Combined Control of DFIG-Based Wind Turbine and Battery Energy Storage System for Frequency Response in Microgrids
Abstract
1. Introduction
- Implement the droop control method on the grid side converter (GSC) of the DFIG to provide frequency support on a microgrid, so that wind turbine operation at the point of maximum power extraction is not impaired when there are disturbances.
- Insert a battery energy storage system (BESS) into the DC link of the back-to-back converter that provides the active power required for DFIG to participate in frequency regulation of a microgrid while at the same time controlling DC link voltage.
- Enhance the robustness of DFIG-equipped wind power systems so that they can participate in frequency regulation even in sub-synchronous operation and store energy in supersynchronous operation.
2. Dynamic Modeling of DFIG and Battery Energy Storage System
2.1. Doubly Fed Induction Generator
2.1.1. RSC Simplified Model
2.1.2. GSC Simplified Model
2.1.3. Droop Control
2.2. Battery Energy Storage System
BESS Control
2.3. Grid Synchronization and Connection
3. Overall Control Scheme for the DFIG and BESS
- The control operates at a time when the DFIG’s rotational speed is above the minimum rotational speed to produce power. If DFIG is connected to the grid, the control asks for the battery state of charge (), since the priority at this point is the battery. If , the control asks if DFIG is in supersynchronous operation (). If the answer is positive, the battery starts charging using the power that goes through the converter. If the operating mode is different from supersynchronous (), the battery discharges to maintain constant DC link voltage without absorbing grid power. If , the power generated by DFIG () is injected into the grid.
- If the DFIG is not connected in the network (the disturbance occurs), the priority is to control the frequency of the microgrid, for which there are two possible situations:(1) Frequency of the microgrid f is in equilibrium: at this point, the microgrid has already reached stability and its frequency is controlled. For this stage, DFIG has as a priority the use of the captured wind power to help feeding the loads that are attached to the microgrid. The total power used to feed the loads corresponds to the power of the DFIG-BESS system plus Synchronous Generator.(2) Frequency of the microgrid f is not in equilibrium: it means that the system is experiencing the disturbance. At this period, the system has a frequency drop due to the power unbalance, and therefore the DFIG must help to restore normal operation of the microgrid. The main objective in this step is to ensure the return of the frequency to its nominal value in the shortest time possible; therefore, the system needs power to perform this task. At first, the control requires the battery to have enough power to support frequency control. If SOC is appropriate (), the power injection from the DFIG to the microgrid at the time of frequency sinking is the sum of the power extracted by the MPPT plus a portion of the battery power plus the power released from the droop (). Only a portion of the battery power is used in order not to exceed the power of the converter.
4. Description of the System Studied
5. Simulation Results
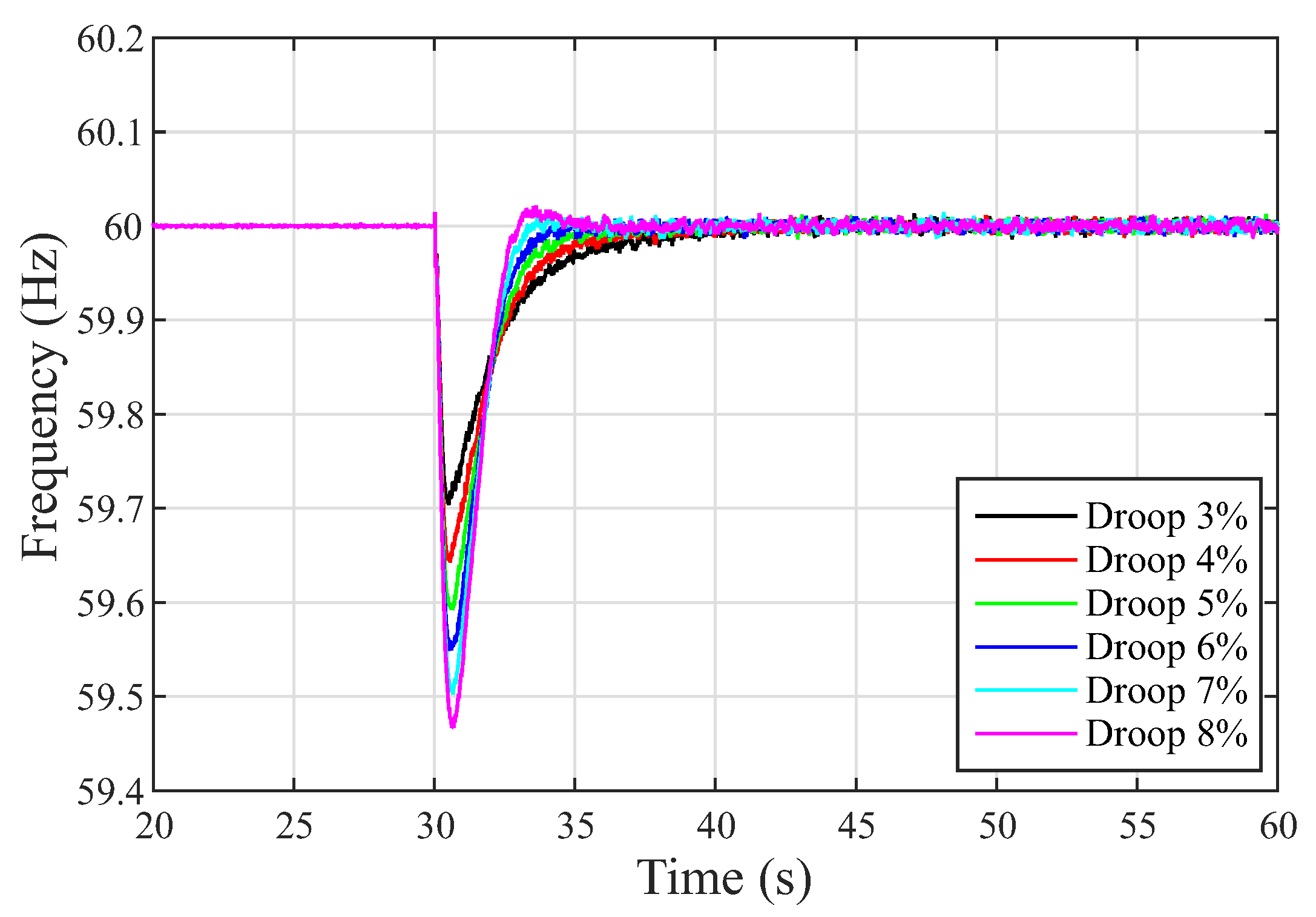
5.1. Best Value Selection Droop
5.2. System Frequency Using Droop Control and Delta P
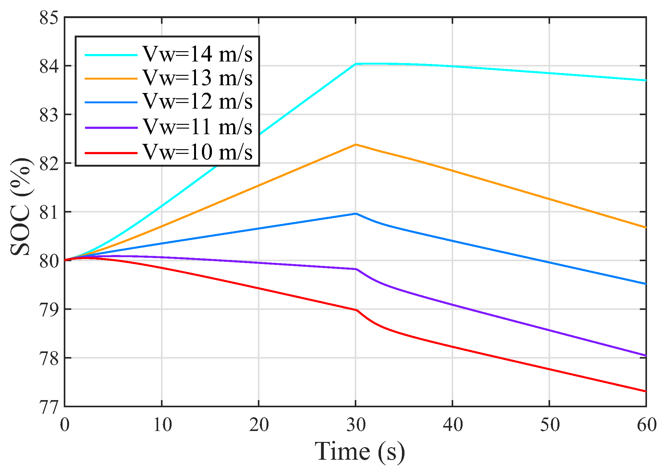
5.3. Battery Management
6. Conclusions
Author Contributions
Funding
Acknowledgments
Conflicts of Interest
References
- IRENA. Renewable Energy Policies in a Time of Transition; IRENA: Abu Dhabi, UAE, 2018; Volume 4, pp. 62–64. [Google Scholar]
- WWEA. Wind Power Capacity Worldwide Reaches 597 GW, 50.1 GW. 2018. Available online: https://wwindea.org/information-2/information/ (accessed on 16 February 2020).
- Mohseni, M.; Islam, S.M. Review of international grid codes for wind power integration: Diversity, technology and a case for global standard. Renew. Sustain. Energy Rev. 2012, 16, 3876–3890. [Google Scholar] [CrossRef]
- Wang, Z.; Wong, K.P.; Choi, S.; Gan, D.; Zong, Y. An overview of codes and control strategies for frequency regulation in wind power generation. In Smart Power Distribution Systems; Yang, Q., Yang, T., Li, W., Eds.; Academic Press: Cambridge, MA, USA, 2019; pp. 3–20. [Google Scholar] [CrossRef]
- Yang, D.; Kim, J.; Kang, Y.C.; Muljadi, E.; Zhang, N.; Hong, J.; Song, S.; Zheng, T. Temporary Frequency Support of a DFIG for High Wind Power Penetration. IEEE Trans. Power Syst. 2018, 33, 3428–3437. [Google Scholar] [CrossRef]
- Atwa, Y.M.; El-Saadany, E.F. Optimal Allocation of ESS in Distribution Systems With a High Penetration of Wind Energy. IEEE Trans. Power Syst. 2010, 25, 1815–1822. [Google Scholar] [CrossRef]
- Li, Y.; Zhang, Z.; Yang, Y.; Li, Y.; Chen, H.; Xu, Z. Coordinated control of wind farm and VSC–HVDC system using capacitor energy and kinetic energy to improve inertia level of power systems. Int. J. Electr. Power Energy Syst. 2014, 59, 79–92. [Google Scholar] [CrossRef]
- Gholamrezaie, V.; Dozein, M.G.; Monsef, H.; Wu, B. An Optimal Frequency Control Method Through a Dynamic Load Frequency Control (LFC) Model Incorporating Wind Farm. IEEE Syst. J. 2018, 12, 392–401. [Google Scholar] [CrossRef]
- Shahabi, M.; Haghifam, M.R.; Mohamadian, M.; Nabavi-Niaki, S.A. Microgrid Dynamic Performance Improvement Using a Doubly Fed Induction Wind Generator. IEEE Trans. Energy Convers. 2009, 24, 137–145. [Google Scholar] [CrossRef]
- Han, Y.; Ha, J. Droop Control Using Impedance of Grid-Integrated DFIG within Microgrid. IEEE Trans. Energy Convers. 2019, 34, 88–97. [Google Scholar] [CrossRef]
- Yang, J.; Chen, Y.; Hsu, Y. Small-signal stability analysis and particle swarm optimisation self-tuning frequency control for an islanding system with DFIG wind farm. IET Gener. Transm. Distrib. 2019, 13, 563–574. [Google Scholar] [CrossRef]
- Zhao, J.; Lyu, X.; Fu, Y.; Hu, X.; Li, F. Coordinated Microgrid Frequency Regulation Based on DFIG Variable Coefficient Using Virtual Inertia and Primary Frequency Control. IEEE Trans. Energy Convers. 2016, 31, 833–845. [Google Scholar] [CrossRef]
- Tan, Y.; Meegahapola, L.; Muttaqi, K.M. A Suboptimal Power-Point-Tracking-Based Primary Frequency Response Strategy for DFIGs in Hybrid Remote Area Power Supply Systems. IEEE Trans. Energy Convers. 2016, 31, 93–105. [Google Scholar] [CrossRef]
- Fakhari Moghaddam Arani, M.; Mohamed, Y.A.I. Dynamic Droop Control for Wind Turbines Participating in Primary Frequency Regulation in Microgrids. IEEE Trans. Smart Grid 2018, 9, 5742–5751. [Google Scholar] [CrossRef]
- Hwang, M.; Muljadi, E.; Park, J.; Sorensen, P.; Kang, Y.C. Dynamic Droop—Based Inertial Control of a Doubly-Fed Induction Generator. IEEE Trans. Sustain. Energy 2016, 7, 924–933. [Google Scholar] [CrossRef]
- Liu, J.; Wang, X. Analytical determination of stable droop loop gain for a DFIG participating in frequency regulation. J. Eng. 2017, 2017, 1447–1452. [Google Scholar] [CrossRef]
- Mesbahi, T.; Ouari, A.; Ghennam, T.; Berkouk, E.M.; Rizoug, N.; Mesbahi, N.; Meradji, M. A stand-alone wind power supply with a Li-ion battery energy storage system. Renew. Sustain. Energy Rev. 2014, 40, 204–213. [Google Scholar] [CrossRef]
- Mendis, N.; Muttaqi, K.M.; Perera, S. Active power management of a super capacitor-battery hybrid energy storage system for standalone operation of DFIG based wind turbines. In Proceedings of the 2012 IEEE Industry Applications Society Annual Meeting, Las Vegas, NV, USA, 7–11 October 2012; pp. 1–8. [Google Scholar] [CrossRef]
- Mendis, N.; Muttaqi, K.M.; Perera, S. Management of Low- and High-Frequency Power Components in Demand-Generation Fluctuations of a DFIG-Based Wind-Dominated RAPS System Using Hybrid Energy Storage. IEEE Trans. Ind. Appl. 2014, 50, 2258–2268. [Google Scholar] [CrossRef]
- Miao, L.; Wen, J.; Xie, H.; Yue, C.; Lee, W. Coordinated Control Strategy of Wind Turbine Generator and Energy Storage Equipment for Frequency Support. IEEE Trans. Ind. Appl. 2015, 51, 2732–2742. [Google Scholar] [CrossRef]
- Knap, V.; Sinha, R.; Swierczynski, M.; Stroe, D.; Chaudhary, S. Grid inertial response with Lithium-ion battery energy storage systems. In Proceedings of the 2014 IEEE 23rd International Symposium on Industrial Electronics (ISIE), Istambul, Turkey, 1–4 June 2014; pp. 1817–1822. [Google Scholar] [CrossRef]
- Peng, B.; Zhang, F.; Liang, J.; Ding, L.; Liang, Z.; Wu, Q. Coordinated control strategy for the short-term frequency response of a DFIG-ES system based on wind speed zone classification and fuzzy logic control. Int. J. Electr. Power Energy Syst. 2019, 107, 363–378. [Google Scholar] [CrossRef]
- Zou, Y.; Elbuluk, M.E.; Sozer, Y. Stability Analysis of Maximum Power Point Tracking (MPPT) Method in Wind Power Systems. IEEE Trans. Ind. Appl. 2013, 49, 1129–1136. [Google Scholar] [CrossRef]
- Naidu, N.K.S.; Singh, B. Grid-Interfaced DFIG-Based Variable Speed Wind Energy Conversion System With Power Smoothening. IEEE Trans. Sustain. Energy 2017, 8, 51–58. [Google Scholar] [CrossRef]
- Tiwari, S.K.; Singh, B.; Goel, P.K. Design and Control of Autonomous Wind–Solar System With DFIG Feeding 3-Phase 4-Wire Loads. IEEE Trans. Ind. Appl. 2018, 54, 1119–1127. [Google Scholar] [CrossRef]
- Abad, G.; Lopez, J.; Rodriguez, M.; Marroyo, L.; Iwanski, G. Doubly Fed Induction Machine: Modeling and Control for Wind Energy Generation; John Wiley & Sons: Hoboken, NJ, USA, 2011; Volume 85. [Google Scholar]
- Yazdani, A.; Iravani, R. Voltage-Sourced Converters in Power Systems; Wiley Online Library: Hoboken, NJ, USA, 2010; Volume 34. [Google Scholar]
- Xu, L.; Wang, Y. Dynamic modeling and control of DFIG-based wind turbines under unbalanced network conditions. IEEE Trans. Power Syst. 2007, 22, 314–323. [Google Scholar] [CrossRef]
- Eltigani, D.; Masri, S. Challenges of integrating renewable energy sources to smart grids: A review. Renew. Sustain. Energy Rev. 2015, 52, 770–780. [Google Scholar] [CrossRef]
- Wu, B.; Lang, Y.; Zargari, N.; Kouro, S. Power Conversion and Control of Wind Energy Systems; John Wiley & Sons: Hoboken, NJ, USA, 2011; Volume 76. [Google Scholar]
- Ramtharan, G.; Jenkins, N.; Ekanayake, J. Frequency support from doubly fed induction generator wind turbines. IET Renew. Power Gener. 2007, 1, 3–9. [Google Scholar] [CrossRef]
- Zhang, Z.S.; Sun, Y.Z.; Lin, J.; Li, G.J. Coordinated frequency regulation by doubly fed induction generator-based wind power plants. IET Renew. Power Gener. 2012, 6, 38–47. [Google Scholar] [CrossRef]
- Mishra, P.; Maheshwari, R. Design, Analysis, and Impacts of Sinusoidal LC Filter on Pulse Width Modulated Inverter Fed Induction Motor Drive. IEEE Trans. Ind. Electron. 2019, 7, 2678–2688. [Google Scholar] [CrossRef]

















© 2020 by the authors. Licensee MDPI, Basel, Switzerland. This article is an open access article distributed under the terms and conditions of the Creative Commons Attribution (CC BY) license (http://creativecommons.org/licenses/by/4.0/).
Share and Cite
Gomez, L.A.G.; Grilo, A.P.; Salles, M.B.C.; Sguarezi Filho, A.J. Combined Control of DFIG-Based Wind Turbine and Battery Energy Storage System for Frequency Response in Microgrids. Energies 2020, 13, 894. https://doi.org/10.3390/en13040894
Gomez LAG, Grilo AP, Salles MBC, Sguarezi Filho AJ. Combined Control of DFIG-Based Wind Turbine and Battery Energy Storage System for Frequency Response in Microgrids. Energies. 2020; 13(4):894. https://doi.org/10.3390/en13040894
Chicago/Turabian StyleGomez, Luis. A. G., Ahda P. Grilo, M. B. C. Salles, and A. J. Sguarezi Filho. 2020. "Combined Control of DFIG-Based Wind Turbine and Battery Energy Storage System for Frequency Response in Microgrids" Energies 13, no. 4: 894. https://doi.org/10.3390/en13040894
APA StyleGomez, L. A. G., Grilo, A. P., Salles, M. B. C., & Sguarezi Filho, A. J. (2020). Combined Control of DFIG-Based Wind Turbine and Battery Energy Storage System for Frequency Response in Microgrids. Energies, 13(4), 894. https://doi.org/10.3390/en13040894

