Gender and Age Differences in Performance of Over 70,000 Chinese Finishers in the Half- and Full-Marathon Events
Abstract
:1. Introduction
2. Materials and Methods
2.1. Participants and Data Acquisition
2.2. Procedures
2.3. Statistical Analysis
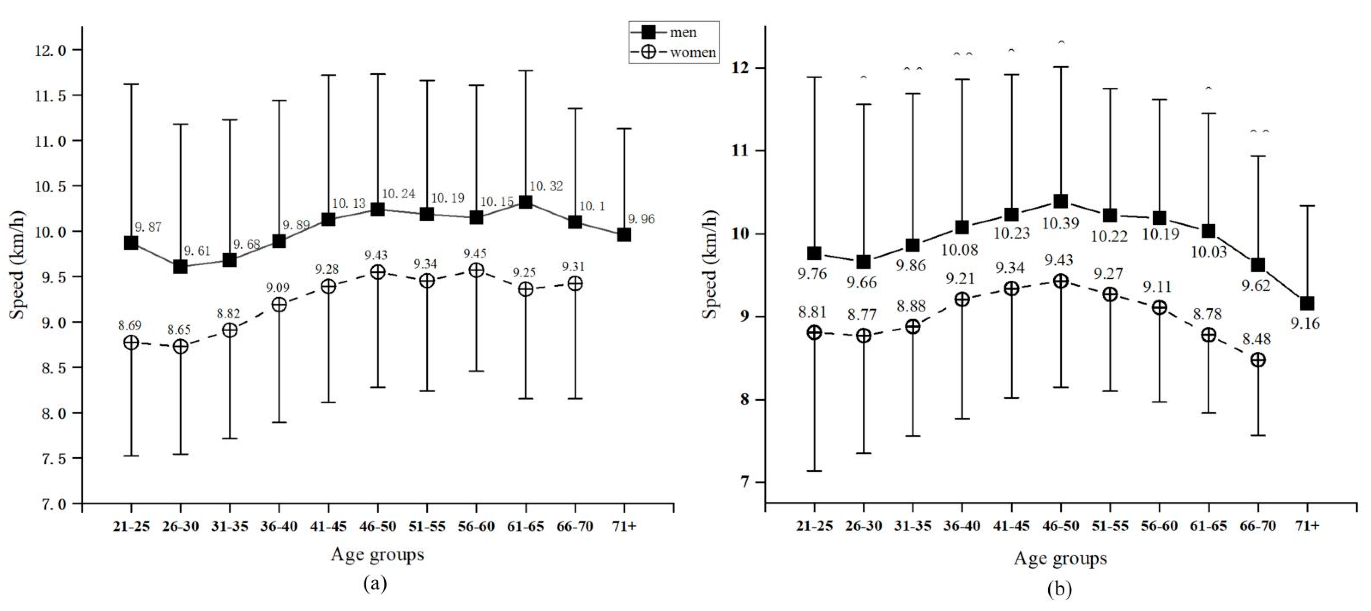
3. Results
3.1. Participation by Gender, Race Distance, and Age Group
3.2. Performance (Average Running Speed)
3.2.1. Overall Effects
3.2.2. Performance by Gender and Race Distance
3.2.3. Performance by Age Group and Race Distance
3.2.4. Performance by Gender and Age Group
4. Discussion
5. Conclusions
Author Contributions
Funding
Institutional Review Board Statement
Informed Consent Statement
Data Availability Statement
Conflicts of Interest
References
- Ren, Z.; Zuo, Y.; Ma, Y.; Zhang, M.; Smith, L.; Yang, L.; Loprinzi, P.D.; Yu, Q.; Zou, L. The Natural Environmental Factors Influencing the Spatial Distribution of Marathon Event: A Case Study from China. Int. J. Environ. Res. Public Health 2020, 17, 2238. [Google Scholar] [CrossRef] [PubMed] [Green Version]
 - Guicciardi, M.; Carta, M.; Pau, M.; Cocco, E. The Relationships between Physical Activity, Self-Efficacy, and Quality of Life in People with Multiple Sclerosis. Behav. Sci. 2019, 9, 121. [Google Scholar] [CrossRef] [PubMed] [Green Version]
 - Knechtle, B.; Knechtle, P.; Rosemann, T.; Senn, O. Sex differences in association of race performance, skin-fold thicknesses, and training variables for recreational half-marathon runners. Percept. Mot. Ski. 2010, 111, 653–668. [Google Scholar] [CrossRef] [PubMed]
 - Hennig, E.M. Eighteen years of running shoe testing in Germany—A series of biomechanical studies. Footwear Sci. 2011, 3, 71–81. [Google Scholar] [CrossRef]
 - Statistics, R.M. Marathon Statistics 2019 Worldwide. Available online: https://runrepeat.com/research-marathon-performance-across-nations (accessed on 7 March 2020).
 - Zuo, Y.; Zou, L.; Zhang, M.; Smith, L.; Yang, L.; Loprinzi, P.D.; Ren, Z. The temporal and spatial evolution of marathons in China from 2010 to 2018. Int. J. Environ. Res. Public Health 2019, 16, 5046. [Google Scholar] [CrossRef] [Green Version]
 - Xing, X.; Zhang, R.; Taks, M. The effects of health, social, and consumption capital on running-related expenditures in China. Eur. Sport Manag. Q. 2020, 22, 1–21. [Google Scholar] [CrossRef]
 - Trudeau, M.B.; Willwacher, S.; Weir, G.; Rohr, E.; Ertel, C.; Bruggemann, G.-P.; Hamill, J. A novel method for estimating an individual’s deviation from their habitual motion path when running. Footwear Sci. 2019, 11, 135–145. [Google Scholar] [CrossRef]
 - De Koning, J.J.; Foster, C.; Bakkum, A.; Kloppenburg, S.; Thiel, C.; Joseph, T.; Cohen, J.; Porcari, J.P. Regulation of pacing strategy during athletic competition. PLoS ONE 2011, 6, e15863. [Google Scholar] [CrossRef]
 - Cuk, I.; Nikolaidis, P.T.; Villiger, E.; Knechtle, B. Pacing in Long-Distance Running: Sex and Age Differences in 10-km Race and Marathon. Medicina 2021, 57, 389. [Google Scholar] [CrossRef]
 - Isherwood, J.; Wang, H.; Sterzing, T. Running biomechanics and running shoe perception of Chinese men and women. Footwear Sci. 2020, 13, 1–13. [Google Scholar] [CrossRef]
 - Lilley, K.; Dixon, S.; Stiles, V. A biomechanical comparison of the running gait of mature and young females. Gait Posture 2011, 33, 496–500. [Google Scholar] [CrossRef] [PubMed]
 - Sinclair, J.; Selfe, J. Sex differences in knee loading in recreational runners. J. Biomech. 2015, 48, 2171–2175. [Google Scholar] [CrossRef] [PubMed] [Green Version]
 - Davis, I.S.; Bowser, B.J.; Mullineaux, D.R. Greater vertical impact loading in female runners with medically diagnosed injuries: A prospective investigation. Br. J. Sports Med. 2016, 50, 887–892. [Google Scholar] [CrossRef] [PubMed]
 - Nikolaidis, P.T.; Rosemann, T.; Knechtle, B. Sex differences in the age of peak marathon race time. Chin. J. Physiol. 2018, 61, 85–91. [Google Scholar] [CrossRef] [PubMed]
 - Jokl, P.; Sethi, P.; Cooper, A. Master’s performance in the New York City marathon 1983–1999. Br. J. Sports Med. 2004, 38, 408–412. [Google Scholar] [CrossRef] [PubMed]
 - Schneider, A.L.; Nikolaidis, P.T.; Knechtle, B. Improved performance in master runners competing in the european championships between 1978 and 2014. J. Strength Cond. Res. 2019, 33, 2559–2569. [Google Scholar] [CrossRef] [Green Version]
 - Cuk, I.; Nikolaidis, P.T.; Knechtle, B. Sex differences in pacing during half-marathon and marathon race. Res. Sports Med. 2020, 28, 111–120. [Google Scholar] [CrossRef]
 - Knechtle, B.; Barandun, U.; Knechtle, P.; Zingg, M.A.; Rosemann, T.; Rüst, C.A. Prediction of half-marathon race time in recreational female and male runners. Springerplus 2014, 3, 248. [Google Scholar] [CrossRef] [Green Version]
 - March, D.S.; Vanderburgh, P.M.; Titlebaum, P.J.; Hoops, M.L. Age, sex, and finish time as determinants of pacing in the marathon. J. Strength Cond. Res. 2011, 25, 386–391. [Google Scholar] [CrossRef] [Green Version]
 - Breen, D.; Norris, M.; Healy, R.; Anderson, R. Marathon pace control in masters athletes. Int. J. Sports Physiol. Perform. 2018, 13, 332–338. [Google Scholar] [CrossRef] [Green Version]
 - Nikolaidis, P.T.; Knechtle, B. Pacing in age group marathoners in the “New York City Marathon”. Res. Sports Med. 2018, 26, 86–99. [Google Scholar] [CrossRef] [PubMed] [Green Version]
 - Nikolaidis, P.T.; Knechtle, B. Pacing strategies in the ‘Athens classic marathon’: Physiological and psychological aspects. Front. Physiol. 2018, 9, 1539. [Google Scholar] [CrossRef]
 - Hennig, E. Gender differences for running in athletic footwear. In Proceedings of the 5th Symposium on Footwear Biomechanics, Zurich, Switzerland, 5–7 July 2001. [Google Scholar]
 - Sinclair, J.; Greenhalgh, A.; Edmundson, C.J.; Brooks, D.; Hobbs, S.J. Gender differences in the kinetics and kinematics of distance running: Implications for footwear design. Int. J. Sports Sci. Eng. 2012, 6, 118–128. [Google Scholar]
 - Hangzhou Marathon Result Inquiry. Available online: http://en.hzim.org/p/hzim/match/queryresult.jsf (accessed on 4 May 2020).
 - Nikolaidis, P.T.; Cuk, I.; Rosemann, T.; Knechtle, B. Performance and Pacing of Age Groups in Half-Marathon and Marathon. Int. J. Environ. Res. Public Health 2019, 16, 1777. [Google Scholar] [CrossRef] [PubMed] [Green Version]
 - Nikolaidis, P.T.; Cuk, I.; Clemente-Suarez, V.J.; Villiger, E.; Knechtle, B. Number of finishers and performance of age group women and men in long-distance running: Comparison among 10 km, half-marathon and marathon races in Oslo. Res. Sports Med. 2021, 29, 56–66. [Google Scholar] [CrossRef] [PubMed]
 - Cuk, I.; Nikolaidis, P.T.; Markovic, S.; Knechtle, B. Age Differences in Pacing in Endurance Running: Comparison between Marathon and Half-MarathonMen and Women. Medicina 2019, 55, 479. [Google Scholar] [CrossRef] [PubMed] [Green Version]
 - Tian, H.B.; Qiu, Y.J.; Lin, Y.Q.; Zhou, W.T.; Fan, C.Y. The Role of Leisure Satisfaction in Serious Leisure and Subjective Well-Being: Evidence from Chinese Marathon Runners. Front. Psychol. 2020, 11, 581908. [Google Scholar] [CrossRef]
 - García-Naveira, A.; Barquín, R.R.; Pujals, C. Personality differences according to participation in or abstention from sport, competition level and age category in football players based on Costa and McCraes´ s Model. Rev. De Psicol. Del Deporte 2011, 20, 29–44. [Google Scholar]
 - Anthony, D.; Rüst, C.A.; Cribari, M.; Rosemann, T.; Lepers, R.; Knechtle, B. Differences in participation and performance trends in age group half and full marathoners. Chin. J. Physiol. 2014, 57, 209–219. [Google Scholar] [CrossRef]
 - Bairan, L. Research on Current Situation and Development Path of Marathon Events in Hubei Province. J. Sports Sci. 2019, 7, 65–70. [Google Scholar] [CrossRef]
 - Del Coso, J.; Fernández, D.; Abián-Vicen, J.; Salinero, J.J.; González-Millán, C.; Areces, F.; Ruiz, D.; Gallo, C.; Calleja-González, J.; Pérez-González, B. Running pace decrease during a marathon is positively related to blood markers of muscle damage. PLoS ONE 2013, 8, e57602. [Google Scholar] [CrossRef]
 - Buman, M.P.; Omli, J.W.; Giacobbi, P.R., Jr.; Brewer, B.W. Experiences and coping responses of “hitting the wall” for recreational marathon runners. J. Appl. Sport Psychol. 2008, 20, 282–300. [Google Scholar] [CrossRef]
 - Hoffman, M.D.; Wegelin, J.A. The Western States 100-mile endurance run: Participation and performance trends. Med. Sci. Sports Exerc. 2009, 41, 2191. [Google Scholar] [CrossRef] [PubMed] [Green Version]
 - Knechtle, B.; Knechtle, P.; Lepers, R. Participation and performance trends in ultra-triathlons from 1985 to 2009. Scand. J. Med. Sci. Sports 2011, 21, e82–e90. [Google Scholar] [CrossRef] [PubMed] [Green Version]
 - Vitti, A.; Nikolaidis, P.T.; Villiger, E.; Onywera, V.; Knechtle, B. The “New York City Marathon”: Participation and performance trends of 1.2 M runners during half-century. Res. Sports Med. 2020, 28, 121–137. [Google Scholar] [CrossRef] [PubMed]
 - Miller, A.E.; MacDougall, J.D.; Tarnopolsky, M.A.; Sale, D.G. Gender diferences in strength and muscle fber characteristics. Eur. J. Appl. Physiol. Occup. Physiol. 1993, 66, 254–262. [Google Scholar] [CrossRef]
 - Welle, S.; Tawil, R.; Thornton, C.A. Sex-related diferences in gene expression in human skeletal muscle. PLoS ONE 2008, 3, e1385. [Google Scholar] [CrossRef] [Green Version]
 - Maldonado-Martin, S.; Mujika, I.; Padilla, S. Physiological variables to use in the gender comparison in highly trained runners. J. Sports Med. Phys. Fit. 2004, 44, 8–14. [Google Scholar]
 - Besson, T.; Macchi, R.; Rossi, J.; Morio, C.; Kunimasa, Y.; Nicol, C.; Vercruyssen, F.; Millet, G.Y. Sex Differences in Endurance Running. Sports Med. 2022, 52, 1235–1257. [Google Scholar] [CrossRef]
 - Leyk, D.; Erley, O.; Ridder, D.; Leurs, M.; Rüther, T.; Wunderlich, M.; Sievert, A.; Baum, K.; Essfeld, D. Age-related changes in marathon and half-marathon performances. Int. J. Sports Med. 2007, 28, 513–517. [Google Scholar] [CrossRef]
 - Hunter, S.K.; Stevens, A.A. Sex differences in marathon running with advanced age: Physiology or participation? Med. Sci. Sports Exerc. 2013, 51, 1–9. [Google Scholar] [CrossRef] [PubMed]
 - Knechtle, B.; Di Gangi, S.; Rüst, C.A.; Villiger, E.; Rosemann, T.; Nikolaidis, P.T. The role of weather conditions on running performance in the Boston Marathon from 1972 to 2018. PLoS ONE 2019, 14, e0212797. [Google Scholar] [CrossRef] [PubMed] [Green Version]
 


| Half-Marathon | Full-Marathon | |||||||
|---|---|---|---|---|---|---|---|---|
| Age Groups | Males | Females | Total | MWR | Males | Females | Total | MWR | 
| 21–25 | 940 | 505 | 1445 | 1.86 | 639 | 158 | 797 | 4.04 | 
| 26–30 | 3667 | 2166 | 5833 | 1.69 | 3046 | 714 | 3760 | 4.27 | 
| 31–35 | 4381 | 2063 | 6444 | 2.12 | 5110 | 1073 | 6183 | 4.76 | 
| 36–40 | 4360 | 1712 | 6072 | 2.55 | 6274 | 1249 | 7523 | 5.02 | 
| 41–45 | 3514 | 1538 | 5052 | 2.28 | 6733 | 1325 | 8058 | 5.08 | 
| 46–50 | 2820 | 1404 | 4224 | 2.01 | 6573 | 1386 | 7959 | 4.74 | 
| 51–55 | 1428 | 633 | 2061 | 2.26 | 3569 | 678 | 4247 | 5.26 | 
| 56–60 | 618 | 179 | 797 | 3.45 | 1540 | 193 | 1733 | 7.98 | 
| 61–65 | 208 | 47 | 255 | 4.43 | 502 | 64 | 566 | 7.84 | 
| 66–70 | 111 | 20 | 131 | 5.55 | 209 | 12 | 221 | 17.42 | 
| 71+ | 28 | 0 | 28 | - | 18 | 0 | 18 | - | 
| Total | 22,075 | 10,267 | 32,342 | 2.15 | 34,213 | 6852 | 41,065 | 4.99 | 
| Age Groups | 21–25 | 26–30 | 31–35 | 36–40 | 41–45 | 46–50 | 51–55 | 56–60 | 61–65 | 66–70 | 71+ | 
|---|---|---|---|---|---|---|---|---|---|---|---|
| 21–25 | - | - | - | ** | ** | ** | ** | ** | * | - | - | 
| 26–30 | - | - | ** | ** | ** | ** | ** | ** | ** | - | - | 
| 31–35 | - | ## | - | ** | ** | ** | ** | ** | * | - | - | 
| 36–40 | ## | ## | ## | - | ** | ** | ** | - | - | - | - | 
| 41–45 | ## | ## | ## | ## | - | ** | - | - | - | - | - | 
| 46–50 | ## | ## | ## | ## | ## | - | ** | - | - | - | - | 
| 51–55 | ## | ## | ## | ## | ## | - | - | - | - | - | |
| 56–60 | ## | ## | ## | - | - | - | - | - | - | - | - | 
| 61–65 | # | ## | # | - | - | - | - | - | - | - | - | 
| 66–70 | - | - | - | - | - | - | - | - | - | - | - | 
| 71+ | - | - | - | - | - | - | - | - | - | - | - | 
Publisher’s Note: MDPI stays neutral with regard to jurisdictional claims in published maps and institutional affiliations.  | 
© 2022 by the authors. Licensee MDPI, Basel, Switzerland. This article is an open access article distributed under the terms and conditions of the Creative Commons Attribution (CC BY) license (https://creativecommons.org/licenses/by/4.0/).
Share and Cite
Yang, S.-J.; Yang, F.; Gao, Y.; Su, Y.-F.; Sun, W.; Jia, S.-W.; Wang, Y.; Lam, W.-K. Gender and Age Differences in Performance of Over 70,000 Chinese Finishers in the Half- and Full-Marathon Events. Int. J. Environ. Res. Public Health 2022, 19, 7802. https://doi.org/10.3390/ijerph19137802
Yang S-J, Yang F, Gao Y, Su Y-F, Sun W, Jia S-W, Wang Y, Lam W-K. Gender and Age Differences in Performance of Over 70,000 Chinese Finishers in the Half- and Full-Marathon Events. International Journal of Environmental Research and Public Health. 2022; 19(13):7802. https://doi.org/10.3390/ijerph19137802
Chicago/Turabian StyleYang, San-Jun, Fan Yang, Yuan Gao, Yan-Feng Su, Wei Sun, Sheng-Wei Jia, Yu Wang, and Wing-Kai Lam. 2022. "Gender and Age Differences in Performance of Over 70,000 Chinese Finishers in the Half- and Full-Marathon Events" International Journal of Environmental Research and Public Health 19, no. 13: 7802. https://doi.org/10.3390/ijerph19137802
APA StyleYang, S.-J., Yang, F., Gao, Y., Su, Y.-F., Sun, W., Jia, S.-W., Wang, Y., & Lam, W.-K. (2022). Gender and Age Differences in Performance of Over 70,000 Chinese Finishers in the Half- and Full-Marathon Events. International Journal of Environmental Research and Public Health, 19(13), 7802. https://doi.org/10.3390/ijerph19137802
        
                                                
