Interpretation of Gas/Water Relative Permeability of Coal Using the Hybrid Bayesian-Assisted History Matching: New Insights
Abstract
1. Introduction
2. Methods
2.1. Hybridizing BO with MADS
2.1.1. Basics of BO
2.1.2. Basics of MADS
2.1.3. Hybridization
2.2. Representation of Relative Permeability and Capillary Pressure
2.3. Implementation of the Assisted History Matching Framework
3. Validation of the Framework
4. Results and Discussion
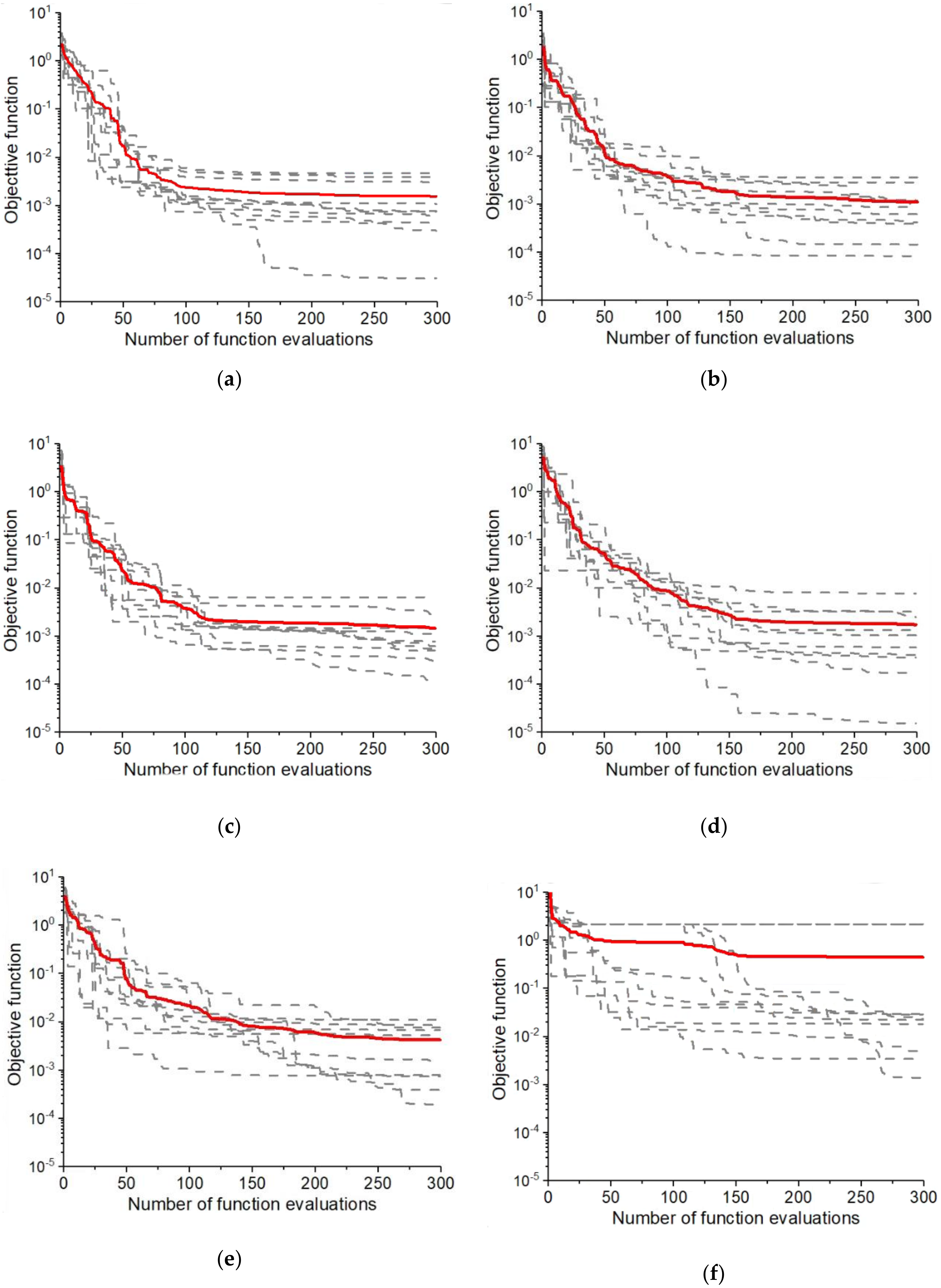
4.1. Convergence Trend of the BADS Algorithm
4.2. Effect of Pressure Drop on the Interpretation Accuracy
4.3. Comparison with the JBN Method
- (1)
- A first case involves only gas compressibility and adsorption by assuming zero capillary pressure and by accommodating no evolution in permeability. As can be seen from Figure 13, for this case, the JBN-interpreted relative permeability curves agree well with the true relations, indicating that gas compressibility and adsorption exert minor effects on the accuracy of interpretation using the JBN algorithm.
- (2)
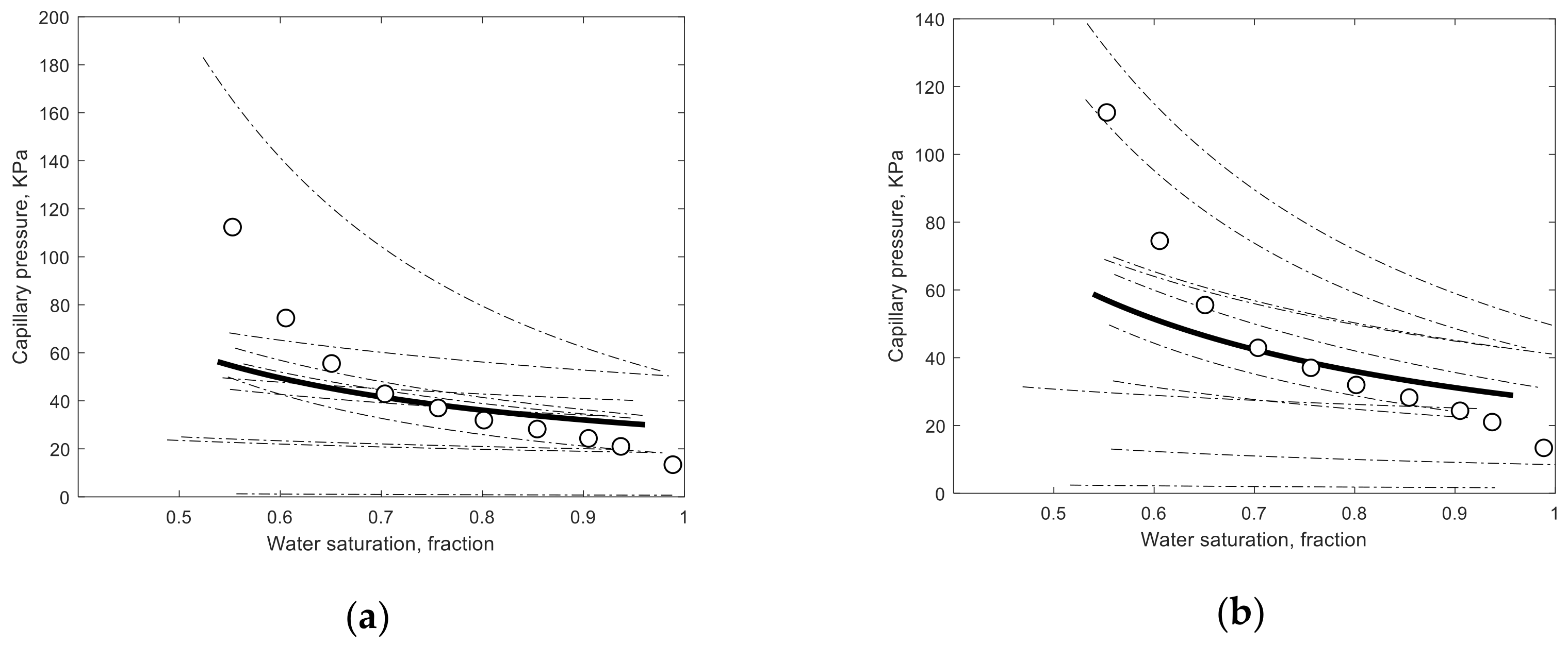
- A second case is constructed by adding the capillary pressure while still excluding permeability evolution. Apparent in Figure 13 is that the inclusion of the capillary effect tends to lower the interpreted water relative permeability with reference to the true curve. The interpretation of gas phase relative permeability appears to be less affected compared with that for the water phase over the range of high water saturations; however, the interpreted gas relative permeability is lower than the real magnitude when the water saturation approximates the connate water saturation.
- (3)
- A third case is constructed by adding the permeability evolution effect while still excluding the impact of capillary pressure but otherwise represents the conditions of the first case. As depicted in Figure 13, for this case, the JBN-interpreted relative permeability curves deviate significantly from the true behavior. These results are actually quite similar to the curves interpreted for the basic model (that incorporate capillary end-effects, gas compressibility and adsorption, and permeability evolution).
5. Conclusions
Author Contributions
Funding
Institutional Review Board Statement
Informed Consent Statement
Data Availability Statement
Acknowledgments
Conflicts of Interest
References
- Zhang, J.; Feng, Q.; Zhang, X.; Hu, Q.; Yang, J.; Wang, N. A Novel data-driven method to estimate methane adsorption isotherm on coals using the gradient boosting decision tree: A case study in the Qinshui Basin, China. Energies 2020, 13, 5369. [Google Scholar] [CrossRef]
- Chen, D.; Pan, Z.; Liu, J.; Connell, L.D. An improved relative permeability model for coal reservoirs. Int. J. Coal Geol. 2013, 109-110, 45–57. [Google Scholar] [CrossRef]
- Clarkson, C.R.; Rahmanian, M.; Kantzas, A.; Morad, K. Relative permeability of CBM reservoirs: Controls on curve shape. Int. J. Coal Geol. 2011, 88, 204–217. [Google Scholar] [CrossRef]
- Karacan, C.Ö. Production history matching to determine reservoir properties of important coal groups in Upper Pottsville formation, Brookwood and Oak Grove fields, Black Warrior Basin, Alabama. J. Nat. Gas Sci. Eng. 2013, 10, 51–67. [Google Scholar] [CrossRef]
- Zhang, J.; Feng, Q.; Zhang, X.; Bai, J.; Karacan, O.; Elsworth, D. A two-stage step-wise framework for fast optimization of well placement in coalbed methane reservoirs. Int. J. Coal Geol. 2020, 225, 103479. [Google Scholar] [CrossRef]
- Zhang, J.; Feng, Q.; Zhang, X.; Hu, Q.; Weng, S.; Chen, D.; Zhai, Y.; Yan, X. Multi-fractured horizontal well for improved coalbed methane production in eastern Ordos basin, China: Field observations and numerical simulations. J. Petrol. Sci. Eng. 2020, 194, 107488. [Google Scholar] [CrossRef]
- Ham, Y.S.; Kantzas, A. Relative permeability of coal to gas (helium, methane, and carbon dioxide) and water: Results and experimental limitations. In Proceedings of the Canadian Unconventional Resources Conference, Calgary, Alberta, Canada, 15–17 November 2011. [Google Scholar] [CrossRef]
- Deng, H.; Stauffer, P.H.; Dai, Z.; Jiao, Z.; Surdam, R.C. Simulation of industrial-scale CO2 storage: Multi-scale heterogeneity and its impacts on storage capacity, injectivity and leakage. Int. J. Greenh. Gas Control 2012, 10, 397–418. [Google Scholar] [CrossRef]
- Kumar, H.; Elsworth, D.; Liu, J.; Pone, D.; Mathews, J.P. Optimizing enhanced coalbed methane recovery for unhindered production and CO2 injectivity. Int. J. Greenh. Gas. Control 2012, 11, 86–97. [Google Scholar] [CrossRef]
- Durucan, S.; Ahsan, M.; Shi, J.Q.; Syed, A.; Korre, A. Two phase relative permeabilities for gas and water in selected European coals. Fuel 2014, 134, 226–236. [Google Scholar] [CrossRef]
- Gash, B.W. Measurement of “rock properties” in coal for coalbed methane production. In Proceedings of the SPE Annual Technical Conference and Exhibition, Dallas, TX, USA, 6–9 October 1991. [Google Scholar] [CrossRef]
- Gerami, A.; Mostaghimi, P.; Armstrong, R.T.; Zamani, A.; Warkiani, M.E. A microfluidic framework for studying relative permeability in coal. Int. J. Coal Geol. 2016, 159, 183–193. [Google Scholar] [CrossRef]
- Reznik, A.A.; Dabbous, M.K.; Fulton, P.F.; Taber, J.J. Air-water relative permeability studies of Pittsburgh and Pocahontas coals. SPE J. 1974, 14, 556–562. [Google Scholar] [CrossRef]
- Maini, B. Is it futile to measure relative permeability for heavy oil reservoirs? J. Can. Petrol. Tech. 1998, 37, 7. [Google Scholar] [CrossRef]
- Gerami, A.; Armstrong, R.T.; Johnston, B.; Warkiani, M.E.; Mosavat, N.; Mostaghimi, P. Coal-on-a-chip: Visualizing flow in coal fractures. Energy Fuel 2017, 31, 10393–10403. [Google Scholar] [CrossRef]
- Zhang, J.; Feng, Q.; Zhang, X.; Wen, S.; Zhai, Y. Relative permeability of coal: A review. Transp. Porous Media 2015, 106, 563–594. [Google Scholar] [CrossRef]
- Shen, S.; Fang, Z.; Li, X. Laboratory measurements of the relative permeability of coal: A review. Energies 2020, 13, 5568. [Google Scholar] [CrossRef]
- Shen, J.; Qin, Y.; Li, Y.; Wang, G. Experimental investigation into the relative permeability of gas and water in low-rank coal. J. Petrol. Sci. Eng. 2019, 175, 303–316. [Google Scholar] [CrossRef]
- Le-Hussain, F.; Cinar, Y.; Bedrikovetsky, P.G. Comparison of methods for drainage relative permeability estimation from displacement tests. In Proceedings of the SPE Improved Oil Recovery Symposium, Tulsa, OK, USA, 24–28 April 2010. [Google Scholar] [CrossRef]
- Johnson, E.F.; Bossler, D.P.; Naumann, V.O. Calculation of relative permeability from displacement experiments. Pet. Trans. AIME 1959, 216, 370–372. [Google Scholar] [CrossRef]
- Chakrabarty, C.; Bentsen, R.G. Instability theory for immisicible displacements in tubular systems. SPE Reserv. Eng. 1992, 7, 187–194. [Google Scholar] [CrossRef]
- Pavone, D. Observations and correlations for immiscible viscous-fingering experiments. SPE Reserv. Eng. 1992, 7, 187–194. [Google Scholar] [CrossRef]
- Peters, E.J.; Flock, D.L. The onset of instability during two-phase immiscible displacement in porous media. SPE J. 1981, 21, 249–258. [Google Scholar] [CrossRef]
- Zhang, Y.; Song, C.; Yang, D. A damped iterative EnKF method to estimate relative permeability and capillary pressure for tight formations from displacement experiments. Fuel 2016, 167, 306–315. [Google Scholar] [CrossRef]
- Zhou, K.; Hou, J.; Fu, H.; Wei, B.; Liu, Y. Estimation of relative permeability curves using an improved Levenberg-Marquardt method with simultaneous perturbation Jacobian approximation. J. Hydrol. 2017, 544, 604–612. [Google Scholar] [CrossRef]
- Adibifard, M.; Talebkeikhah, M.; Sharifi, M.; Hemmati-Sarapardeh, A. Iterative ensemble Kalman filter and genetic algorithm for automatic reconstruction of relative permeability curves in the subsurface multi-phase flow. J. Petrol. Sci. Eng. 2020, 192, 107264. [Google Scholar] [CrossRef]
- Shaw, D.; Mostaghimi, P.; Armstrong, R.T. The dynamic behaviour of coal relative permeability curves. Fuel 2019, 253, 293–304. [Google Scholar] [CrossRef]
- Eydinov, D.; Gao, G.; Li, G.; Reynolds, A.C. Simultaneous estimation of relative permeability and porosity/permeability fields by history matching production data. J. Can. Petrol. Tech. 2009, 48, 13–25. [Google Scholar] [CrossRef]
- Emerik, A.A.; Reynolds, A.C. Ensemble smoother with multiple data assimilation. Comput. Geosci. 2013, 55, 3–15. [Google Scholar] [CrossRef]
- Chai, Z.; Nwachukwu, A.; Zagayevskiy, Y.; Amini, S.; Madasu, S. An integrated closed-loop solution to assisted history matching and field optimization with machine learning techniques. J. Petrol. Sci. Eng. 2020, 108204. [Google Scholar] [CrossRef]
- Chen, S.; Li, G.; Peres, A.M.; Reynolds, A.C. A well test for in-situ determination of relative permeability curves. SPE Reserv. Eval. Eng. 2008, 11, 95–107. [Google Scholar] [CrossRef]
- Aljehani, A.S.; Wang, Y.D.; Rahman, S.S. An innovative approach to relative permeability estimation of naturally fractured carbonate rocks. J. Petrol. Sci. Eng. 2018, 162, 309–324. [Google Scholar] [CrossRef]
- Sun, X.; Yao, Y.; Ripepi, N.; Liu, D. A novel method for gas-water relative permeability measurement of coal using NMR relaxation. Transp. Porous Media 2018, 124, 73–90. [Google Scholar] [CrossRef]
- Schembre, J.M.; Kovscek, A.R. Estimation of dynamic relative permeability and capillary pressure from countercurrent imbibition experiments. Transp. Porous Media 2004, 65, 31–51. [Google Scholar] [CrossRef]
- Aliyev, E.; Durlofsky, L.J. Multilevel field-development optimization using a sequence of upscaled models. In Proceedings of the SPE Reservoir Simulation Symposium, Houston, TX, USA, 23–25 February 2015. [Google Scholar] [CrossRef]
- Yang, H.; Kim, J.; Choe, J. Field development optimization in mature oil reservoirs using a hybrid algorithm. J. Petrol. Sci. Eng. 2017, 156, 41–50. [Google Scholar] [CrossRef]
- Chen, H.; Feng, Q.; Zhang, X.; Wang, S.; Ma, Z.; Zhou, W.; Liu, C. A meta-optimized hybrid global and local algorithm for well placement optimization. Comput. Chem. Eng. 2018, 117, 209–220. [Google Scholar] [CrossRef]
- Brochu, E.; Cora, V.M.; De Freitas, N. A Tutorial on Bayesian Optimization of Expensive Cost Functions, with Application to Active User Modeling and Hierarchical Reinforcement Learning; Cornell University: Ithaca, NY, USA, 2010. [Google Scholar]
- Snoek, J.; Larochelle, H.; Adams, R.P. Practical Bayesian optimization of machine learning algorithms. In Proceedings of the Advances in Neural Information Processing Systems, Lake Tahoe, NV, USA, 3–6 December 2012; pp. 2951–2959. [Google Scholar]
- Acerbi, L.; Ma, W.J. Practical Bayesian optimization for model fitting with Bayesian adaptive direct search. In Proceedings of the Advances in Neural Information Processing Systems, Long Beach, CA, USA, 4–9 December 2017; pp. 1834–1844. [Google Scholar]
- Audet, C.; Dennis, J.E. Mesh adaptive direct search algorithms for constrained optimization. SIAM J. Optimiz. 2006, 17, 188–217. [Google Scholar] [CrossRef]
- Audet, C.; Dennis, J.E.; Le Digabel, S. Globalization strategies for mesh adaptive direct search. Comput. Optim. Appl. 2010, 46, 193–215. [Google Scholar] [CrossRef]
- Booker, A.J.; Dennis, J.E., Jr.; Frank, P.D.; Serafini, D.B.; Torczon, V.; Trosset, M.W. A rigorous framework for optimization of expensive functions by surrogates. Struct. Optim. 1999, 17, 1–13. [Google Scholar] [CrossRef]
- Clarke, F.H. Optimization and Nonsmooth Analysis; SIAM Publications: Philadelphia, PA, USA, 1990. [Google Scholar]
- Bratley, P.; Fox, B.L. Algorithm 659: Implementing Sobol’s quasirandom sequence generator. ACM Trans. Math. Softw. 1988, 14, 88–100. [Google Scholar] [CrossRef]
- Lake, L.W. Enhanced Oil Recovery; Prentice Hall: Englewood Cliffs, NJ, USA, 1989; pp. 61–62. [Google Scholar]
- Chen, D.; Shi, J.-Q.; Durucan, S.; Korre, A. Gas and water relative permeability in different coals: Model match and new insights. Int. J. Coal Geol. 2014, 122, 37–49. [Google Scholar] [CrossRef]
- Zhang, Z.; Yan, D.; Yang, S.; Zhuang, X.; Li, G.; Wang, G.; Wang, X. Experimental studies on the movable-water saturations of different-scale pores and relative permeability of low-medium rank coals from the Southern Junggar Basin. J. Nat. Gas Sci. Eng. 2020, 83, 103585. [Google Scholar] [CrossRef]
- Almutairi, A.; Le-Hussain, F. Effect of injection rate on oil water relative permeability accounting for capillary pressure and outlet end effects. In Proceedings of the International Petroleum Technology Conference, Dhahran, Saudi Arabia, 13–15 June 2020. [Google Scholar] [CrossRef]
- Liu, P.; Yuan, Z.; Li, K. An improved capillary pressure model using fractal geometry for coal rock. J. Petrol. Sci. Eng. 2016, 145, 473–481. [Google Scholar] [CrossRef]
- Zhang, Y.; Yang, D. Simultaneous estimation of relative permeability and capillary pressure for tight formations using ensemble-based history matching method. Comput. Fluids 2013, 71, 446–460. [Google Scholar] [CrossRef]
- Richmond, P.C.; Watsons, A.T. Estimation of multiphase flow functions from displacement experiments. SPE Reserv. Eng. 1990, 5, 121–127. [Google Scholar] [CrossRef]
- Sander, R.; Connell, L.D.; Pan, Z.; Camilleri, M.; Heryanto, D.; Lupton, N. Core flooding experiments of CO2 enhanced coalbed methane recovery. Int. J. Coal Geol. 2014, 131, 113–125. [Google Scholar] [CrossRef]
- Zhou, F.; Hussain, F.; Cinar, Y. Injecting pure N2 and CO2 to coal for enhanced coalbed methane: Experimental observations and numerical simulation. Int. J. Coal Geol. 2013, 116, 53–62. [Google Scholar] [CrossRef]
- Connell, L.D.; Sander, R.; Pan, Z.; Camilleri, M.; Heryanto, D. History matching of enhanced coal bed methane laboratory core flood tests. Int. J. Coal Geol. 2011, 87, 128–138. [Google Scholar] [CrossRef]
- Singh, M.; Mani, V.; Honarpour, M.M. Comparison of viscous and gravity dominated gas-oil relative permeabilities. J. Petrol. Sci. Eng. 2001, 30, 67–81. [Google Scholar] [CrossRef]
- Rostami, B.; Kharrat, R.; Ghotbi, C. Gas-oil relative permeability and residual oil saturation as related to displacement instability and dimensionless numbers. Oil. Gas. Sci. Technol. 2009, 65, 299–313. [Google Scholar] [CrossRef]
- Austin-Adigio, M.; Gates, I.D. Thermal viscous fingering in thermal recovery processes. Energies 2020, 13, 4986. [Google Scholar] [CrossRef]
- Fayazi, A.; Bagherzadeh, H.; Shahrabadi, A. Estimation of pseudo relative permeability curves for a heterogeneous reservoir with a new automatic history matching algorithm. J. Petro. Sci. Eng. 2016, 140, 154–163. [Google Scholar] [CrossRef]
- Sigmund, P.M.; McCaffery, F.G. An improved unsteady-state procedure for determining relative permeability characteristics of heterogeneous porous media. SPE J. 1979, 19, 15–28. [Google Scholar] [CrossRef]
- Bentsen, R.G. Conditions under which the capillary term may be neglected. J. Can. Petrol. Tech. 1978, 17. [Google Scholar] [CrossRef]
- Dabbous, M.K.; Reznik, A.A.; Taber, J.J.; Fulton, P.F. The permeability of coal to gas and water. SPE J. 1974, 14, 563–572. [Google Scholar] [CrossRef]
- Al Ghamdi, B.N.; Ayala, L.F. Analysis of capillary pressure and relative permeability effects on the productivity of naturally fractured gas-condensate reservoirs. In Proceedings of the SPE/DGS Saudi Arabia Section Technical Symposium and Exhibition, Al-Khobar, Saudi Arabia, 4–7 April 2010. [Google Scholar] [CrossRef]
















| Property | Value |
|---|---|
| Cleat porosity, % | 3.00 |
| Permeability, mD * | 0.1 |
| Rock compressibility, KPa−1 | 2.5 × 10−5 |
| Sorption strain, fraction | 0.009 |
| Pε, KPa | 2700 |
| Poison ratio, fraction | 0.35 |
| Young’s Modulus, KPa | 3.0 × 106 |
| Initial pressure, KPa | 101.1 |
| Initial water saturation, % | 100 |
| Langmuir volume, m3/t | 24.0 |
| Langmuir pressure, KPa | 2300 |
| Desorption time, d | 0.5 |
| Temperature, K | 308.15 |
| Bulk density, g/cm3 | 1.4 |
Publisher’s Note: MDPI stays neutral with regard to jurisdictional claims in published maps and institutional affiliations. |
© 2021 by the authors. Licensee MDPI, Basel, Switzerland. This article is an open access article distributed under the terms and conditions of the Creative Commons Attribution (CC BY) license (http://creativecommons.org/licenses/by/4.0/).
Share and Cite
Zhang, J.; Zhang, B.; Xu, S.; Feng, Q.; Zhang, X.; Elsworth, D. Interpretation of Gas/Water Relative Permeability of Coal Using the Hybrid Bayesian-Assisted History Matching: New Insights. Energies 2021, 14, 626. https://doi.org/10.3390/en14030626
Zhang J, Zhang B, Xu S, Feng Q, Zhang X, Elsworth D. Interpretation of Gas/Water Relative Permeability of Coal Using the Hybrid Bayesian-Assisted History Matching: New Insights. Energies. 2021; 14(3):626. https://doi.org/10.3390/en14030626
Chicago/Turabian StyleZhang, Jiyuan, Bin Zhang, Shiqian Xu, Qihong Feng, Xianmin Zhang, and Derek Elsworth. 2021. "Interpretation of Gas/Water Relative Permeability of Coal Using the Hybrid Bayesian-Assisted History Matching: New Insights" Energies 14, no. 3: 626. https://doi.org/10.3390/en14030626
APA StyleZhang, J., Zhang, B., Xu, S., Feng, Q., Zhang, X., & Elsworth, D. (2021). Interpretation of Gas/Water Relative Permeability of Coal Using the Hybrid Bayesian-Assisted History Matching: New Insights. Energies, 14(3), 626. https://doi.org/10.3390/en14030626

