Multi-Scale Microfluidics for Transport in Shale Fabric
Abstract
1. Introduction
2. Materials and Methods
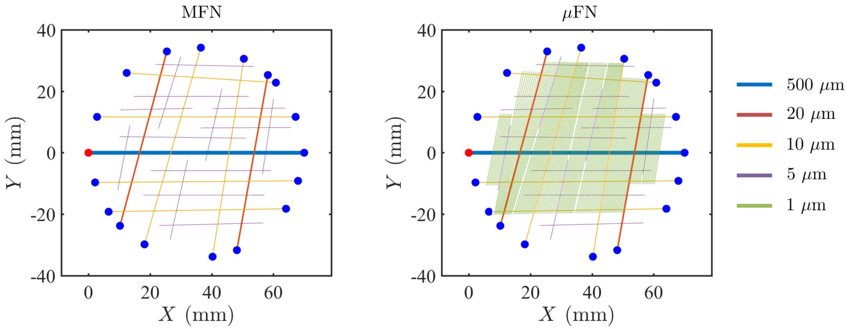
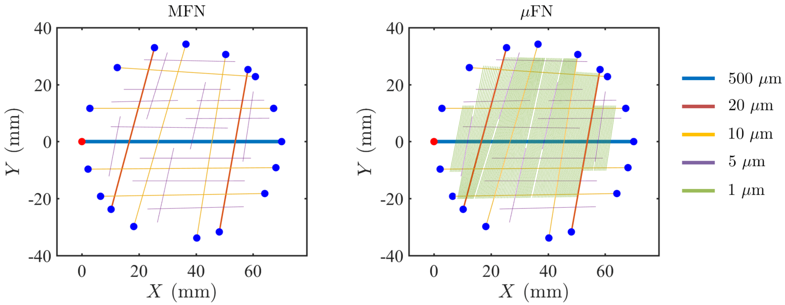
2.1. Micromodel Design and Fabrication
2.2. Flow-Through Experiment Design
2.3. Imaging and Data Acquisition
3. Results
3.1. Experiment Reproducibility and Measurement Error
3.2. Behavior across a Range of Flow Rates
4. Discussion
5. Conclusions
Author Contributions
Funding
Acknowledgments
Conflicts of Interest
Abbreviations
| FN | Microfracture Network |
| b | Fracture width, m |
| Background | |
| C | Dye concentration, [] |
| I | Light intensity |
| Q | Flow rate, L/h |
| BTC | Breakthrough Curve |
| DI water | De-ionized water |
| MFN | Macrofracture Network |
| PDMS | Polydimethylsiloxane |
| Péclet number |
Appendix A. Concentration Uncertainty Quantification



Appendix B. Upper Stream and Down Stream BTCs with Normalized Time



Appendix C. BTC with Physical Time





References
- US Energy Information Administration. Annual Energy Outlook 2019 with Projections to 2050; Technical Report; US Energy Information Administration: Washington, DC, USA, 2019.
- Wood, D.A.; Hazra, B. Characterization of organic-rich shales for petroleum exploration & exploitation: A review-Part 1: Bulk properties, multi-scale geometry and gas adsorption. J. Earth Sci. 2017, 28, 758–778. [Google Scholar]
- Gensterblum, Y.; Ghanizadeh, A.; Cuss, R.J.; Amann-Hildenbrand, A.; Krooss, B.M.; Clarkson, C.R.; Harrington, J.F.; Zoback, M.D. Gas transport and storage capacity in shale gas reservoirs–A review. Part A: Transport processes. J. Unconv. Oil Gas Resour. 2015, 12, 87–122. [Google Scholar] [CrossRef]
- Wu, W.; Sharma, M.M. Acid Fracturing in Shales: Effect of Dilute Acid on Properties and Pore Structure of Shale. SPE Prod. Oper. 2017, 32, 51–63. [Google Scholar] [CrossRef]
- Javadpour, F.; Fisher, D.; Unsworth, M. Nanoscale Gas Flow in Shale Gas Sediments. J. Can. Pet. Technol. 2007, 46. [Google Scholar] [CrossRef]
- Ilgen, A.G.; Heath, J.E.; Akkutlu, I.Y.; Bryndzia, L.T.; Cole, D.R.; Kharaka, Y.K.; Kneafsey, T.J.; Milliken, K.L.; Pyrak-Nolte, L.J.; Suarez-Rivera, R. Shales at all scales: Exploring coupled processes in mudrocks. Earth-Sci. Rev. 2017, 166, 132–152. [Google Scholar] [CrossRef]
- Bai, B.; Elgmati, M.; Zhang, H.; Wei, M. Rock characterization of Fayetteville shale gas plays. Fuel 2013, 105, 645–652. [Google Scholar] [CrossRef]
- Clarkson, C.R.; Solano, N.; Bustin, R.M.; Bustin, A.M.M.; Chalmers, G.R.L.; He, L.; Melnichenko, Y.B.; Radliński, A.P.; Blach, T.P. Pore structure characterization of North American shale gas reservoirs using USANS/SANS, gas adsorption, and mercury intrusion. Fuel 2013, 103, 606–616. [Google Scholar] [CrossRef]
- King, H.E.; Eberle, A.P.R.; Walters, C.C.; Kliewer, C.E.; Ertas, D.; Huynh, C. Pore Architecture and Connectivity in Gas Shale. Energy Fuels 2015, 29, 1375–1390. [Google Scholar] [CrossRef]
- Vishal, V.; Chandra, D.; Bahadur, J.; Sen, D.; Hazra, B.; Mahanta, B.; Mani, D. Interpreting Pore Dimensions in Gas Shales Using a Combination of SEM Imaging, Small-Angle Neutron Scattering, and Low-Pressure Gas Adsorption. Energy Fuels 2019, 33, 4835–4848. [Google Scholar] [CrossRef]
- Zhang, Y.; Barber, T.J.; Hu, Q.; Bleuel, M.; El-Sobky, H.F. Complementary neutron scattering, mercury intrusion and SEM imaging approaches to micro- and nano-pore structure characterization of tight rocks: A case study of the Bakken shale. Int. J. Coal Geol. 2019, 212, 103252. [Google Scholar] [CrossRef]
- Frouté, L.; Kovscek, A.R. Nano-Imaging of Shale Using Electron Microscopy Techniques. In Proceedings of the Unconventional Resources Technology Conference (URTeC), Virtual, 20–22 July 2020. [Google Scholar] [CrossRef]
- Lee, K.S.; Kim, T.H. Transport in Shale Reservoirs; Gulf Professional Publishing: Cambridge, MA, USA, 2019. [Google Scholar]
- Gale, J.F.W.; Laubach, S.E.; Olson, J.E.; Eichhubl, P.; Fall, A. Natural fractures in shale: A review and new observations. AAPG Bull. 2014, 98, 2165–2216. [Google Scholar] [CrossRef]
- Wang, Q.; Gale, J.F. Characterizing Bedding-Parallel Fractures in Shale: Aperture-Size Distributions and Spatial Organization. In Proceedings of the 2016 AAPG Annual Convention and Exhibition, Calgary, AB, Canada, 19–22 June 2016. [Google Scholar]
- Mi, L.; Jiang, H.; Li, J.; Li, T.; Tian, Y. The investigation of fracture aperture effect on shale gas transport using discrete fracture model. J. Nat. Gas Sci. Eng. 2014, 21, 631–635. [Google Scholar] [CrossRef]
- Li, Q.; Xing, H.; Liu, J.; Liu, X. A review on hydraulic fracturing of unconventional reservoir. Petroleum 2015, 1, 8–15. [Google Scholar] [CrossRef]
- Harrison, A.L.; Jew, A.D.; Dustin, M.K.; Thomas, D.L.; Joe-Wong, C.M.; Bargar, J.R.; Johnson, N.; Brown, G.E.; Maher, K. Element release and reaction-induced porosity alteration during shale-hydraulic fracturing fluid interactions. Appl. Geochem. 2017, 82, 47–62. [Google Scholar] [CrossRef]
- Balashov, V.N.; Guthrie, G.D.; Lopano, C.L.; Hakala, J.A.; Brantley, S.L. Reaction and diffusion at the reservoir/shale interface during CO2 storage: Impact of geochemical kinetics. Appl. Geochem. 2015, 61, 119–131. [Google Scholar] [CrossRef]
- Hakala, J.A.; Crandall, D.; Moore, J.; Phan, T.; Sharma, S.; Lopano, C. Laboratory-Scale Studies on Chemical Reactions Between Fracturing Fluid and Shale Core From the Marcellus Shale Energy and Environmental Laboratory (MSEEL) Site. In Proceedings of the Unconventional Resources Technology Conference, Austin, TX, USA, 24–26 July 2017. [Google Scholar] [CrossRef]
- Dahi Taleghani, A.; Olson, J.E. How Natural Fractures Could Affect Hydraulic-Fracture Geometry. SPE J. 2013, 19, 161–171. [Google Scholar] [CrossRef]
- Wu, K.; Olson, J.E. Mechanics Analysis of Interaction Between Hydraulic and Natural Fractures in Shale Reservoirs. In Proceedings of the Unconventional Resources Technology Conference, Denver, CO, USA, 25–27 August 2014. [Google Scholar] [CrossRef]
- Kolawole, O.; Ispas, I. Interaction between hydraulic fractures and natural fractures: Current status and prospective directions. J. Pet. Explor. Prod. Technol. 2020, 10, 1613–1634. [Google Scholar] [CrossRef]
- Shrivastava, K.; Sharma, M.M. Mechanisms for the Formation of Complex Fracture Networks in Naturally Fractured Rocks; Society of Petroleum Engineers: Richardson, TX, USA, 2018. [Google Scholar] [CrossRef]
- Saif, T.; Lin, Q.; Butcher, A.R.; Bijeljic, B.; Blunt, M.J. Multi-scale multi-dimensional microstructure imaging of oil shale pyrolysis using X-ray micro-tomography, automated ultra-high resolution SEM, MAPS Mineralogy and FIB-SEM. Appl. Energy 2017, 202, 628–647. [Google Scholar] [CrossRef]
- Wang, H.; Chen, L.; Qu, Z.; Yin, Y.; Kang, Q.; Yu, B.; Tao, W.Q. Modeling of multi-scale transport phenomena in shale gas production—A critical review. Appl. Energy 2020, 262, 114575. [Google Scholar] [CrossRef]
- Tsang, C.F. Tracer Transport in Fracture Systems. In Flow and Contaminant Transport in Fractured Rock; Bear, J., Tsang, C.F., de Marsily, G., Eds.; Academic Press: Oxford, UK, 1993; pp. 237–266. [Google Scholar] [CrossRef]
- Bodin, J.; Delay, F.; de Marsily, G. Solute transport in a single fracture with negligible matrix permeability: 1. fundamental mechanisms. Hydrogeol. J. 2003, 11, 418–433. [Google Scholar] [CrossRef]
- Kosakowski, G.; Berkowitz, B. Flow pattern variability in natural fracture intersections. Geophys. Res. Lett. 1999, 26, 1765–1768. [Google Scholar] [CrossRef]
- Zhao, Z.; Li, B.; Jiang, Y. Effects of Fracture Surface Roughness on Macroscopic Fluid Flow and Solute Transport in Fracture Networks. Rock Mech. Rock Eng. 2014, 47, 2279–2286. [Google Scholar] [CrossRef]
- Zou, L.; Jing, L.; Cvetkovic, V. Modeling of Solute Transport in a 3D Rough-Walled Fracture-Matrix System. Transp. Porous Media 2017, 116, 1005–1029. [Google Scholar] [CrossRef]
- Charlet, L.; Alt-Epping, P.; Wersin, P.; Gilbert, B. Diffusive transport and reaction in clay rocks: A storage (nuclear waste, CO2, H2), energy (shale gas) and water quality issue. Adv. Water Resour. 2017, 106, 39–59. [Google Scholar] [CrossRef]
- Graf, T.; Therrien, R. Variable-density groundwater flow and solute transport in irregular 2D fracture networks. Adv. Water Resour. 2007, 30, 455–468. [Google Scholar] [CrossRef]
- Field, M.S. On Tracer Breakthrough Curve Dataset Size, Shape, and Statistical Distribution. Adv. Water Resour. 2020, 141, 103596. [Google Scholar] [CrossRef]
- Zhang, C.; Oostrom, M.; Wietsma, T.W.; Grate, J.W.; Warner, M.G. Influence of viscous and capillary forces on immiscible fluid displacement: Pore-scale experimental study in a water-wet micromodel demonstrating viscous and capillary fingering. Energy Fuels 2011, 25, 3493–3505. [Google Scholar] [CrossRef]
- Werth, C.J.; Zhang, C.; Brusseau, M.L.; Oostrom, M.; Baumann, T. A review of non-invasive imaging methods and applications in contaminant hydrogeology research. J. Contam. Hydrol. 2010, 113, 1–24. [Google Scholar] [CrossRef]
- Ling, B.; Oostrom, M.; Tartakovsky, A.M.; Battiato, I. Hydrodynamic dispersion in thin channels with micro-structured porous walls. Phys. Fluids 2018, 30, 076601. [Google Scholar] [CrossRef]
- Karadimitriou, N.; Hassanizadeh, S. A review of micromodels and their use in two-phase flow studies. Vadose Zone J. 2012, 11. [Google Scholar] [CrossRef]
- Xia, Y.; Whitesides, G.M. Soft lithography. Ann. Rev. Mater. Sci. 1998, 28, 153–184. [Google Scholar] [CrossRef]
- Willingham, T.W.; Werth, C.J.; Valocchi, A.J. Evaluation of the effects of porous media structure on mixing-controlled reactions using pore-scale modeling and micromodel experiments. Environ. Sci. Technol. 2008, 42, 3185–3193. [Google Scholar] [CrossRef] [PubMed]
- Aljamaan, H.; Ross, C.M.; Kovscek, A.R. Multiscale Imaging of Gas Storage in Shales. SPE J. 2017, 22, 1760–1777. [Google Scholar] [CrossRef]
- Ogata, A.; Banks, R.B. A Solution of the Differential Equation of Longitudinal Dispersion in Porous Media; US Government Printing Office: Washington, DC, USA, 1961.
- Folch, A.; Ayon, A.; Hurtado, O.; Schmidt, M.; Toner, M. Molding of deep polydimethylsiloxane microstructures for microfluidics and biological applications. J. Biomech. Eng. 1999, 121, 28–34. [Google Scholar] [CrossRef][Green Version]
- Kim, P.; Kwon, K.W.; Park, M.C.; Lee, S.H.; Kim, S.M.; Suh, K.Y. Soft lithography for microfluidics: A review. Biochip J. 2008, 2, 1–11. [Google Scholar]
- Ling, B.; Bao, J.; Oostrom, M.; Battiato, I.; Tartakovsky, A.M. Modeling variability in porescale multiphase flow experiments. Adv. Water Resour. 2017, 105, 29–38. [Google Scholar] [CrossRef]







| Fracture Number | ||
|---|---|---|
| Aperture | MFN | FN |
| 500 m | 1 | 1 |
| 20 m | 2 | 2 |
| 10 m | 6 | 6 |
| 5 m | 14 | 14 |
| 1 m | 0 | 119 |
| Location | x-Coordinate (mm) | y-Coordinate (mm) | Horizontal Fracture (m) | Vertical Fracture (m) |
|---|---|---|---|---|
| P1 | 11.78 | 0 | 500 | 5 |
| P2 | 16.61 | 0 | 500 | 20 |
| P3 | 26.70 | 0 | 500 | 10 |
| A1 | 12.76 | 5.20 | 5 | 5 |
| A2 | 17.98 | 5.14 | 5 | 20 |
| A3 | 28.13 | 5.02 | 5 | 10 |
| A10 | 19.73 | 11.67 | 10 | 20 |
| A11 | 23.88 | 11.67 | 10 | 5 |
| A12 | 30.03 | 11.67 | 10 | 10 |
| Symbol | Value | Unit | |
|---|---|---|---|
| Main fracture width | B | 500 | m |
| Main fracture length | L | 70 | mm |
| fracture network thickness | 10 | m | |
| Fluid density | 1000 | kg/m | |
| Fluid kinetic viscosity | m/s | ||
| Solute molecular diffusivity | m/s | ||
| Injection flow rate | Q | 2–40 | L/h |
| Average inlet velocity | 2.7–21.6 | m/s |
| Label | Flow Rate (L/h) | Peclet Number (–) | P1 Arrival Time (mins) |
|---|---|---|---|
| MFN, Q2 | 2 | 124 | 2085.15 |
| FN, Q2 | 2 | 124 | 1767.19 |
| MFN, Q5 | 5 | 310 | 736.19 |
| FN, Q5 | 5 | 310 | 730.12 |
| MFN, Q10 | 10 | 620 | 378.16 |
| FN, Q10 | 10 | 620 | 426.18 |
| MFN, Q20 | 20 | 1240 | 200.20 |
| FN, Q20 | 20 | 1240 | 153.17 |
| MFN, Q40 | 40 | 2480 | 112.48 |
| FN, Q40 | 40 | 2480 | 62.14 |
| FN, Q10(R1) | 10 | 620 | 309.25 |
| FN, Q10(R2) | 10 | 620 | 391.31 |
| FN, Q10(R3) | 10 | 620 | 375.21 |
| FN, Q10(R4) | 10 | 620 | 391.26 |
Publisher’s Note: MDPI stays neutral with regard to jurisdictional claims in published maps and institutional affiliations. |
© 2020 by the authors. Licensee MDPI, Basel, Switzerland. This article is an open access article distributed under the terms and conditions of the Creative Commons Attribution (CC BY) license (http://creativecommons.org/licenses/by/4.0/).
Share and Cite
Ling, B.; Khan, H.J.; Druhan, J.L.; Battiato, I. Multi-Scale Microfluidics for Transport in Shale Fabric. Energies 2021, 14, 21. https://doi.org/10.3390/en14010021
Ling B, Khan HJ, Druhan JL, Battiato I. Multi-Scale Microfluidics for Transport in Shale Fabric. Energies. 2021; 14(1):21. https://doi.org/10.3390/en14010021
Chicago/Turabian StyleLing, Bowen, Hasan J. Khan, Jennifer L. Druhan, and Ilenia Battiato. 2021. "Multi-Scale Microfluidics for Transport in Shale Fabric" Energies 14, no. 1: 21. https://doi.org/10.3390/en14010021
APA StyleLing, B., Khan, H. J., Druhan, J. L., & Battiato, I. (2021). Multi-Scale Microfluidics for Transport in Shale Fabric. Energies, 14(1), 21. https://doi.org/10.3390/en14010021

