Polybenzimidazole-Based Polymer Electrolyte Membranes for High-Temperature Fuel Cells: Current Status and Prospects
Abstract
1. Introduction
- (1)
- High proton conductivity (>0.1 S·cm−1) in a low-humidity environment and at high operation temperatures over 100 °C;
- (2)
- Low fuel gas permeability;
- (3)
- Superior electrochemical and thermal stabilities in a harsh environment;
- (4)
- Excellent mechanical properties in both dry and hydrated states;
- (5)
- Sufficient water uptake and moderate swelling;
- (6)
- Outstanding long-term durability (>10 years) in the operating PEMFCs;
- (7)
- Low cost (<$10 kW−1 based on a PEMFCs) and easy fabrication.
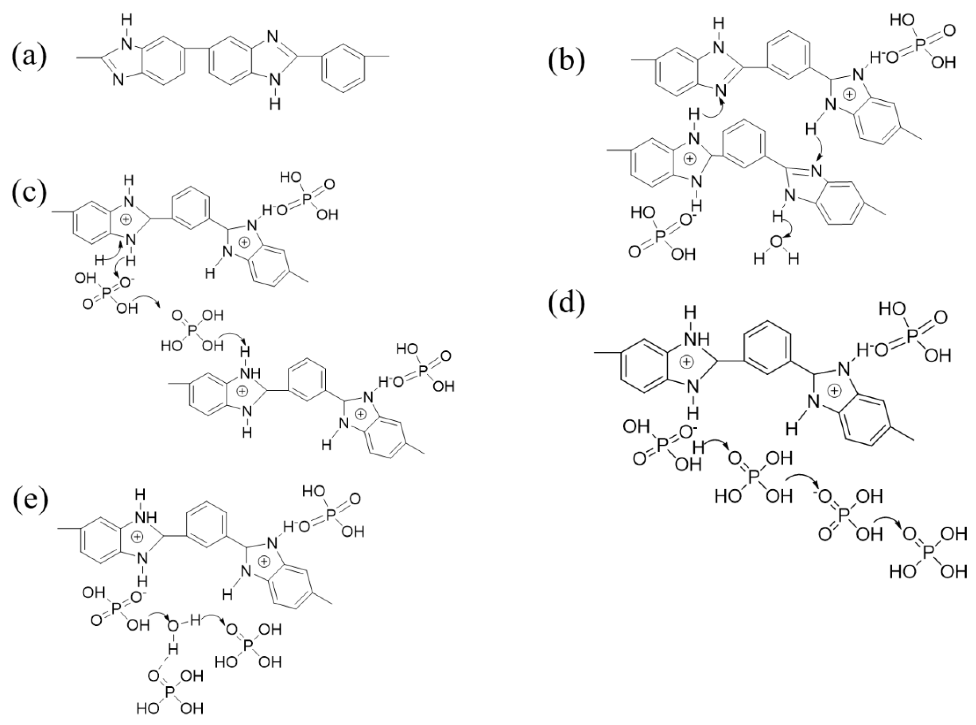
2. Mechanism of Acid Doping for PBI Membranes
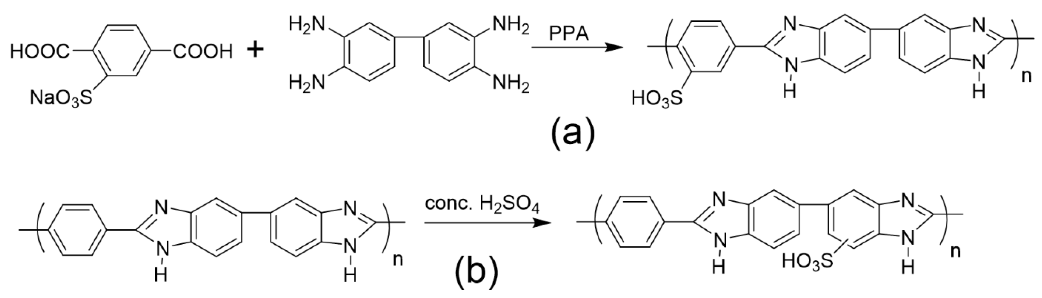
3. Phosphoric Acid-Doped PBI Membranes for Use as PEMs in Fuel Cells
4. Sulfuric Acid-Doped and Sulfonated PBI Membranes for Fuel Cells
5. Polymeric Acid-Doped PBI Membranes
6. Electrospun PBI Nanofiber Membranes for PEMs
7. Conclusions
Author Contributions
Funding
Institutional Review Board Statement
Informed Consent Statement
Data Availability Statement
Acknowledgments
Conflicts of Interest
References
- Borup, R.; Meyers, J.; Pivovar, B.; Kim, Y.S.; Mukundan, R.; Garland, N.; Myers, D.; Wilson, M.; Garzon, F.; Wood, D.; et al. Scientific aspects of polymer electrolyte fuel cell durability and degradation. Chem. Rev. 2007, 107, 3904–3951. [Google Scholar] [CrossRef] [PubMed]
- Zhan, Z.; Barnett, S.A. An octane-fueled solid oxide fuel cell. Science 2005, 308, 844–847. [Google Scholar] [CrossRef] [PubMed]
- Steele, B.C.H.; Heinzel, A. Materials for fuel cell technologies. In Materials for Sustainable Energy; Dusastre, V., Ed.; Nature Publishing Group: London, UK, 2011; pp. 224–231. [Google Scholar] [CrossRef]
- Wachsman, E.D.; Lee, K.T. Lowering the temperature of solid oxide fuel cells. Science 2011, 334, 935–939. [Google Scholar] [CrossRef] [PubMed]
- Laberty-Robert, C.; Vallé, K.; Pereira, F.; Sanchez, C. Design and properties of functional hybrid organic–inorganic membranes for fuel cells. Chem. Soc. Rev. 2011, 40, 961–1005. [Google Scholar] [CrossRef] [PubMed]
- Bose, S.; Kuila, T.; Bguyen, T.X.H.; Kim, N.H.; Lau, K.T.; Lee, J.H. Polymer membranes for high temperature proton exchange membrane fuel cell: Recent advances and challenges. Prog. Polym. Sci. 2011, 36, 813–843. [Google Scholar] [CrossRef]
- Zhang, H.; Shen, P.K. Recent Development of polymer electrolyte membranes for fuel cells. Chem. Rev. 2012, 112, 2780–2832. [Google Scholar] [CrossRef]
- Asensio, J.A.; Sánchez, E.M.; Gómez-Romero, P. Proton-conducting membranes based on benzimidazole polymers for high-temperature PEM fuel cells. A chemical quest. Chem. Soc. Rev. 2010, 39, 3210–3239. [Google Scholar] [CrossRef]
- Li, Q.; He, R.; Jensen, J.O.; Bjerrum, N.J. Approaches and recent development of polymer electrolyte membranes for fuel cells operating above 100 °C. Chem. Mater. 2003, 15, 4896–4915. [Google Scholar] [CrossRef]
- Li, Q.; He, R.; Jensen, J.O.; Bjerrum, N.J. PBI-based polymer membranes for high temperature fuel cells—Preparation, characterization and fuel cell demonstration. Fuel Cells 2004, 4, 147–159. [Google Scholar] [CrossRef]
- Pan, C.; He, R.; Li, Q.; Jensen, J.O.; Bjerrum, N.J.; Hjulmand, H.A.; Jensen, A.B. Integration of high temperature PEM fuel cells with a methanol reformer. J. Power Sources 2005, 145, 392–398. [Google Scholar] [CrossRef]
- Fujigaya, T.; Nakashima, N. Fuel cell electrocatalyst using polybenzimidazole-modified carbon nanotubes as support materials. Adv. Mater. 2013, 25, 1666–1681. [Google Scholar] [CrossRef] [PubMed]
- Neburchilov, V.; Martin, J.; Wang, H.; Zhang, J. A review of polymer electrolyte membranes for direct methanol fuel cells. J. Power Sources 2007, 169, 221–238. [Google Scholar] [CrossRef]
- Xiao, L.; Zhang, H.; Jana, T.; Scanlon, E.; Chen, R.; Choe, E.-W.; Ramanathan, L.S.; Yu, S.; Benicewicz, B.C. Synthesis and characterization of pyridine-based polybenzimidazoles for high temperature polymer electrolyte membrane fuel cell applications. Fuel Cells 2005, 5, 287–295. [Google Scholar] [CrossRef]
- Wang, J.T.; Savinell, R.F.; Wainright, J.; Litt, M.; Yu, H. A H2O2 fuel cell using acid doped polybenzimidazole as polymer electrolyte. Electrochim. Acta 1996, 41, 193–197. [Google Scholar] [CrossRef]
- Li, Q.; Jensen, J.O.; Savinell, R.F.; Bjerrum, N.J. High temperature proton exchange membranes based on polybenzimidazoles for fuel cells. Prog. Polym. Sci. 2009, 34, 449–477. [Google Scholar] [CrossRef]
- Weber, J.; Kreuer, K.-D.; Maier, J.; Thomas, A. Proton Conductivity enhancement by nanostructural control of poly(benzimidazole)-phosphoric acid adducts. Adv. Mater. 2008, 20, 2595–2598. [Google Scholar] [CrossRef]
- Wang, J.T.; Lin, W.F.; Weber, M.; Wasmus, S.; Savinell, R.F. Trimethoxymethane as an alternative fuel for a direct oxidation PBI polymer electrolyte fuel cell. Electrochim. Acta 1998, 43, 3821–3828. [Google Scholar] [CrossRef]
- Lobato, J.; Cañizares, P.; Rodrigo, M.A.; Linares, J.J. PBI-based polymer electrolyte membranes fuel cells: Temperature effects on cell performance and catalyst stability. Electrochim. Acta 2007, 52, 3910–3920. [Google Scholar] [CrossRef]
- Xing, B.; Savadogo, O. Hydrogen/oxygen polymer electrolyte membrane fuel cells (PEMFCs) based on alkaline-doped polybenzimidazole (PBI). Electrochem. Commun. 2000, 2, 697–702. [Google Scholar] [CrossRef]
- Savadogo, O.; Varela, F.J.R. Low temperature direct propane polymer electrolyte membranes fuel cell (DPFC). J. New Mater. Electrochem. Syst. 2001, 4, 93–98. [Google Scholar]
- Kawahara, M.; Morita, J.; Rikukawa, M.; Sanui, K.; Ogata, N. Synthesis and proton conductivity of thermally stable polymer electrolyte: Poly(benzimidazole) complexes with strong acid molecules. Electrochim. Acta 2000, 45, 1395–1398. [Google Scholar] [CrossRef]
- Bouchet, R.; Miller, S.; Duclot, M.; Souquet, J.L. A thermodynamic approach to proton conductivity in acid-doped polybenzimidazole. Solid State Ion. 2001, 145, 69–78. [Google Scholar] [CrossRef]
- Ma, Y.L.; Wainright, J.S.; Litt, M.H.; Savinell, R.F. Conductivity of PBI membranes for high-temperature polymer electrolyte fuel cells. J. Electrochem. Soc. 2004, 151, A8–A16. [Google Scholar] [CrossRef]
- Baozhong, X.; Savadogo, O. The effect of acid doping on the conductivity of polybenzimidazole (PBI). J. New Mater. Electrochem. Syst. 1999, 2, 95–101. [Google Scholar]
- Melchior, J.P.; Majer, G.; Kreuer, K.D. Why do proton conducting polybenzimidazole phosphoric acid membranes perform well in high-temperature PEM fuel cells? Phys. Chem. Chem. Phys. 2017, 19, 601–612. [Google Scholar] [CrossRef] [PubMed]
- Herranz, D.; Escudero-Cid, R.; Montiel, M.; Palacio, C.; Fatás, E.; Ocón, P. Poly (vinyl alcohol) and poly (benzimidazole) blend membranes for high performance alkaline direct ethanol fuel cells. Renew. Energy 2018, 127, 883–895. [Google Scholar] [CrossRef]
- Glipa, X.; Bonnet, B.; Mula, B.; Jones, D.J.; Rozière, J. Investigation of the conduction properties of phosphoric and sulfuric acid doped polybenzimidazole. J. Mater. Chem. 1999, 9, 3045–3049. [Google Scholar] [CrossRef]
- Wainright, J.S.; Wang, J.T.; Weng, D.; Savinell, R.F.; Litt, M. Acid-doped polybenzimidazoles: A new polymer electrolyte. J. Electrochem. Soc. 1995, 142, L121–L123. [Google Scholar] [CrossRef]
- Xu, H.; Chen, K.; Guo, X.; Fang, J.; Yin, J. Synthesis of novel sulfonated polybenzimidazole and preparation of cross-linked membranes for fuel cell application. Polymer 2007, 48, 5556–5564. [Google Scholar] [CrossRef]
- Lee, H.S.; Roy, A.; Lane, O.; McGrath, J.E. Synthesis and characterization of poly(arylene ether sulfone)-b-polybenzimidazole copolymers for high temperature low humidity proton exchange membrane fuel cells. Polymer 2008, 49, 5387–5396. [Google Scholar] [CrossRef]
- Li, H.Y.; Liu, Y.L. Polyelectrolyte composite membranes of polybenzimidazole and crosslinked polybenzimidazole-polybenzoxazine electrospun nanofibers for proton exchange membrane fuel cells. J. Mater. Chem. A 2013, 1, 1171–1178. [Google Scholar] [CrossRef]
- Mader, J.A.; Benicewicz, B.C. Sulfonated polybenzimidazoles for high temperature PEM fuel cells. Macromolecules 2010, 43, 6706–6715. [Google Scholar] [CrossRef]
- Berber, M.R.; Fujigaya, T.; Sasaki, K.; Nakashima, N. Remarkably durable high temperature polymer electrolyte fuel cell based on poly(vinylphosphonic acid)-doped polybenzimidazole. Sci. Rep. 2013, 3, 1764. [Google Scholar] [CrossRef]
- Qingfeng, L.; Hjuler, H.A.; Hasiotis, C.; Kallitsis, J.K.; Kontoyannis, C.G.; Bjerrum, N.J. A quasi-direct methanol fuel cell system based on blend polymer membrane electrolytes. Electrochem. Solid State Lett. 2002, 5, A125–A128. [Google Scholar] [CrossRef]
- Xiao, L.; Zhang, H.; Scanlon, E.; Ramanathan, L.S.; Choe, E.W.; Rogers, D.; Apple, T.; Benicewicz, B.C. High-temperature polybenzimidazole fuel cell membranes via a sol−gel process. Chem. Mater. 2005, 17, 5328–5333. [Google Scholar] [CrossRef]
- He, R.; Li, Q.; Xiao, G.; Bjerrum, N.J. Proton conductivity of phosphoric acid doped polybenzimidazole and its composites with inorganic proton conductors. J. Membr. Sci. 2003, 226, 169–184. [Google Scholar] [CrossRef]
- Staiti, P.; Minutoli, M.; Hocevar, S. Membranes based on phosphotungstic acid and polybenzimidazole for fuel cell application. J. Power Sources 2000, 90, 231–235. [Google Scholar] [CrossRef]
- Staiti, P.; Minutoli, M. Influence of composition and acid treatment on proton conduction of composite polybenzimidazole membranes. J. Power Sources 2001, 94, 9–13. [Google Scholar] [CrossRef]
- Wang, J.T.W.; Hsu, S.L.C. Enhanced high-temperature polymer electrolyte membrane for fuel cells based on polybenzimidazole and ionic liquids. Electrochim. Acta 2011, 56, 2842–2846. [Google Scholar] [CrossRef]
- Shabanikia, A.; Javanbakht, M.; Amoli, H.S.; Hooshyari, K.; Enhessari, M. Polybenzimidazole/strontium cerate nanocomposites with enhanced proton conductivity for proton exchange membrane fuel cells operating at high temperature. Electrochim. Acta 2015, 154, 370–378. [Google Scholar] [CrossRef]
- Lin, J.; Yan, X.; He, G.; Chen, W.; Zhen, D.; Li, T.; Ma, L.; Wu, X. Thermoplastic interpenetrating polymer networks based on polybenzimidazole and poly (1, 2-dimethy-3-allylimidazolium) for anion exchange membranes. Electrochim. Acta 2017, 257, 9–19. [Google Scholar] [CrossRef]
- Krishnan, N.N.; Lee, H.J.; Kim, H.J.; Kim, J.Y.; Hwang, I.; Jang, J.H.; Cho, E.A.; Kim, S.K.; Henkensmeier, D.; Hong, S.A.; et al. Sulfonated poly(ether sulfone)/sulfonated polybenzimidazole blend membrane for fuel cell applications. Eur. Polym. J. 2010, 46, 1633–1641. [Google Scholar] [CrossRef]
- Hou, H.; Sun, G.; He, R.; Sun, B.; Jin, W.; Liu, H.; Xin, Q. Alkali doped polybenzimidazole membrane for alkaline direct methanol fuel cell. Int. J. Hydrogen Energy 2008, 33, 7172–7176. [Google Scholar] [CrossRef]
- Wannek, C.; Konradi, I.; Mergel, J.; Lehnert, W. Redistribution of phosphoric acid in membrane electrode assemblies for high-temperature polymer electrolyte fuel cells. Int. J. Hydrogen Energy 2009, 34, 9479–9485. [Google Scholar] [CrossRef]
- Sun, P.; Li, Z.; Dong, F.; Wang, S.; Yin, X.; Wang, Y. High temperature proton exchange membranes based on cerium sulfophenyl phosphate doped polybenzimidazole by end-group protection and hot-pressing method. Int. J. Hydrogen Energy 2017, 42, 486–495. [Google Scholar] [CrossRef]
- Üregen, N.; Pehlivanoğlu, K.; Özdemir, Y.; Devrim, Y. Development of polybenzimidazole/graphene oxide composite membranes for high temperature PEM fuel cells. Int. J. Hydrogen Energy 2017, 42, 2636–2647. [Google Scholar] [CrossRef]
- Özdemir, Y.; Üregen, N.; Devrim, Y. Polybenzimidazole based nanocomposite membranes with enhanced proton conductivity for high temperature PEM fuel cells. Int. J. Hydrogen Energy 2017, 42, 2648–2657. [Google Scholar] [CrossRef]
- Asensio, J.A.; Borrós, S.; Gómez-Romero, P. Polymer electrolyte fuel cells dased on phosphoric acid-impregnated poly(2,5-benzimidazole) membranes. J. Electrochem. Soc. 2004, 151, A304–A310. [Google Scholar] [CrossRef]
- Huang, C.W.; Hsu, C.H.; Kuo, P.L.; Hsieh, C.T.; Teng, H. Mesoporous carbon spheres grafted with carbon nanofibers for high-rate electric double layer capacitors. Carbon 2011, 49, 895–903. [Google Scholar] [CrossRef]
- Sun, P.; Li, Z.; Wang, S.; Yin, X. Performance enhancement of polybenzimidazole based high temperature proton exchange membranes with multifunctional crosslinker and highly sulfonated polyaniline. J. Membr. Sci. 2018, 549, 660–669. [Google Scholar] [CrossRef]
- Krishnan, N.N.; Lee, S.; Ghorpade, R.V.; Konovalova, A.; Jang, J.H.; Kim, H.J.; Han, J.; Henkensmeier, D.; Han, H. Polybenzimidazole (PBI-OO) based composite membranes using sulfophenylated TiO2 as both filler and crosslinker, and their use in the HT-PEM fuel cell. J. Membr. Sci. 2018, 560, 11–20. [Google Scholar] [CrossRef]
- Li, S.; Zhu, X.; Liu, D.; Sun, F. A highly durable long side-chain polybenzimidazole anion exchange membrane for AEMFC. J. Membr. Sci. 2018, 546, 15–21. [Google Scholar] [CrossRef]
- Krishnan, N.N.; Joseph, D.; Duong, N.M.H.; Konovalova, A.; Jang, J.H.; Kim, H.J.; Nam, S.W.; Henkensmeier, D. Phosphoric acid doped crosslinked polybenzimidazole (PBI-OO) blend membranes for high temperature polymer electrolyte fuel cells. J. Membr. Sci. 2017, 544, 416–424. [Google Scholar] [CrossRef]
- Fang, J.; Lin, X.; Cai, D.; He, N.; Zhao, J. Preparation and characterization of novel pyridine-containing polybenzimidazole membrane for high temperature proton exchange membrane fuel cells. J. Membr. Sci. 2016, 502, 29–36. [Google Scholar] [CrossRef]
- Chen, J.C.; Chen, P.Y.; Liu, Y.C.; Chen, K.H. Polybenzimidazoles containing bulky substituents and ether linkages for high-temperature proton exchange membrane fuel cell applications. J. Membr. Sci. 2016, 513, 270–279. [Google Scholar] [CrossRef]
- Ngamsantivongsa, P.; Lin, H.L.; Leon Yu, T. Properties and fuel cell applications of polybenzimidazole and ethyl phosphoric acid grafted polybenzimidazole blend membranes. J. Membr. Sci. 2015, 491, 10–21. [Google Scholar] [CrossRef]
- Yang, J.; Xu, Y.; Zhou, L.; Che, Q.; He, R.; Li, Q. Hydroxyl pyridine containing polybenzimidazole membranes for proton exchange membrane fuel cells. J. Membr. Sci. 2013, 446, 318–325. [Google Scholar] [CrossRef]
- Chang, Y.N.; Lai, J.Y.; Liu, Y.L. Polybenzimidazole (PBI)-functionalized silica nanoparticles modified PBI nanocomposite membranes for proton exchange membranes fuel cells. J. Membr. Sci. 2012, 403–404, 1–7. [Google Scholar] [CrossRef]
- Shen, C.H.; Hsu, S.L.C.; Bulycheva, E.; Belomoina, N. Polybenzimidazole/1H-imidazole-4-sulfonic acid hybrid membranes for high-temperature proton exchange membranes fuel cells. J. Membr. Sci. 2012, 399–400, 11–15. [Google Scholar] [CrossRef]
- Plackett, D.; Siu, A.; Li, Q.; Pan, C.; Jensen, J.O.; Nielsen, S.F.; Permyakova, A.A.; Bjerrum, N.J. High-temperature proton exchange membranes based on polybenzimidazole and clay composites for fuel cells. J. Membr. Sci. 2011, 383, 78–87. [Google Scholar] [CrossRef]
- Leykin, A.Y.; Askadskii, A.A.; Vasilev, V.G.; Rusanov, A.L. Dependence of some properties of phosphoric acid doped PBIs on their chemical structure. J. Membr. Sci. 2010, 347, 69–74. [Google Scholar] [CrossRef]
- Hu, M.; Ni, J.; Zhang, B.; Neelakandan, S.; Wang, L. Crosslinked polybenzimidazoles containing branching structure as membrane materials with excellent cell performance and durability for fuel cell applications. J. Power Sources 2018, 389, 222–229. [Google Scholar] [CrossRef]
- Li, X.; Ma, H.; Shen, Y.; Hu, W.; Jiang, Z.; Liu, B.; Guiver, M.G. Dimensionally-stable phosphoric acid–doped polybenzimidazoles for high-temperature proton exchange membrane fuel cells. J. Power Sources 2016, 336, 391–400. [Google Scholar] [CrossRef]
- Mack, F.; Heissler, S.; Laukenmann, R.; Zeis, R. Phosphoric acid distribution and its impact on the performance of polybenzimidazole membranes. J. Power Sources 2014, 270, 627–633. [Google Scholar] [CrossRef]
- Li, X.; Chen, X.; Benicewicz, B.C. Synthesis and properties of phenylindane-containing polybenzimidazole (PBI) for high-temperature polymer electrolyte membrane fuel cells (PEMFCs). J. Power Sources 2013, 243, 796–804. [Google Scholar] [CrossRef]
- Van de Ven, E.; Chairuna, A.; Merle, G.; Benito, S.P.; Borneman, Z.; Nijmeijer, K. Ionic liquid doped polybenzimidazole membranes for high temperature Proton Exchange Membrane fuel cell applications. J. Power Sources 2013, 222, 202–209. [Google Scholar] [CrossRef]
- Henkensmeier, D.; Kim, H.J.; Lee, H.J.; Lee, D.H.; Oh, I.H.; Hong, S.A.; Nam, S.W.; Lim, T.H. Polybenzimidazolium-based solid electrolytes. Macromol. Mater. Eng. 2011, 296, 899–908. [Google Scholar] [CrossRef]
- Hou, H.; Sun, G.; He, R.; Wu, Z.; Sun, B. Alkali doped polybenzimidazole membrane for high performance alkaline direct ethanol fuel cell. J. Power Sources 2008, 182, 95–99. [Google Scholar] [CrossRef]
- An, L.; Zeng, L.; Zhao, T.S. An alkaline direct ethylene glycol fuel cell with an alkali-doped polybenzimidazole membrane. Int. J. Hydrogen Energy 2013, 38, 10602–10606. [Google Scholar] [CrossRef]
- Hou, H.; Wang, S.; Jiang, Q.; Jin, W.; Jiang, L.; Sun, G. Durability study of KOH doped polybenzimidazole membrane for air-breathing alkaline direct ethanol fuel cell. J. Power Sources 2011, 196, 3244–3248. [Google Scholar] [CrossRef]
- Peron, J.; Ruiz, E.; Jones, D.J.; Rozière, J. Solution sulfonation of a novel polybenzimidazole: A proton electrolyte for fuel cell application. J. Membr. Sci. 2008, 314, 247–256. [Google Scholar] [CrossRef]
- Ariza, M.J.; Jones, D.J.; Rozière, J. Role of post-sulfonation thermal treatment in conducting and thermal properties of sulfuric acid sulfonated poly(benzimidazole) membranes. Desalination 2002, 147, 183–189. [Google Scholar] [CrossRef]
- Staiti, P.; Lufrano, F.; Aricò, A.S.; Passalacqua, E.; Antonucci, V. Sulfonated polybenzimidazole membranes—preparation and physico-chemical characterization. J. Membr. Sci. 2001, 188, 71–78. [Google Scholar] [CrossRef]
- Glipa, X.; Haddad, M.E.; Jones, D.J.; Rozière, J. Synthesis and characterisation of sulfonated polybenzimidazole: A highly conducting proton exchange polymer. Solid State Ion. 1997, 97, 323–331. [Google Scholar] [CrossRef]
- Asensio, J.A.; Borrós, S.; Gómez-Romero, P. Sulfonated poly(2,5-benzimidazole) (SABPBI) impregnated with phosphoric acid as proton conducting membranes for polymer electrolyte fuel cells. Electrochim. Acta 2004, 49, 4461–4466. [Google Scholar] [CrossRef][Green Version]
- Wannek, C.; Lehnert, W.; Mergel, J. Membrane electrode assemblies for high-temperature polymer electrolyte fuel cells based on poly(2,5-benzimidazole) membranes with phosphoric acid impregnation via the catalyst layers. J. Power Sources 2009, 192, 258–266. [Google Scholar] [CrossRef]
- Pu, H.; Liu, L.; Chang, Z.; Yuan, J. Organic/inorganic composite membranes based on polybenzimidazole and nano-SiO2. Electrochim. Acta 2009, 54, 7536–7541. [Google Scholar] [CrossRef]
- Chee, W.K.; Lim, H.N.; Huang, N.M.; Harrison, I. Nanocomposites of graphene/polymers: A review. RSC Adv. 2015, 5, 68014–68051. [Google Scholar] [CrossRef]
- Qian, Y.; Lan, Y.; Xu, J.; Ye, F.; Dai, S. Fabrication of polyimide-based nanocomposites containing functionalized graphene oxide nanosheets by in-situ polymerization and their properties. Appl. Surf. Sci. 2014, 314, 991–999. [Google Scholar] [CrossRef]
- Gao, W.; Alemany, L.B.; Ci, L.; Ajayan, P.M. New insights into the structure and reduction of graphite oxide. Nat. Chem. 2009, 1, 403–409. [Google Scholar] [CrossRef]
- Xu, C.; Cao, Y.; Kumer, R.; Wu, X.; Wang, X.; Scott, K. A polybenzimidazole/sulfonated graphite oxide composite membrane for high temperature polymer electrolyte membrane fuel cells. J. Mater. Chem. 2011, 21, 11359–11364. [Google Scholar] [CrossRef]
- He, R.; Li, Q.; Bach, A.; Jensen, J.O.; Bjerrum, N.J. Physicochemical properties of phosphoric acid doped polybenzimidazole membranes for fuel cells. J. Membr. Sci. 2006, 277, 38–45. [Google Scholar] [CrossRef]
- Bae, J.M.; Honma, I.; Murata, M.; Yamamoto, T.; Rikukawa, M.; Ogata, N. Properties of selected sulfonated polymers as proton-conducting electrolytes for polymer electrolyte fuel cells. Solid State Ion. 2002, 147, 189–194. [Google Scholar] [CrossRef]
- Asensio, J.A.; Borrós, S.; Gómez-Romero, P. Proton-conducting polymers based on benzimidazoles and sulfonated benzimidazoles. J. Polym. Sci. Pol. Chem. 2002, 40, 3703–3710. [Google Scholar] [CrossRef]
- Wu, X.; Scott, K. A H2SO4 Loaded polybenzimidazole (PBI) membrane for high temperature PEMFC. Fuel Cells 2012, 12, 583–588. [Google Scholar] [CrossRef]
- Vogel, H.; Marvel, C.S. Polybenzimidazoles, new thermally stable polymers. J. Polym. Sci. 1961, 50, 511–539. [Google Scholar] [CrossRef]
- Makoto, K.; Osamu, O.; Ichiro, Y. Phosphorus nuclear magnetic resonance in polyphosphates and determination of their hydrolysis rate constants. Bull. Chem. Soc. Jpn. 1970, 43, 3705–3710. [Google Scholar] [CrossRef]
- Schechter, A.; Savinell, R.F. Imidazole and 1-methyl imidazole in phosphoric acid doped polybenzimidazole, electrolyte for fuel cells. Solid State Ion. 2002, 147, 181–187. [Google Scholar] [CrossRef]
- Reneker, D.H.; Chun, I. Nanometre diameter fibres of polymer, produced by electrospinning. Nanotechnology 1996, 7, 216–223. [Google Scholar] [CrossRef]
- Reneker, R.H.; Yarin, A.L.; Zussman, E.; Xu, H. Electrospinning of nanofibers from polymer solutions and melts. Adv. Appl. Mech. 2007, 41, 43–195. [Google Scholar]
- Reneker, D.H.; Yarin, A.L. Electrospinning jets and polymer nanofibers. Polymer 2008, 49, 2387–2425. [Google Scholar] [CrossRef]
- Dzenis, Y. Spinning continuous fibers for nanotechnology. Science 2004, 304, 1917–1919. [Google Scholar] [CrossRef] [PubMed]
- Li, D.; Xia, Y.N. Electrospinning of nanofibers: Reinventing the wheel? Adv. Mater. 2004, 16, 1151–1170. [Google Scholar] [CrossRef]
- Lauricella, M.; Succi, S.; Zussman, E.; Pisignano, D.; Yarin, A.L. Models of polymer solutions in electrified jets and solution blowing. Rev. Modern Phys. 2020, 92, 035004. [Google Scholar] [CrossRef]
- Wu, X.F.; Zhou, Z.; Zholobko, O.; Jenniges, J.J.; Baatz, B.; Ahmadi, M.; Chen, J. Critical condition of electrohydrodynamic jetting from a polymer-solution droplet on a conductive wire. J. Appl. Phys. 2020, 127, 054303. [Google Scholar] [CrossRef]
- Zhou, Z.; Wu, X.F.; Gao, X.; Jiang, L.; Zhao, Y.; Fong, H. Parameter dependence of conic angle of nanofibers during electrospinning. J. Phys. D Appl. Phys. 2011, 44, 435401. [Google Scholar] [CrossRef]
- Wu, X.F.; Zhou, Z.; Rahman, A.; Bedarkar, A. Mechanical property of continuous nanofibers: Characerization and mechaics. In Nanostructures: Properties, Production Methods and Applications; Dong, Y., Ed.; Nova Scientific Publisher: New York, NY, USA, 2013; pp. 247–285. [Google Scholar]
- Wu, X.F.; Zholobko, O.; Zhou, Z.; Rahman, A. Electrospun nanofibers for interfacial toughening and damage self-healing of polymer composites and surface coatings. In Electrospun Polymers and Composites; Dong, Y., Baji, A., Ramakrishna, S., Eds.; Elsevier: New York, NY, USA, 2020; pp. 315–359. [Google Scholar]
- Zholobko, O.; Wu, X.F.; Zhou, Z.; Aulich, T.; Thakare, J.; Hurley, J. A comparative experimental study of the hygroscopic and mechanical behaviors of electrospun nanofiber membranes and solution-cast films of polybenzimidazole. J. Appl. Polym. Sci. 2020, 137, 49639. [Google Scholar] [CrossRef]
- Kim, J.S.; Reneker, D.H. Polybenzimidazole nanofiber produced by electrospinning. Polym. Eng. Sci. 1999, 39, 849–854. [Google Scholar] [CrossRef]
- Weber, J. Nanostructured poly(benzimidazole): From mesoporous network to nanofibers. ChemSusChem 2010, 3, 181–187. [Google Scholar] [CrossRef]
- Jahangiri, S.; Aravi, I.; Şanli, L.I.; Menceloğlu, Y.Z.; Özden-Yenigün, E. Fabrication and optimization of proton conductive polybenzimidazole electrospun nanofiber membranes. Polym. Adv. Technol. 2018, 29, 594–602. [Google Scholar] [CrossRef]
- Ibaraki, T.; Tanaka, M.; Kawakami, H. Fast surface proton conduction on acid-doped polymer nanofibers in polymer electrolyte composite membranes. Electrochim. Acta 2019, 296, 1042–1048. [Google Scholar] [CrossRef]
- Muthuraja, P.; Prakash, S.; Shanmugam, V.M.; Manisankar, P. Stable nanofibrous poly(aryl sulfone ether benzimidazole) membrane with high conductivity for high temperature PEM fuel cells. Solid State Ion. 2018, 317, 201–209. [Google Scholar] [CrossRef]
- Kallem, P.; Yanar, N.; Choi, H. Nanofiber-based proton exchange membranes: Development of aligned electrospun nanofibers for polymer electrolyte fuel cell applications. ACS Sustain. Chem. Eng. 2019, 7, 1808–1825. [Google Scholar] [CrossRef]
- Penchev, H.; Ublekov, F.; Budurova, D.; Sinigersky, V. Novel electrospun polybenzimidazole fibers and yarns from ethanol/potassium hydroxide solution. Mater. Lett. 2017, 187, 89–93. [Google Scholar] [CrossRef]



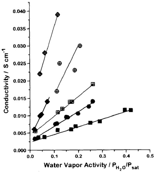
), 150 °C (●,
), 190 °C (♦,
). Reprint with permission [29]; 1995, The Electrochemical Society.
), 150 °C (●,
), 190 °C (♦,
). Reprint with permission [29]; 1995, The Electrochemical Society.
















| Ref. No. | Polymer | Acid/Alkaline Agent | Mechanical Strength (MPa) | Doping Level (wt%) or (mol) | Proton Conductivity (σ, S·cm−1) | Power Density W·cm−2 | Ref. |
|---|---|---|---|---|---|---|---|
| [30] | sulfonated poly [2,2′-(p-oxydiphenylene)-5,5′-bibenzimidazole] (SOPBI) | H2SO4 | 81 | 154 wt% | 1.5 × 10−1 (120 °C) | NA | Polymer2007, 48, 5556–5564 |
| [31] | poly(arylene ether sulfone)-b-polybenzimidazole copolymers | H3PO4 | 31 | 12 mol | 4.7 × 10−2 (200 °C) | NA | Polymer2008, 49, 5387–5396 |
| [32] | PBz-modified PBI electrospun nanofiber composite | H3PO4 | 115 | 13.2 mol | 1.7 × 10−1 (160 °C) | 0.67 | J. Mater. Chem. A2013, 1, 1171–1178 |
| [33] | sulfonated PBI | H2SO4 | 1.6 | ~50 mol | 3.26 × 10−1 (160 °C) | 0.152 | Macromolecules2010, 43, 6706–6715 |
| [34] | poly(vinylphosphonic acid)-doped PBI (PVPA-PBI) | PVPA | 91.1 | 6.1 wt% | 1.72 × 10−2 (120 °C) | 0.252 | Sci. Rep.2013, 3, 1764–1777 |
| [20] | alkaline-doped PBI | KOH | NA | NA | 9.5 × 10−2 (25 °C) | 0.372 | Electrochem. Commun.2000, 2, 697–702 |
| [24] | phosphoric acid-doped PBI | H3PO4 | NA | 630 wt% | 5.9 × 10−2 (150 °C) | NA | J. Electrochem. Soc.2004, 151, A8–A16 |
| [35] | PBI/sulfonated polysulfone (SPSF) polymer blends | polysulfone/chlorosulfonic acid | NA | 5.2 mol | NA | 0.54 | Electrochem. Solid-State Lett.2002, 5, A125–A128 |
| [36] | phosphoric acid-doped PBI | polyphosphoric acid (PPA) | 3.5 | 32 mol | 1.0 × 10−2 (RT), 0.26 (200 °C) | 0.9 | Chem. Mater.2005, 17, 5328–5333 |
| [37] | PA-doped PBI composite membranes with ZrP | ZrP/H3PO4 | NA | 5.6 mol | 9.0 × 10−2 (200 °C) | NA | J. Membr. Sci.2003, 226, 169–184 |
| [38] | PWA/SiO2-doped PBI | phosphotungstic acid (PWA)/SiO2 | NA | 60 wt% | 3.0 × 10−3 (100 °C) | NA | J. Power Sources2000, 90, 231–235 |
| [39] | SiWA-SiO2-PBI | SiWA-SiO2 | NA | 60 wt% | 2.23 × 10−3 (160 °C) | NA | J. Power Sources2001, 94, 9–13 |
| [40] | fluorine-containing PBI/HMI-TF composite membranes | 1-hexyl-3-methylimidazolium trifluoromethanesulfonate (HMI-TF) | 60.3 | NA | 1.6 × 10−2 (250 °C) | NA | Electrochim. Acta2011, 56, 2842–2846 |
| [41] | SrCeO3-PBI composite membrane | strontium cerate (SrCeO3) | NA | 190 wt% | 1.05 × 10−1 (180 °C) | 0.44 | Electrochim. Acta2015, 154, 370–378 |
| [42] | PBI/DAIm TIPN membrane | poly(1, 2-dimethy-3-allylimidazolium) (PDAIm)/KOH | 48.2 | 2.89 wt% | 9.67 × 10−2 (80 °C) | NA | Electrochim. Acta2017, 257, 9–19 |
| [43] | sulfonated PES/PBI blend membrane | sulfonated poly(ether sulfone) (PES)/PPA | NA | 98 wt% | 1.21 × 10−1 (70 °C) | 0.11 | Eur. Polym. J.2010, 46, 1633–1641 |
| [44] | PBI/KOH membrane | KOH | 7.7 | NA | 1.84 × 10−2 (RT) | 0.031 | Int. J. Hydrogen Energy2008, 33, 7172–7176 |
| [45] | PA/PBI membrane | H3PO4 | NA | 45 wt% | NA | 0.12 | Int. J. Hydrogen Energy2009, 34, 9479–9485 |
| [46] | CeSPP-doped PBI composite membrane | Cerium sulfophenyl phosphate (CeSPP) | 18 | NA | 1.1 × 10−1 (100% RH), 2.4 × 10−3 (0% RH), (180 °C) | NA | Int. J. Hydrogen Energy2017, 42, 486–495 |
| [47] | PA-doped PBI/graphene oxide composite membrane | H3PO4 | NA | 13 wt% | 1.704 × 10−1 (165 °C) | 0.38 | Int. J. Hydrogen Energy2017, 42, 2636–2647 |
| [48] | PA-doped PBI/ZrP composite membrane | H3PO4 | 119 | 15.4 wt% | 2.0 × 10−1 (180 °C) | NA | Int. J. Hydrogen Energy2017, 42, 2648–2657 |
| [49] | PA-doped PBI membrane | H3PO4 | NA | 75 wt% | 6.2 × 10−2 (150 °C, 30% RH) | 0.185 | J. Electrochem. Soc.2004, 151, A304–A310 |
| [50] | crosslinked PBI-TEBP membrane | H3PO4 | 77.11 | 7.9 mol | 5.1 × 10−2 (150 °C) | NA | J. Mater. Chem.2011, 21, 2187–2193 |
| [51] | PBI-TGIC/SPANi composite membrane | triglycidylisocyanurate (TGIC)/sulfonated polyaniline (SPANi)/H2SO4 | 21 | NA | 1.3 × 10−1 (180 °C, 100% RH); 1.8 × 10−2 (180 °C, 0% RH) | NA | J. Membr. Sci.2018, 549, 660–669 |
| [52] | crosslinked metal oxide containing PBI composite membrane | sulfonated TiO2 particles/H3PO4 | 8 | 392 wt% | 9.8 × 10−2 (160 °C) | 0.356 | J. Membr. Sci.2018, 560, 11–20 |
| [53] | side-chain PBI membrane | PPA | 34.3 | 12.15 wt% | 1.1 × 10−1 (80 °C) | NA | J. Membr. Sci.2018, 546, 15–21 |
| [54] | PA-doped crossedlinked PBI-OO membranes | H3PO4 | 11 | 266 wt% | 2.6 × 10−1 (160 °C) | 0.452 | J. Membr. Sci.2017, 544, 416–424 |
| [55] | pyridine-containing PBI membrane | H3PO4 | 12.3 | 250 wt% | 8.3 × 10−2 (160°C), 1.1 × 10−2 (25 °C) | 0.460 | J. Membr. Sci.2016, 502, 29–36 |
| [56] | PBI containing bulky substituents | teteraamines and 4,4′-oxybis (benzoicacid) | 8.7 | 245 wt% | 8.8 × 10−2 (160 °C) | 0.636 | J. Membr. Sci.2016, 513, 270–279 |
| [57] | PA-doped PBI/PBI-EPA blend membrane | H3PO4 | 59.4 | 260 wt% | 6.8 × 10−2 (160 °C) | 0.527 | J. Membr. Sci.2015, 491, 10–21 |
| [58] | hydroxyl pyridine containing PBI membrane | H3PO4 | 4.6 | 72 wt% | 1.02 × 10−1 (180 °C) | 0.57 | J. Membr. Sci.2013, 446, 318–325 |
| [59] | PBI-functionalized SiO2 composite membrane | H3PO4 | 98 | 385 wt% | 5.0 × 10−2 (160 °C) | 0.65 | J. Membr. Sci.2012, 403–404, 1–7 |
| [60] | PBI/1H-imidazole-4-sulfonic acid hybrid membrane | 1H-imidazole-4-sulfonic acid | 33.8 | 8 mol | 7.0 × 10−2 (160 °C) | NA | J. Membr. Sci.2012, 399–400, 11–15 |
| [61] | PBI-clay composite membrane | H3PO4 | 105 | 12 mol | 1.2 × 10−1 (150 °C) | 0.23 | J. Membr. Sci.2011, 383, 78–87 |
| [62] | PA-doped PBI membrane | PPA | 176 | 17.2 mol | 5.3 × 10−2 (180 °C) | NA | J. Membr. Sci.2010, 347, 69–74 |
| [63] | crosslinked PBI containing branching structure | H3PO4 | 78.4 (undoped), 16.9 (doped) | 197.1 wt% | 3.8 × 10−2 (180 °C) | 0.404 | J. Power Sources2018, 389, 222–229 |
| [64] | dimensionallystable PA-doped PBI membrane | PPMA | 111.5 (undoped); 10 (doped) | 24.6 mol | 2.17 × 10−1 (200 °C) | 0.32 | J. Power Sources2016, 336, 391–400 |
| [65] | Poly (2, 5-benzimidazole) (AB-PBI) membrane | H3PO4 | NA | 6 mol | NA | 0.305 | J. Power Sources2014, 270, 627–633 |
| [66] | phenylindane-containing PBI membrane | PPA | 76 (undoped), 10 (doped) | 10 mol | 6.1 × 10−2 (180 °C) | 0.36 | J. Power Sources2013, 243, 796–804 |
| [67] | ionic liquid doped PBI membrane | 1-H-3-methylimidazolium bis (trifluoromethanesulfonyl) imide | NA | NA | 1.86 × 10−3 (190 °C) | 0.039 | J. Power Sources2013, 222, 202–209 |
| [27] | PVA-PBI polymer blend membrane | KOH | 40 | 35 wt% | 1.03 × 10−1 (90 °C) | 0.076 | Renewable Energy2018, 127, 883–895 |
| [68] | polybenzimidazolium halides | isophthalic acid/a,a’-dibromo-p-xylene | NA | NA | 5.8 × 10−2 (60 °C), 2.9 × 10−2 (26 °C) | 0.015 | Macromol. Mater. Eng.2011, 296, 899–908 |
| [29] | phosphoric acid-doped PBI | H3PO4 | NA | 5 mol | 2.0 × 10−2 (150 °C) | 0.25 | J. Electrochem. Soc.1995, 142, 121–123 |
| [69] | alkali doped PBI membrane | KOH | NA | NA | 1.84 × 10−2 (25 °C) | 0.061 | J. Power Sources.2008, 182, 95–99 |
| [70] | alkali doped PBI membrane | KOH | NA | NA | 4.92 × 10−2 (90 °C) | 0.112 | Int. J. Hydrogen Energy. 2013, 38, 10602–10606 |
| [71] | alkali doped PBI membrane | KOH | NA | NA | 2.3 × 10−2 (60 °C) | 0.016 | J. Power Sources.2011, 196, 3244–3248 |
| [72] | sulfonated PBI membranes | H2SO4 | 1198 | NA | 8 × 10−2 (120 °C) | NA | J. Membr. Sci. 2008, 314, 247–256 |
| [73] | sulfonated thermal treatment PBI membranes | H2SO4 | NA | NA | 2.4 × 10−5 (20 °C) | NA | Desalination2002, 147, 183–189 |
| [74] | sulfonated PBI membranes | H2SO4 | NA | NA | 7.5 × 10−5 (160 °C) | NA | J. Membr. Sci. 2001, 188, 71–78 |
| [75] | sulfuric and phosphoric acid doped PBI | H2SO4/H3PO4 | NA | NA | 4 × 10−3 | NA | J. Mater. Chem.1999, 9, 3045–3049 |
| [76] | sulfonated ABPBI with phosphoric acid | H2SO4 | NA | 49 wt% | 3.5 × 10−2 (185 °C) | NA | Electrochim. Acta.2004, 49, 4461–4466 |
| [28] | sulfonated PBI membranes compared to Nafion | H2SO4 | NA | 75 wt% | 5.4 × 10−2 | NA | Solid State Ionics1997, 97, 323–331 |
Publisher’s Note: MDPI stays neutral with regard to jurisdictional claims in published maps and institutional affiliations. |
© 2020 by the authors. Licensee MDPI, Basel, Switzerland. This article is an open access article distributed under the terms and conditions of the Creative Commons Attribution (CC BY) license (http://creativecommons.org/licenses/by/4.0/).
Share and Cite
Zhou, Z.; Zholobko, O.; Wu, X.-F.; Aulich, T.; Thakare, J.; Hurley, J. Polybenzimidazole-Based Polymer Electrolyte Membranes for High-Temperature Fuel Cells: Current Status and Prospects. Energies 2021, 14, 135. https://doi.org/10.3390/en14010135
Zhou Z, Zholobko O, Wu X-F, Aulich T, Thakare J, Hurley J. Polybenzimidazole-Based Polymer Electrolyte Membranes for High-Temperature Fuel Cells: Current Status and Prospects. Energies. 2021; 14(1):135. https://doi.org/10.3390/en14010135
Chicago/Turabian StyleZhou, Zhengping, Oksana Zholobko, Xiang-Fa Wu, Ted Aulich, Jivan Thakare, and John Hurley. 2021. "Polybenzimidazole-Based Polymer Electrolyte Membranes for High-Temperature Fuel Cells: Current Status and Prospects" Energies 14, no. 1: 135. https://doi.org/10.3390/en14010135
APA StyleZhou, Z., Zholobko, O., Wu, X.-F., Aulich, T., Thakare, J., & Hurley, J. (2021). Polybenzimidazole-Based Polymer Electrolyte Membranes for High-Temperature Fuel Cells: Current Status and Prospects. Energies, 14(1), 135. https://doi.org/10.3390/en14010135

