Entropy, Entransy and Exergy Analysis of a Dual-Loop Organic Rankine Cycle (DORC) Using Mixture Working Fluids for Engine Waste Heat Recovery
Abstract
1. Introduction
2. Modeling
2.1. System Description of DORC
2.2. Working Fluids Selection
2.3. Mathematical Modeling
- The whole system operates in a steady state.
- Ignoring the pressure drop loss and thermal radiation in heat exchangers.
- The components and thermodynamic properties of mixtures do not vary with pressure or temperature.
- The isentropic efficiency of expanders and pumps are 0.8.
- The ambient temperature is set to be 10 °C.
2.3.1. Energy Modeling
2.3.2. Exergy Modeling
2.3.3. Entropy Modeling
2.3.4. Entransy Modeling
3. Results and Discussion
3.1. Effects of Evaporation Temperature and Condensation Temperature of HT Loop
3.2. Effect of Evaporation Temperature and Condensation Temperature of LT Loop
3.3. Effect of Superheating Degree and PPTD of HT Loop
3.4. Effects of Working Fluid Mixture Component
4. Conclusions
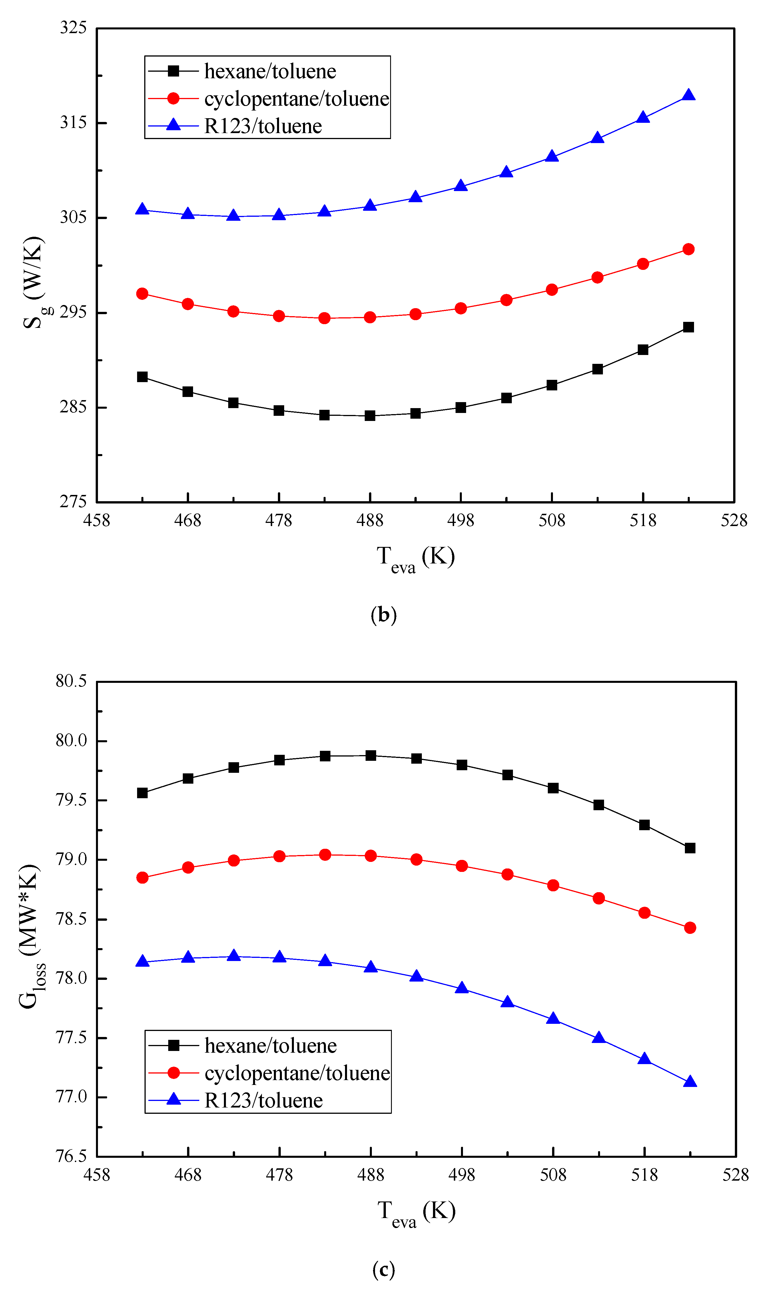
- Hexane/toluene, cyclopentane/toluene, and R123/toluene are selected as high-temperature working fluids, and detailed analysis are proceeded under constant heat source condition. When the evaporator inlet temperature and condenser outlet temperature change, although the optimal evaporation temperature and maximum output power is different, the variation characteristics of entropy generation rate, entransy loss rate, entransy efficiency, and exergy loss are similar. Hence, the effects of operation temperature on these objects do not matter whatever the working fluid.
- The system net power output and entransy loss rate both increase first and then decrease as the HT evaporation temperature increases, while decrease as the HT or LT condensation temperature increases. The entropy generation rate and entransy efficiency show opposite variation.
- The curve characteristic of entransy loss rate is same as that of system power output, while the entropy generation rate yields a reverse trend to the entransy efficiency. The proposed method of the entropy and entransy analysis could be used for system optimization. Whereas the exergy analysis could be only utilized under fixed stream conditions.
- The entransy loss rate decreases with the increase of both superheating degree and PPTD. The entropy generation rate increases as superheating degree increases while PPTD has no effect on it. The entransy loss rate for hexane/toluene keeps dropping with the rising mass fraction of toluene, but that for cyclopentane/toluene and R123/toluene it decreases first and then increases. R123/toluene owns the lowest entransy loss rate and the highest entransy loss rate is obtained by hexane/toluene under same mass fraction. The entropy generation for three mixtures show a reverse trend with entransy loss rate.
Author Contributions
Funding
Conflicts of Interest
Nomenclature
| specific heat capacity, J/kg·K | |
| specific exergy, J/kg | |
| exergy loss, W | |
| entransy loss rate, W·K | |
| specific enthalpy, J/kg | |
| mass flow rate, kg/s | |
| heat quantity, J | |
| entropy generation rate, W/K | |
| entropy flow rate, W/K | |
| entropy change rate, W/K | |
| temperature, K | |
| power, W | |
| Efficiency | |
| Hi | heat exchanger with number i, i = 1,2,3,4 |
| HT | high temperature |
| LT | low temperature |
| Pi | pump with number i, i = 1,2 |
| Ti | expander with number i, i = 1,2 |
| subscripts | |
| b | parameters in LT cycle |
| con | condensation |
| dis | dissipation |
| eva | evaporation |
| glide | temperature slip |
| g, c | heat, cold source |
| op | optimal |
| p | pump |
| r | working fluid |
| sub | Supercooling |
| sup | Superheating |
| sys | System |
| t | expander |
| 1-17 | state point of T-s graph |
| 2s,6s | Corresponding isentropic point |
References
- Dai, Y.P.; Wang, J.F.; Gao, L. Parametric optimization and comparative study of organic Rankine cycle (ORC) for low grade waste heat recovery. Energy Convers. Manag. 2009, 50, 576–582. [Google Scholar] [CrossRef]
- Bombarda, P.; Invernizzi, C.M.; Pietra, C. Heat recovery from Diesel engines: A thermodynamic comparison between Kalina and ORC cycles. Appl. Therm. Eng. 2010, 30, 212–219. [Google Scholar] [CrossRef]
- Feng, Y.Q.; Li, B.X.; Yang, J.F.; Shi, Y. Comparison between regenerative organic Rankine cycle (RORC) and basic organic Rankine cycle (BORC) based on thermoeconomic multi-objective optimization considering exergy efficiency and levelized energy cost (LEC). Energy Convers. Manag. 2015, 96, 58–71. [Google Scholar] [CrossRef]
- Mago, P.J.; Chamra, L.M.; Srinivasan, K.; Somayaji, S. An examination of regenerative organic Rankine cycles using dry fluids. Appl. Therm. Eng. 2008, 28, 998–1007. [Google Scholar] [CrossRef]
- Pei, G.; Li, J.; Ji, J. Analysis of low temperature solar thermal electric generation using regenerative Organic Rankine Cycle. Appl. Therm. Eng. 2010, 30, 998–1004. [Google Scholar] [CrossRef]
- Roy, J.P.; Misra, A. Parametric optimization and performance analysis of a regenerative organic Rankine cycle using R-123 for waste heat recovery. Energy 2012, 39, 227–235. [Google Scholar] [CrossRef]
- Franco, A. Power production from a moderate temperature geothermal resource with regenerative organic Rankine cycles. Energy Sustain. Dev. 2011, 15, 411–419. [Google Scholar] [CrossRef]
- Li, M.Q.; Wang, J.F.; He, W.F.; Gao, L.; Wang, B.; Ma, S.L.; Dai, Y.P. Construction of preliminary test of a low-temperature regenerative organic Rankine cycle (ORC) using R123. Renew. Energy 2013, 57, 216–222. [Google Scholar] [CrossRef]
- Li, T.L.; Wang, Q.L.; Zhu, J.L.; Hu, K.; Fu, W.C. Thermodynamic optimization of organic Rankine cycle using two-stage evaporation. Renew. Energy 2015, 75, 654–664. [Google Scholar] [CrossRef]
- Sun, Y.R.; Lu, J.; Wang, J.Q.; Li, T.L.; Li, Y.J.; Hou, Y.S.; Zhu, J.L. Performance improvement of two-stage serial organic Rankine cycle (TSORC) integrated with absorption refrigeration (AR) for geothermal power generation. Geothermics 2017, 69, 110–118. [Google Scholar] [CrossRef]
- Yuan, Y.; Xu, G.; Quan, Y.; Wu, H.; Song, G.; Gong, W.; Luo, X. Performance analysis of a new deep super-cooling two-stage organic Rankine cycle. Energy Convers. Manag. 2017, 148, 305–316. [Google Scholar] [CrossRef]
- Xi, H.; Li, M.J.; Xu, C.; He, Y.L. Parametric optimization of regenerative organic Rankine cycle (ORC) for low grade waste heat recovery using genetic algorithm. Energy 2013, 58, 473–482. [Google Scholar] [CrossRef]
- Shu, G.Q.; Liu, L.N.; Tian, H.; Wei, H.Q.; Yu, G.P. Parametric and working fluid analysis of a dual-loop organic Rankine cycle (DORC) used in engine waste heat recovery. Appl. Energy 2014, 113, 1188–1198. [Google Scholar] [CrossRef]
- Choi, B.C.; Kim, Y.M. Thermodynamic analysis of a dual loop heat recovery system with trilateral cycle applied to exhaust gases of internal combustion engine for propulsion of the 6800 TEU container ship. Energy 2013, 58, 404–416. [Google Scholar] [CrossRef]
- Panesar, A.S.; Morgan, R.E.; Miché, N.D.; Heikal, M.R. A novel organic Rankine cycle system with improved thermal stability and low global warming fluids. Int. Conf. Prod. 2014, 13, 6002. [Google Scholar] [CrossRef]
- Boyaghchi, F.A.; Sohbatloo, A. Assessment and optimization of a novel solar driven natural gas liquefaction based on cascade ORC intergrated with linear Fresnel collectors. Energy Convers. Manag. 2018, 162, 77–89. [Google Scholar] [CrossRef]
- Sun, Q.X.; Wang, Y.D.; Cheng, Z.Y.; Wang, J.F.; Zhao, P.; Dai, Y.P. Thermodynamic and economic optimization of a dual-pressure organic Rankine cycle driven by low-temperature heat source. Renew. Energy 2020, 147, 2822–2832. [Google Scholar] [CrossRef]
- Oyewunmi, O.A.; Markides, C.N. Thermo-Economic and Heat Transfer Optimization of Working-Fluid Mixtures in a Low-Temperature Organic Rankine Cycle System. Energies 2016, 9, 448. [Google Scholar] [CrossRef]
- Wang, E.H.; Yu, Z.B.; Collings, P. Dynamic control strategy of a distillation system for a composition-adjustable organic Rankine cycle. Energy 2017, 141, 1038–1051. [Google Scholar] [CrossRef]
- Collings, P.; Yu, Z.B.; Wang, E.H. A dynamic organic Rankine cycle using a zeotropic mixture as the working fluid with composition tuning to match changing ambient conditions. Appl. Energy 2016, 171, 581–591. [Google Scholar] [CrossRef]
- Oyewunmi, O.A.; Kirmse, C.J.W.; Pantaleo, A.M.; Markides, C.N. Performance of working-fluid mixtures in ORC-CHP systems for different heat-demand segments and heat-recovery temperature levels. Energy Convers. Mang. 2017, 148, 1508–1524. [Google Scholar] [CrossRef]
- Oyewunmi, O.A.; Taleb, A.I.; Haslam, A.J.; Markides, C.N. On the use of SAFT-VR Mie for assessing large-glide fluorocarbon working-fluid mixtures in organic Rankine cycles. Appl. Energy 2016, 163, 263–282. [Google Scholar] [CrossRef]
- Lecompte, S.; Ameel, B.; Ziviani, D.; van den Broek, M.; De Paepe, M. Exergy analysis of zeotropic mixtures as working fluids in Organic Rankine Cycles. Energy Convers. Manag. 2015, 82, 664–677. [Google Scholar] [CrossRef]
- Feng, Y.Q.; Luo, Q.H.; Wang, Q.; Wang, S.; He, Z.X.; Zhang, W.; Wang, X.; An, Q.S. Entropy and Entransy Dissipation Analysis of a Basic Organic Rankine Cycles (ORCs) to Recover Low-Grade Waste Heat Using Mixture Working Fluids. Entropy 2018, 20, 818. [Google Scholar] [CrossRef]
- Zhang, T.; Zhu, T.; An, W.; Song, X.; Liu, L.; Liu, H. Unsteady analysis of a bottoming Organic Rankine Cycle for exhaust heat recovery from an Internal Combustion Engine using Monte Carlo simulation. Energy Convers Manag. 2016, 165, 878–892. [Google Scholar] [CrossRef]
- Baldi, F.; Larsen, U.; Garbrielii, C. Comparison of different procedures for the optimization of a combined Diesel engine and organic Rankine cycle system based on ship operational profile. Ocean Eng. 2015, 110, 85–93. [Google Scholar] [CrossRef]
- Neto, R.D.O.; Sotomonte, C.A.R.; Coronado, C.J.R.; Nascimento, M.A.R. Technical and economic analyses of waste heat energy recovery from internal combustion engines by the Organic Rankine Cycle. Energy Convers. Manag. 2016, 129, 168–179. [Google Scholar] [CrossRef]
- Song, J.; Gu, C.W. Parametric analysis of a dual loop Organic Rankine Cycle (ORC) system for engine waste heat recovery. Energy Convers. Manag. 2015, 105, 995–1005. [Google Scholar] [CrossRef]
- Shu, G.Q.; Gao, Y.Y.; Tian, H.; Wei, Q.G.; Liang, X.Y. Study of mixtures based on hydrocarbons used in ORC (Organic Rankine Cycle) for engine waste heat recovery. Energy 2014, 74, 428–438. [Google Scholar] [CrossRef]
- Lecompte, S.; Ameel, B.; Ziviani, D.; Broek, M.V.D.; Paepe, M.D. Exergy analysis of zeotropic mixtures as working fluids in Organic Rankine Cycles. Energy 2012, 44, 623–632. [Google Scholar] [CrossRef]
- Feng, Y.Q.; Hung, T.C.; Zhang, Y.N.; Li, B.X.; Yang, J.F.; Shi, Y. Performance comparison of low-grade ORCs (organic Rankine cycles) using R245fa, pentane and their mixtures based on the thermoeconomic multi-objective optimization and decision makings. Energy 2015, 93, 2018–2029. [Google Scholar] [CrossRef]
- Song, J.; Gu, C.W. Performance analysis of a dual-loop organic Rankine cycle (ORC) system with wet steam expansion for engine waste heat recovery. Appl. Energy 2015, 56, 280–289. [Google Scholar] [CrossRef]
- Lemmon, E.W.; Huber, M.L.; Mclinden, M.O. NIST Standard Reference Database 23: Reference fluid thermodynamic and transport properties-REFPROP, version 9.1, Standard Reference Data Program, National Institute of Standards and Technology. NIST NSRDS 2010, 22, 1–49. [Google Scholar]
- Zhao, K.H.; Luo, W.Y. Thermal; High Education Press: Beijing, China, 2002; pp. 1–222. (In Chinese) [Google Scholar]
- Guo, Z.Y.; Zhu, H.Y.; Liang, X.G. Entransy-A physical quantity describing heat transfer ability. Int. J. Heat Mass Transfer. 2007, 50, 2545–2556. [Google Scholar] [CrossRef]
- Cheng, X.T.; Liang, X.G. Entransy loss in thermodynamic processes and its application. Energy 2012, 41, 964–972. [Google Scholar] [CrossRef]
- Li, T.L.; Yuan, Z.H.; Zhu, J.L. Entransy dissipation/loss-based optimization of two-stage organic Rankine cycle (TSORC) with R245fa for geothermal power generation. Sci. China Technol. Sci. 2016, 59, 1524–1536. [Google Scholar] [CrossRef]
- Zhu, Y.D.; Hu, Z.; Zhou, Y.D.; Jiang, L.; Yu, L.J. Applicability of entropy, entransy and exergy analyses to the optimization of the Organic Rankine Cycle. Energy Convers. Manag. 2014, 88, 267–276. [Google Scholar] [CrossRef]














| Fluids | Molar Mass (g/mol) | Triple Point Temperature (K) | Standard Boiling Point (K) | Critical Temperature (K) | Critical Pressure (MPa) |
|---|---|---|---|---|---|
| hexane | 86.18 | 177.83 | 341.86 | 507.82 | 3.03 |
| toluene | 92.14 | 178 | 383.75 | 591.75 | 4.13 |
| cyclopentane | 70.13 | 179.72 | 322.4 | 511.69 | 4.51 |
| pentane | 72.15 | 143.47 | 309.21 | 469.7 | 3.37 |
| R123 | 152.93 | 166 | 300.97 | 456.83 | 3.66 |
| R245fa | 134.05 | 171.05 | 288.3 | 427.2 | 3.65 |
| Property | Power (kW) | Rotation Rate (r/min) | Torque (N·m) | Exhaust Temperature(K) | Exhaust Gas Mass Flow Rate (kg/s) |
|---|---|---|---|---|---|
| Value | 1000 | 1500 | 6350 | 623 | 1 |
| Parameter | Sign | Value |
|---|---|---|
| Environment temperature | T0 | 283.15 (K) |
| Cold stream temperature | Tc | 288.15 (K) |
| Superheating degree | ΔTsup, ΔTsup,b | 5 (K) |
| Supercooling degree | ΔTsub, ΔTsub,b | 0 (K) |
| Expander total efficiency | % | 80 |
| Pump total efficiency | % | 80 |
© 2020 by the authors. Licensee MDPI, Basel, Switzerland. This article is an open access article distributed under the terms and conditions of the Creative Commons Attribution (CC BY) license (http://creativecommons.org/licenses/by/4.0/).
Share and Cite
Wang, S.; Zhang, W.; Feng, Y.-Q.; Wang, X.; Wang, Q.; Liu, Y.-Z.; Wang, Y.; Yao, L. Entropy, Entransy and Exergy Analysis of a Dual-Loop Organic Rankine Cycle (DORC) Using Mixture Working Fluids for Engine Waste Heat Recovery. Energies 2020, 13, 1301. https://doi.org/10.3390/en13061301
Wang S, Zhang W, Feng Y-Q, Wang X, Wang Q, Liu Y-Z, Wang Y, Yao L. Entropy, Entransy and Exergy Analysis of a Dual-Loop Organic Rankine Cycle (DORC) Using Mixture Working Fluids for Engine Waste Heat Recovery. Energies. 2020; 13(6):1301. https://doi.org/10.3390/en13061301
Chicago/Turabian StyleWang, Shuang, Wei Zhang, Yong-Qiang Feng, Xin Wang, Qian Wang, Yu-Zhuang Liu, Yu Wang, and Lin Yao. 2020. "Entropy, Entransy and Exergy Analysis of a Dual-Loop Organic Rankine Cycle (DORC) Using Mixture Working Fluids for Engine Waste Heat Recovery" Energies 13, no. 6: 1301. https://doi.org/10.3390/en13061301
APA StyleWang, S., Zhang, W., Feng, Y.-Q., Wang, X., Wang, Q., Liu, Y.-Z., Wang, Y., & Yao, L. (2020). Entropy, Entransy and Exergy Analysis of a Dual-Loop Organic Rankine Cycle (DORC) Using Mixture Working Fluids for Engine Waste Heat Recovery. Energies, 13(6), 1301. https://doi.org/10.3390/en13061301

