Ablative Techniques for Lung Metastases: Patient Selection and Outcomes Following Treatment with Stereotactic Radiotherapy or Radiofrequency Ablation
Abstract
1. Introduction
2. Materials and Methods
2.1. Patients
2.2. Imaging Review
2.3. Statistical Analysis
3. Results
3.1. Baseline Demographics
3.2. Adverse Events
3.2.1. Local Control by Primary Site
3.2.2. Local Control with SBRT by Biologically Effective Dose (BED)
3.3. Progression-Free Survival and Overall Survival
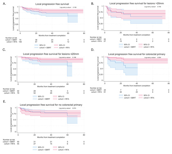
3.3.1. Local PFS
3.3.2. Progression-Free Survival
3.3.3. Overall Survival
3.3.4. Univariable and Multivariable Analysis
3.3.5. Cox Regression with Interaction Effects
4. Discussion
Supplementary Materials
Author Contributions
Funding
Institutional Review Board Statement
Informed Consent Statement
Data Availability Statement
Conflicts of Interest
References
- Pastorino, U.; Buyse, M.; Friedel, G.; Ginsberg, R.J.; Girard, P.; Goldstraw, P.; Johnston, M.; McCormack, P.; Pass, H.; Putnam, J.B., Jr.; et al. Long-Term Results of Lung Metastasectomy: Prognostic analyses based on 5206 cases. J. Thorac. Cardiovasc. Surg. 1997, 113, 37–49. [Google Scholar] [CrossRef] [PubMed]
- Treasure, T.; Farewell, V.; Macbeth, F.; Monson, K.; Williams, N.R.; Brew-Graves, C.; Lees, B.; Grigg, O.; Fallowfield, L.; PulMiCC Trial Group. Pulmonary Metastasectomy versus Continued Active Monitoring in Colorectal Cancer (PulMiCC): A multicentre randomized clinical trial. Trials 2019, 20, 718. [Google Scholar] [CrossRef] [PubMed]
- Widder, J.; Klinkenberg, T.J.; Ubbels, J.F.; Wiegman, E.M.; Groen, H.J.; Langendijk, J.A. Pulmonary oligometastases: Metastasectomy or stereotactic ablative radiotherapy? Radiother. Oncol. 2013, 107, 409–413. [Google Scholar] [CrossRef] [PubMed]
- Filippi, A.R.; Guerrera, F.; Badellino, S.; Ceccarelli, M.; Castiglione, A.; Guarneri, A.; Spadi, R.; Racca, P.; Ciccone, G.; Ricardi, U.; et al. Exploratory Analysis on Overall Survival after Either Surgery or Stereotactic Radiotherapy for Lung Oligometastases from Colorectal Cancer. Clin. Oncol. (R. Coll. Radiol.) 2016, 28, 505–512. [Google Scholar] [CrossRef]
- Palma, D.A.; Olson, R.; Harrow, S.; Gaede, S.; Louie, A.V.; Haasbeek, C.; Mulroy, L.; Lock, M.; Rodrigues, G.B.; Yaremko, B.P.; et al. Stereotactic Radiotherapy for the comprehensive treatment of oligometastatic cancers: Long term results of the SABR-COMET phase II Randomised trial. J. Clin. Oncol. 2020, 38, 2830–2838. [Google Scholar] [CrossRef]
- Gomez, D.R.; Tang, C.; Zhang, J.; Blumenschein, G.R., Jr.; Hernandez, M.; Lee, J.J.; Ye, R.; Palma, D.A.; Louie, A.V.; Camidge, D.R.; et al. Local Consolidative Therapy Vs. Maintenance Therapy or Observation for Patients With Oligometastatic Non-Small-Cell Lung Cancer: Long-Term Results of a Multi-Institutional, Phase II, Randomized Study. J. Clin. Oncol. 2019, 37, 1558–1565. [Google Scholar] [CrossRef]
- De Baère, T.; Aupérin, A.; Deschamps, F.; Chevallier, P.; Gaubert, Y.; Boige, V.; Fonck, M.; Escudier, B.; Palussiére, J. Radiofrequency ablation is a valid treatment option for lung metastases: Experience in 566 patients with 1037 metastases. Ann. Oncol. 2015, 26, 987–991. [Google Scholar] [CrossRef]
- Pennathur, A.; Abbas, G.; Qureshi, I.; Schuchert, M.J.; Wang, Y.; Gilbert, S.; Landreneau, R.J.; Luketich, J.D. Radiofrequency Ablation for the Treatment of Pulmonary Metastases. Ann. Thorac. Surg. 2009, 87, 1030–1039. [Google Scholar] [CrossRef][Green Version]
- Chua, T.C.; Sarkar, A.; Saxena, A.; Glenn, D.; Zhao, J.; Morris, D.L. Long-term outcome of image-guided percutaneous radiofrequency ablation of lung metastases: An open-labeled prospective trial of 148 patients. Ann. Oncol. 2010, 21, 2017–2022. [Google Scholar] [CrossRef]
- Akhan, O.; Guler, E.; Akinci, D.; Ciftci, T.; Kose, I.C. Radiofrequency ablation for lung tumors: Outcomes, effects on survival, and prognostic factors. Diagn. Interv. Radiol. 2015, 22, 65–71. [Google Scholar] [CrossRef]
- Fanucchi, O.; Ambrogi, M.C.; Aprile, V.; Cioni, R.; Cappelli, C.; Melfi, F.; Massimetti, G.; Mussi, A. Long-term results of percutaneous radiofrequency ablation of pulmonary metastases: A single institution experience. Interact. Cardiovasc. Thorac. Surg. 2016, 23, 57–64. [Google Scholar] [CrossRef] [PubMed]
- Gillams, A.; Khan, Z.; Osborn, P.; Lees, W. Survival after radiofrequency ablation in 122 patients with inoperable colorectal lung metastases. Cardiovasc. Interv. Radiol. 2013, 36, 724–730. [Google Scholar] [CrossRef] [PubMed]
- Okunieff, P.; Petersen, A.L.; Philip, A.; Milano, M.T.; Katz, A.W.; Boros, L.; Schell, M.C. Stereotactic Body Radiation Therapy (SBRT) for lung metastases. Acta Oncol. 2006, 45, 808–817. [Google Scholar] [CrossRef] [PubMed]
- Yoon, S.M.; Choi, E.K.; Lee, S.W.; Yi, B.Y.; Ahn, S.D.; Shin, S.S.; Park, H.J.; Kim, S.S.; Park, J.H.; Song, S.Y.; et al. Clinical results of stereotactic body frame based fractionated radiation therapy for primary or metastatic thoracic tumors. Acta Oncol. 2006, 45, 1108–1114. [Google Scholar] [CrossRef]
- Takahashi, W.; Yamashita, H.; Niibe, Y.; Shiraishi, K.; Hayakawa, K.; Nakagawa, K. Stereotactic Body Radiotherapy for Metastatic Lung Cancer as Oligo-Recurrence: An Analysis of 42 Cases. Pulm. Med. 2012, 2012, 454107. [Google Scholar] [CrossRef]
- Rusthoven, K.E.; Kavanagh, B.D.; Burri, S.H.; Chen, C.; Cardenes, H.; Chidel, M.A.; Pugh, T.J.; Kane, M.; Gaspar, L.E.; Schefter, T.E. Multi-Institutional Phase I/II Trial of Stereotactic Body Radiation Therapy for Lung Metastases. J. Clin. Oncol. 2009, 27, 1579–1584. [Google Scholar] [CrossRef]
- Dhakal, S.; Corbin, K.S.; Milano, M.T.; Philip, A.; Sahasrabudhe, D.; Jones, C.; Constine, L.S. Stereotactic body radiotherapy for pulmonary metastases from soft-tissue sarcomas: Excellent local lesion control and improved patient survival. Int. J. Radiat. Oncol. Biol. Phys. 2012, 82, 940–945. [Google Scholar] [CrossRef]
- Norihisa, Y.; Nagata, Y.; Takayama, K.; Matsuo, Y.; Sakamoto, T.; Sakamoto, M.; Mizowaki, T.; Yano, S.; Hiraoka, M. Stereotactic Body Radiotherapy for Oligometastatic Lung Tumors. Int. J. Radiat. Oncol. 2008, 72, 398–403. [Google Scholar] [CrossRef]
- Takeda, A.; Kunieda, E.; Ohashi, T.; Aoki, Y.; Koike, N.; Takeda, T. Stereotactic body radiotherapy (SBRT) for oligometastatic lung tumors from colorectal cancer and other primary cancers in comparison with primary lung cancer. Radiother. Oncol. 2011, 101, 255–259. [Google Scholar] [CrossRef]
- Ricardi, U.; Filippi, A.R.; Guarneri, A.; Ragona, R.; Mantovani, C.; Giglioli, F.; Botticella, A.; Ciammella, P.; Iftode, C.; Buffoni, L.; et al. Stereotactic body radiation therapy for lung metastases. Lung Cancer 2011, 75, 77–81. [Google Scholar] [CrossRef]
- Tanadini-Lang, S.; Rieber, J.; Filippi, A.R.; Fode, M.M.; Streblow, J.; Adebahr, S.; Andratschke, N.; Blanck, O.; Boda-Heggemann, J.; Duma, M.; et al. Nomogram based overall survival prediction in stereotactic body radiotherapy for oligo-metastatic lung disease. Radiother. Oncol. 2017, 123, 182–188. [Google Scholar] [CrossRef] [PubMed]
- Shashank, A.; Shehata, M.; Morris, D.L.; Thompson, J.F. Radiofrequency ablation in metastatic melanoma. J. Surg. Oncol. 2014, 109, 366–369. [Google Scholar] [CrossRef] [PubMed]
- Tetta, C.; Carpenzano, M.; Algargoush, A.T.J.; Algargoosh, M.; Londero, F.; Maessen, J.G.; Gelsomino, S. Non-surgical Treatments for Lung Metastases in Patients with Soft Tissue Sarcoma: Stereotactic Body Radiation Therapy (SBRT) and Radiofrequency Ablation (RFA). Curr. Med. Imaging 2021, 17, 261–275. [Google Scholar] [CrossRef] [PubMed]
- Lencioni, R.; Crocetti, L.; Cioni, R.; Suh, R.; Glenn, D.; Regge, D.; Helmberger, T.; Gillams, A.R.; Frilling, A.; Ambrogi, M.; et al. Response to radiofrequency ablation of pulmonary tumours: A prospective, intention-to-treat, multicentre clinical trial (the RAPTURE study). Lancet Oncol. 2008, 9, 621–628. [Google Scholar] [CrossRef]
- Huang, K.; Senthi, S.; Palma, D.A.; Spoelstra, F.O.; Warner, A.; Slotman, B.J.; Senan, S. High-risk CT features for detection of local recurrence after stereotactic ablative radiotherapy for lung cancer. Radiother. Oncol. 2013, 109, 51–57. [Google Scholar] [CrossRef]
- Clinical Commissioning Policy Stereotactic Ablative Radiotherapy (SABR) for Patients with Metachronous Extracranial Oligometastatic Cancer (All Ages) (URN: 1908) [200205P] NHS England. Available online: https://www.england.nhs.uk/wp-content/uploads/2020/03/1908-cc-policy-sbar-for-metachronous-extracranial-oligometastatic-cancer.pdf (accessed on 1 November 2023).
- Aznar, M.C.; Warren, S.; Hoogeman, M.; Josipovic, M. The impact of technology on the changing practice of lung SBRT. In Physica Medica; Associazione Italiana di Fisica Medica: Amsterdam, The Netherlands, 2018; Volume 47, pp. 129–138. [Google Scholar] [CrossRef]
- Owen, D.; Olivier, K.R.; Mayo, C.S.; Miller, R.C.; Nelson, K.; Bauer, H.; Brown, P.D.; Park, S.S.; Ma, D.J.; Garces, Y.I. Outcomes of Stereotactic Body Radiotherapy (SBRT) treatment of multiple synchronous and recurrent lung nodules. Radiat. Oncol. 2015, 10, 43. [Google Scholar] [CrossRef]
- Milano, M.T.; Philip, A.; Okunieff, P. Analysis of Patients With Oligometastases Undergoing Two or More Curative-Intent Stereotactic Radiotherapy Courses. Int. J. Radiat. Oncol. Biol. Phys. 2009, 73, 832–837. [Google Scholar] [CrossRef]
- Sumodhee, S.; Bondiau, P.-Y.; Poudenx, M.; Cohen, C.; Naghavi, A.O.; Padovani, B.; Maneval, D.; Gal, J.; Leysalle, A.; Ghalloussi, H.; et al. Long term efficacy and toxicity after stereotactic ablative reirradiation in locally relapsed stage III non-small cell lung cancer. BMC Cancer 2019, 19, 305. [Google Scholar] [CrossRef]
- Peulen, H.; Karlsson, K.; Lindberg, K.; Tullgren, O.; Baumann, P.; Lax, I.; Lewensohn, R.; Wersäll, P. Toxicity after reirradiation of pulmonary tumours with stereotactic body radiotherapy. Radiother. Oncol. 2011, 101, 260–266. [Google Scholar] [CrossRef]
- Caivano, D.; Valeriani, M.; de Matteis, S.; Bonome, P.; Russo, I.; de Sanctis, V.; Minniti, G.; Osti, M.F. Re-irradiation in lung disease by SBRT: A retrospective, single institutional study. Radiat. Oncol. 2018, 13, 87. [Google Scholar] [CrossRef]
- Cao, C.; Wang, D.; Tian, D.H.; Wilson-Smith, A.; Huang, J.; Rimner, A. A systematic review and meta analysis of stereotactic body radiation therapy for colorectal pulmonary metastases. J. Thorac. Dis. 2019, 11, 5187–5198. [Google Scholar] [CrossRef] [PubMed]
- Klement, R.J. Radiobiological parameters of liver and lung metastases derived from tumor control data of 3719 metastases. Radiother. Oncol. 2017, 123, 218–226. [Google Scholar] [CrossRef] [PubMed]
- Stinauer, M.A.; Kavanagh, B.D.; Schefter, T.E.; Gonzalez, R.; Flaig, T.; Lewis, K.; Robinson, W.; Chidel, M.; Glode, M.; Raben, D. Stereotactic body radiation therapy for melanoma and renal cell carcinoma: Impact of single fraction equivalent dose on local control. Radiat. Oncol. 2011, 6, 34. [Google Scholar] [CrossRef] [PubMed]
- Das, A.; Giuliani, M.; Bezjak, A. Radiotherapy for Lung Metastases: Conventional to Stereotactic Body Radiation Therapy. Semin. Radiat. Oncol. 2023, 33, 172–180. [Google Scholar] [CrossRef]
- Hoerner-Rieber, J.; Duma, M.; Blanck, O.; Hildebrandt, G.; Wittig, A.; Lohaus, F.; Flentje, M.; Mantel, F.; Krempien, R.; Eble, M.J.; et al. Stereotactic body radiotherapy (SBRT) for pulmonary metastases from renal cell carcinoma-a multicenter analysis of the German working group “Stereotactic Radiotherapy”. J. Thorac. Dis. 2017, 9, 4512–4522. [Google Scholar] [CrossRef]
- Kobayashi, N.; Abe, T.; Noda, S.E.; Kumazaki, Y.U.; Hirai, R.; Igari, M.; Aoshika, T.; Saito, S.; Ryuno, Y.; Kato, S. Stereotactic Body Radiotherapy for Pulmonary Oligometastasis from Colorectal Cancer. Vivo 2020, 34, 2991–2996. [Google Scholar] [CrossRef]
- Lee, T.H.; Kang, H.C.; Chie, E.K.; Kim, H.J.; Wu, H.G.; Lee, J.H.; Kim, K.S. Stereotactic Body Radiation Therapy for Pulmonary Metastasis from Colorectal Adenocarcinoma: Biologically Effective Dose 150 Gy is Preferred for Tumour Control. Clin. Oncol. (R. Coll. Radiol.) 2023, 35, e384–e394. [Google Scholar] [CrossRef]
- Nyati, M.K.; Morgan, M.A.; Feng, F.Y.; Lawrence, T.S. Integration of EGFR inhibitors with radiochemotherapy. Nat. Rev. Cancer 2006, 6, 876–885. [Google Scholar] [CrossRef]
- Mardjuadi, F.I.; Carrasco, J.; Coche, J.C.; Sempoux, C.; Jouret-Mourin, A.; Scalliet, P.; Goeminne, J.C.; Daisne, J.F.; Delaunoit, T.; Vuylsteke, P.; et al. Panitumumab as a radiosensitizing agent in KRAS wild-type locally advanced rectal cancer. Target. Oncol. 2015, 10, 375–383. [Google Scholar] [CrossRef]
- Gupta, A.K.; Bakanauskas, V.J.; Cerniglia, G.J.; Cheng, Y.; Bernhard, E.J.; Muschel, R.J.; Gillies Mckenna, W. The Ras Radiation Resistance Pathway 1. Cancer Res. 2001, 61, 4278–4282. [Google Scholar]
- Kuo, Y.-C.; Lin, W.-C.; Chiang, I.-T.; Chang, Y.-F.; Chen, C.-W.; Su, S.-H.; Chen, C.-L.; Hwang, J.-J. Sorafenib sensitizes human colorectal carcinoma to radiation via suppression of NF-κB expression in vitro and in vivo. Biomed. Pharmacother. 2012, 66, 12–20. [Google Scholar] [CrossRef] [PubMed]
- McKenna, W.G.; Muschel, R.J.; Gupta, A.; Hahn, S.; Bernhard, E.J. Signaling inhibition with radiation in colorectal cancer: Clinical trials. Semin. Oncol. 2003, 30 (Suppl. S6), 56–67. [Google Scholar] [CrossRef] [PubMed]





| SBRT | RFA | p-Value | |
|---|---|---|---|
| Total number of patients | 70 | 106 | p = 0.365 |
| Median follow-up (months) | 29.7 | 32.2 | p = 0.551 |
| Male | 44 (63.4%) | 53 (50%) | p = 0.093 |
| Female | 26 (36.6%) | 53 (50%) | |
| Median age (years, IQR) | 70.5 (60.0, 78.0) | 65 (52.9, 72.6) | p = 0.018 * |
| Oligometastatic disease | 64 (91.4%) | 20 (20%) | p < 0.001 * |
| ECOG PS ≤ 2 | 70 (100%) | 105 (99%) | p = 0.431 |
| Median tumour size (IQR) | 18.0 (13.0, 25.5) | 11.0 (8, 20) | p < 0.001 * |
| Number of lesions treated per episode (median, range) | 1 (1–2) | 1 (1–3) | |
| More than one lesion treated simultaneously | 9 (12.9%) | 29 (27.4%) | p = 0.022 * |
| Prior systemic therapy | 39 (55.7%) | 76 (76%) | p = 0.005 * |
| Further systemic therapy | 35 (51.4%) | 72 (72%) | p = 0.003 * |
Disclaimer/Publisher’s Note: The statements, opinions and data contained in all publications are solely those of the individual author(s) and contributor(s) and not of MDPI and/or the editor(s). MDPI and/or the editor(s) disclaim responsibility for any injury to people or property resulting from any ideas, methods, instructions or products referred to in the content. |
© 2025 by the authors. Licensee MDPI, Basel, Switzerland. This article is an open access article distributed under the terms and conditions of the Creative Commons Attribution (CC BY) license (https://creativecommons.org/licenses/by/4.0/).
Share and Cite
Pang, J.W.S.; Tong, D.; Fotiadis, N.; Satchwell, L.; Rajan, Z.; Emarah, M.; Taylor, H.; Bashir, U.; Ap Dafydd, D.; McCall, J.; et al. Ablative Techniques for Lung Metastases: Patient Selection and Outcomes Following Treatment with Stereotactic Radiotherapy or Radiofrequency Ablation. Curr. Oncol. 2025, 32, 303. https://doi.org/10.3390/curroncol32060303
Pang JWS, Tong D, Fotiadis N, Satchwell L, Rajan Z, Emarah M, Taylor H, Bashir U, Ap Dafydd D, McCall J, et al. Ablative Techniques for Lung Metastases: Patient Selection and Outcomes Following Treatment with Stereotactic Radiotherapy or Radiofrequency Ablation. Current Oncology. 2025; 32(6):303. https://doi.org/10.3390/curroncol32060303
Chicago/Turabian StylePang, Jennifer W. S., Daniel Tong, Nicos Fotiadis, Laura Satchwell, Zayn Rajan, Mohammad Emarah, Helen Taylor, Usman Bashir, Derfel Ap Dafydd, James McCall, and et al. 2025. "Ablative Techniques for Lung Metastases: Patient Selection and Outcomes Following Treatment with Stereotactic Radiotherapy or Radiofrequency Ablation" Current Oncology 32, no. 6: 303. https://doi.org/10.3390/curroncol32060303
APA StylePang, J. W. S., Tong, D., Fotiadis, N., Satchwell, L., Rajan, Z., Emarah, M., Taylor, H., Bashir, U., Ap Dafydd, D., McCall, J., Cunningham, D., & Ahmed, M. (2025). Ablative Techniques for Lung Metastases: Patient Selection and Outcomes Following Treatment with Stereotactic Radiotherapy or Radiofrequency Ablation. Current Oncology, 32(6), 303. https://doi.org/10.3390/curroncol32060303

