Maximizing the Economic Benefits of a Grid-Tied Microgrid Using Solar-Wind Complementarity
Abstract
:1. Introduction
Literature Review
2. MG Model and Solar-Wind Complementarity
2.1. MG Model
2.2. Solar-Wind Complementarity
3. Proposed Framework and Solution
3.1. Energy Production Cost
3.2. Energy Exchange Cost
3.2.1. Energy Exchange Cost Minimization Problem
3.2.2. Solution of Energy Exchange Cost Minimization Problem
3.2.3. Feasibility of Energy Exchange Cost Minimization Problem
| Algorithm 1: Energy exchange cost minimization. |
![]() |
3.3. Optimized RES Mix
| Algorithm 2: Proposed algorithm to determine optimized RES mix. |
|
4. Case Study
4.1. Effect of SPL Threshold Levels
4.2. Impact on SPL Costs
4.3. Impact on Levelized Cost of Electricity
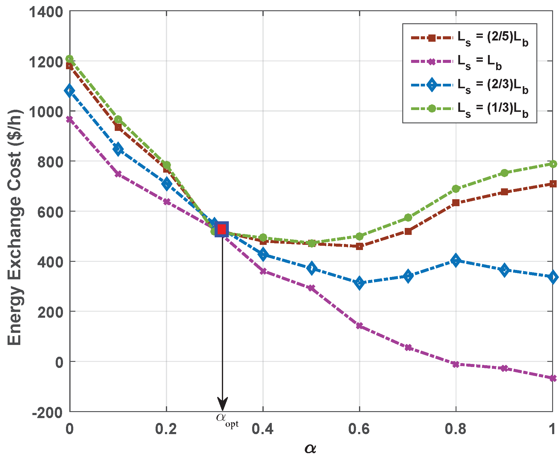
4.4. Impact on Net Energy Costs
4.5. Variation of Energy Prices
5. Conclusions
Author Contributions
Funding
Conflicts of Interest
Appendix A. Computation of Solar-Wind Complementarity Value
Abbreviations
| MG | Microgrid |
| RES | Renewable Energy Source |
| PV | Photovoltaic |
| ESS | Energy Storage System |
| SPL | System Power Loss |
| PSO | Particle Swarm Optimization |
| EPF | Exterior Penalty Function |
| LCOE | Levelized cost of electricity |
Nomenclature
| Indices/Sets | |
| N | Total number of nodes, indexed by i |
| M | Total number of renewable energy sources |
| T | Total time period, indexed by t |
| Parameters | |
| Conversion efficiency of solar PV panel | |
| A | Area of the PV panel |
| d | Discount factor |
| Y | Minimum of the life spans of solar and wind RES |
| Resistance of node i | |
| Cut-in speed at which the turbine starts generating power | |
| Rated power of wind turbine | |
| Rated speed of wind turbine | |
| Cut-off speed after which the turbine is shut down for safety purposes | |
| Maximum apparent power | |
| Variables | |
| Binary variable to indicate the presence of local RES at node i | |
| Active power generated by local RES at node i | |
| Reactive power generated by local RES at node i | |
| Active power generated at node i | |
| Reactive load demand at node i | |
| Active power loss occurring in section to i | |
| Reactive power loss occurring in section to i | |
| Active power transaction occurring with the power grid at time t | |
| Reactive power transaction occurring with the power grid at time t | |
| Active power produced by the solar PV units at node i, at time t | |
| Active power produced by the wind turbines at node i at time t | |
| Continuous variable ; represents the share of installed solar capacity at node i | |
| Step size of by which its value is varied | |
| Irradiance at node i at time t | |
| Wind speed at node i at time t | |
| Standard deviation of the energy produced by PV units at time t | |
| Standard deviation of the energy produced by wind turbines at time t | |
| Covariance of solar and wind energies at time t | |
| Solar-Wind complementarity value at a given location | |
| LCOE of RES mix, in | |
| Energy production cost of RES mix in a year | |
| Overall SPL | |
| Minimum value of SPL | |
| Optimal value of SPL | |
| Imported power component of at time t | |
| Exported power component of at time t | |
| Energy exchange cost at time t due to RES mix | |
| Annual Energy exchange cost due to RES mix at an optimal value of SPL | |
| Annual Energy exchange cost due to RES mix at any given value of SPL | |
| Net energy costs due to RES mix | |
| Investment cost of the RES mix at time t, where t is in years | |
| Operation and maintenance cost of RES mix at time t, where t is in years | |
| Fuel cost of RES mix (zero in case of solar and wind RES) at time t, where t is in years | |
| Energy produced by solar RES in a year | |
| Energy produced by wind RES in a year | |
| Average Energy produced by RES mix in a year | |
| Energy export price in $/kWh | |
| Energy import price in $/kWh | |
| SPL at time t | |
| Power loss in node i at time t | |
| Maximum power loss that ith bus can sustain | |
| Maximum power that can be imported from the grid | |
| Maximum amount of power that can be exported to the grid | |
| Penalties associated with violation of nth constraint at node i at time, t | |
| Apparent power at time t | |
| Reactive power of PV unit at node i at time t | |
| Reactive power of wind turbine at node i at time t | |
| Lower limit on reactive power from PV unit | |
| Upper limit on reactive power from PV unit | |
| Lower limit on reactive power from wind turbine | |
| Upper limit on reactive power from wind turbine | |
| Voltage at node i at time t | |
| Lower voltage limit at node i | |
| Upper voltage limit at node i | |
| Annual average value of either solar or wind RES; {solar, wind} | |
| Power potential of r at time instant, m where and {solar, wind} | |
| Variance of either solar or wind RES; {solar, wind} | |
| Covariance of solar and wind RES at time t |
References
- Zhang, C.; Xu, Y.; Dong, Z.Y.; Wong, K.P. Robust Coordination of Distributed Generation and Price-Based Demand Response in Microgrids. IEEE Trans. Smart Grid 2018, 9, 4236–4247. [Google Scholar] [CrossRef]
- Wang, Z.; Chen, B.; Wang, J.; Kim, J.; Begovic, M.M. Robust Optimization Based Optimal DG Placement in Microgrids. IEEE Trans. Smart Grid 2014, 5, 2173–2182. [Google Scholar] [CrossRef]
- Parhizi, S.; Khodaei, A.; Shahidehpour, M. Market-Based Versus Price-Based Microgrid Optimal Scheduling. IEEE Trans. Smart Grid 2018, 9, 615–623. [Google Scholar] [CrossRef]
- Bazrafshan, M.; Gatsis, N. Decentralized Stochastic Optimal Power Flow in Radial Networks With Distributed Generation. IEEE Trans. Smart Grid 2017, 8, 787–801. [Google Scholar] [CrossRef]
- Zachar, M.; Daoutidis, P. Microgrid/Macrogrid Energy Exchange: A Novel Market Structure and Stochastic Scheduling. IEEE Trans. Smart Grid 2017, 8, 178–189. [Google Scholar] [CrossRef]
- Georgilakis, P.S.; Hatziargyriou, N.D. Optimal Distributed Generation Placement in Power Distribution Networks: Models, Methods, and Future Research. IEEE Trans. Power Syst. 2013, 28, 3420–3428. [Google Scholar] [CrossRef]
- Tushar, W.; Zhang, J.A.; Yuen, C.; Smith, D.B.; Hassan, N.U. Management of Renewable Energy for a Shared Facility Controller in Smart Grid. IEEE Access 2016, 4, 4269–4281. [Google Scholar] [CrossRef]
- Chen, S.X.; Gooi, H.B.; Wang, M.Q. Sizing of Energy Storage for Microgrids. IEEE Trans. Smart Grid 2012, 3, 142–151. [Google Scholar] [CrossRef]
- Thirugnanam, K.; Kerk, S.K.; Yuen, C.; Liu, N.; Zhang, M. Energy Management for Renewable Microgrid in Reducing Diesel Generators Usage With Multiple Types of Battery. IEEE Trans. Ind. Electron. 2018, 65, 6772–6786. [Google Scholar] [CrossRef]
- Tushar, W.; Yuen, C.; Huang, S.; Smith, D.B.; Poor, H.V. Cost Minimization of Charging Stations With Photovoltaics: An Approach With EV Classification. IEEE Trans. Intell. Trans. Syst. 2016, 17, 156–169. [Google Scholar] [CrossRef]
- U.S. Energy Information Administration. U.S. Battery Storage Market Trends. 2018. Available online: https://www.eia.gov/analysis/studies/electricity/batterystorage/pdf/battery_storage.pdf (accessed on 17 December 2018).
- Huanna, N.; Lu, Y.; Jingxiang, Z.; Yuzhu, W.; Weizhou, W.; Fuchao, L. Flexible-regulation resources planning for distribution networks with a high penetration of renewable energy. IET Gener. Transm. Distrib. 2018, 12, 4099–4107. [Google Scholar] [CrossRef]
- He, G.; Chen, Q.; Kang, C.; Xia, Q.; Poolla, K. Cooperation of Wind Power and Battery Storage to Provide Frequency Regulation in Power Markets. IEEE Trans. Power Syst. 2017, 32, 3559–3568. [Google Scholar] [CrossRef]
- Kim, Y.; Kim, E.; Moon, S. Frequency and Voltage Control Strategy of Standalone Microgrids with High Penetration of Intermittent Renewable Generation Systems. IEEE Trans. Power Syst. 2016, 31, 718–728. [Google Scholar] [CrossRef]
- Risso, A.; Beluco, A.; Marques Alves, R.D.C. Complementarity Roses Evaluating Spatial Complementarity in Time between Energy Resources. Energies 2018, 11, 1918. [Google Scholar] [CrossRef]
- Zhang, X.; Ma, G.; Huang, W.; Chen, S.; Zhang, S. Short-Term Optimal Operation of a Wind-PV-Hydro Complementary Installation: Yalong River, Sichuan Province, China. Energies 2018, 11, 868. [Google Scholar] [CrossRef]
- Min, C.G.; Kim, M.K. Impact of the Complementarity between Variable Generation Resources and Load on the Flexibility of the Korean Power System. Energies 2017, 10, 1719. [Google Scholar] [CrossRef]
- Wang, H.; Huang, J. Joint Investment and Operation of Microgrid. IEEE Trans. Smart Grid 2017, 8, 833–845. [Google Scholar] [CrossRef]
- Bett, P.E.; Thornton, H.E. The climatological relationships between wind and solar energy supply in Britain. Renew. Energy 2016, 87, 96–110. [Google Scholar] [CrossRef]
- Atia, R.; Yamada, N. Sizing and Analysis of Renewable Energy and Battery Systems in Residential Microgrids. IEEE Trans. Smart Grid 2016, 7, 1204–1213. [Google Scholar] [CrossRef]
- Liu, Y.; Yuen, C.; Hassan, N.U.; Huang, S.; Yu, R.; Xie, S. Electricity Cost Minimization for a Microgrid With Distributed Energy Resource Under Different Information Availability. IEEE Trans. Ind. Electron. 2015, 62, 2571–2583. [Google Scholar] [CrossRef]
- Huang, W.T.; Yao, K.C.; Wu, C.C. Using the Direct Search Method for Optimal Dispatch of Distributed Generation in a Medium-Voltage Microgrid. Energies 2014, 7, 8355–8373. [Google Scholar] [CrossRef]
- Yousif, M.; Ai, Q.; Gao, Y.; Wattoo, W.A.; Jiang, Z.; Hao, R. Application of Particle Swarm Optimization to a Scheduling Strategy for Microgrids Coupled with Natural Gas Networks. Energies 2018, 11, 3499. [Google Scholar] [CrossRef]
- Yuan, R.; Li, T.; Deng, X.; Ye, J. Optimal Day-Ahead Scheduling of a Smart Distribution Grid Considering Reactive Power Capability of Distributed Generation. Energies 2016, 9, 311. [Google Scholar] [CrossRef]
- Farzin, H.; Fotuhi-Firuzabad, M.; Moeini-Aghtaie, M. A Stochastic Multi-Objective Framework for Optimal Scheduling of Energy Storage Systems in Microgrids. IEEE Trans. Smart Grid 2017, 8, 117–127. [Google Scholar] [CrossRef]
- Hou, H.; Xue, M.; Xu, Y.; Tang, J.; Zhu, G.; Liu, P.; Xu, T. Multiobjective Joint Economic Dispatching of a Microgrid with Multiple Distributed Generation. Energies 2018, 11, 3264. [Google Scholar] [CrossRef]
- Wei, C.; Fadlullah, Z.M.; Kato, N.; Stojmenovic, I. On Optimally Reducing Power Loss in Micro-grids with Power Storage Devices. IEEE J. Sel. Areas Commun. 2014, 32, 1361–1370. [Google Scholar] [CrossRef]
- Ahn, C.; Peng, H. Decentralized Voltage Control to Minimize Distribution Power Loss of Microgrids. IEEE Trans. Smart Grid 2013, 4, 1297–1304. [Google Scholar] [CrossRef]
- Naeem, A.; Hassan, N.U.; Yuen, C. Power Loss Minimization in Power Distribution Systems Using Wind and Solar Complementarity. In Proceedings of the 2018 IEEE Innovative Smart Grid Technologies—Asia (ISGT Asia), Singapore, 22–25 May 2018; pp. 1165–1170. [Google Scholar]
- Chughtai, A.H.; Hassan, N.U.; Yuen, C. Planning for Mitigation of Variability in Renewable Energy Resources using Temporal Complementarity. In Proceedings of the 2018 IEEE Innovative Smart Grid Technologies—Asia (ISGT Asia), Singapore, 22–25 May 2018; pp. 1147–1152. [Google Scholar]
- Miglietta, M.M.; Huld, T.; Monforti-Ferrario, F. Local Complementarity of Wind and Solar Energy Resources over Europe: An Assessment Study from a Meteorological Perspective. J. Appl. Meteorol. Clim. 2017, 56, 217–234. [Google Scholar] [CrossRef]
- Monforti, F.; Huld, T.; Bódis, K.; Vitali, L.; D’Isidoro, M.; Lacal-Arántegui, R. Assessing complementarity of wind and solar resources for energy production in Italy. A Monte Carlo approach. Renew. Energy 2014, 63, 576–586. [Google Scholar] [CrossRef]
- Halamay, D.A.; Brekken, T.K.A.; Simmons, A.; McArthur, S. Reserve Requirement Impacts of Large-Scale Integration of Wind, Solar, and Ocean Wave Power Generation. IEEE Trans. Sustain. Energy 2011, 2, 321–328. [Google Scholar] [CrossRef]
- Li, Y.; Agelidis, V.G.; Shrivastava, Y. Wind-solar resource complementarity and its combined correlation with electricity load demand. In Proceedings of the 2009 4th IEEE Conference on Industrial Electronics and Applications, Xi’an, China, 25–27 May 2009; pp. 3623–3628. [Google Scholar] [CrossRef]
- Khalid, M.; Savkin, A.V.; Agelidis, V.G. Optimization of a power system consisting of wind and solar power plants and battery energy storage for optimal matching of supply and demand. In Proceedings of the 2015 IEEE Conference on Control Applications (CCA), Sydney, Australia, 21–23 September 2015; pp. 739–743. [Google Scholar] [CrossRef]
- Romero, R.; Franco, J.F.; Leão, F.B.; Rider, M.J.; de Souza, E.S. A New Mathematical Model for the Restoration Problem in Balanced Radial Distribution Systems. IEEE Trans. Power Syst. 2016, 31, 1259–1268. [Google Scholar] [CrossRef]
- Tazvinga, H.; Zhu, B.; Xia, X. Energy dispatch strategy for a photovoltaic–wind–diesel–battery hybrid power system. Sol. Energy 2014, 108, 412–420. [Google Scholar] [CrossRef]
- Atwa, Y.M.; El-Saadany, E.F. Optimal Allocation of ESS in Distribution Systems With a High Penetration of Wind Energy. IEEE Trans. Power Syst. 2010, 25, 1815–1822. [Google Scholar] [CrossRef]
- Gholami, A.; Shekari, T.; Aminifar, F.; Shahidehpour, M. Microgrid Scheduling With Uncertainty: The Quest for Resilience. IEEE Trans. Smart Grid 2016, 7, 2849–2858. [Google Scholar] [CrossRef]
- EIA. Levelized Cost and Levelized Avoided Cost of New Generation Resources in the Annual Energy Outlook. 2018. Available online: https://www.eia.gov/outlooks/aeo/pdf/electricity_generation.pdf (accessed on 21 December 2018).
- Huang, Y.; Mao, S.; Nelms, R.M. Adaptive Electricity Scheduling in Microgrids. IEEE Trans. Smart Grid 2014, 5, 270–281. [Google Scholar] [CrossRef]
- Soroudi, A.; Siano, P.; Keane, A. Optimal DR and ESS Scheduling for Distribution Losses Payments Minimization Under Electricity Price Uncertainty. IEEE Trans. Smart Grid 2016, 7, 261–272. [Google Scholar] [CrossRef]
- Rao, R.S.; Ravindra, K.; Satish, K.; Narasimham, S.V.L. Power Loss Minimization in Distribution System Using Network Reconfiguration in the Presence of Distributed Generation. IEEE Trans. Power Syst. 2013, 28, 317–325. [Google Scholar] [CrossRef]
- El-Sayed, M.A.; Salama, M.M.; Farag, M.; Al-Thobaiti, F.B. The Cost Functional and Its Gradient in Optimal Boundary Control Problem for Parabolic Systems. Open J. Optim. 2017, 6, 26. [Google Scholar] [CrossRef]
- Khaled, U.; Eltamaly, A.M.; Beroual, A. Optimal Power Flow Using Particle Swarm Optimization of Renewable Hybrid Distributed Generation. Energies 2017, 10, 1013. [Google Scholar] [CrossRef]
- Srivastava, L.; Singh, H. Hybrid multi-swarm particle swarm optimisation based multi-objective reactive power dispatch. IET Gener. Trans. Distrib. 2015, 9, 727–739. [Google Scholar] [CrossRef]
- Garg, H. A Hybrid PSO-GA Algorithm for Constrained Optimization Problems. Appl. Math. Comput. 2016, 274, 292–305. [Google Scholar] [CrossRef]
- Baran, M.E.; Wu, F.F. Network reconfiguration in distribution systems for loss reduction and load balancing. IEEE Trans. Power Deliv. 1989, 4, 1401–1407. [Google Scholar] [CrossRef]
- Ellis, A.; Nelson, R.; Engeln, E.V.; Walling, R.; MacDowell, J.; Casey, L.; Seymour, E.; Peter, W.; Barker, C.; Kirby, B.; Williams, J.R. Reactive power performance requirements for wind and solar plants. In Proceedings of the 2012 IEEE Power and Energy Society General Meeting, San Diego, CA, USA, 22–26 July 2012; pp. 1–8. [Google Scholar]
- Ghosh, S.; Rahman, S.; Pipattanasomporn, M. Distribution Voltage Regulation Through Active Power Curtailment With PV Inverters and Solar Generation Forecasts. IEEE Trans. Sustain. Energy 2017, 8, 13–22. [Google Scholar] [CrossRef]
- Abugri, J.B.; Karam, M. Particle Swarm Optimization for the Minimization of Power Losses in Distribution Networks. In Proceedings of the 12th International Conference on Information Technology–New Generations, Las Vegas, NV, USA, 13–15 April 2015; pp. 73–78. [Google Scholar]
- Wang, C.; Cheng, H.Z. Optimization of Network Configuration in Large Distribution Systems Using Plant Growth Simulation Algorithm. IEEE Trans. Power Syst. 2008, 23, 119–126. [Google Scholar] [CrossRef]
- EIA. Electric Power Monthly. 2017. Available online: https://www.eia.gov/electricity/monthly/epm_table_grapher.php?t=epmt_5_3 (accessed on 23 October 2017).
- Editorial. Solar Power Buy-Back Rates. 2018. Available online: https://mysolarquotes.co.nz/about-solar-power/residential/solar-power-buy-back-rates-nz/ (accessed on 16 January 2019).
- Khodaei, A. Provisional Microgrid Planning. IEEE Trans. Smart Grid 2017, 8, 1096–1104. [Google Scholar] [CrossRef]









| Case Number | Sharing Coefficient, | Bus Index | Description |
|---|---|---|---|
| Case-I | 18, 32, 33 | PV only | |
| Case-II | 18, 32, 33 | Wind only | |
| Case-III | 18, 32, 33 | Both PV and Wind; share of solar RES is given by |
| Location | Complementarity Value, | Average Normalized Solar Irradiance | Average Normalized Wind Energy |
|---|---|---|---|
| A | −0.28 | 0.57 | 0.05 |
| B | −0.54 | 0.41 | 0.24 |
| C | −0.66 | 0.36 | 0.27 |
| D | −0.75 | 0.32 | 0.31 |
| Value of | Annual SPL Cost ($/h) at | |||
|---|---|---|---|---|
| A | B | C | D | |
| 1 | 146.5 | 93.8 | 75.3 | 73.3 |
| 0.9 | 139.8 | 85.7 | 70.4 | 66.4 |
| 0.8 | 87.5 | 74.4 | 64.1 | 59.8 |
| 0.7 | 76.5 | 61.5 | 46.1 | 49.8 |
| 0.6 | 54.1 | 59.1 | 42.2 | 51.4 |
| 0.5 | 46.9 | 44.7 | 31.3 | 41.4 |
| 0.4 | 32.5 | 38.1 | 28.7 | 39.0 |
| 0.3 | 26.8 | 36.4 | 32.8 | 39.9 |
| 0.2 | 20.6 | 39.7 | 32.6 | 43.4 |
| 0.1 | 20.5 | 35.8 | 27.5 | 48.8 |
| 0 | 30.3 | 33.2 | 33.1 | 56.7 |
| Month | Case-I | Case-II | Case-III | Remarks |
|---|---|---|---|---|
| = 1 | = 0 | = 0.6 | ||
| Jan | 11.7 | 129.2 | 29.6 | Wind is more abundant; |
| Feb | 16.5 | 94 | 35.9 | Excess production in Case-II; |
| Mar | 33.5 | 23.9 | 32.1 | Solar irradiance levels are increasing; |
| Apr | 109.8 | 18.7 | 54.1 | excess production and SPL cost. |
| May | 181.2 | 12.8 | 94.6 | Combined local production exceeds |
| Jun | 181.2 | 11 | 63.5 | the demand; SPL cost rises |
| Jul | 151.2 | 14.9 | 78.3 | in Case-III during summer months |
| Aug | 109.8 | 16.6 | 42.9 | due to export of excess power |
| Sep | 54.5 | 30.1 | 29.9 | SPL cost in Case-III reduces |
| Oct | 16.6 | 11.5 | 21.8 | when combined local power production |
| Nov | 19.5 | 16.6 | 12.2 | matches the demand, leading to |
| Dec | 18.6 | 16.6 | 11.6 | minimum power exchange with grid |
| Average | SPL cost in Case-III reduced by 56% | |||
| Cost | 75.3 | 33 | 42.2 | relative to Case-I; but increased by |
| 27.8% relative to Case-II (solar excess) |
| Value of | Energy Production Cost, ($/h) | Energy Exchange Cost, ($/h) | Net Cost, ($/h) | |||||||||||
|---|---|---|---|---|---|---|---|---|---|---|---|---|---|---|
| A | B | C | D | A | B | C | D | A | B | C | D | |||
| 1 | 936.8 | 953.5 | 937.4 | 951.7 | −963.3 | 427.6 | 709 | 1118.6 | −26.5 | 1381.1 | 1646.4 | 2070.3 | ||
| 0.9 | 983.5 | 999.4 | 984.6 | 999.4 | −582.7 | 475.6 | 675.4 | 951.2 | 400.8 | 1475 | 1660 | 1950.6 | ||
| 0.8 | 1030.1 | 1044.9 | 1031.9 | 1047.2 | −416.6 | 476.3 | 632 | 822.9 | 613.5 | 1521.2 | 1663.9 | 1870.1 | ||
| 0.7 | 1066.8 | 1080 | 1069.3 | 1084.9 | −78.6 | 457.8 | 520.7 | 658.8 | 988.2 | 1537.8 | 1590 | 1743.7 | ||
| 0.6 | 1123.3 | 1134.7 | 1126.7 | 1142.7 | 261.4 | 569.1 | 459.4 | 571.5 | 1384.7 | 1703.8 | 1586.1 | 1714.2 | ||
| 0.5 | 1169.6 | 1178.8 | 1174.2 | 1190.5 | 593.3 | 531.6 | 470.1 | 375.2 | 1762.9 | 1710.4 | 1644.3 | 1565.7 | ||
| 0.4 | 1215.8 | 1222.4 | 1221.7 | 1238.3 | 1201.5 | 616.1 | 480.2 | 389.5 | 2417.3 | 1838.5 | 1701.9 | 1627.8 | ||
| 0.3 | 1261.6 | 1265.2 | 1269.4 | 1286.1 | 1855.9 | 854 | 525.4 | 413.4 | 3117.5 | 2119.2 | 1794.8 | 1699.5 | ||
| 0.2 | 1306.6 | 1307.2 | 1317.1 | 1333.9 | 2359.6 | 1200.2 | 769.2 | 522.9 | 3666.2 | 2507.4 | 2086.3 | 1856.8 | ||
| 0.1 | 1349.8 | 1348.1 | 1365 | 1381.7 | 3446.9 | 1457.5 | 933.8 | 678.8 | 4796.7 | 2805.6 | 2298.8 | 2060.5 | ||
| 0 | 1385.2 | 1387.9 | 1412.9 | 1429.6 | 4281.6 | 1757.9 | 1178.3 | 798.5 | 5666.8 | 3145.8 | 2591.2 | 2228.1 | ||
| Value of | ||||
|---|---|---|---|---|
| 1 | −66.4 | 338.4 | 709 | 789.5 |
| 0.9 | −27.7 | 365.8 | 675.4 | 753.0 |
| 0.8 | −10.6 | 403.3 | 632.0 | 688.6 |
| 0.7 | 55.0 | 340.7 | 520.7 | 572.5 |
| 0.6 | 141.3 | 313.4 | 459.4 | 500.8 |
| 0.5 | 291.7 | 371.8 | 470.1 | 473.1 |
| 0.4 | 361.4 | 427.2 | 480.2 | 493.3 |
| 0.3 | 529.8 | 547.3 | 525.4 | 517.1 |
| 0.2 | 637.6 | 710.5 | 769.2 | 783.8 |
| 0.1 | 747.3 | 846.7 | 933.8 | 968.2 |
| 0 | 966.2 | 1079 | 1178 | 1206 |
© 2019 by the authors. Licensee MDPI, Basel, Switzerland. This article is an open access article distributed under the terms and conditions of the Creative Commons Attribution (CC BY) license (http://creativecommons.org/licenses/by/4.0/).
Share and Cite
Naeem, A.; Ul Hassan, N.; Yuen, C.; Muyeen, S.M. Maximizing the Economic Benefits of a Grid-Tied Microgrid Using Solar-Wind Complementarity. Energies 2019, 12, 395. https://doi.org/10.3390/en12030395
Naeem A, Ul Hassan N, Yuen C, Muyeen SM. Maximizing the Economic Benefits of a Grid-Tied Microgrid Using Solar-Wind Complementarity. Energies. 2019; 12(3):395. https://doi.org/10.3390/en12030395
Chicago/Turabian StyleNaeem, Aqsa, Naveed Ul Hassan, Chau Yuen, and S. M. Muyeen. 2019. "Maximizing the Economic Benefits of a Grid-Tied Microgrid Using Solar-Wind Complementarity" Energies 12, no. 3: 395. https://doi.org/10.3390/en12030395
APA StyleNaeem, A., Ul Hassan, N., Yuen, C., & Muyeen, S. M. (2019). Maximizing the Economic Benefits of a Grid-Tied Microgrid Using Solar-Wind Complementarity. Energies, 12(3), 395. https://doi.org/10.3390/en12030395


