A Novel Feature Set for Low-Voltage Consumers, Based on the Temporal Dependence of Consumption and Peak Demands
Abstract
1. Introduction
2. Materials and Methods
2.1. Consumption Profiles
- –
- A first preprocessing step involving possible missing data was performed by the distribution network operator before providing the dataset for this research;
- –
- Only meters that had measurements for the full year 2013 were included, given the purpose of this work;
- –
- Households equipped with a PV installation were excluded from the analysis, as it is known that the presence of a PV installation can induce behavioral changes to increase PV self-consumption [24]. Furthermore, the metering data for households with PV installations merely included information on the net consumption and injection, not the gross consumption which is necessary for the proposed methodology;
- –
- Following the Eurostat classification [25], meters indicating an annual consumption lower than 1000 kWh or higher than 15,000 kWh were excluded, as these were assumed to not be representative for typical household behavior, or could include small and medium-sized enterprises (SMEs), meaning commercial meters, on the low-voltage distribution grid.
- –
- SME profile: consistent load profile with a 9–18 h behavior on weekdays and absent on weekends, as shown on Figure 1a;
- –
- Electric heating: consumption late in the evening and at night, superimposed upon a regular consumption profile. Two substructures are observed:
- –
- Ripple control heating: These profiles exhibit the same moment during weekdays when the heating is turned on, and a different behavior is observed for weekdays and weekends, as shown on Figure 1b;
- –
- Continuous heating: Unlike the ripple control heating, the moment of switching on the heating is stochastic and no difference in heating behavior between weekdays and weekends can be observed, as shown on Figure 1c;
- –
- Air conditioning: profiles with a significant electric load during summer months, superimposed upon a regular consumption profile. This heatmap is not shown for brevity.
- –
- Regular residential consumer: the remaining load profiles not belonging to one of the above categories. There are typically (but not necessarily) characterized by a morning and evening peak, with demands concentrated during the evening as shown on Figure 1;
2.2. Load Duration Curves
2.3. Definition of Peak Demands
2.4. Feature Construction
2.4.1. Temporal Dependence of Consumption
2.4.2. Temporal Dependence of Peak Demands
2.5. Transformation & Analyses on the Feature Set
2.5.1. Clustering Algorithm
2.5.2. Distribution Analysis
3. Results
3.1. Clustering Result
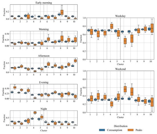
3.2. Stochastic Nature of Peak Demands
4. Conclusions
Author Contributions
Funding
Acknowledgments
Conflicts of Interest
Abbreviations
| LDC | Load duration curve |
| OLS | Ordinary least-squares |
| PV | Photovoltaic |
| SLP | Synthetic load profile |
| SME | Small and medium-sized enterprises |
References
- VREG. Tariefmethodologie Voor Distributie Elektriciteit en Aardgas Gedurende de Reguleringsperiode 2021–2024. Available online: https://www.vreg.be/sites/default/files/Tariefmethodologie/2021-2024/BESL-2020-31/tariefmethodologie_reguleringsperiode_2021-2024.pdf (accessed on 10 November 2020).
- NVE. Forslag til Endring i Forskrift om Kontroll av Nettvirksomhet. Available online: http://publikasjoner.nve.no/hoeringsdokument/2018/hoeringsdokument2018_08.pdf (accessed on 10 November 2020).
- Thorvaldsen, K.E.; Bjarghov, S.; Farahmand, H. Representing Long-term Impact of Residential Building Energy Management using Stochastic Dynamic Programming. In Proceedings of the 2020 International Conference on Probabilistic Methods Applied to Power Systems (PMAPS), Liege, Belgium, 18–21 August 2020; pp. 1–7. [Google Scholar]
- Tureczek, A.M.; Nielsen, P.S. Structured literature review of electricity consumption classification using smart meter data. Energies 2017, 10, 584. [Google Scholar] [CrossRef]
- Chicco, G. Overview and performance assessment of the clustering methods for electrical load pattern grouping. Energy 2012, 42, 68–80. [Google Scholar] [CrossRef]
- Chicco, G.; Napoli, R.; Postolache, P.; Scutariu, M.; Toader, C. Customer characterization options for improving the tariff offer. IEEE Trans. Power Syst. 2003, 18, 381–387. [Google Scholar] [CrossRef]
- Ozawa, A.; Furusato, R.; Yoshida, Y. Determining the relationship between a household’s lifestyle and its electricity consumption in Japan by analyzing measured electric load profiles. Energy Build. 2016, 119, 200–210. [Google Scholar] [CrossRef]
- Rhodes, J.D.; Cole, W.J.; Upshaw, C.R.; Edgar, T.F.; Webber, M.E. Clustering analysis of residential electricity demand profiles. Appl. Energy 2014, 135, 461–471. [Google Scholar] [CrossRef]
- Kwac, J.; Flora, J.; Rajagopal, R. Household energy consumption segmentation using hourly data. IEEE Trans. Smart Grid 2014, 5, 420–430. [Google Scholar] [CrossRef]
- McLoughlin, F.; Duffy, A.; Conlon, M. A clustering approach to domestic electricity load profile characterisation using smart metering data. Appl. Energy 2015, 141, 190–199. [Google Scholar] [CrossRef]
- Yildiz, B.; Bilbao, J.; Dore, J.; Sproul, A. Recent advances in the analysis of residential electricity consumption and applications of smart meter data. Appl. Energy 2017, 208, 402–427. [Google Scholar] [CrossRef]
- Bermingham, M.L.; Pong-Wong, R.; Spiliopoulou, A.; Hayward, C.; Rudan, I.; Campbell, H.; Wright, A.F.; Wilson, J.F.; Agakov, F.; Navarro, P.; et al. Application of high-dimensional feature selection: Evaluation for genomic prediction in man. Sci. Rep. 2015, 5, 10312. [Google Scholar] [CrossRef]
- Al-Otaibi, R.; Jin, N.; Wilcox, T.; Flach, P. Feature construction and calibration for clustering daily load curves from smart-meter data. IEEE Trans. Ind. Inform. 2016, 12, 645–654. [Google Scholar] [CrossRef]
- Verdú, S.V.; Garcia, M.O.; Senabre, C.; Marin, A.G.; Franco, F.J.G. Classification, filtering, and identification of electrical customer load patterns through the use of self-organizing maps. IEEE Trans. Power Syst. 2006, 21, 1672–1682. [Google Scholar] [CrossRef]
- Manera, M.; Marzullo, A. Modelling the load curve of aggregate electricity consumption using principal components. Environ. Model. Softw. 2005, 20, 1389–1400. [Google Scholar] [CrossRef]
- Jin, N.; Flach, P.; Wilcox, T.; Sellman, R.; Thumim, J.; Knobbe, A. Subgroup discovery in smart electricity meter data. IEEE Trans. Ind. Inform. 2014, 10, 1327–1336. [Google Scholar]
- Haben, S.; Singleton, C.; Grindrod, P. Analysis and Clustering of Residential Customers Energy Behavioral Demand Using Smart Meter Data. IEEE Trans. Smart Grid 2016, 7, 136–144. [Google Scholar] [CrossRef]
- Dent, I.; Aickelin, U.; Rodden, T.; Craig, T. Finding the creatures of habit; Clustering households based on their flexibility in using electricity. In Clustering Households Based on Their Flexibility in Using Electricity; 1 January 2012; Available online: https://papers.ssrn.com/sol3/papers.cfm?abstract_id=2828585 (accessed on 18 December 2020).
- Räsänen, T.; Kolehmainen, M. Feature-based clustering for electricity use time series data. In International Conference on Adaptive and Natural Computing Algorithms; Springer: Berlin/Heidelberg, Germany, 2009; pp. 401–412. [Google Scholar]
- Masters, G.M. Renewable and Efficient Electric Power Systems; John Wiley & Sons: Hoboken, NJ, USA, 2013. [Google Scholar]
- Soyster, A.; Eynon, R. The conceptual basis of the electric utility sub-model of project independence evaluation system. Appl. Math. Model. 1979, 3, 242–248. [Google Scholar] [CrossRef]
- Murphy, F.; Sen, S.; Soyster, A. Electric utility capacity expansion planning with uncertain load forecasts. IIE Trans. 1982, 14, 52–59. [Google Scholar] [CrossRef]
- Poulin, A.; Dostie, M.; Fournier, M.; Sansregret, S. Load duration curve: A tool for technico-economic analysis of energy solutions. Energy Build. 2008, 40, 29–35. [Google Scholar] [CrossRef]
- Motlagh, O.; Paevere, P.; Hong, T.S.; Grozev, G. Analysis of household electricity consumption behaviours: Impact of domestic electricity generation. Appl. Math. Comput. 2015, 270, 165–178. [Google Scholar] [CrossRef]
- Eurostat. Energy Statistics—Electricity Prices for Domestic and Industrial Consumers, Price Components. Available online: https://ec.europa.eu/eurostat/cache/metadata/en/nrg_pc_204_esms.htm (accessed on 10 November 2020).
- Claeys, R.; Delerue, T.; Desmet, J. Assessing the influence of the aggregation level of residential consumers through load duration curves. In Proceedings of the 2019 IEEE PES Innovative Smart Grid Technologies Europe (ISGT-Europe), Bucharest, Romania, 29 September–2 October 2019; pp. 1–5. [Google Scholar]
- Newville, M.; Stensitzki, T.; Allen, D.B.; Ingargiola, A. LMFIT: Non-Linear Least-Square Minimization and Curve-Fitting for Python. 2014. Available online: http://ascl.net/1606.014 (accessed on 18 December 2020).
- Ward, J.H., Jr. Hierarchical grouping to optimize an objective function. J. Am. Stat. Assoc. 1963, 58, 236–244. [Google Scholar] [CrossRef]
- Virtanen, P.; Gommers, R.; Oliphant, T.E. SciPy 1.0: Fundamental Algorithms for Scientific Computing in Python. Nat. Methods 2020, 17, 261–272. [Google Scholar] [CrossRef]
- Kang, J.; Lee, J.H. Electricity customer clustering following experts’ principle for demand response applications. Energies 2015, 8, 12242–12265. [Google Scholar] [CrossRef]
- Shannon, C.E. A mathematical theory of communication. Bell Syst. Tech. J. 1948, 27, 379–423. [Google Scholar] [CrossRef]
- Bolley, F. Separability and completeness for the Wasserstein distance. In Séminaire de Probabilités XLI; Springer: Berlin/Heidelberg, Germany, 2008; pp. 371–377. [Google Scholar]
- Ramdas, A.; Trillos, N.G.; Cuturi, M. On wasserstein two-sample testing and related families of nonparametric tests. Entropy 2017, 19, 47. [Google Scholar] [CrossRef]
















| Consumption Range | Regular | Ripple Control e-Heating | Continuous e-Heating | SME | Airco |
|---|---|---|---|---|---|
| 1–2 MWh | 143 | 3 | 1 | 0 | 0 |
| 2–3 MWh | 260 | 19 | 6 | 2 | 0 |
| 3–4 MWh | 254 | 25 | 4 | 2 | 0 |
| 4–5 MWh | 223 | 17 | 15 | 0 | 0 |
| 5–6 MWh | 126 | 14 | 13 | 5 | 0 |
| 6–7 MWh | 86 | 10 | 14 | 1 | 3 |
| >7 MWh | 114 | 19 | 18 | 10 | 15 |
| Total | 1.206 | 107 | 71 | 20 | 18 |
| Model | Median Value | Mean Value |
|---|---|---|
| 6-parameter model, Equation (1) | 0.987 | 0.977 |
| 5-parameter model, Equation (2) | 0.987 | 0.977 |
| 4-parameter model, Equation (3) | 0.968 | 0.937 |
| Definition | |
|---|---|
| Early morning | [ 06:00–08:30 ] |
| Morning | [ 08:30–12:00 ] |
| Afternoon | [ 12:00–18:00 ] |
| Evening | [ 18:00–22:30 ] |
| Night | [ 22:30–06:00 ] |
| # of Profiles | 1 | 2 | 3 | 4 | 5 | 6 | 7 | 8 | 9 | 10 | |
|---|---|---|---|---|---|---|---|---|---|---|---|
| SME | 20 | 0% | 5% | 0% | 0% | 0% | 0% | 0% | 10% | 10% | 75% |
| Ripple control heating | 107 | 2% | 6% | 6% | 18% | 36% | 9% | 20% | 2% | 2% | 0% |
| Continuous heating | 77 | 14% | 8% | 15% | 11% | 31% | 1% | 10% | 4% | 4% | 0% |
| Air conditioning | 18 | 17% | 17% | 6% | 0% | 6% | 0% | 33% | 6% | 17% | 0% |
| Regular consumer | 1206 | 17% | 25% | 5% | 0.1% | 1% | 7% | 17% | 8% | 16% | 5% |
Publisher’s Note: MDPI stays neutral with regard to jurisdictional claims in published maps and institutional affiliations. |
© 2020 by the authors. Licensee MDPI, Basel, Switzerland. This article is an open access article distributed under the terms and conditions of the Creative Commons Attribution (CC BY) license (http://creativecommons.org/licenses/by/4.0/).
Share and Cite
Claeys, R.; Azaioud, H.; Cleenwerck, R.; Knockaert, J.; Desmet, J. A Novel Feature Set for Low-Voltage Consumers, Based on the Temporal Dependence of Consumption and Peak Demands. Energies 2021, 14, 139. https://doi.org/10.3390/en14010139
Claeys R, Azaioud H, Cleenwerck R, Knockaert J, Desmet J. A Novel Feature Set for Low-Voltage Consumers, Based on the Temporal Dependence of Consumption and Peak Demands. Energies. 2021; 14(1):139. https://doi.org/10.3390/en14010139
Chicago/Turabian StyleClaeys, Robbert, Hakim Azaioud, Rémy Cleenwerck, Jos Knockaert, and Jan Desmet. 2021. "A Novel Feature Set for Low-Voltage Consumers, Based on the Temporal Dependence of Consumption and Peak Demands" Energies 14, no. 1: 139. https://doi.org/10.3390/en14010139
APA StyleClaeys, R., Azaioud, H., Cleenwerck, R., Knockaert, J., & Desmet, J. (2021). A Novel Feature Set for Low-Voltage Consumers, Based on the Temporal Dependence of Consumption and Peak Demands. Energies, 14(1), 139. https://doi.org/10.3390/en14010139

