Correlation between Oral Health-Related Quality of Life and Objectively Measured Oral Health in People with Ehlers–Danlos Syndromes
Abstract
1. Introduction
2. Materials and Methods
2.1. Participants
2.2. Assesment of Physical Oral Health (PhOX)
2.3. Assesment of OHRQoL (OHIP)
2.4. Statistical Methods
3. Results
3.1. Age and Diagnosis Period
3.2. EDS Diagnoses
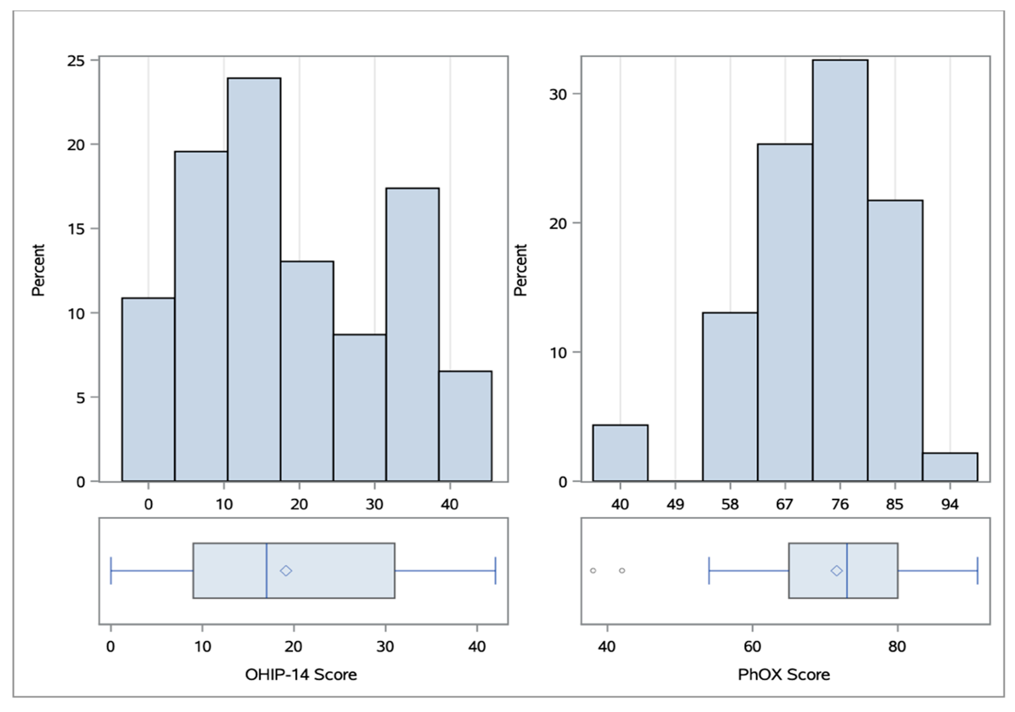
3.3. OHRQoL
3.4. Physical Oral Health
3.5. Relationship between OHRQoL and Physical Oral Health
4. Discussion
Limitations
5. Conclusions
Supplementary Materials
Author Contributions
Funding
Acknowledgments
Conflicts of Interest
Abbreviations
| CMD | craniomandibular dysfunction |
| EDS | Ehlers–Danlos Syndromes |
| IQR | Interquartile range |
| OHIP-14 | Oral Health Impact Profile-14 |
| OHRQoL | Oral health-related quality of life |
| PhOX | Physical Oral Health Index |
References
- Commission of the European Communities. Communication from the Commision to the European Parliament, the Council, the European Economic and Social Committee and the Committee of the Regions on Rare Diseases: Europe´s Challenges. 2008. Available online: https://ec.europa.eu/health/ph_threats/non_com/docs/rare_com_en.pdf (accessed on 16 August 2020).
- Bundesministerium für Gesundheit. Maßnahmen zur Verbesserung der Gesundheitlichen Situation von Menschen mit Seltenen Erkrankungen in Deutschland. 2009. Available online: https://www.bundesgesundheitsministerium.de/fileadmin/Dateien/5_Publikationen/Praevention/Berichte/110516_Forschungsbericht_Seltene_Krankheiten.pdf (accessed on 16 August 2020).
- Beighton, P.; De Paepe, A.; Danks, D.; Finidori, G.; Gedde-Dahl, T.; Goodman, R.; Hall, J.G.; Hollister, D.W.; Horton, W.; McKusick, V.A.; et al. International Nosology of Heritable Disorders of Connective Tissue, Berlin, 1986. Am. J. Med. Genet. 1988, 29, 581–594. [Google Scholar] [CrossRef] [PubMed]
- Beighton, P.; De Paepe, A.; Steinmann, B.; Tsipouras, P.; Wenstrup, R.J. Ehlers-Danlos Syndromes: Revised Nosology, Villefranche. Am. J. Med. Genet. 1997, 77, 31–37. [Google Scholar] [CrossRef]
- Malfait, F.; Francomano, C.; Byers, P.; Belmont, J.; Berglund, B.; Black, J.; Bloom, L.; Bowen, J.M.; Brady, A.F.; Burrows, N.P.; et al. The 2017 International Classification of the Ehlers-Danlos Syndromes. Am. J. Med. Genet. C Semin. Med. Genet. 2017, 175, 8–26. [Google Scholar] [CrossRef] [PubMed]
- Steinmann, B.; Royce, P.M.; Superti-Furga, A. The Ehlers-Danlos Syndrome. In Connective Tissue Its Heritable Disorders; Royce, P.M., Steinmann, B., Eds.; John Wiley & Sons, Inc.: Hoboken, NJ, USA, 2002; pp. 431–523. [Google Scholar] [CrossRef]
- Hagberg, C.; Berglund, B.; Korpe, L.; Andersson-Norinder, J. Ehlers-Danlos Syndrome (EDS) Focusing on Oral Symptoms: a Questionnaire Study. Orthod Craniofac Res. 2004, 7, 178–185. [Google Scholar] [CrossRef]
- Vanakker, O.; Callewaert, B.; Malfait, F.; Coucke, P. The Genetics of Soft Connective Tissue Disorders. Annu. Rev. Genom. Hum. Genet. 2015, 16, 229–255. [Google Scholar] [CrossRef]
- Kapferer-Seebacher, I.; Pepin, M.; Werner, R.; Aitman, T.J.; Nordgren, A.; Stoiber, H.; Thielens, N.; Gaboriaud, C.; Amberger, A.; Schossig, A.; et al. Periodontal Ehlers-Danlos Syndrome is Caused by Mutations in C1R and C1S, which Encode Subcomponents C1r and C1s of Complement. Am. J. Hum. Genet. 2016, 99, 1005–1014. [Google Scholar] [CrossRef]
- Mitakides, J.; Tinkle, B.T. Oral and Mandibular Manifestations in the Ehlers-Danlos Syndromes. Am. J. Med. Genet. C Semin. Med. Genet. 2017, 175, 220–225. [Google Scholar] [CrossRef]
- Kapferer-Seebacher, I.; Lundberg, P.; Malfait, F.; Zschocke, J. Periodontal Manifestations of Ehlers-Danlos Syndromes: A Systematic Review. J. Clin. Periodontol. 2017, 44, 1088–1100. [Google Scholar] [CrossRef] [PubMed]
- Hanisch, M.; Hoffmann, T.; Bohner, L.; Hanisch, L.; Benz, K.; Kleinheinz, J.; Jackowski, J. Rare Diseases with Periodontal Manifestations. Int. J. Environ. Res. Public. Health. 2019, 16, 867. [Google Scholar] [CrossRef]
- Berglund, B.; Nordström, G.; Lützén, K. Living a Restricted Life with Ehlers-Danlos Syndrome (EDS). Int. J. Nurs. Stud. 2000, 37, 111–118. [Google Scholar] [CrossRef]
- Bohner, L.; Wiemann, S.; Jung, S.; Kleinheinz, J.; Hanisch, M. Oral Health-Related Quality of Life in Rare Diseases Associated with Oral Symptoms, Diagnostic Delay, and Sex. Bundesgesundheitsblatt Gesundheitsforschung Gesundheitsschutz 2019, 62, 1406–1411. [Google Scholar] [CrossRef]
- Hanisch, M.; Wiemann, S.; Bohner, L.; Kleinheinz, J.; Jung, S. Association between Oral Health-Related Quality of Life in People with Rare Diseases and Their Satisfaction with Dental Care in the Health System of the Federal Republic of Germany. Int. J. Environ. Res. Public. Health. 2018, 15, 1732. [Google Scholar] [CrossRef] [PubMed]
- Ramfjord, S.P. The Periodontal Disease Index (PDI). J. Periodontol. 1967, 38, 602–610. [Google Scholar] [CrossRef]
- John, M.T.; Miglioretti, D.L.; LeResche, L.; Koepsell, T.D.; Hujoel, P.; Micheelis, W. German Short Forms of the Oral Health Impact Profile. Community Dent. Oral. Epidemiol. 2006, 34, 277–288. [Google Scholar] [CrossRef]
- Reissmann, D.R.; Aarabi, G.; von Wolff, A.; Kriston, L. The Physical Oral Health Index: Reliability and Validity. J. Dent. Res. 2015, 94, 1465. [Google Scholar]
- Berglund, B.; Björck, E. Women with Ehlers-Danlos Syndrome Experience Low Oral Health-Related Quality of Life. J. Orofac. Pain. 2012, 26, 307–314. [Google Scholar]
- Sacheti, A.; Szemere, J.; Bernstein, B.; Tafas, T.; Schechter, N.; Tsipouras, P. Chronic Pain is a Manifestation of the Ehlers-Danlos Syndrome. J. Pain. Symptom. Manag. 1997, 14, 88–93. [Google Scholar] [CrossRef]
- Schiffman, E.; Ohrbach, R.; Truelove, E.; Look, J.; Anderson, G.; Goulet, J.-P.; List, T.; Svensson, P.; Gonzalez, Y.; Lobbezoo, F.; et al. Diagnostic Criteria for Temporomandibular Disorders (DC/TMD) for Clinical and Research Applications: Recommendations of the International RDC/TMD Consortium Network* and Orofacial Pain Special Interest Group†. J. Oral. Facial. Pain. Headache 2014, 28, 6–27. [Google Scholar] [CrossRef]
- Hagberg, C.; Korpe, L.; Berglund, B. Temporomandibular Joint Problems and Self-Registration of Mandibular Opening Capacity among Adults with Ehlers-Danlos Syndrome. A Questionnaire Study. Orthod. Craniofac. Res. 2004, 7, 40–46. [Google Scholar] [CrossRef]
- Mitakides, J.E. The Effect of Ehlers-Danlos Syndromes on TMJ Function and Craniofacial Pain. Cranio J. Craniomandib. Pract. 2018, 36, 71–72. [Google Scholar] [CrossRef]
- Schmitt-Sausen, N. Tag der Seltenen Erkrankungen: Mehr Aufmerksamkeit für Waisenkinder der Medizin. Med. Dtsch. Arztebl. 2010, 107, A430. [Google Scholar]
- Kalisch, L.; Hamonet, C.; Bourdon, C.; Montalescot, L.; de Cazotte, C.; Baeza-Velasco, C. Predictors of Pain and Mobility Disability in the Hypermobile Ehlers-Danlos Syndrome. Disabil. Rehabil. 2019, 1–8. [Google Scholar] [CrossRef]
- Hanischm, M.; Sielker, S.; Jung, S.; Kleinheinz, J.; Bohner, L. Self-Assessment of Oral Health-Related Quality of Life in People with Ectodermal Dysplasia in Germany. Int. J. Environ. Res. Public Health 2019, 16, 1933. [Google Scholar] [CrossRef]



| Domain | # | Item | Weight | Range |
|---|---|---|---|---|
| Teeth and surrounding tissue | 1 | Number Of Teeth | 3 | 0–12 |
| 2 | Tooth Structure | 3 | 0–12 | |
| 3 | Periodontium | 3 | 0–12 | |
| 4 | Endodontia | 2 | 0–8 | |
| Soft tissue intraoral | 5 | Surface | 1 | 0–4 |
| 6 | Color | 2 | 0–8 | |
| 7 | Moisturization | 1 | 0–4 | |
| Soft tissue and jaw | 8 | Pain On Palpation | 1 | 0–4 |
| 9 | Continuity | 1 | 0–4 | |
| 10 | Proportion | 1 | 0–4 | |
| Function | 11 | Mouth Opening | 1 | 0–4 |
| 12 | Supporting Area | 3 | 0–12 | |
| Perception | 13 | Pain | 2 | 0–8 |
| 14 | Paresthesia | 1 | 0–4 |
| Minimum | Maximum | Median | IQR | |
|---|---|---|---|---|
| Age 1 | 19 | 82 | 39.5 | 23 |
| Time of diagnosis 1 | 0 | 79 | 34 | 25 |
| Time between first 1 symptoms and diagnosis | 0.12 | 60 | 20 | 27 |
| # 2 | Clinical EDS Subtype | Abbreviation | N (%) |
|---|---|---|---|
| 1 | Classical EDS | cEDS | 6 (13.0) |
| 2 | Classic-like EDS | clEDS | 1 (2.2) |
| 4 | Vascular EDS | vEDS | 2 (4.3) |
| 5 | Hypermobile EDS | hEDS | 24 (52.0) |
| 9 | Brittle cornea syndrome | BCS | 2 (4.3) |
| - | Not provided by patient | - | 11 (23.9) |
| OHIP-14 | 0 (%) | 1 (%) | 2 (%) | 3 (%) | 4 (%) |
|---|---|---|---|---|---|
| Have you had any problems with your teeth, mouth or dentures in the past month… | |||||
| …making it difficult to pronounce certain words? | 30 (65.2) | 5 (10.9) | 5 (10.9) | 4 (8.7) | 2 (4.3) |
| …that made you feel that your sense of taste was impaired? | 26 (56.5) | 8 (17.4) | 7 (15.2) | 3 (6.5) | 2 (4.3) |
| …that gave you the impression that your life in general was less satisfying? | 15 (32.6) | 6 (13.0) | 12 (26.1) | 10 (21.7) | 3 (6.5) |
| …making it difficult to relax? | 6 (13.0) | 14 (30.4) | 10 (21.7) | 8 (17.4) | 8 (17.4) |
| Has it often happened in the past month due to problems with your teeth, mouth or dentures… | |||||
| …that you felt tense? | 8 (17.4) | 10 (21.7) | 13 (28.3) | 10 (21.7) | 5 (10.9) |
| …that you had to interrupt meals? | 19 (41.3) | 9 (19.6) | 13 (28.3) | 3 (6.5) | 2 (4.3) |
| …that you were uncomfortable eating certain foods? | 11 (23.9) | 7 (15.2) | 13 (28.3) | 7 (15.2) | 8 (17.4) |
| …that you have been a bit irritable with other people? | 17 (37.0) | 13 (28.3) | 11 (23.9) | 5 (10.9) | 0 (0) |
| …that you had difficulty doing your usual jobs? | 18 (39.1) | 9 (19.6) | 8 (17.4) | 7 (15.2) | 4 (8.7) |
| …that you were completely unable to do anything? | 26 (56.5) | 10 (21.7) | 7 (15.2) | 1 (2.2) | 2 (4.3) |
| …that you have been a bit embarrassed? | 25 (54.3) | 12 (26.1) | 5 (10.9) | 4 (8.7) | 0 (0) |
| …that your diet has been unsatisfactory? | 26 (56.5) | 9 (19.6) | 5 (10.9) | 4 (8.7) | 2 (4.2) |
| In the past month, did you have… | |||||
| …any pain in your mouth? | 6 (13.0) | 1 (2.2) | 14 (30.4) | 13 (28.3) | 12 (26.1) |
| …a feeling of uncertainty about your teeth, mouth, or dentures? | 12 (26.1) | 8 (17.4) | 8 (17.4) | 12 (26.1) | 6 (13.0) |
| PhOX Item | 0 (%) | 1 (%) | 2 (%) | 3 (%) | 4 (%) |
|---|---|---|---|---|---|
| Number of teeth | 0 (0) | 0 (0) | 4 (8.7) | 18 (39.1) | 24 (52.2) |
| Tooth structure | 1 (2.2) | 21 (45.7) | 5 (10.9) | 11 (23.9) | 8 (17.4) |
| Periodontium | 0 (0) | 13 (28.3) | 20 (43.5) | 4 (8.7) | 9 (19.6) |
| Endodontia | 0 (0) | 1 (2.2) | 2 (4.3) | 19 (41.3) | 24 (52.2) |
| Surface | 1 (2.2) | 1 (2.2) | 4 (8.7) | 19 (41.3) | 21 (45.7) |
| Color | 0 (0) | 15 (32.6) | 0 (0) | 10 (21.7) | 21 (45.7) |
| Moisturization | 0 (0) | 3 (6.5) | 5 (10.9) | 0 (0) | 38 (82.6) |
| Pain on palpation | 8 (17.4) | 7 (15.2) | 18 (39.1) | 2 (4.3) | 11 (23.9) |
| Continuity | 0 (0) | 0 (0) | 0 (0) | 0 (0) | 46 (100.0) |
| Proportion | 0 (0) | 0 (0) | 1 (2.2) | 5 (10.9) | 40 (87.0) |
| Mouth opening | 0 (0) | 4 (8.7) | 10 (21.7) | 10 (21.7) | 22 (47.8) |
| Supporting area | 0 (0) | 1 (2.2) | 2 (4.3) | 2 (4.3) | 41 (89.1) |
| Pain | 13 (28.3) | 16 (34.8) | 11 (23.9) | 2 (4.3) | 4 (8.7) |
| Paresthesia | 10 (21.7) | 8 (17.4) | 6 (13.0) | 10 (21.7) | 12 (26.1) |
Publisher’s Note: MDPI stays neutral with regard to jurisdictional claims in published maps and institutional affiliations. |
© 2020 by the authors. Licensee MDPI, Basel, Switzerland. This article is an open access article distributed under the terms and conditions of the Creative Commons Attribution (CC BY) license (http://creativecommons.org/licenses/by/4.0/).
Share and Cite
Oelerich, O.; Kleinheinz, J.; Reissmann, D.R.; Köppe, J.; Hanisch, M. Correlation between Oral Health-Related Quality of Life and Objectively Measured Oral Health in People with Ehlers–Danlos Syndromes. Int. J. Environ. Res. Public Health 2020, 17, 8243. https://doi.org/10.3390/ijerph17218243
Oelerich O, Kleinheinz J, Reissmann DR, Köppe J, Hanisch M. Correlation between Oral Health-Related Quality of Life and Objectively Measured Oral Health in People with Ehlers–Danlos Syndromes. International Journal of Environmental Research and Public Health. 2020; 17(21):8243. https://doi.org/10.3390/ijerph17218243
Chicago/Turabian StyleOelerich, Ole, Johannes Kleinheinz, Daniel R. Reissmann, Jeanette Köppe, and Marcel Hanisch. 2020. "Correlation between Oral Health-Related Quality of Life and Objectively Measured Oral Health in People with Ehlers–Danlos Syndromes" International Journal of Environmental Research and Public Health 17, no. 21: 8243. https://doi.org/10.3390/ijerph17218243
APA StyleOelerich, O., Kleinheinz, J., Reissmann, D. R., Köppe, J., & Hanisch, M. (2020). Correlation between Oral Health-Related Quality of Life and Objectively Measured Oral Health in People with Ehlers–Danlos Syndromes. International Journal of Environmental Research and Public Health, 17(21), 8243. https://doi.org/10.3390/ijerph17218243

