Do the Lower Body Strength Assessment Tests in the Spanish Navy Really Measure What They Purport to Measure?
Abstract
1. Introduction
2. Materials and Methods
2.1. Study Design and Participants
2.2. Assessment
- 50 m race. The race is started from a standing position and without hand support, from a defined line on the ground. At the “Go” signal, the stopwatch is started, and the athlete starts running and continues until the finish line is crossed, at which point the stopwatch is stopped. Time is recorded in seconds to the nearest tenth of a second.
- Vertical jump. A vertical jump is performed by flexion-extension of the legs, starting from a standing position. An initial baseline measurement is taken, for which the individual stands next to a wall with their feet shoulder width apart, and both arms are raised to a vertical position whilst keeping the position of the shoulders horizontal. The initial reading is the highest point marked at this position by the fingertips, which have been previously dipped into climbing chalk. Next, a vertical jump is made, and at the highest point, the participant tries to make a mark on the ruled surface of the wall with the tips of their fingers. They have two attempts. Height is recorded in centimetres.
2.3. Procedure
2.4. Statistical Analysis
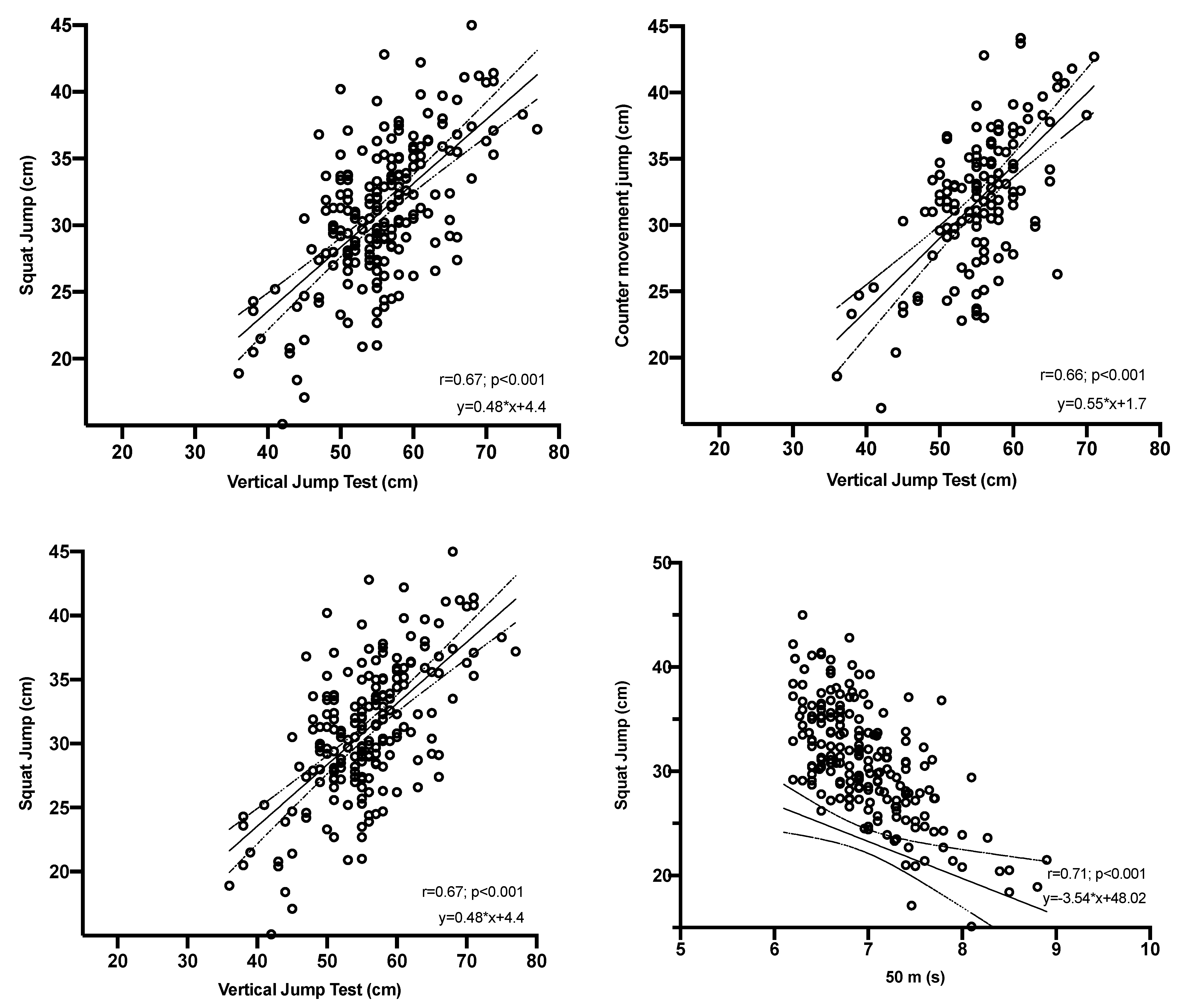
3. Results
4. Discussion
5. Conclusions
Author Contributions
Funding
Institutional Review Board Statement
Informed Consent Statement
Data Availability Statement
Acknowledgments
Conflicts of Interest
References
- Hollander, I.E.; Bell, N.S. Physically demanding jobs and occupational injury and disability in the U.S. army. Mil. Med. 2010, 175, 705–712. [Google Scholar] [CrossRef] [PubMed]
- Lincoln, A.E.; Smith, G.S.; Amoroso, P.J.; Bell, N.S. The natural history and risk factors of musculoskeletal conditions resulting in disability among US Army personnel. Work 2002, 18, 99–113. [Google Scholar] [PubMed]
- Bergeron, M.F.; Nindl, B.C.; Deuster, P.A.; Baumgartner, N.; Kane, S.F.; Kraemer, W.J.; Sexauer, L.R.; Thompson, W.R.; O’Connor, F.G. Consortium for Health and Military Performance and American College of Sports Medicine Consensus Paper on Extreme Conditioning Programs in Military Personnel. Curr. Sports Med. Rep. 2011, 10, 383–389. [Google Scholar] [CrossRef]
- Hendrickson, N.R.; Sharp, M.A.; Alemany, J.A.; Walker, L.A.; Harman, E.A.; Spiering, B.A.; Hatfield, D.L.; Yamamoto, L.M.; Maresh, C.M.; Kraemer, W.J.; et al. Combined resistance and endurance training improves physical capacity and performance on tactical occupational tasks. Eur. J. Appl. Physiol. 2010, 109, 1197–1208. [Google Scholar] [CrossRef]
- Hootman, J.; Macera, C.; Ainswort, B.; Martin, M.; Addy, C.; Blair, S. Association among Physical Activity Level, Cardiorespiratory Fitness, and Risk of Musculoskeletal Injury. Am. J. Epidemiol. 2001, 154, 251–258. [Google Scholar] [CrossRef]
- Nindl, B.; Barnes, B.; Alemany, J.; Frykman, P.; Shippee, R.; Friedl, K. Physiological Consequences of U.S. Army Ranger Training. Med. Sci. Sports Exerc. 2007, 39, 1380–1387. [Google Scholar] [CrossRef] [PubMed]
- Friedl, K.E.; Knapik, J.J.; Häkkinen, K.; Baumgartner, N.; Groeller, H.; Taylor, N.A.S.; Duarte, A.F.A.; Kyröläinen, H.; Jones, B.H.; Kraemer, W.J.; et al. Perspectives on Aerobic and Strength Influences on Military Physical Readiness. J. Strength Cond. Res. 2015, 29, S10–S23. [Google Scholar] [CrossRef] [PubMed]
- Jones, B.; Cowan, B.; Tomlinson, J.; Robinson, J.; Polly, D.; Frikman, P. Epidemiology of injuries associated with physical training among young men in the army. Med. Sci. Sports Exerc. 1993, 25, 197–203. [Google Scholar] [CrossRef]
- Knapik, J.; Sharp, M.; Canham-Chervak, M.; Hauret, K.; Patton, J.; Jones, B. Risk factors for training-related injuries among men and women in basic combat training. Med. Sci. Sports Exerc. 2001, 33, 946–954. [Google Scholar] [CrossRef]
- Nikolaidis, P.T.; Papaioannou, K.G.; Rosemann, T.; Knechtle, B. Exercise Testing of Muscle Strength in Military. Mil. Med. 2019, 184, e426–e430. [Google Scholar] [CrossRef]
- Pihlainen, K.; Santtila, M.; Hakkinen, K.; Kyrolainen, H. Associations of physical fitness and body composition characteristics with simulated military task performance. J. Strength Cond. Res. 2018, 32, 1089–1098. [Google Scholar] [CrossRef] [PubMed]
- Moreno, M.R.; Dulla, J.M.; Dawes, J.J.; Orr, R.M.; Cesario, A.; Lockie, R.G. Lower-body power and its relationship with body drag velocity in law enforcement recruits. Int. J. Exerc. Sci. 2019, 12, 847–858. [Google Scholar]
- Lockie, R.G.; Dawes, J.J.; Balfany, K.; Gonzales, C.E.; Beitzel, M.M.; Dulla, J.M.; Orr, R.M. Physical fitness characteristics that relate to Work Sample Test Battery performance in law enforcement recruits. Int. J. Environ. Res. Public Health 2018, 15, 2477. [Google Scholar] [CrossRef] [PubMed]
- Liebermann, D.G.; Katz, L. On the assessment of lower-limb muscular power capability. Isokinet. Exerc. Sci. 2013, 11, 87–94. [Google Scholar] [CrossRef]
- Merrigan, J.J.; Stone, J.D.; Thompson, A.G.; Hornsby, W.G.; Hagen, J.A. Monitoring Neuromuscular Performance in Military Personnel. Int. J. Environ. Res. Public Health 2020, 17, 9147. [Google Scholar] [CrossRef] [PubMed]
- Vantarakis, A.; Chatzinikolaou, A.; Avloniti, A.; Vezos, N.; Douroudos, I.I.; Draganidis, D.; Jamurtas, A.Z.; Kambas, A.; Kalligeros, S.; Fatouros, I.G. A 2-Month Linear Periodized Resistance Exercise Training Improved Musculoskeletal Fitness and Specific Conditioning of Navy Cadets. J. Strength Cond. Res. 2017, 31, 1362–1370. [Google Scholar] [CrossRef]
- Aandstad, A. Association Between Performance in Muscle Fitness Field Tests and Skeletal Muscle Mass in Soldiers. Mil. Med. 2020, 185, e839–e846. [Google Scholar] [CrossRef]
- Ross, W.D.; Marfell-Jones, M.J. Cineantropometría. In Evaluación Fisiológica del Deportista; Macdougall, D.J., Wenger, H.A., Eds.; Paidotripo: Barcelona, Spain, 2013. [Google Scholar]
- MADOC España. Manual del Sistema de Evaluación Física Individual del Ejército de Tierra; MV3-101; MADOC España: Madrid, Spain, 2010. [Google Scholar]
- Hinkle, D.; Wiersma, W.; Jurs, S. Applied Statistics for the Behavioral Sciences, 5th ed.; Mass Houghton Mifflin: Boston, MA, USA, 2003. [Google Scholar]
- Vieira, A.; Blazevich, A.J.; da Costa, A.S.; Tufano, J.J.; Bottaro, M. Validity and Test-retest Reliability of the Jumpo App for Jump Performance Measurement. Int. J. Exerc. Sci. 2021, 14, 677–686. [Google Scholar]
- Hauschild, V.D.; DeGroot, D.W.; Hall, S.M.; Grier, T.L.; Deaver, K.D.; Hauret, K.G.; Jones, B.H. Fitness tests and occupational tasks of military interest: A systematic review of correlations. Occup. Environ. Med. 2017, 74, 144–153. [Google Scholar] [CrossRef]
- Balsalobre-Fernández, C.; Glaister, M.; Lockey, R.A. The validity and reliability of an iPhone app for measuring vertical jump performance. J. Sports Sci. 2015, 33, 1574–1579. [Google Scholar] [CrossRef]
- Brooks, E.R.; Benson, A.C.; Bruce, L.M. Novel Technologies Found to be Valid and Reliable for the Measurement of Vertical Jump Height with Jump-and-Reach Testing. J. Strength Cond. Res. 2018, 32, 2838–2845. [Google Scholar] [CrossRef] [PubMed]
- Heebner, N.R.; Abt, J.P.; Lovalekar, M.; Beals, K.; Sell, T.C.; Morgan, J.; Kane, S.; Lephart, S. Physical and Performance Characteristics Related to Unintentional Musculoskeletal Injury in Special Forces Operators: A Prospective Analysis. J. Athl. Train. 2017, 52, 1153–1160. [Google Scholar] [CrossRef] [PubMed]



| Men (n = 813) | Women (n = 92) | ||||||||||
|---|---|---|---|---|---|---|---|---|---|---|---|
| Mean | SD | Median | Min | Max | Mean | SD | Median | Min | Max | p | |
| Age (years) | 21.22 | 2.92 | 21.00 | 17.00 | 37.00 | 21.90 | 4.27 | 21.00 | 18.00 | 36.00 | 0.178 |
| Body mass (kg) | 73.89 | 8.68 | 72.40 | 56.00 | 104.60 | 60.65 | 5.86 | 60.10 | 50.10 | 73.20 | <0.001 |
| Height (cm) | 177.14 | 67.3 | 177.00 | 161.00 | 198.00 | 165.37 | 4.93 | 165.00 | 157.00 | 178.00 | <0.001 |
| FFM (kg) | 60.28 | 5.93 | 59.50 | 45.70 | 87.00 | 44.77 | 3.03 | 45.00 | 40.00 | 51.60 | <0.001 |
| FM (kg) | 10.44 | 3.98 | 9.90 | 2.90 | 25.60 | 13.48 | 3.87 | 12.90 | 5.90 | 21.70 | <0.001 |
| BM (kg) | 3.16 | 0.29 | 3.10 | 2.50 | 4.40 | 2.40 | 0.15 | 2.40 | 2.20 | 2.80 | <0.001 |
| TBW (kg) | 46.51 | 4.21 | 46.10 | 36.00 | 66.20 | 34.08 | 2.34 | 34.20 | 30.40 | 39.10 | <0.001 |
| ICF (kg) | 28.55 | 2.90 | 28.20 | 21.30 | 42.30 | 20.33 | 1.44 | 20.50 | 17.80 | 23.70 | <0.001 |
| BMI (kg/m2) | 23.52 | 2.11 | 23.50 | 18.30 | 31.20 | 22.21 | 2.29 | 22.00 | 18.40 | 28.20 | <0.001 |
| SMI (cm2/m2) | 31.86 | 4.30 | 31.38 | 22.68 | 49.38 | 21.07 | 2.59 | 21.37 | 16.46 | 26.41 | <0.001 |
| Men (n = 813) | Women (n = 92) | ||||||
|---|---|---|---|---|---|---|---|
| Mean | SD | Median | Mean | SD | Median | p | |
| Vertical Jump test (cm) | 56.81 | 6.11 | 56.00 | 44.65 | 5.13 | 44.00 | <0.001 |
| 50 m (s) | 6.92 | 0.38 | 6.90 | 8.00 | 0.45 | 8.00 | <0.001 |
| SJ (cm) | 31.97 | 4.75 | 31.90 | 23.10 | 3.45 | 23.60 | <0.001 |
| CMJ (cm) | 32.94 | 4.68 | 32.85 | 23.53 | 3.76 | 24.30 | <0.001 |
Disclaimer/Publisher’s Note: The statements, opinions and data contained in all publications are solely those of the individual author(s) and contributor(s) and not of MDPI and/or the editor(s). MDPI and/or the editor(s) disclaim responsibility for any injury to people or property resulting from any ideas, methods, instructions or products referred to in the content. |
© 2022 by the authors. Licensee MDPI, Basel, Switzerland. This article is an open access article distributed under the terms and conditions of the Creative Commons Attribution (CC BY) license (https://creativecommons.org/licenses/by/4.0/).
Share and Cite
Vila, M.H.; de Oliveira, I.M.; Burgos-Martos, F.J.; Martín-Pinadero, A.; Mollinedo-Cardalda, I.; Cancela-Carral, J.M. Do the Lower Body Strength Assessment Tests in the Spanish Navy Really Measure What They Purport to Measure? Int. J. Environ. Res. Public Health 2023, 20, 49. https://doi.org/10.3390/ijerph20010049
Vila MH, de Oliveira IM, Burgos-Martos FJ, Martín-Pinadero A, Mollinedo-Cardalda I, Cancela-Carral JM. Do the Lower Body Strength Assessment Tests in the Spanish Navy Really Measure What They Purport to Measure? International Journal of Environmental Research and Public Health. 2023; 20(1):49. https://doi.org/10.3390/ijerph20010049
Chicago/Turabian StyleVila, Mª Helena, Iris M. de Oliveira, Francisco J. Burgos-Martos, Angel Martín-Pinadero, Irimia Mollinedo-Cardalda, and José M. Cancela-Carral. 2023. "Do the Lower Body Strength Assessment Tests in the Spanish Navy Really Measure What They Purport to Measure?" International Journal of Environmental Research and Public Health 20, no. 1: 49. https://doi.org/10.3390/ijerph20010049
APA StyleVila, M. H., de Oliveira, I. M., Burgos-Martos, F. J., Martín-Pinadero, A., Mollinedo-Cardalda, I., & Cancela-Carral, J. M. (2023). Do the Lower Body Strength Assessment Tests in the Spanish Navy Really Measure What They Purport to Measure? International Journal of Environmental Research and Public Health, 20(1), 49. https://doi.org/10.3390/ijerph20010049

