Modelling and Numerical Simulation for an Innovative Compound Solar Concentrator: Thermal Analysis by FEM Approach
Abstract
1. Introduction
2. Materials and Methods
2.1. Experimental Characterisation
2.2. Main Physical Phenomena Identification and Implementation
2.3. Simulation Campaign
- The efficiency of the solar cells following the examples provided by authors in [55,56,57];where is the solar cell surface temperature and is the solar irradiance, both time dependent, is the efficiency in standard condition (17.5%), is the temperature coefficient (0.0045 K−1), and is the solar radiation coefficient (0.12). It should be noticed that the solar irradiance term needs to be divided by the reference solar irradiance (1000 W/m2), since Equation (4) could result in the once standard irradiance conditions are given (25 °C, 1000 W/m2);
- The radiative total heat flux through the solar cell n.2, useful to understand the output power available for the photovoltaic system;
- The efficiency of the whole system. This efficiency considers the presence of the reflectors that convey the sun’s rays on the solar cells, increasing the solar radiation concentration. The value is calculated by the equation derived by experimental data
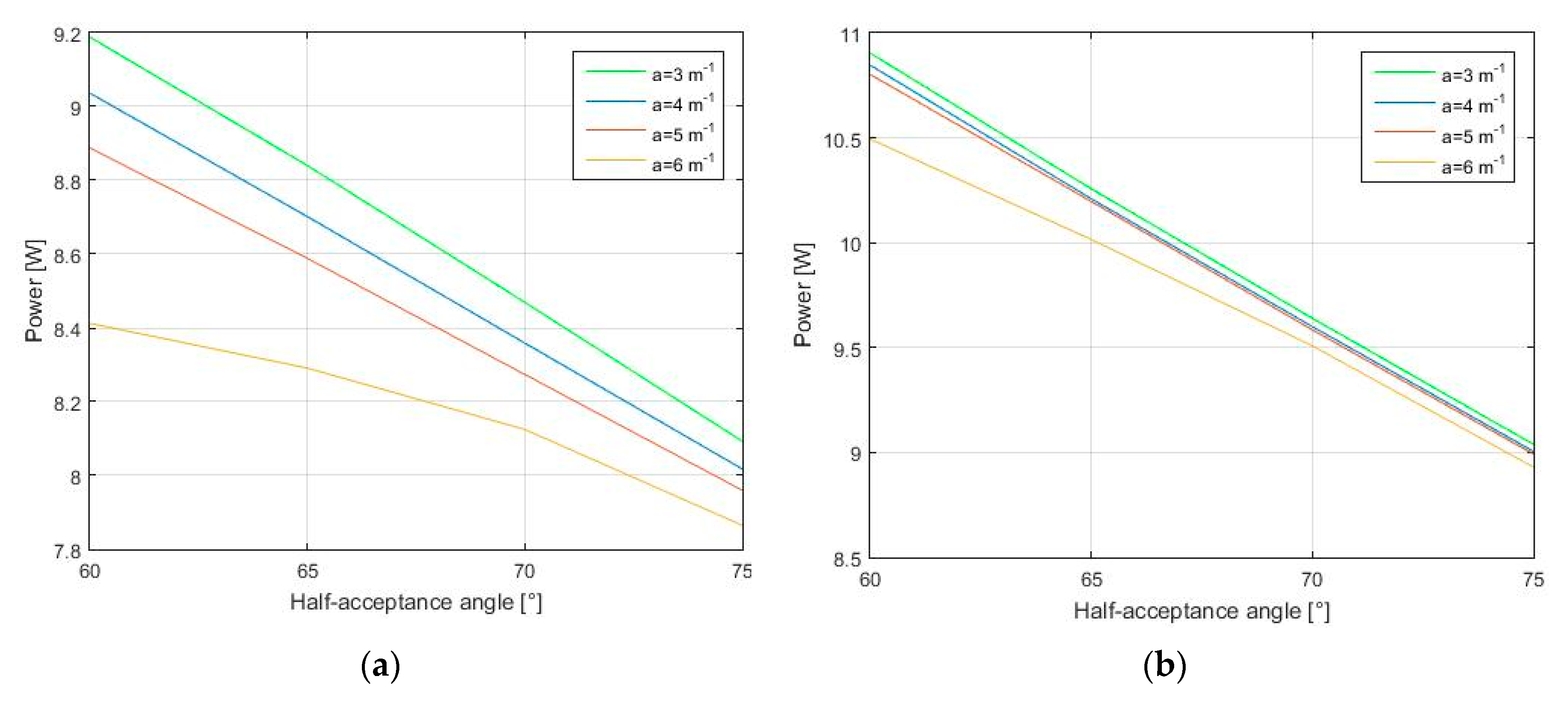
- a, which is the coefficient that appears in the parabola definition formula and indicates the parabola concavity;
- Half-acceptance angle: indicates the rotation of the right parabola, which is the angle between the symmetry axis of the left and right parabola, as shown in Figure 10.
- The range of a chosen is from 3 to 6 m−1 to compare the results with different parabola shapes, the opening of the parabola is greater with higher values;
- The range of half-acceptance angle chosen is from 60° (the angle of the previously calculated scenario) because the system has the bound of width, with a lower angle than 60°, the opening of the parabola is greater, and the geometry construction is not feasible.
- Maximum radiative total heat flux through the solar cell n.2, calculated for each combination of sweep parameters;
- Maximum efficiency of the whole system calculated for each combination of sweep parameters. With this result it is possible to know which configuration is better to convey the sun rays on the beam. In fact, the aim of the reflector is to obtain a higher power on the solar cell to convert it into electricity. This efficiency considers the presence of the reflectors that convey the sun rays on the solar cells, increasing the concentration. The value is calculated by Equation (5).
3. Results
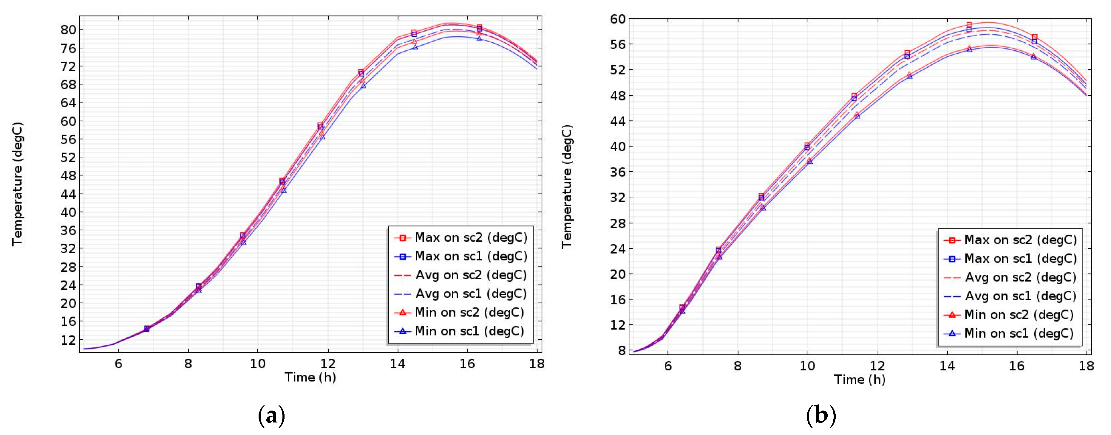
3.1. Numerical Scenarios Validation
3.2. Parametric Analysis
4. Discussion
5. Conclusions
- Simulative campaigns conducted through a virtual laboratory, to check the influence of varying conditions on the CPC efficiency and to find a right matching of geometrical parameters to achieve the optimisation of the whole system;
- Numerical analysis and simulation of integrated cooling systems. The goal is to decrease the temperature in the system, improving the efficiency of the CPCs, removing the produced heat by means of different possible solutions. The heat should be re-used in various applications as a trigenerative ORC (Organic Rankine Cycle) system, to generate domestic hot water, for an HVAC (Heating, Ventilation, and Air Conditioning) plan or for general-purpose heating systems, according to the reached temperature value;
- The validated scenario with experimental data should be used for new CPC numerical simulations, involving different geometry, components, and a number of solar cells, avoiding the production of any physical prototype of a compound solar concentrator.
Author Contributions
Funding
Conflicts of Interest
Appendix A




References
- Nejat, P.; Jomehzadeh, F.; Taheri, M.M.; Gohari, M.; Muhd, M.Z.A. A global review of energy consumption, CO2 emissions and policy in the residential sector (with an overview of the top ten CO2 emitting countries). Renew. Sustain. Energy Rev. 2015, 43, 843–862. [Google Scholar] [CrossRef]
- Bhattacharya, M.; Paramati, S.R.; Ozturk, I.; Bhattacharya, S. The effect of renewable energy consumption on economic growth: Evidence from top 38 countries. Appl. Energy 2016, 162, 733–741. [Google Scholar] [CrossRef]
- Carlini, M.; Castellucci, S. Efficient energy supply from ground coupled heat transfer source. In Lecture Notes in Computer Science (including Its Subseries Lecture Notes in Artificial Intelligence and Lecture Notes in Bioinformatics); Springer: New York, NY, USA, 2010; Volume 6017, pp. 177–190. [Google Scholar]
- Pumiglia, D.; Vaccaro, S.; Masi, A.; McPhail, S.J.; Falconieri, M.; Gagliardi, S.; della Seta, L.; Carlini, M. Aggravated test of Intermediate temperature solid oxide fuel cells fed with tar-contaminated syngas. J. Power Sources 2017, 340, 150–159. [Google Scholar] [CrossRef]
- Pallozzi, V.; Di Carlo, A.; Bocci, E.; Villarini, M.; Foscolo, P.U.; Carlini, M. Performance evaluation at different process parameters of an innovative prototype of biomass gasification system aimed to hydrogen production. Energy Convers. Manag. 2016, 130, 34–43. [Google Scholar] [CrossRef]
- Pallozzi, V.; Di Carlo, A.; Bocci, E.; Carlini, M. Combined gas conditioning and cleaning for reduction of tars in biomass gasification. Biomass Bioenergy 2018, 109, 85–90. [Google Scholar] [CrossRef]
- Carlini, M.; Castellucci, S.; Cocchi, S. A Pilot-Scale Study of Waste Vegetable Oil Transesterification with Alkaline and Acidic Catalysts. Energy Procedia 2014, 45, 198–206. [Google Scholar] [CrossRef]
- Moneti, M.; Di Carlo, A.; Bocci, E.; Foscolo, P.U.; Villarini, M.; Carlini, M. Influence of the main gasifier parameters on a real system for hydrogen production from biomass. Int. J. Hydrogen Energy 2016, 41, 11965–11973. [Google Scholar] [CrossRef]
- Hassan, M.H.; Kalam, M.A. An overview of biofuel as a renewable energy source: Development and challenges. Procedia Eng. 2013, 56, 39–53. [Google Scholar] [CrossRef]
- Carlini, M.; Castellucci, S.; Moneti, M. Biogas Production from Poultry Manure and Cheese Whey Wastewater under Mesophilic Conditions in Batch Reactor. Energy Procedia 2015, 82, 811–818. [Google Scholar] [CrossRef]
- Carlini, M.; Villarini, M.; Esposto, S.; Bernardi, M. Performance analysis of greenhouses with integrated photovoltaic modules. In Lecture Notes in Computer Science (including Its Subseries Lecture Notes in Artificial Intelligence and Lecture Notes in Bioinformatics); Springer: New York, NY, USA, 2010; Volume 6017, pp. 206–214. [Google Scholar]
- Carvalho, H.; Govindan, K.; Azevedo, S.G.; Cruz-Machado, V. Modelling green and lean supply chains: An eco-efficiency perspective. Resour. Conserv. Recycl. 2017, 120, 75–87. [Google Scholar] [CrossRef]
- Carlini, M.; Castellucci, S.; Mennuni, A.; Ferrelli, S.; Felicioni, M.A. Application of a circular & green economy model to a ceramic industrial district: An Italian case study. In Proceedings of the AIP Conference Proceedings 2123, Xiamen, China, 17 July 2019; Volume 020087. [Google Scholar]
- Solar Energy Perspectives; International Energy Agency: Paris, France, 2011; Volume 9789264124.
- McCormack, S.J. PV Systems & Solar Thermal Systems. In Solar to Chemical Energy Conversion: Theory and Application (Lecture Notes in Energy); Sugiyama, M., Fujii, K., Nakamura, S., Eds.; Springer: New York, NY, USA, 2016. [Google Scholar]
- Carlini, M.; Honorati, T.; Castellucci, S. Photovoltaic greenhouses: Comparison of optical and thermal behaviour for energy savings. Math. Probl. Eng. 2012, 2012. [Google Scholar] [CrossRef]
- Mosconi, E.M.; Carlini, M.; Castellucci, S.; Allegrini, E.; Mizzelli, L.; di Trifiletti, M.A. Economical assessment of large-scale photovoltaic plants: An Italian case study. In Lecture Notes in Computer Science (including Its Subseries Lecture Notes in Artificial Intelligence and Lecture Notes in Bioinformatics); Springer: New York, NY, USA, 2013; Volume 7972, pp. 160–175. [Google Scholar]
- Akbari, H.; Browne, M.C.; Ortega, A.; Huang, M.J.; Hewitt, N.J.; Norton, B.; McCormack, S.J. Efficient energy storage technologies for photovoltaic systems. Sol. Energy 2019, 192, 144–168. [Google Scholar] [CrossRef]
- Hegarty, R.O.; Kinnane, O.; McCormack, S.J. Parametric investigation of concrete solar collectors for façade integration. Sol. Energy 2017, 153, 396–413. [Google Scholar] [CrossRef]
- Rafiee, M.; Chandra, S.; Ahmed, H.; McCormack, S.J. An overview of various configurations of Luminescent Solar Concentrators for photovoltaic applications. Opt. Mater. 2019, 91, 212–227. [Google Scholar] [CrossRef]
- Rafiee, M.; Ahmed, H.; Chandra, S.; Sethi, A.; McCormack, S.J. Monte Carlo Ray Tracing Modelling of Multi-Crystalline Silicon Photovoltaic Device Enhanced by Luminescent Material. In Proceedings of the 2018 IEEE 7th World Conference on Photovoltaic Energy Conversion (WCPEC) (A Joint Conference of 45th IEEE PVSC, 28th PVSEC & 34th EU PVSEC, Waikoloa Village, HI, USA, 10–15 June 2018; pp. 3139–3141. [Google Scholar]
- Kessentini, H.; Bouden, C. Numerical and experimental study of an integrated solar collector with CPC reflectors. Renew. Energy 2013, 57, 577–586. [Google Scholar] [CrossRef]
- Mallick, T.K.; Eames, P.C.; Hyde, T.J.; Norton, B. The design and experimental characterisation of an asymmetric compound parabolic photovoltaic concentrator for building facade integration in the UK. Sol. Energy 2004, 77, 319–327. [Google Scholar] [CrossRef]
- Mallick, T.K.; Eames, P.; Norton, B. Using air flow to alleviate temperature elevation in solar cells within asymmetric compound parabolic concentrators. Sol. Energy 2007, 81, 173–184. [Google Scholar] [CrossRef]
- Brogren, M.; Wennerberg, J.; Kapper, R.; Karlsson, B. Design of concentrating elements with CIS thin- film solar cells for facade integration. Sol. Energy Mater. Sol. Cells 2003, 75, 567–575. [Google Scholar] [CrossRef]
- Hatwaambo, S.; Hakansson, H.; Nilsson, J.; Karlsson, B. Angular characterization of low concentrating PV—CPC using low-cost reflectors. Sol. Energy Mater. Sol. Cells 2008, 92, 1347–1351. [Google Scholar] [CrossRef]
- Hatwaambo, S.; Hakansson, H.; Roos, A.; Karlsson, B. Mitigating the non-uniform illumination in low concentrating CPCs using structured reflectors. Sol. Energy Mater. Sol. Cells 2020, 93, 2020–2024. [Google Scholar] [CrossRef]
- Yu, Y.; Tang, R. Diffuse reflections within CPCs and its effect on energy collection. Sol. Energy 2015, 120, 44–54. [Google Scholar] [CrossRef]
- Li, G.; Pei, G.; Ji, J.; Su, Y. Outdoor overall performance of a novel air-gap-lens-walled compound parabolic concentrator (ALCPC) incorporated with photovoltaic/thermal system. Appl. Energy 2015, 144, 214–223. [Google Scholar] [CrossRef]
- Norton, B.; Eames, P.C.; Mallick, T.K.; Huang, M.J.; McCormack, S.J.; Mondol, J.D.; Yohanis, Y.G. Enhancing the performance of building integrated photovoltaics. Sol. Energy 2011, 85, 1629–1664. [Google Scholar] [CrossRef]
- Zacharopoulos, A.; Mclarnon, D.; Norton, B. “dielectric non-imaging concentrating covers for PV integrated building facades. Sol. Energy 2000, 68, 439–452. [Google Scholar] [CrossRef]
- Rabl, A. Comparison of solar concentrators. Sol. Energy 1976, 18, 93–111. [Google Scholar] [CrossRef]
- Ortega, A.; Akbari, H.; McCormack, S.J. Building Integrated Compound Parabolic Photovoltaic Concentrator: A review. In Proceedings of the BIRES, Building Integration of Solar Thermal Systems, Dublin, The Irish, 6 March 2017; p. 9. [Google Scholar]
- Gordon, J.M. Simple string construction method for tailored edge-ray concentrators in maximum-flux solar energy collectors. Pergamon 1996, 56, 279–284. [Google Scholar] [CrossRef]
- Tang, F.; Li, G.; Tang, R. Design and optical performance of CPC based compound plane concentrators. Renew. Energy 2016, 95, 140–151. [Google Scholar] [CrossRef]
- Weinham, S.R.; Green, M.A.; Watt, M.E. Applied Photovoltaics; Routledge: London, UK, 1994. [Google Scholar]
- Winston, R.; Welford, W.T. Two-dimensional concentrators for inhomogeneous media. J. Opt. Soc. Am. 1978, 68, 289. [Google Scholar] [CrossRef]
- Carlini, M.; Mennuni, A.; Allegrini, E.; Castellucci, S. Energy Efficiency in the Industrial Process of Hair Fiber Depigmentation: Analysis and FEM Simulation. Energy Procedia 2016, 101, 550–557. [Google Scholar] [CrossRef]
- Carlini, M.; Castellucci, S.; Mennuni, A. Thermal and fluid dynamic analysis within a batch micro-reactor for biodiesel production fromwaste vegetable oil. Sustainability 2017, 9, 2308. [Google Scholar] [CrossRef]
- Carlini, M.; Castellucci, S.; Mennuni, A. Modelling of a low-enthalpy DHE geothermal system for greenhouses heating: Thermal and fluid dynamic analysis with FEM approach. In Proceedings of the AIP Conference Proceedings 2123, Beirut, Lebanon, 17 July 2019; Volume 020061. [Google Scholar]
- Carlini, M.; Castellucci, S.; Mennuni, A.; Morelli, S. Numerical modeling and simulation of pitched and curved-roof solar greenhouses provided with internal heating systems for different ambient conditions. Energy Reports 2019, in press. [Google Scholar] [CrossRef]
- Carlini, M.; Castellucci, S.; Mennuni, A.; Selli, S. Poultry Manure Biomass: Energetic Characterization and ADM1-based Simulation. J. Phys. Conf. Ser. 2019, 1172, 012063. [Google Scholar] [CrossRef]
- Ortega, A. Design and Characterization of a Roof-Mounted Compound Parabolic Concentrator with Luminescent Down Shifting Layer; Trinity College Dublin: Dublin, The Irish, 2017. [Google Scholar]
- COMSOL. Thermal Modeling of Surfaces with Wavelength-Dependent Emissivity. 2013. Available online: https://www.comsol.com/blogs/thermal-modeling-surfaces-wavelength-dependent-emissivity/ (accessed on 10 October 2019).
- COMSOL Multiphysics. version 5.3; Heat Transfer Module; Manual. 2015, pp. 1–222. Available online: https://doc.comsol.com/5.3/doc/com.comsol.help.heat/HeatTransferModuleUsersGuide.pdf (accessed on 10 October 2019).
- Van Eck, R.; Klep, M.; van Schijndel, J. Surface to surface radiation benchmarks. In Proceedings of the Comsol Conference, Munich, Germany, 12 October 2016; pp. 12–14. [Google Scholar]
- Sieger, R.; Howell, J. Thermal Radiation Heat Transfer, 4th ed.; Taylor & Francis: New York, NY, USA, 2002. [Google Scholar]
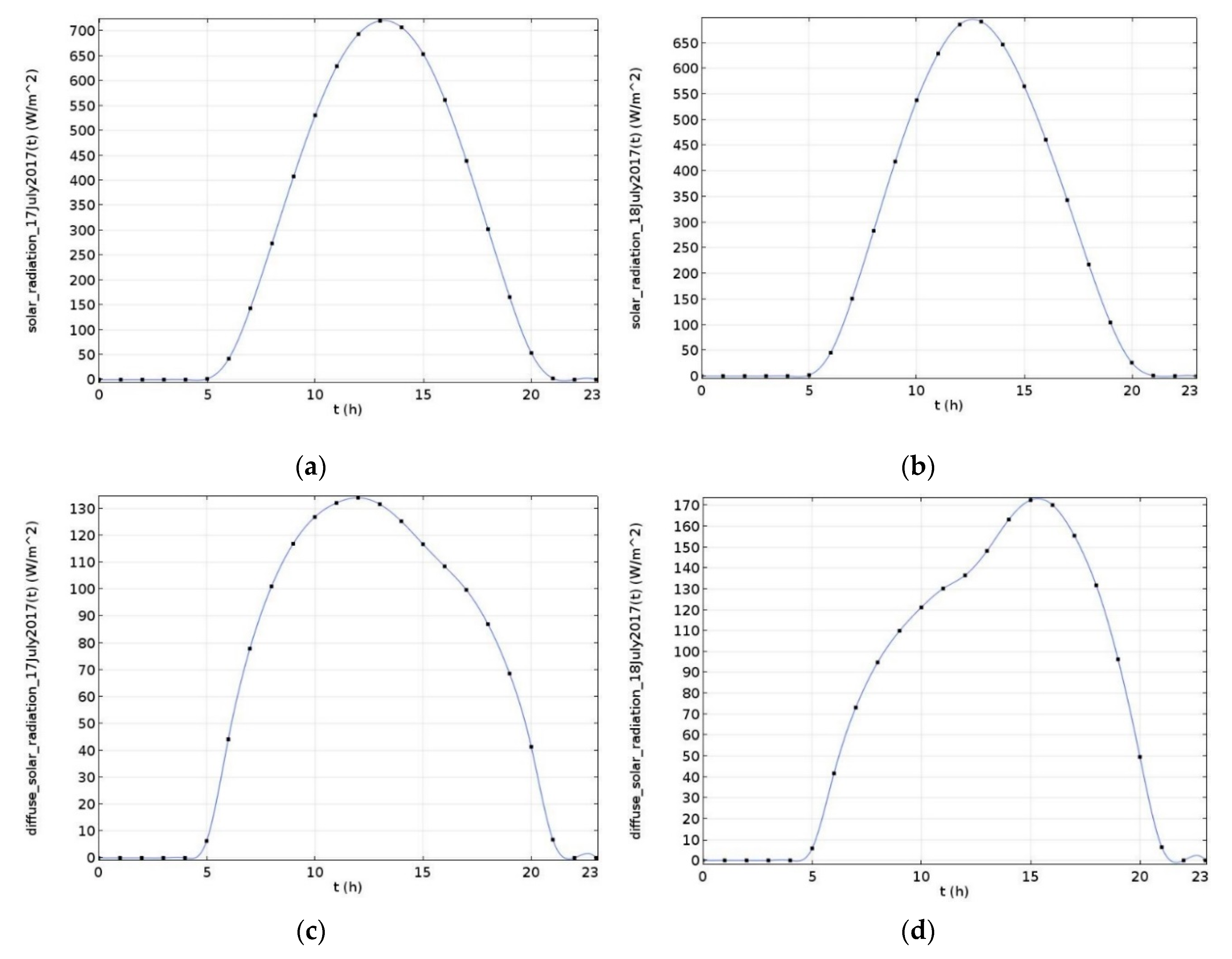
- Daily Temperature Trend for Dublin City. Available online: https://www.wunderground.com/history/daily/ie/dubber/EIDW/date/2017-6-17. (accessed on 10 October 2019).
- Daily Solar Radiation Trend for Dublin City. Available online: www.soda-pro.com/web-services/radiation/cams-radiation-service. (accessed on 10 October 2019).
- Da Wen, C.; Mudawar, I. Experimental investigation of emissivity of aluminum alloys and temperature determination using multispectral radiation thermometry (MRT) algorithms. J. Mater. Eng. Perform. 2002, 11, 551–562. [Google Scholar] [CrossRef]
- Ibos, L.; Monchau, J.-P.; Feuillet, V.; Dumoulin, J.; Ausset, P.; Hameury, J.; Hay, B. Investigation of the directional emissivity of materials using infrared thermography coupled with a periodic excitation. In Proceedings of the 2016 Quantitative InfraRed Thermography, Gdansk, Poland, 4–8 July 2016; p. 8. [Google Scholar]
- Casa Energetica. Available online: http://www.casaenergetica.it/poliuretano_%28pur%29.html (accessed on 7 October 2019).
- Martinez, I. Properties of Solids; Ciudad Universitaria: Buenos Aires, Argentina, 2019; pp. 1–6. [Google Scholar]
- Sato, T. Spectral Emissivity of Silicon. Jpn. J. Appl. Phys. 1967, 6, 3. [Google Scholar] [CrossRef]
- Sarhan, W.M.; Alkhateeb, A.N.; Omran, K.D.; Hussein, F.H. Effect of temperature on the efficiency of the thermal cell. Asian J. Chem. 2006, 18, 982–990. [Google Scholar]
- Dubey, S.; Sarvaiya, J.N.; Seshadri, B. Temperature dependent photovoltaic (PV) efficiency and its effect on PV production in the world—A review. Energy Procedia 2013, 33, 311–321. [Google Scholar] [CrossRef]
- Skoplaki, E.; Palyvos, J.A. On the temperature dependence of photovoltaic module electrical performance: A review of efficiency/power correlations. Sol. Energy 2009, 83, 614–624. [Google Scholar] [CrossRef]



















| Date | Measurement Time [HH:MM] | ||||||||
|---|---|---|---|---|---|---|---|---|---|
| 10:00 | 11:00 | 12:00 | 13:00 | 14:00 | 15:00 | 16:00 | 17:00 | 18:00 | |
| 17 July 2017 | 46 °C | 59 °C | 68 °C | 76 °C | 81 °C | 79 °C | 75 °C | 71 °C | 62 °C |
| 18 July 2017 | 49 °C | 48 °C | 51 °C | 55 °C | 56 °C | 57 °C | - | - | - |
| Time | System | Efficiency [%] | Power [W] | Temperature [°C] |
|---|---|---|---|---|
| 12:19 | CPC | 18.6 | 8.7 | 74.9 |
| PV | 13.8 | 6.4 | 63.2 | |
| 12:45 | CPC | 18.3 | 8.9 | 76.8 |
| PV | 16.2 | 7.9 | 65.5 | |
| 13:58 | CPC | 17.2 | 8.4 | 83.6 |
| PV | 16.6 | 8.1 | 73.0 |
| Availability in CPC | Thermal Properties | Emissivity | ||||||
|---|---|---|---|---|---|---|---|---|
| Component | Covered | Uncovered | Material | ρ [kg/m3] | cp [J/(kg·K)] | k [W/(m·K)] | ||
| Back plate | √ | √ | Aluminium (sheet) | 2700 | 900 | 238 | 0.14 | 0.14 |
| Frame structure | √ | √ | PVC (40% pl.) | 1400 | 900 | 0.19 | 0.60 | 0.92 |
| Foam | √ | √ | PUR | 33 | 2200 | 0.08 | 0.20 | 0.80 |
| Cover | √ | × | Silica glass | 2203 | 703 | 1.38 | / | / |
| Side covers | √ | × | PMMA [solid] | 1190 | 1470 | 0.18 | / | / |
| Reflectors | √ | √ | Aluminium (foil) | 2700 | 900 | 238 | 0.04 | 0.04 |
| Support reflectors | √ | √ | Aluminium (sheet) | 2700 | 900 | 238 | 0.14 | 0.14 |
| Solar cells support | √ | √ | Glass (quartz) | 2210 | 730 | 1.4 | 0.90 | 0.90 |
| Solar cells | √ | √ | Silicon | 2329 | 700 | 130 | 0.70 | 0.70 |
| Air domain | √ | × | Air | ρ(p,T) | cp(T) | k(T) | / | / |
| Parameter | Uncovered CPC | Covered CPC |
|---|---|---|
| Mesh vertices | 7517 | 11,630 |
| Tetrahedral elements | 25,949 | 59,194 |
| Triangular elements | 14,787 | 19,226 |
| Edge elements | 1889 | 2123 |
| Vertex elements | 198 | 198 |
| Estimated required RAM | 11 GB (approx) | 13 GB (approx) |
| Parameters | Values |
|---|---|
| a [m−1] | 3, 4, 5, 6 |
| Half-acceptance angle [°] | 60, 65, 70, 75 |
| Date | Measurement Time [HH:MM] | |||||||||
|---|---|---|---|---|---|---|---|---|---|---|
| 10:00 | 11:00 | 12:00 | 13:00 | 14:00 | 15:00 | 16:00 | 17:00 | 18:00 | ||
| 17 July 2017 | Experimental | 46 °C | 59 °C | 68 °C | 76 °C | 81 °C | 79 °C | 75 °C | 71 °C | 62 °C |
| Numerical | 39 °C | 49 °C | 58 °C | 66 °C | 76 °C | 78 °C | 77 °C | 76 °C | 72 °C | |
| D [%] | 15.2 | 16.9 | 14.7 | 13.2 | 6.2 | 1.3 | 2.7 | 7.0 | 16.1 | |
| 18 July 2017 | Experimental | 49 °C | 48 °C | 51 °C | 55 °C | 56 °C | 57 °C | - | - | - |
| Numerical | 39 °C | 44 °C | 45 °C | 52 °C | 56 °C | 57 °C | - | - | - | |
| D [%] | 20.4 | 8.3 | 11.8 | 5.4 | 0.0 | 0.0 | - | - | - | |
| Data From | Measurement Time [HH:MM] | ||
|---|---|---|---|
| 12:20 | 12:45 | 14:00 | |
| TCD | 8.7 W | 8.9 W | 8.4 W |
| CM | 8.7 W | 8.8 W | 8.7 W |
| D [%] | 0.0 | 1.1 | 3.6 |
| Data From | Measurement Time [HH:MM] | ||
|---|---|---|---|
| 12:20 | 12:45 | 14:00 | |
| TCD | 18.6% | 18.3% | 17.2% |
| CM | 18.0% | 18.3% | 17.9% |
| D [%] | 3.2 | 0.0 | 4.1 |
© 2020 by the authors. Licensee MDPI, Basel, Switzerland. This article is an open access article distributed under the terms and conditions of the Creative Commons Attribution (CC BY) license (http://creativecommons.org/licenses/by/4.0/).
Share and Cite
Carlini, M.; McCormack, S.J.; Castellucci, S.; Ortega, A.; Rotondo, M.; Mennuni, A. Modelling and Numerical Simulation for an Innovative Compound Solar Concentrator: Thermal Analysis by FEM Approach. Energies 2020, 13, 548. https://doi.org/10.3390/en13030548
Carlini M, McCormack SJ, Castellucci S, Ortega A, Rotondo M, Mennuni A. Modelling and Numerical Simulation for an Innovative Compound Solar Concentrator: Thermal Analysis by FEM Approach. Energies. 2020; 13(3):548. https://doi.org/10.3390/en13030548
Chicago/Turabian StyleCarlini, Maurizio, Sarah Josephine McCormack, Sonia Castellucci, Anita Ortega, Mirko Rotondo, and Andrea Mennuni. 2020. "Modelling and Numerical Simulation for an Innovative Compound Solar Concentrator: Thermal Analysis by FEM Approach" Energies 13, no. 3: 548. https://doi.org/10.3390/en13030548
APA StyleCarlini, M., McCormack, S. J., Castellucci, S., Ortega, A., Rotondo, M., & Mennuni, A. (2020). Modelling and Numerical Simulation for an Innovative Compound Solar Concentrator: Thermal Analysis by FEM Approach. Energies, 13(3), 548. https://doi.org/10.3390/en13030548

