor of Aging Processes in Mineral Insulating Oils. Ph.D. Thesis, Opole University of Technology, Opole, Poland, 2013. [Google Scholar]
  20. Bogdanovic, G.; Djordjevic, A. Carbon nanomaterials: Biologically active fullerene derivatives. Srp. Arh. Celok. Lek. 2016, 144, 222–231. [Google Scholar] [CrossRef] [PubMed]
  21. Czochara, R.; Ziaja, P.; Piotrowski, P.; Pokrop, R.; Litwinienko, G. Fullerene C60 as an inhibitor of high temperature lipid oxidation. Elsevier 2012, 50, 3943–3946. [Google Scholar] [CrossRef]
  22. Huang, Z.; Wang, F.; Wang, Q.; Yao, W.; Sun, K.; Zhang, R.; Zhao, J.; Lou, Z.; Li, J. Significantly Enhanced Electrical Performances of Eco-Friendly Dielectric Liquids for Harsh Conditions with Fullerene. Nanomaterials 2019, 9, 989. [Google Scholar] [CrossRef] [PubMed]
  23. Dombek, G.; Nadolny, Z.; Przybylek, P. Cooling Properties of Natural Ester Modified by Nanopowders Fullerene C60 and TiO2 for High Voltage Insulation Applications. In Proceedings of the 2017 International Symposium on Electrical Insulating Materials (ISEIM 2017), Toyohashi, Japan, 11–15 September 2017. [Google Scholar]
  24. Jacob, J.; Preetha, P.; Krishnan, S.T. Review on natural ester and nanofluids as an environmental friendly alternative to transformer mineral oil. IET Nanodielectr. 2020, 3, 33–43. [Google Scholar] [CrossRef]
  25. Ahmad, F.; Khan, A.A.; Khan, Q.; Hussain, M.R. State-of-Art in Nano-Based Dielectric Oil: A Review. IEEE Access 2019, 7, 13396–13410. [Google Scholar] [CrossRef]
  26. Olmo, C.; Méndez, C.; Ortiz, F.; Delgado, F.; Ortiz, A. Titania Nanofluids Based on Natural Ester: Cooling and Insulation Properties Assessment. Nanomaterials 2020, 10, 603. [Google Scholar] [CrossRef]
  27. Nagi, Ł.; Płużek, A. Electrical Strength of Natural Esters Doped by Iron Nanopowder in a Hydrophobic Carbon Shell. Materials 2020, 13, 1956. [Google Scholar] [CrossRef]
  28. Charalampakos, V.P.; Peppas, G.D.; Pyrgioti, E.; Bakandritsos, A.; Polykrati, A.; Gonos, I. Dielectric Insulation Characteristics of Natural Ester Fluid Modified by Colloidal Iron Oxide Ions and Silica Nanoparticles. Energies 2019, 12, 3259. [Google Scholar] [CrossRef]
  29. Fernández, I.; Valiente, R.; Ortiz, F.; Renedo, C.J.; Ortiz, A. Effect of TiO2 and ZnO Nanoparticles on the Performance of Dielectric Nanofluids Based on Vegetable Esters During Their Aging. Nanomaterials 2020, 10, 692. [Google Scholar] [CrossRef]
  30. Cataldo, F.; Braun, T. The Solubility of C60 Fullerene in Long Chain Fatty Acids Esters. Fullerenes Nanotubes and Carbon Nanostructures. Fuller. Nanotub. Carbon Nanostructures 2007, 15, 331–339. [Google Scholar] [CrossRef]
  31. IEC 61125. Insulating Liquids–Test Methods for Oxidation Stability–Annex C–Method for Evaluation of Thermo-Oxidative Behavior of Unused Ester Insulating Liquids; International Electrotechnical Commission (IEC): Geneva, Switzerland, 2018. [Google Scholar]
  32. IEC 60814. Insulating Liquids—Oil-Impregnated Paper and Pressboard—Determination of Water by Automatic Coulometric Karl Fischer Titration; International Electrotechnical Commission (IEC): Geneva, Switzerland, 1997. [Google Scholar]
  33. IEC 62021. Insulating Liquids–Determination of Acidity–Part 3: Test Methods for Non Mineral Insulating Oils; International Electrotechnical Commission IEC, International Electrotechnical Commission (IEC): Geneva, Switzerland, 2014. [Google Scholar]
  34. ASTM D971-20. Standard Test Method for Interfacial Tension of Insulating Liquids Against Water by the Ring Method; ASTM International: West Conshohocken, PA, USA, 2020. [Google Scholar]
  35. ISO 3104. Petroleum Products—Transparent and Opaque Liquids—Determination of Kinematic Viscosity and Calculation of Dynamic Viscosity; ISO: Geneva, Switzerland, 2020. [Google Scholar]
  36. IEC 60156. Insulating Liquids—Determination of the Breakdown Voltage at Power Frequency—Test Method; International Electrotechnical Commission (IEC): Geneva, Switzerland, 2018. [Google Scholar]
  37. IEC 60247. Insulating liquids—Measurement of Relative Permittivity, Dielectric Dissipation Factor (tan d) and d.c. Resistivity; International Electrotechnical Commission (IEC): Geneva, Switzerland, 2008. [Google Scholar]
  38. ENVIROTEMP® FR3™FLUID. Testing Guide, Section R900-20-12; Reference Document; Cargill Industrial: Minneapolis, MN, USA, 2008. [Google Scholar]
  39. Du, Y.; Mamishev, A.V.; Lesieutre, B.C.; Zahn, M.; Kang, S.H. Moisture solubility for differently conditioned transformer oils. IEEE Trans. Dielect. Elect. Insul. 2001, 8, 805–811. [Google Scholar] [CrossRef]
  40. Buhl, M.; Hirsch, A. Spherical Aromaticity of Fullerenes. Chem. Rev. 2001, 101, 1153–1183. [Google Scholar] [CrossRef] [PubMed]
  41. Dresselhaus, G.; Dresselhaus, M.S.; Eklund, P.C. Fullerene Chemistry and Electrochemistry. In Science of Fullerenes and Carbon Nanotubes: Their Properties and Applications, 1st ed.; Academic Press: London, UK, 1996; p. 315. [Google Scholar]
  42. Echegoyen, L.; Echegoyen, L.E. Electrochemistry of Fullerenes and Their Derivatives. Acc. Chem. Method Res. 1998, 31, 593–601. [Google Scholar] [CrossRef]
  43. Ma, X.; Wigington, B.; Bouchard, D. Fullerene C60: Surface Energy and Interfacial Interactions in Aqueous Systems. Langmuir 2010, 26, 11886–11893. [Google Scholar] [CrossRef] [PubMed]
  44. IEC 60422. Mineral Insulating Oils in Electrical Equipment, Supervision and Maintenance Guidance; International Electrotechnical Commission (IEC): Geneva, Switzerland, 2013. [Google Scholar]
  45. IEEE Std. C57.147, IEEE Guide for Acceptance and Maintenance of Natural Ester Insulating Liquid in Transformers; IEEE: New York, NY, USA, 2018. [Google Scholar]
Figure 1. Chemical structure of natural ester molecule, based on [1].
Figure 1. Chemical structure of natural ester molecule, based on [1].
Energies 14 00490 g001
Figure 2. The colour change of natural ester FR3 during fullerene dissolution process; I, II, III, IV, V, VI correspond with the absorbance spectra in Figure 3.
Figure 2. The colour change of natural ester FR3 during fullerene dissolution process; I, II, III, IV, V, VI correspond with the absorbance spectra in Figure 3.
Energies 14 00490 g002
Figure 3. Absorbance spectra in UV-VIS range measured during fullerene dissolution in natural ester I—pure natural ester; II, III, IV, V, VI—the following stages of fullerene dissolution for the samples taken from the top of the bottle, VII—the samples taken from the bottom.
Figure 3. Absorbance spectra in UV-VIS range measured during fullerene dissolution in natural ester I—pure natural ester; II, III, IV, V, VI—the following stages of fullerene dissolution for the samples taken from the top of the bottle, VII—the samples taken from the bottom.
Energies 14 00490 g003
Figure 4. The results of acid number (a), water content (b), interfacial tension (c) and kinematic viscosity (d) of natural ester (NE) and nanofluids (NFs) of different fullerene concentrations before and after the aging process.
Figure 4. The results of acid number (a), water content (b), interfacial tension (c) and kinematic viscosity (d) of natural ester (NE) and nanofluids (NFs) of different fullerene concentrations before and after the aging process.
Energies 14 00490 g004
Figure 5. The results of breakdown voltage (a), electrical permittivity (b), volume resistivity (c), and dissipation factor (d) of natural ester (NE) and nanofluids (NFs) of different fullerene concentration before and after the aging process.
Figure 5. The results of breakdown voltage (a), electrical permittivity (b), volume resistivity (c), and dissipation factor (d) of natural ester (NE) and nanofluids (NFs) of different fullerene concentration before and after the aging process.
Energies 14 00490 g005
Table 1. Progress in the development of natural ester as dielectric liquids, based on [1].
Table 1. Progress in the development of natural ester as dielectric liquids, based on [1].
The Main Stages in the Development of Natural Esters for Transformer ApplicationsYear
Research beginnings1991
Full-scale accelerated life tests 1995
First distribution transformers installed1996
First distribution transformers retrofilled1997
Transformers available commercially1999
First new mobile substation2002
ASTM natural ester standard2003
100th power transformer installed2007
Table 2. Content of fatty acids in vegetable oils, based on [5].
Table 2. Content of fatty acids in vegetable oils, based on [5].
Type of
Vegetable Oil
Saturated Fatty Acids
(%)
Unsaturated Fatty Acids (%)
MonoDiTri
Canola7.955.922.111.1
Corn12.724.2580.7
Soybean14.222.5516.8
Sunflower10.519.665.7-
Table 3. Properties of the liquid selected for the tests.
Table 3. Properties of the liquid selected for the tests.
Type of ResearchNormative Reference
Acid number [33]
Interfacial tension[34]
Water content in ester[32]
Kinematic viscosity[35]
Breakdown voltage[36]
Electrical permittivity[37]
Volume resistivity[37]
Dissipation factor[37]
Publisher’s Note: MDPI stays neutral with regard to jurisdictional claims in published maps and institutional affiliations.

Share and Cite

MDPI and ACS Style

Szcześniak, D.; Przybylek, P. Oxidation Stability of Natural Ester Modified by Means of Fullerene Nanoparticles. Energies 2021, 14, 490. https://doi.org/10.3390/en14020490

AMA Style

Szcześniak D, Przybylek P. Oxidation Stability of Natural Ester Modified by Means of Fullerene Nanoparticles. Energies. 2021; 14(2):490. https://doi.org/10.3390/en14020490

Chicago/Turabian Style

Szcześniak, Dominika, and Piotr Przybylek. 2021. "Oxidation Stability of Natural Ester Modified by Means of Fullerene Nanoparticles" Energies 14, no. 2: 490. https://doi.org/10.3390/en14020490

APA Style

Szcześniak, D., & Przybylek, P. (2021). Oxidation Stability of Natural Ester Modified by Means of Fullerene Nanoparticles. Energies, 14(2), 490. https://doi.org/10.3390/en14020490

Note that from the first issue of 2016, this journal uses article numbers instead of page numbers. See further details here.

Article Metrics

Back to TopTop