Supercritical CO2 Binary Mixtures for Recompression Brayton s-CO2 Power Cycles Coupled to Solar Thermal Energy Plants
Abstract
:1. Introduction
2. Materials and Methods
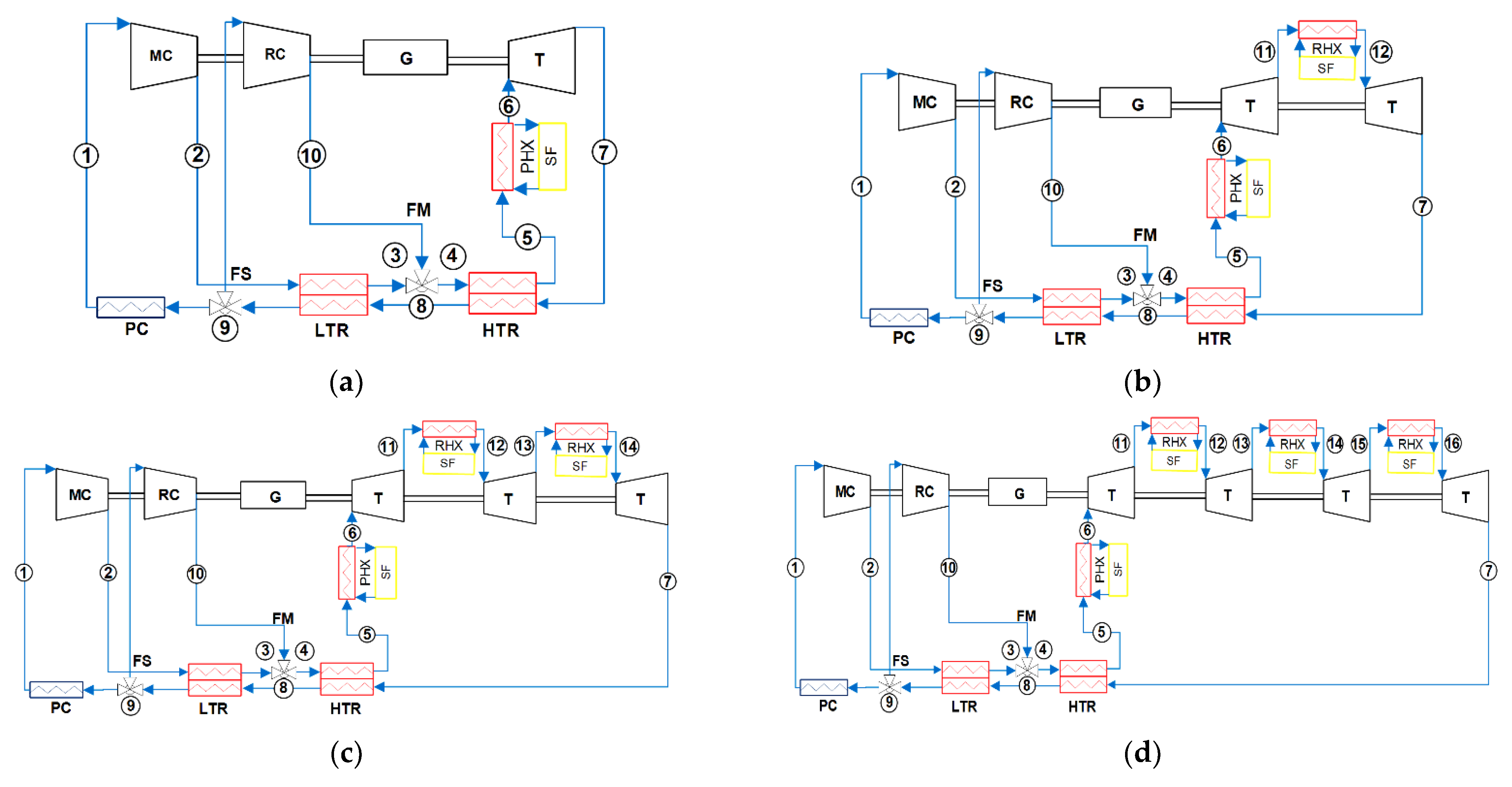
2.1. Cycles Layouts
2.2. System Description PCHE
2.3. Mathematical Modeling for PCHE
3. Results and Discussion
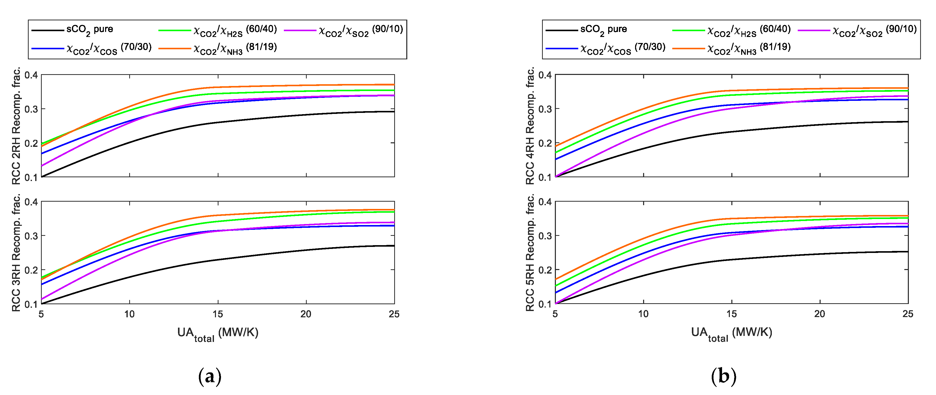
3.1. Impact of the Recompression Fraction on Recompression Brayton Cycles Using s-CO2 Mixtures
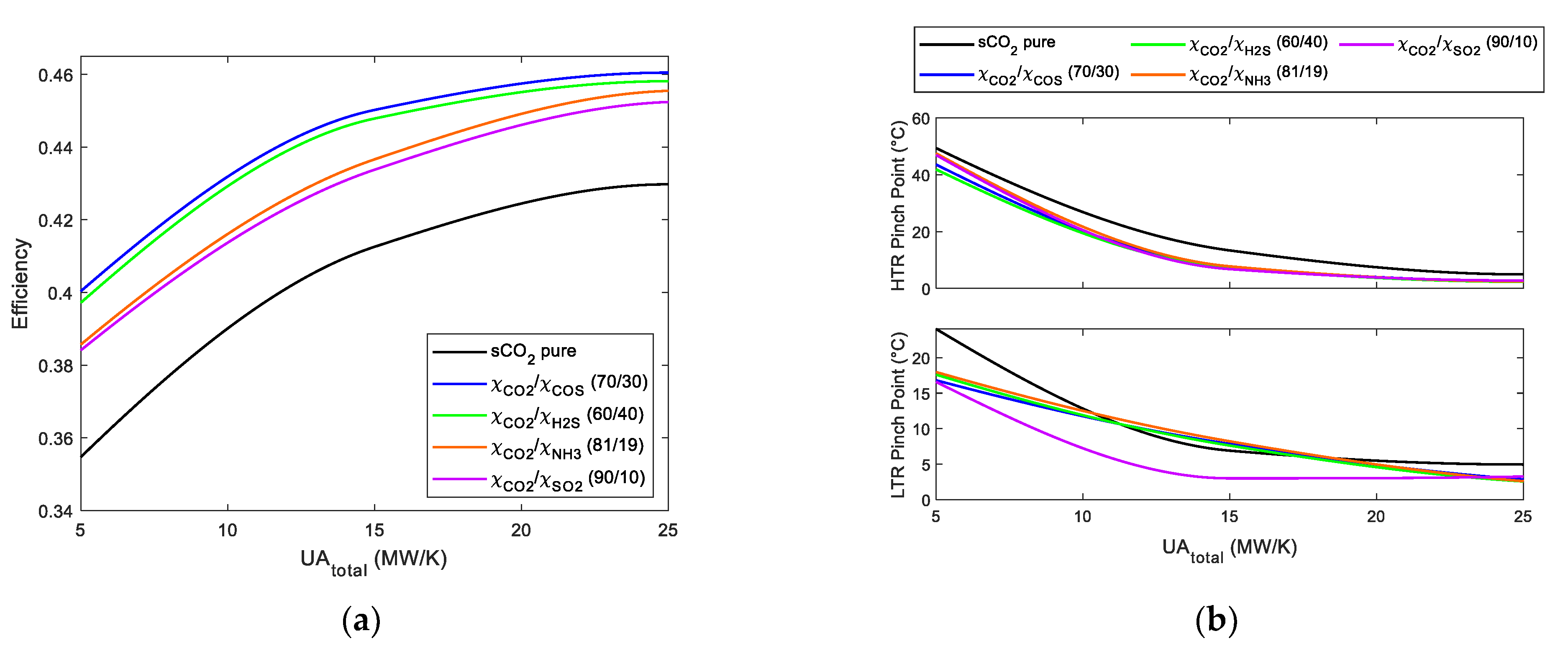
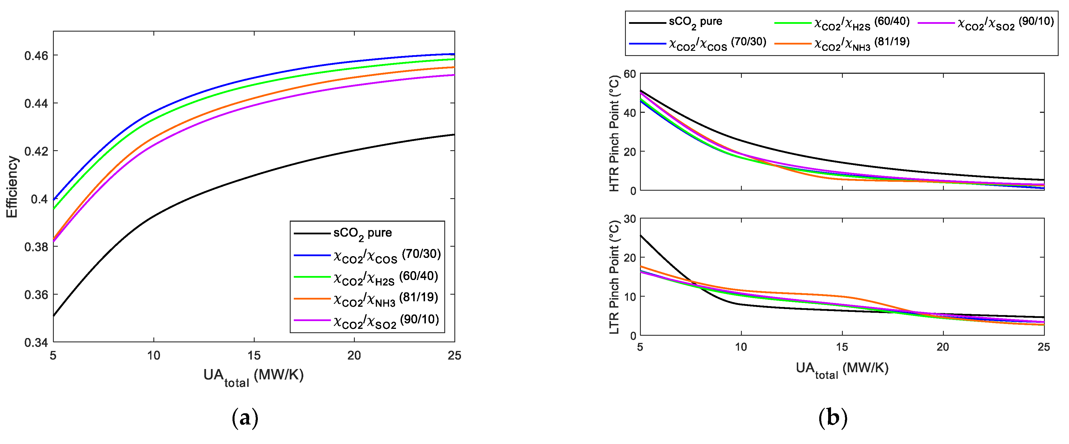
3.2. Impact on the Thermal Efficiency of Recompression Brayton Cycles Using s-CO2 Mixtures
3.3. Impact of Pressure Drop on the Thermal Efficiency of the Brayton s-CO2 Power Cycle
3.4. Modeling of a PCHE
3.4.1. Temperature
3.4.2. Pressure Loss
3.4.3. Turbulence
3.4.4. Surface Heat Flux and Exchange Area
3.4.5. Model Validation
3.5. Cost Analysis of the Recompression Brayton s-CO2 Power Cycles
4. Conclusions
Author Contributions
Funding
Institutional Review Board Statement
Informed Consent Statement
Data Availability Statement
Acknowledgments
Conflicts of Interest
Nomenclature
| Acronyms | |
| CO2 | Carbon dioxide |
| COS | Carbonyl sulfide |
| CIP | Compressor inlet pressure |
| CIT | Compressor inlet temperature |
| CSP | Concentrated solar power |
| FM | Fluid mixture |
| FS | Flow split |
| H2S | Hydrogen sulfide |
| HTF | Heat fluid transfer |
| HTR | High-temperature recuperator |
| LTR | Low-temperature recuperator |
| MC | Main compressor |
| NIST | National Institute of Standards and Technology |
| NH3 | Ammonia |
| PHX | Primary heat exchanger |
| PTC | Parabolic trough collector |
| RCC | Recompression |
| RCC-RH | Recompression with reheating |
| RCC-2RH | Recompression with two reheatings |
| RCC-3RH | Recompression with three reheatings |
| RCC-4RH | Recompression with four reheatings |
| RCC-5RH | Recompression with five reheatings |
| REFPROP | Reference fluid properties |
| RHX | Reheating heat exchanger |
| s-CO2 | Supercritical carbon dioxide |
| SCSP | Supercritical Concentrated Solar Power Plant |
| SF | Solar fiel |
| SO2 | Sulfure Dioxide |
| STE | Solar thermal energy |
| TIT | Turbine inlet temperature |
| UA | Heat recuperator conductance |
| Symbols | |
| A | area (m2) |
| Cp | specific heat (kJ/kg-K) |
| hydraulic diameter (m) | |
| factor of temperature correction | |
| generation of turbulence of kinetic energy due to buoyancy (m2/s2) | |
| generation of turbulence of kinetic energy due to velocity gradients (m2/s2) | |
| thermal conductivity of solid (W/m-K) | |
| turbulent thermal conductivity (W/m-K) | |
| critical pressure (Pa) | |
| heat absorbed (kJ/kg) | |
| ) | |
| turbine work (kJ/kg) | |
| main compressor work (kJ/kg) | |
| recompressor work (kJ/kg) | |
| contribution of fluctuating dilation to the total dissipation rate | |
| Greek letters | |
| Kronecker delta (-) | |
| dissipation rate of turbulent kinetic energy (m2/s3) | |
| fluid density (kg/m3) | |
| acentric factor (-) | |
| split fraction (-) | |
| Efficiency (-) | |
| turbulent viscosity (m2/s) | |
| the shear stress (Pa) |
References
- Trevisan, S.; Guédez, R.; Laumert, B. Thermo-economic optimization of an air driven supercritical CO2 Brayton power cycle for concentrating solar power plant with packed bed thermal energy storage. Sol. Energy 2020, 211, 1373–1391. [Google Scholar] [CrossRef]
- IRENA. Renewable Capacity Statistics 2020, Internacional Renovable Energía Agencia; International Renewable Energy Agency (IRENA): Abu Dhabi, United Arab Emirates, 2020. [Google Scholar]
- Yin, J.M.; Zheng, Q.Y.; Peng, Z.R.; Zhang, X.R. Review of supercritical CO2 power cycles integrated with CSP. Int. J. Energy Res. 2020, 44, 1337–1369. [Google Scholar] [CrossRef]
- Siddiqui, M.E.; Almitani, K.H. Proposal and Thermodynamic Assessment of S-CO2 Brayton Cycle Layout for Improved Heat Recovery. Entropy 2020, 22, 305. [Google Scholar] [CrossRef] [PubMed] [Green Version]
- Crespi, F.; Gavagnin, G.; Sánchez, D.; Martínez, G.S. Supercritical carbon dioxide cycles for power generation: A review. Appl. Energy 2017, 195, 152–183. [Google Scholar] [CrossRef]
- Turchi, C.S.; Ma, Z.; Neises, T.W.; Wagner, M.J. Thermodynamic study of advanced supercritical carbon dioxide power cycles for concentrating solar power systems. J. Sol. Energy Eng. 2013, 135. [Google Scholar] [CrossRef]
- Al-Sulaiman, F.A.; Atif, M. Performance comparison of different supercritical carbon dioxide Brayton cycles integrated with a solar power tower. Energy 2015, 82, 61–71. [Google Scholar] [CrossRef]
- Marchionni, M.; Bianchi, G.; Tassou, S.A. Techno-economic assessment of Joule-Brayton cycle architectures for heat to power conversion from high-grade heat sources using CO2 in the supercritical state. Energy 2018, 148, 1140–1152. [Google Scholar] [CrossRef]
- Neises, T.; Turchi, C. Supercritical carbon dioxide power cycle design and configuration optimization to minimize levelized cost of energy of molten salt power towers operating at 650 °C. Sol. Energy 2019, 181, 27–36. [Google Scholar] [CrossRef]
- Linares, J.I.; Montes, M.J.; Cantizano, A.; Sánchez, C. A novel supercritical CO2 recompression Brayton power cycle for power tower concentrating solar plants. Appl. Energy 2020, 263, 114644. [Google Scholar] [CrossRef]
- Wang, K.; He, Y.L.; Zhu, H.H. Integration between supercritical CO2 Brayton cycles and molten salt solar power towers: A review and a comprehensive comparison of different cycle layouts. Appl. Energy 2017, 195, 819–836. [Google Scholar] [CrossRef]
- Wang, K.; Li, M.J.; Guo, J.Q.; Li, P.; Liu, Z.B. A systematic comparison of different S-CO2 Brayton cycle layouts based on multi-objective optimization for applications in solar power tower plants. Appl. Energy 2018, 212, 109–121. [Google Scholar] [CrossRef]
- Valencia-Chapi, R.; Coco-Enríquez, L.; Muñoz-Antón, J. Supercritical CO2 Mixtures for Advanced Brayton Power Cycles in Line-Focusing Solar Power Plants. Appl. Sci. 2020, 10, 55. [Google Scholar] [CrossRef] [Green Version]
- Binotti, M.; Di Marcoberardino, G.; Iora, P.; Invernizzi, C.; Manzolini, G. Scarabeus: Supercritical carbon dioxide/alternative fluid blends for efficiency upgrade of solar power plants. AIP Conf. Proc. 2020, 2303. [Google Scholar] [CrossRef]
- Yu, A.; Su, W.; Zhao, L.; Lin, X.; Zhou, N. New Knowledge on the Performance of Supercritical Brayton Cycle with CO2-Based Mixtures. Energies 2020, 13, 1741. [Google Scholar] [CrossRef] [Green Version]
- Vesely, L.; Dostal, V.; Stepanek, J. Effect of gaseous admixtures on cycles with supercritical carbon dioxide. In Turbo Expo: Power for Land, Sea, and Air; American Society of Mechanical Engineers: New York, NY, USA, 2016. [Google Scholar]
- Vesely, L.; Manikantachari, K.R.V.; Vasu, S.; Kapat, J.; Dostal, V.; Martin, S. Effect of impurities on compressor and cooler in supercritical CO2 cycles. J. Energy Resour. Technol. 2019, 141. [Google Scholar] [CrossRef]
- Guo, J.Q.; Li, M.J.; Xu, J.L.; Yan, J.J.; Wang, K. Thermodynamic performance analysis of different supercritical Brayton cycles using CO2-based binary mixtures in the molten salt solar power tower systems. Energy 2019, 173, 785–798. [Google Scholar] [CrossRef]
- Ma, Y.; Liu, M.; Yan, J.; Liu, J. Performance investigation of a novel closed Brayton cycle using supercritical CO2-based mixture as working fluid integrated with a LiBr absorption chiller. Appl. Therm. Eng. 2018, 141, 531–547. [Google Scholar] [CrossRef]
- González-Portillo, L.F.; Muñoz-Antón, J.; Martínez-Val, J.M. Thermodynamic analysis of multi-heating cycles working around the critical point. Appl. Therm. Eng. 2020, 174, 115292. [Google Scholar] [CrossRef]
- González-Portillo, L.F. Un Nuevo Concepto de Optimización de la Ingeniería Térmica: El Ciclo Pericrítico con Multicalentamiento y su Aplicación a la Energía Solar de Concentración. Ph.D. Thesis, ETSI Industriales (UPM), Madrid, Spain, 2019. [Google Scholar]
- Ngo, T.L.; Kato, Y.; Nikitin, K.; Ishizuka, T. Heat transfer and pressure drop correlations of microchannel heat exchangers with S-shaped and zigzag fins for carbon dioxide cycles. Exp. Therm. Fluid Sci. 2007, 32, 560–570. [Google Scholar] [CrossRef]
- Kar, S.P. CFD Analysis of Printed Circuit Heat Exchanger. Ph.D. Thesis, National Institute of Technology, Rourkela, India, 2007. Available online: http://ethesis.nitrkl.ac.in/4337/1/Cfd_Analysis_Of_Printed_Circuit_Heat.pdf (accessed on 16 February 2020).
- Kim, S.G.; Lee, Y.; Ahn, Y.; Lee, J.I. CFD aided approach to design printed circuit heat exchangers for supercritical CO2 Brayton cycle applications. Ann. Nucl. Energy 2016, 92, 175–185. [Google Scholar] [CrossRef]
- Jeong, W.S.; Lee, J.I.; Jeong, Y.H. Potential improvements of supercritical recompression CO2 Brayton cycle by mixing other gases for the power conversion system of an SFR. Nucl. Eng. Des. 2011, 241, 2128–2137. [Google Scholar] [CrossRef]
- Coco-Enríquez, L. Nueva Generación de Centrales Termosolares con Colectores Solares Lineales Acoplados a Ciclos Supercríticos de Potencia. Ph.D. Thesis, ETSI Industriales (UPM), Madrid, Spain, 2019. [Google Scholar] [CrossRef]
- Dyreby, J.J. Modeling the Supercritical Carbon Dioxide Brayton Cycle with Recompression. Ph.D. Thesis, University of Wisconsin-Madison, Madison, WI, USA, 2014. Available online: https://sel.me.wisc.edu/publications/theses/dyreby14.zip (accessed on 20 March 2020).
- Thermoflow Inc. Thermoflow Software. 2021. Available online: http://www.thermoflow.com/ (accessed on 8 January 2020).
- Lemmon, E.W.; Bell, I.H.; Huber, M.L.; McLinden, M.O. NIST Standard Reference Database 23: Reference Fluid Thermodynamic and Transport Properties-REFPROP; Version 10.0; National Institute of Standards and Technology: Gaithersbg, MD, USA, 2018. Available online: https://www.nist.gov/sites/default/files/documents/2018/05/23/refprop10a.pdf (accessed on 20 June 2020).
- Kulhánek, M.; Dostál, V. Thermodynamic Analysis and Comparison of Supercritical Carbon Dioxide Cycles. 2011. Available online: http://www.sCO2powercyclesymposium.org/resource_center/system_concepts/thermodynamic-analysis-and-comparison-of-supercritical-carbon-dioxide-cycles (accessed on 13 October 2020).
- Meshram, A.; Jaiswal, A.K.; Khivsara, S.D.; Ortega, J.D.; Ho, C.; Bapat, R.; Dutta, P. Modeling and analysis of a printed circuit heat exchanger for supercritical CO2 power cycle applications. Appl. Therm. Eng. 2016, 109, 861–870. [Google Scholar] [CrossRef] [Green Version]
- ANSYS FLUENT 12.0/12.1 Documentation. 4.4.1 Standard k–ε Model. Available online: https://www.afs.enea.it/project/neptunius/docs/fluent/html/th/node58.htm (accessed on 9 April 2020).
- Augnier, R.H.; Fast, A. Accurate Real Gas Equation of State for Fluid Dynamics Analysis Applications. J. Fluids Eng. 1995, 117, 277–281. [Google Scholar]
- ANSYS FLUENT 12.0/12.1 Documentation. 8.16.1 The Aungier-Redlich-Kwong Model. Available online: https://www.afs.enea.it/project/neptunius/docs/fluent/html/ug/node335.htm (accessed on 16 May 2020).
- Salim, S.M.; Cheah, S. Wall Y strategy for dealing with wall-bounded turbulent flows. In Proceedings of the International Multiconference of Engineers and Computer Scientists, Hong Kong, China, 18–20 March 2009; Volume 2, pp. 2165–2170. [Google Scholar]
- Berni, F.; Cicalese, G.; Fontanesi, S. A modified thermal wall function for the estimation of gas-to-wall heat fluxes in CFD in-cylinder simulations of high performance spark-ignition engines. Appl. Thermal Eng. 2017, 115, 1045–1062. [Google Scholar] [CrossRef]
- Haussmann, M.; Barreto, A.C.; Kouyi, G.L.; Rivière, N.; Nirschl, H.; Krause, M.J. Large-eddy simulation coupled with wall models for turbulent channel flows at high Reynolds numbers with a lattice Boltzmann method—Application to Coriolis mass flowmeter. Comput. Mathematics Appl. 2019, 78, 3285–3302. [Google Scholar] [CrossRef]
- Simscale. What is y+ (yplus)? SimScale: Munich, Germany, 2018. [Google Scholar]
- Padilla, R.V.; Too, Y.C.S.; Beath, A.; McNaughton, R.; Stein, W. Effect of pressure drop and reheating on thermal and exergetic performance of supercritical carbon dioxide Brayton cycles integrated with a solar central receiver. J. Sol. Energy Eng. 2015, 137. [Google Scholar] [CrossRef]
- De la Calle, A.; Bayon, A.; Too, Y.C.S. Impact of ambient temperature on supercritical CO2 recompression Brayton cycle in arid locations: Finding the optimal design conditions. Energy 2018, 153, 1016–1027. [Google Scholar] [CrossRef]
- Weiland, N.T.; Lance, B.W.; Pidaparti, S.R. SCO2 power cycle component cost correlations from DOE data spanning multiple scales and applications. In ASME Turbo Expo 2019: Turbomachinery Technical Conference and Exposition; American Society of Mechanical Engineers Digital Collection: New York, NY, USA, 2019. [Google Scholar]
- System Advisor Model Version 2020.11.29 (SAM 2020.11.29); National Renewable Energy Laboratory: Golden, CO, USA, 2020. Available online: https://sam.nrel.gov (accessed on 27 January 2021).



























| Nomenclature | Value | Units | |
|---|---|---|---|
| Net power output | W | 50 | MW |
| Compressor inlet temperature | T1 | 51 | °C |
| Compressor inlet pressure | P1 | optimized | MPa |
| Turbine inlet temperature | T6 | 550 | °C |
| Turbine inlet pressure | P6 | 25 | MPa |
| Compressor efficiency [12] and [30] | ηmc | 0.89 | - |
| Turbine efficiency [12] and [30] | ηt | 0.93 | - |
| UA for the low-temperature recuperator | UALT | 2.5 to 12.5 | MW/K |
| UA for the high-temperature recuperator | UAHT | 2.5 to 12.5 | MW/K |
| Split fraction (recompressor) | γ | optimized | - |
| Pressure drop for LTR and HTR | ∆P/PLTR//∆P/PHTR | 1.5//1.0 | % |
| Pressure drop, precooler | ∆P/PPC | 2 | % |
| Pressure drop for PHX and RHX | ∆P/PPHX//∆P/PRHX | 1.5//1.5 | % |
| Critical Temperature (K) | Critical Pressure (MPa) | Critical Density (kg/m3) | |
|---|---|---|---|
| s-CO2 pure | 304.13 | 7.3 | 467.6 |
| s-CO2/COS (70/30) | 324.15 | 7.815 | 467.139 |
| s-CO2/H2S (60/40) | 322.34 | 8.234 | 431.384 |
| s-CO2/NH3 (81/19) | 323.41 | 8.766 | 455.264 |
| s-CO2/SO2 (90/10) | 322.53 | 8.525 | 488.593 |
| s-CO2/COS (70/30) | s-CO2/H2S (60/40) | s-CO2/NH3 (81/19) | s-CO2/SO2 (90/10) | |
|---|---|---|---|---|
High Pressure (LTR) | 1.74 | 2.07 | 2.28 | 1.85 |
Low Pressure (LTR) | 1.17 | 1.34 | 1.45 | 1.23 |
| s-CO2/COS (70/30) | s-CO2/H2S (60/40) | s-CO2/NH3 (81/19) | s-CO2/SO2 (90/10) | |
|---|---|---|---|---|
| 1.49 | 1.54 | 1.58 | 1.50 | |
| 0.99 | 0.99 | 0.98 | 0.99 |
| Boundary | Boundary Conditions |
|---|---|
| Flow inlet | Inlet velocity |
| Flow outlet | Outlet pressure |
| Upper wall | Periodic |
| Bottom wall | Periodic |
| Side walls | Adiabatic |
| Front walls | Adiabatic |
| Back walls | Adiabatic |
| Property | Hot s-CO2 | Cold s-CO2 |
|---|---|---|
| Temperature (K) | 630 | 400 |
| Pressure (bar) | 90 | 225 |
| Velocity (m/s) | 4.702 | 0.8424 |
| Surface Heat Flux (kW/m2) | |
|---|---|
| s-CO2 pure | 90.037 |
| s-CO2/COS (70/30) | 103.66 |
| s-CO2/H2S (60/40) | 91.25 |
| s-CO2/NH3 (81/19) | 92.32 |
| s-CO2/SO2 (90/10) | 98.64 |
| Reynolds (Hot) | Reynolds (Cold) | Nusselt (Hot) | Nusselt (Cold) | |||
|---|---|---|---|---|---|---|
| s-CO2 pure | 23,833.96 | 21,080.52 | 43.986 | 43.706 | 1660.921 | 1851.094 |
| s-CO2/COS (70/30) | 27,341.45 | 20,772.70 | 51.536 | 47.386 | 1857.850 | 2149.123 |
| s-CO2/H2S (60/40) | 22,764.62 | 20,279.72 | 43.216 | 42.870 | 1685.415 | 2038.296 |
| s-CO2/NH3 (81/19) | 21,230.44 | 20,045.90 | 40.276 | 40.957 | 1698.906 | 2236.681 |
| s-CO2/SO2 (90/10) | 25,091.09 | 21,555.17 | 48.153 | 46.520 | 1786.100 | 2107.749 |
| s-CO2 pure | 119.443 | 854.067 | 14.704 |
| s-CO2/COS (70/30) | 120.491 | 968.866 | 12.849 |
| s-CO2/H2S (60/40) | 114.586 | 898.874 | 14.563 |
| s-CO2/NH3 (81/19) | 111.368 | 939.606 | 14.335 |
| s-CO2/SO2 (90/10) | 118.315 | 940.831 | 13.475 |
| Components | Scaling Parameters | Coefficients | |||
|---|---|---|---|---|---|
| a | b | c | d | ||
| Axial Turbine | Wsh (MWth) | 182,600 | 0.5561 | 0 | 1.11 × 10−4 |
| IG centrifugal compressors | Wsh (MWth) | 1,230,000 | 0.3992 | 0 | 0 |
| Generators | We (MWe) | 108,900 | 0.5463 | 0 | 0 |
| Recuperators | UA (W/K) | 49.45 | 0.7544 | 0.02141 | 0 |
| Cooler | UA (W/K) | 32.88 | 0.75 | 0 | 0 |
Publisher’s Note: MDPI stays neutral with regard to jurisdictional claims in published maps and institutional affiliations. |
© 2021 by the authors. Licensee MDPI, Basel, Switzerland. This article is an open access article distributed under the terms and conditions of the Creative Commons Attribution (CC BY) license (https://creativecommons.org/licenses/by/4.0/).
Share and Cite
Tafur-Escanta, P.; Valencia-Chapi, R.; López-Paniagua, I.; Coco-Enríquez, L.; Muñoz-Antón, J. Supercritical CO2 Binary Mixtures for Recompression Brayton s-CO2 Power Cycles Coupled to Solar Thermal Energy Plants. Energies 2021, 14, 4050. https://doi.org/10.3390/en14134050
Tafur-Escanta P, Valencia-Chapi R, López-Paniagua I, Coco-Enríquez L, Muñoz-Antón J. Supercritical CO2 Binary Mixtures for Recompression Brayton s-CO2 Power Cycles Coupled to Solar Thermal Energy Plants. Energies. 2021; 14(13):4050. https://doi.org/10.3390/en14134050
Chicago/Turabian StyleTafur-Escanta, Paul, Robert Valencia-Chapi, Ignacio López-Paniagua, Luis Coco-Enríquez, and Javier Muñoz-Antón. 2021. "Supercritical CO2 Binary Mixtures for Recompression Brayton s-CO2 Power Cycles Coupled to Solar Thermal Energy Plants" Energies 14, no. 13: 4050. https://doi.org/10.3390/en14134050
APA StyleTafur-Escanta, P., Valencia-Chapi, R., López-Paniagua, I., Coco-Enríquez, L., & Muñoz-Antón, J. (2021). Supercritical CO2 Binary Mixtures for Recompression Brayton s-CO2 Power Cycles Coupled to Solar Thermal Energy Plants. Energies, 14(13), 4050. https://doi.org/10.3390/en14134050

