Progress in Modern Marine Biomaterials Research
Abstract
1. Introduction
2. Marine Polysaccharides
2.1. Chitin
| Scientific Name | Chitin |
|---|---|
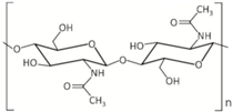
| Chemical formula, MW, chemical structure, polymorphism | ![]() |
| (C8H13O5N)n; MW ranges from several to thousands of kDa [12]. Chitin is a linear polymer of N-acetyl-d-glucosamine units that are linked by 1,4-β-glycosidic bonds [13]. It exists in three crystalline polymorphic forms: α-, β-and γ-chitin [14,15]. Marine sources of α-chitin: crustaceans, sponges; of β-chitin: cephalopods [16]. | |
| Physicochemical properties | Due to its semicrystalline structure and hydrophobicity chitin is not soluble in usual solvents, i.e., water, the most organic solvents, though it shows solubility in hexafluoroacetone sesquihydrate, hexafluoroisopropanol, chloroalcohols (with sulfuric acid), mixture of dimethylacetamide with 5% lithium chloride [17] and diverse ionic liqiuds [18]. |
| Chitin extraction/Physical form after extraction | For commercial purposes, chitin is extracted using chemical, electrochemical and biochemical methods from the cuticles of crustaceans, mostly crabs and shripms [19,20,21,22,23,24] and corals [25]. It is isolated by chemical extraction via three stages, i.e., deproteinization by alkaline treatment, i.e., employing NaOH, Na2CO3, NaHCO3, KOH, K2CO3, demineralization using acidic (i.e., HCl, HNO3, H2SO4, CH3COOH), or EDTA-based solutions [26], and finally discoloration following the incubation in alkaline solution or by the addition of acetone or, alternatively, using KMnO4, H2O2 [27] or oxalic acid [12,28]. Currently, numerous studies aimed at developing different protocols to isolate chitin from seafood shells [29,30,31,32,33,34] as well as marine sponges [35] have been reported. Chitin is extracted in the form of flakes, powders, and scaffolds. |
| Biomaterials properties (biocompatibility, biodegradability, toxicity, immune responses) | Elastic (Young’s) modulus ranges from 92 GPa [36] to 4 GPa [37]. Thermostability: 260–360 °C [38,39,40]. Biocompatible [1,41,42,43] and biodegradable [12]; can be hydrolyzed by chitinases [44]; non-toxic and [45] of low immunogenicity [46,47]. |
| Market situation (world market reports) | According to Global Industry Analysts, Inc. data, global chitin and chitosan market was predicted to reach US $4.2 billion by 2021 [12]. |
| Patents | Currently, about several hundreds of patents on the extraction and modification of chitin and its derivatives as well as their applications exist. |
| For search, use: https://patents.google.com/ | |
| Selected examples: | |
| US6310188B1. Method for producing chitin or chitosan | |
| US6632941B2. Method of extracting chitin from the shells of exoskeletal animals | |
| CN106496362A. The extracting method of chitin in a kind of Carapax Eriocheir sinensis | |
| US20180186899A1. Compositions of partially deacetylated chitin derivatives | |
| JP2822174B2. Method for producing chitin chitosan fiber and structure | |
| US5623064A. Poly-β-1→-4-N-acetylglucosamine | |
| US9433698B2. High strength chitin composite material and method of making | |
| US9708634B2. Process for making chitin derivatives | |
| US7241463B2. Methods for processing crustacean material | |
| US4066735A. Process for demineralization of crustacea shells | |
| US4293098A. Recovery of active chitin and enhanced protein meal | |
| WO1986006082A1. A process for recovering chitin from materials in which chitin occurs together with or connected to proteinaceous substances | |
| US5053113A. Method of chitin production from chitin containing raw materials | |
| JPH05310804A. Production of chitin or chitosan from integument of crustacea |
2.2. Recent Studies in Crustacean Chitin Applications
2.3. Poriferan Chitin: Progress in the APPLICATion of Poriferan Chitinous Scaffolds
2.4. Polysaccharides of Algal Origin
| Scientific Name | Alginates |
|---|---|
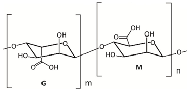
| Chemical structure, MW | ![]() |
| Alginates are salts of alginic acid, a linear polymer composed of blocks of β-d mannuronic acid (M) and α-l guluronic acid (G) residues linked by 1-4 glycosidic bonds [90,93]. The molecular weight of alginic acid and its salts ranges from 5 to 20 kDa [94]. | |
| Physicochemical properties | Phycocolloids are known to form viscous solutions or gels [95]. Over 200 alginates with different physicochemical properties are produced [96]. Alginates can efficiently bind divalent cations, which results in hydrogel formation and crosslinked polymeric scaffolds [97]. The presence of O-acetyl groups, which was shown for algal alginates [98], increases polymer solubility affecting physicochemical parameters such as viscoelasticity and molecular mass [99]. |
| Alginate extraction/Physical form after extraction | Alginates are produced industrially from marine seaweeds, which belong to brown algae [90]. Conventional extraction of alginates consists of the following five steps: (i) acidification of seaweeds; (ii) alkaline extraction using Na2CO3; (iii) solid/liquid separation; (iv) precipitation and (v) drying [100]. In addition, seaweed tissue can be softened and bleached using formaldehyde/formalin [100]. About 25% of alginate yield can be achieved in 2 h; however, the extraction can be conducted much faster (in 15–30 min) using ultrasound treatment [101]. Usually, alginates are extracted as dry, powdered sodium alginate [95]. Alginates and their derivatives are widely used as stabilizers, thickeners, viscosifiers, additives, gel and film formers [99]. |
| Biomaterials properties (biocompatibility, biodegradability, toxicity, immune responses) | In algae, being constituents of cell wall and inter-cellular matrix, alginates provide mechanical strength and flexibility necessary for the survival in water [100]. Due to their non-toxicity, biocompatibility, biodegradability, non-immunogenicity, and hydrophilicity alginates have a great potential for pharmaceutical and biomedical applications [99]. |
| Market situation (world market reports) | Owing to their properties such as thickeners, the ability to form gels, sodium, and calcium films alginates are widely applied in the food, printing, dyeing, textile, pharmaceutical, and cosmetic industries. According to the report of Market Data Forecast [102], the global alginates market was estimated as USD 409.2 million in 2020 and is expected to reach USD 529.2 million by 2025. Alginates market is predicted to grow mainly in Europe and Asia Pacific. |
| Patents | Currently, about several hundreds of patents on the extraction and modification of alginic acid and its derivatives as well as their applications exist. |
| For search, use: https://patents.google.com/ | |
| Selected examples: | |
| US2653106A. Manufacture of alginates | |
| US20150289533A1. Alginate gum | |
| US8741872B2. Self-gelling alginate systems and uses thereof | |
| US2420308A. Gel-forming algin composition and method | |
| US1814981A. Process of preparing alginic acid and compounds thereof | |
| EP0345886A2. Alginate gels | |
| US5266326A. In situ modification of alginate | |
| EP0849281A1. Bioresorbable alginate derivatives | |
| US5874100A. Alginate fibres, manufacture and use | |
| WO2000009566A1. Method for producing ultra-pure alginates | |
| US6150581A. Chitosan/alginate anti-adhesion barrier | |
| US6432449B1. Biodegradable sustained-release alginate gels | |
| US10292936B2. Modified alginates for cell encapsulation and cell therapy | |
| US10426735B2. Modified alginates for anti-fibrotic materials and applications |
| Scientific Name | Fucoidans |
|---|---|
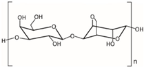
| Chemical Structure, MW | ![]() |
| Fucoidans are sulphated hetero-polysaccharides consisting of α 1-3 linked sulphated L fucose with repeating sequence of alternating α 1-3 and α 1-4 glycosidic bonds [90,144]. MW of most fucoidans was reported to vary within 200–2000 kDa [145]. | |
| Physicochemical properties | Isolated shielded opposite groups contribute to the solubility of fucoidans in solvents with higher dielectric constants, such as water, whereas solvents of lower dielectric constants, i.e., ethanol can be used for precipitation and isolation of fucoidans from other co-extracted natural compounds [146]. Fucoidan molecules, being stable in salts, i.e., NaCl and CaCl2, acid and alkaline solutions, are suitable for the use as stabilizing, thickening, and water-holding agents [147]. |
| Fucoidan extraction/Physical form after extraction | Fucoidans can be extracted from brown algae such as Undaria pinnatifida (Miyeok), a common Korean edible brown seaweed [148], by hot acidic, alkaline, enzyme-, microwave- and ultrasound-assisted aqueous methods [146]. They are extracted in the form of fluffy, hygroscopic powders, soluble in water, relatively soluble in dimethyl sulfoxide (DMSO), but insoluble in ethanol [146]. |
| Biomaterials properties (biocompatibility, biodegradability, toxicity, immune responses) | Fucoidans have specific mechanical properties. Indeed, these polysaccharides provide mechanical stability to brown seaweeds, in particular, they prevent the desiccation of the thallus tissues, especially at the lower tide levels or high summer temperatures [149]. Fucoidans were reported to be biocompatible, biodegradable and demonstrated low cytotoxicity and immunogenicity [144,150,151,152]. Some studies, however, pointed to their cytotoxicity in vitro and in vivo, which paves the way to their use as anticancer agents [153]. |
| Market situation (world market reports) | Based on the New Research Analysis, the global fucoidan market size was USD 30 million in 2019 and is expected to reach USD 37 million in 2024 with Asia (mainly China and Japan) and the U.S.A. being the largest fucoidan consumption regions [154]. |
| Patents | Currently, about several hundreds of patents on the extraction and applications of fucoidans exist. |
| For search, use: https://patents.google.com/ | |
| Selected examples: | |
| US20070087996A1. Method of extracting fucoidan | |
| US20100056473A1. Method of extracting fucoidan | |
| CN101993501A. Method for preparing fucoidan | |
| CN103665179A. Extraction device for kelp fucoidan | |
| US20080089941A1. Fucoidan compositions and methods | |
| US20050129708A1. Fucoidan-based health food | |
| CA2253573C. Fucoidan-containing foods or beverages | |
| US20150328268A1. Marine Plants Extract for Wound Healing | |
| CN101954087B. Fucoidan medicinal carrier and preparation method thereof | |
| NZ610788A. Process for isolating fucoidan and laminarin from live, harvested seaweed |
| Scientific Name | Carrageenans |
|---|---|
| Chemical structure, MW | ![]() |
| Carrageenans, hydrophilic linear sulphated galactans, being composed of alternate units of d-galactose and 3,6-anhydro-galactose linked by α 1-3 and β 1-4 glycosidic bonds, are divided into groups, i.e., kappa (κ), iota (ι), lambda (λ), mu (μ), nu (υ), theta (θ) and others, which is based on their solubility in potassium chloride [90]. Their MW was reported to be within 200–800 kDa [167]. | |
| Physicochemical properties | Hydrocolloids of different solubility: κ-carrageenan is insoluble in cold water [168]; a higher hydrophilicity was shown for ι-carrageenan, while λ-carrageenan is freely soluble in water under most conditions [168] and even in cold milk [169]. λ-carrageenan is non-gelling and is used rather for its thickening properties and the ability to form creamy texture [169]. κ- and ι-carrageenans form gels [169] following heating [167,170] and cooling in the presence of K+, Ca2+, NH4+ cations [168]. ι-carrageenan is used to obtain soft gels [169] while κ-carrageenan, the main carrageenan applied in industry, forms strong, brittle gels the strength of which can be improved by locust bean gum, corn starch and wheat starch [168]. Thus, due to their specific texture properties carrageenans are widely used in food industry to improve appearance (creaminess, homogeneity), organoleptic qualities (juiciness, mouthfeel), and application (spreadability) [169]. |
| Carrageenan extraction/Physical form after extraction | Carrageenans are extracted from various red algae species [90,171,172,173] by hot alkaline treatment followed by ethanol precipitation [168] in the form of translucent plates or powders [168,174]. |
| Biomaterials properties (biocompatibility, biodegradability, toxicity, immune responses) | Carrageenans were shown to be biocompatible, biodegradable, non-immunogenic, and non-toxic compounds [19,175,176,177]. |
| Market situation (world market reports) | The global carrageen market is predicted to reach USD 1.25 million by the end of 2024 [178]. |
| Patents | Currently, about several hundreds of patents on the extraction and applications of carrageenans exist. |
| For search, use: https://patents.google.com/ | |
| Selected examples: | |
| US3956173A. Preparation of gels based on carrageenan | |
| US5502179A. Carrageenan product and a method of producing same | |
| US3094517A. Process for treating a polysaccharide of seaweeds of the gigartinaceae and solieriaceae families | |
| US3280102A. Preparation of carrageenan having improved water dispersibility | |
| US3907770A. Process of extracting carrageenan from seaweed | |
| JPS57202302A. Preparation of carrageenan | |
| US4443486A. Modified extractive of Eucheuma cottonii seaweed and composition containing same | |
| US6387354B1. Semi-refined carrageenan dentifrice binder | |
| WO2002048199A3. Production of carrageenan and carrageenan products | |
| SU756683A1. Method of obtaining jellifier from red algae | |
| CN103788225A. Production method of modified carrageenan | |
| AU2003245252A1. Carrageenan based antimicrobial compositions |
| Scientific Name | Ulvans |
|---|---|
| Chemical Structure, MW | ![]() |
| Ulvans are composed of branched, complex structure without a defined backbone or a specific repeating monomer, usually consisting of rhamnose (17–45%), sulphate (14–23%), glucuronic acid (7–19%), xylose (2–12%), iduronic acid (1–9%), and glucose (1–7%) [191,192]. Their MW ranges from about 200 to 8200 kDa [193]. | |
| Physicochemical properties | Hydrocolloids, which in the presence of divalent cations, i.e., Ca2+, Cu2+, Zn2+, boric acid and slightly basic pH form gels [194]. At low and neutral pH, owing to rhamnose hydrophobicity, ulvans fold into beads-like conformation resulting in low viscosity [195,196]. At pH ~13, ulvans develop more open conformation leading to higher viscosities and gel strengths [196]. They have metal chelating ability, play the role of radical scavengers, and were shown to tolerate temperatures up to 180 °C [194]. |
| Ulvans extraction/Physical form after extraction | Ulvans are extracted from green seaweeds [191,192]. Following cold water or hot water extraction and ethanol precipitation, they are recovered as fluffy powder [196]. |
| Biomaterials properties (biocompatibility, biodegradability, toxicity, immune responses) | Ulvans were reported to be biocompatible, biodegradable, show a low toxicity, and immunogenicity [197,198]. |
| Market situation (world market reports) | There is no open access data regarding a global ulvans market. It is known that ulvan containing green algae is consumed in Asian countries and are used in Chinese medicine [199]. Due to their high vitamin and fiber content, ulvans are also consumed in Europe [199]. The main ulvan producers are represented by China and Indonesia, which account for 49% and 37% of the world production, respectively [200]. |
| Patents | Currently, about several hundreds of patents on the extraction and applications of ulvans exist. |
| For search, use: https://patents.google.com/ | |
| Selected examples: | |
| US7820176B2. Ulvans as activators of plant defense and resistance reactions against biotic or abiotic stresses | |
| FR2868252B1. Use of ulvanes as elicitors of nitrogen absorption mechanisms and protein synthesis | |
| EP2582810B1. Ulvan lyase, the method for manufacturing same, and uses thereof | |
| CA2562942C. Use of ulvans as elicitors of mechanisms for nitrogen absorption and protein synthesis | |
| WO2007045795A1. Product resulting from the grafting of fatty chains to ulvans and use of a said product as a surfactant | |
| US5089481A. Polysaccharides and antiviral drugs containing the same as active ingredient | |
| US20080083160A1.Compositions of enriched seaweeds in land-based sea water ponds | |
| US20080226740A1. Marine algal extracts comprising marine algal polysaccharides of low degree polymerizaton, and the preparation processes and uses thereof | |
| CN1108310C. Algae polysaccharide and its preparation and use |
| Scientific Name | Agar |
|---|---|
| Chemical structure, MW | ![]() |
| Agars, (2R,3S,4S,5R)-2-(hydroxymethyl)-6-[[(4R,5S)-4-hydroxy-3-methyl-2,6-dioxabicyclo[3.2.1]octan-8-yl]oxy]-4-methoxyoxane-3,5-diol, are known as water-soluble, gel-forming polysaccharide extracts from agarophyte members of the Rhodophyta [209]. Agar is derived from the polysaccharide agarose, which forms the supporting structure in the cell walls of certain species of algae, and which is released on boiling. Average molecular weight of agar ranges between 35.7 and 144 kDa for commercial preparations [208]. | |
| Physicochemical properties | Insoluble in cold water. Main physical properties of agar include gel strength, gelling, and melting temperature [210,211]. |
| Agar extraction/Physical form after extraction | Agar can be extracted with different yields from such algae as Gelidium, Acanthopeltis, Ceramium, Gracilaria, and Gloiopeltis species by boiling in 70, 60, 50% alcohol and water [208]. Two classical extraction methods of total agar extraction with and without NaOH treatment have been described as follows: “The dried sample of 30 g of algae was boiled for 2 h with 900 mL of distilled water and used for non-alkali treatment (native agar). Another 30 g sample was incubated in 2 L of 5% NaOH solution at 80 °C for 2 h. The algae were washed in running tap water for 30 min to remove excess NaOH. The alkali-treated algae were neutralized in 2% H2SO4 solution for 1 h, then washed in running tap water overnight until complete elimination of the acid” [209]. Agar scaffolds preparation for tissue engineering was also reported: “0.02% agar was soaked in distilled water for 30 min at room temperature and then boiled to 80 °C with stirring for 2 h until it completely turned into a transparent homogeneous solution. The agar solution was poured into a mold and cooled to room temperature” [212]. The development of agar-based bioaerogels [213] and membranes [214] has also been described. |
| Biomaterials properties (biocompatibility, biodegradability, toxicity, immune responses) | The gel-forming ability and solubility of agar polysaccharides rely on the relative hydrophobicity of the basic repeating unit, the alternating 1,3-linked β-d-galactopyranose and 1,4-linked 3,6-anhydro-α-l-galactopyranose or agarobiose, and its substitution by hydrophobic(methoxyl) and polar (sulfate, pyruvate) groups [208]. Agar-based thermoreversible gels have a melting point at 60–97 °C [215] and can retain their structure after freeze-drying [216]. Agar biocompartibility, biodegradability, and low toxicity has been experimentally confirmed [217]. |
| Market situation (world market reports) | The global agar agar gum market size was estimated at USD 214.98 million in 2015 and USD 219 million in 2017.It is anticipated to grow at a CAGR of 4.9% from 2016 to 2025 [218]. |
| Patents | Currently, about several hundreds of patents on the extraction and modification of agar and its derivatives as well as their applications exist. |
| For search, use: https://patents.google.com/ | |
| Selected examples: | |
| US3335127A. Fractionation of mixtures of agarose and agaropectin | |
| US2439964A. Extraction and preparation of agar | |
| US784349A. Process of manufacturing limpid solutions of agar-agar and product of same | |
| US3094517A.Process for treating a polysaccharide of seaweeds of the gigartinaceae and solieriaceae families | |
| US4780534A. Process for producing agar-agar from an algae extraction juice | |
| US20050267296A1.Cost-effective process for preparing agarose from Gracilaria spp. | |
| US3956273A. Modified agarose and agar and method of making same | |
| US3423396A. Method of making agarose | |
| US3281409A. Method for the separation of agaropectin from agarose | |
| US9045566B2. Method for the manufacture of agarose gels | |
| US3527712A. Dried agarose gel, method of preparation thereof, and production of aqueous agarose gel | |
| US3860573A. Method for cross-linking agarose or agar | |
| CN101891835A. Method for separating and preparing agarose from agar by using polyethylene glycol precipitation method | |
| US6322814B1. Manufacture of and uses for low molecular weight agars and agaroids | |
| GB1352613A. Stabilized agar product and method for its stabilization |
3. Marine Structural Proteins
3.1. Spongin
| Scientific Name | Spongin |
|---|---|
| Chemical structure | Spongin is a collagen derivative protein which can be referred to halogenated scleroproteins or neurokeratin-like proteins [231,232]. However, halogens (I, Br), detected within spongin structure, do not occur in collagens or keratins [232]. The biochemistry of spongin as well as its molecular weight remains to be unknown. |
| Physicochemical properties | Spongin is not soluble neither by proteases (collagenase, pepsin, trypsin, amylase, lysozyme), nor by aggressive reagents, i.e., HCl, sulfuric acid, hydrogen peroxide [233,234,235]. Treatment with alkalis dissolves spongin resulting in hydrolysates of amino acids. In the natural habitat of sponges, spongin can be destroyed by bacteria and fungi [235]. Its thermostability is species dependent and ranges between 150 °C and 360 °C [236]. Owing to spongin, the scaffolds of bath sponge Spongia officinalis are characterized by unique material properties, such as the ability to hold water, toughness, compressibility and resiliency [232]. Heating of spongin scaffolds up to 1200 °C under exclusion of oxygen leads to obtaining of turbostratic graphite [86]. |
| Spongin extraction/Physical form after extraction | Spongin skeletons can be purified using 3M HCl as was shown for Hippospongia communis [237]. |
| Biomaterials properties (biocompatibility, biodegradability, toxicity, immune responses) | Spongin was reported to be biocompatible, biodegradable, non-toxic and of low immunogenicity [4,232,238,239]. |
| Market situation (world market reports) | According to Technavio report, global commercial sponge market is predicted to reach USD 3.18 billion during 2020–2024 [240]. In addition, sponges can be cultivated and such sponge farms already exist in Japan, France, Greece, the Philippines, Micronesia, Australia, New Zealand, and East Africa [232]. |
| Patents | Currently, about several hundreds of patents on sponge cultivation, sponge scaffolds extraction, their treatments, and applications exist. |
| For search, use: https://patents.google.com/ | |
| Selected examples: | |
| WO2015151030A1. Method to obtain collagen/gelatin from marine sponges | |
| WO2006089660A2. Method for cleaning marine collagen and the treatment thereof to form porous sponges | |
| US20030032601A1. Method for isolating sponge collagen and producing nanoparticulate collagen, and the use thereof | |
| US20080261876A1. Method for purifying marine collagen and the processing thereof into porous sponges | |
| US20100260823A1. Preparation with marine collagen for protease inhibition | |
| JPH07100B2. Method of drying collagen sponge | |
| DE10010113A. Native sponge collagen, process for its isolation and its use, as well as native nanoparticulate sponge collagen, process for its preparation and its use |
3.2. Collagens
| Scientific Name | Collagens |
|---|---|
| Chemical structure, MW | ![]() |
| Collagens belong to a superfamily of extracellular matrix structural proteins that are formed by a triple helix of three protein chains wrapped around each other [246,247]. Marine collagens resemble those of mammals, but their amino acid composition was shown to be much more diverse [230,231,248,249,250] MW of marine collagens, i.e., cod is about 300 kDa [251]. | |
| Physicochemical properties | Marine fish collagens are characterized by a high solubility in water upon heating, which was reported to be higher for warm-water fish species [230,252]. Incubation of collagen with thrombin results in the hydrolysis of peptide bonds and the formation of scaffolds in the form of hydrogel with a range of elasticity, transparency, and density parameters [251]. Upon heat denaturation collagen from fish, i.e., shark undergoes hydrolysis yielding gelatin [253]. |
| Collagen extraction/Physical form after extraction | Marine collagens, predominantly type I collagen, can be isolated from marine invertebrates (sponges, jellyfish, cephalopods, echinoderms) and marine vertebrates (fish) [176,254,255]. The raw materials for fish collagen isolation include skin, scale, fins, backbone, swimbladder, wing muscles of skate, shark placoid-scale dentine [230,254]. Marine collagen is extracted via (i) decellularization using physical methods involving freezing and disruption of cells; (ii) chemical methods based on variable reagents, i.e., acids, alkalis, chelating agents, detergents, solutions of high osmolarity; (iii) enzymatic treatments. Usually, these methods are combined [230,255]. From jellyfish, it is extracted from mesoglea via solubilization in acetic acid solution [256]. The protocols for collagen extraction from sponges were reported [255,257,258]. Upon extraction, collagen or its composites have the physical form of sheets, flakes, powder, gel, particles, fibers, film, etc. [259]. |
| Biomaterials properties (biocompatibility, biodegradability, toxicity, immune responses) | Marine collagens were shown to be biocompatible, biodegradable, non-toxic, and of weak antigenicity [255,260,261,262,263,264]. The mechanical properties of marine fish collagens can be improved by ultraviolet irradiation, gamma irradiation, dehydrothermal treatment, chemical treatment including glutaraldehyde, carbodiimide,1-ethyl-3-(3-dimethyl-aminopropyl)-carbodiimide [252,262,265] as well as incorporation of other biopolymers such chitosan, alginate, and pectin [266,267]. Unique collagen mechanical properties were reported for Chondrosia reniformis demosponge. It allows the species to creep and withstand compression [231]. |
| Market situation (world market reports) | The global market for marine collagen has been steadily growing over the last years. While in 2018 it was estimated to be worth of USD 620.3 million, it is predicted to reach USD 897.5 by 2023 [268]. Primarily, marine collagen market is predicted to grow in China, India, and Brazil [268]. |
| Patents | Currently, about several thousands of patents on marine collagen extraction, purification, modification, removing odor, improving mechanical properties and applications exist. |
| For search, use: https://patents.google.com/ | |
| Selected examples: | |
| US20060135752A1. Method of obtaining biologically active collagen from skins of the salmonidae fish | |
| DE102005041414A1. Glass sponge collagen obtained by gradually corroding glass sponge basal spicule in alkaline solution; dialyzing the obtained extract and subsequently lyophilizing, useful for the production of e.g., biological material and bullets | |
| DE102013014417A1. Sponge collagen comprehensive preparations with defined in vivo release profile especially in the colon, their production and use | |
| TWI487711B. A extraction method of collagen from tuna and product thereof | |
| KR101640801B1. Collagen extraction from aquatic animals | |
| WO2015012682A2. A method for extracting collagen from aquatic animals, collagen and products containing it | |
| JP4236850B2. Method for producing fish-derived collagen peptide, and food and drink and cosmetics containing fish-derived collagen peptide obtained by the method | |
| EP0592586B1. Use of unpigmented fish skin, particularly from flat fish, as a novel industrial source of collagen, extraction method, and collagen and biomaterial thereby obtained | |
| CN1582771B. Production of collagen peptide from fish skins | |
| US9591853B2. Jellyfish-derived polymer | |
| EP2889305A1. Method for fractionally extracting mucin and collagen | |
| WO2009090655A2. Colloidal collagen burn wound dressing produced from jellyfish | |
| US5714582A. Bioscience Consultants Invertebrate type V telopeptide collagen, methods of making, and use thereof | |
| JP2007504100A. Medical and insurance use of pufferfish type I collagen extract and method for producing the extract | |
| KR100381741B1. Collagen product containing collagen of marine origin with a low odor and with improved mechanical properties, and its use in the form of cosmetic or pharmaceutical compositions or products |
3.2.1. Marine Invertebrates Collagen
3.2.2. Marine Vertebrates Collagen
- 3D printed scaffolds consisting of fish collagen/alginate and phlorotannin (as a bioactive component) displayed good biocompatibility and stimulated osteogenic differentiation of osteoblast-like MG63 cells [288];
- 3D printed fish collagen/alginate hydrogels containing murine fibroblasts were of good biocompatible characteristics [285];
- fish collagen was reported to be biocompatible with human fibroblasts [282];
- 3D printed scaffolds composed of fish collagen and calcium phosphates derived from two sharks, blue shark and shortfin mako shark, were biocompatible with osteoblast-like Saos-2 cells [286];
- composite scaffolds from fish collagen and chitosan promoted osteogenic and chondrogenic differentiation of rat MSCs [266];
- fish collagen composites cross-linked by genipin under CO2 atmosphere were biocompatible with murine chondrocytes [253].
3.3. Gelatin
| Scientific Name | Gelatin |
|---|---|
| Chemical structure, MW | (C102H151O39N31), the amino acid sequence of gelatin depends on its source and is similar to that of collagen, comprising of repeating sequences of Gly-X-Y triplets, where X and Y are represented by mostly proline and hydroxyproline, respectively. The average MW is in the range of 40 to 700 kDa [292,293]. |
| Physicochemical properties | Gelatin properties vary in a broad spectrum, depending on the material used, pretreatment method, extraction process parameters and its intensity. Reported pH values span from 2.98 to 4.38; isoelectric point for acid-processed gelatins is in the pH range of 6.0–9.5, while for alkali-processed gelatins it falls between the pH of 4.8 and 5.2, moisture content is in the range of 9–14% [292,293]. |
| Fish gelatin extraction/Physical form after extraction | Gelatin extraction was reported from various marine species, i.e., fish species [256,294], sponges [295], jellyfish [296] and other marine organisms such as squids [297] and snails [298]. The processing with alkaline or acidic media in elevated temperatures yields gelatin in the form of granulates or powders [292,293]. |
| Biomaterials properties (biocompatibility, biodegradability, toxicity, immune responses) | Fish gelatin is considered to be biodegradable, non-immunogenic and biocompatible [299,300,301]. It does not display toxicity or carcinogenicity and has very poor mechanical properties, dependent on the source type (cold/warm fish) or experimental conditions; e.g., tensile strength varies from 36.8 MPa for the cold-water pollock derived gelatin to 95.5 MPa for the catfish [302]. |
| Market situation (world market reports) | Production of fish gelatin is still quite small, contributing only to ca. 1% of the global gelatin market [292,293]. |
| Patents | Currently, about several hundreds of patents on utilization of fish gelatin in food and pharmaceutical industry as components of packaging systems or drug delivery, medicine and cosmetics are available. |
| For search, use: https://patents.google.com/ | |
| Selected examples: | |
| US20030022832A1. Method for the production of gelatin of marine origin and product thus obtained | |
| JP4738005B2. Fish skin pretreatment method | |
| JP6265350B2. Extraction method of collagen and gelatin | |
| TWI487711B. A extraction method of collagen from tuna and product thereof | |
| US6368656B1. Process for the preparation of fish gelatin | |
| WO2017216780A1. Gelatin polymer derived from natural sources of cold-adapted marine species and uses thereof | |
| WO2012160575A2. Method of producing gelatin from fish | |
| US5093474A. Process for the production of gelatin from fish skins | |
| US20050124034A1. Method for producing fish gelatin peptide | |
| CN104605006A. Freeze-drying method for swim bladder | |
| WO2019022623A1. Process for producing gelatin from fish skin by optimisation of the extraction conditions | |
| US2048728A. Process for making a clear fish glue or fish gelatin solution | |
| CN102702984A. Process for industrially producing fishskin gelatin | |
| GB2377708A. Improved alkaline process for preparing type B fish gelatin | |
| US5484888A. Gelatin production |
3.4. Keratin
| Scientific Name | Keratin |
|---|---|
| Chemical structure, MW | ![]() |
| Fibrous structural protein of a molecular weight ca. 66.6 kDa [311] | |
| Physicochemical properties | Keratin is a stable protein, insoluble in polar and nonpolar solvents [311]. |
| Keratin extraction/Physical form after extraction | Depending on the source, keratin extraction is quite a demanding process and its parameters influence the scope of application of the extracted keratin, available as a powder or liquid [312,313]. |
| Biomaterials properties (biocompatibility, biodegradability, toxicity, immune responses) | Keratin is biodegradable [314], biocompatible and non-toxic [315]. Reported properties of keratin differ depending on its source. Young’s modulus ranges from 10 MPa in stratum corneum to about 2.5 GPa in feathers; tensile strength varies from 2 MPa in stratum corneum to 530 MPa in dry hagfish slime threads [310]. Reported stiffness of keratin is up to 20 GPa [316]; however, it strongly depends on the level of hydration [317]: for hagfish slime threads the initial stiffness reaches 3.6 GPa in dry state and drops to 6 MPa in wet state [310]. |
| Market situation (world market reports) | There are no open access reports on the marine keratin market situation. |
| Patents | Currently, about several hundreds of patents on utilization of keratin in cosmetics, hair care products, adhesives, wound dressing or as components of antibacterial and anti-inflammatory products are available. |
| For search, use: https://patents.google.com/ | |
| Selected examples: | |
| US7148327B2. Production of soluble keratin derivaties | |
| CN1535280A. Production of soluble keratin derivatives | |
| WO2019116357A1. Method for extracting keratin | |
| US8575313B2. Process for extracting keratin | |
| US20140228257A1. Method for Sea Floor Drilling Using Hagfish Slime as Drilling Fluid Additive | |
| US7049405B2. α-helical protein based materials and methods for making same | |
| CN106999546A. Keratin nano material and preparation method thereof | |
| WO2007095151A2. Nerve regeneration employing keratin biomaterials | |
| US20100197021A1. Keratin biomaterials for cell culture and methods of use | |
| US6110487A. Method of making porous keratin scaffolds and products of same | |
| US8920827B2. Keratin bioceramic compositions |
3.5. Conchiolin and Conchixes of Molluscan Origin
| Scientific Name | Conchiolin |
|---|---|
| Chemical structure, MW | Conchiolin is reported to be an aggregate of proteins including a significant portion of polysaccharide component [332]. When isolated from mollusk tissue and separated by PAGE, it gives three main protein bands with molecular weight of 37.8, 23.2, and 19.6 kDa. The amino acid analysis of the isolated material shows the presence of high content of glycine and alanine (30–60%) and a large number of hydrophobic residues [332]. |
| Physicochemical properties | Insoluble in water and acid [333]. |
| Conchiolin extraction/Physical form after extraction | Conchiolin can be extracted form ground mollusk shells by subsequent washing with EDTA solution, basic Tris buffer and water followed by the extraction with SDS solution at increased temperature to yield conchiolin as a powder [332]. |
| Biomaterials properties (biocompatibility, biodegradability, toxicity, immune responses) | Due to their biocompatibility, marine collagens can be applied in biomedicine, regenerative medicine, wound healing, cartilage and hard tissue engineering. Domains typical for collagen have been detected as main structural segments in other structural marine proteins including conchiolin [4]. This may suggest that conchiolin may exhibit properties similar to collagen that is highly biocompatible and applicable as a biomaterial. Conchiolin is a calcium binding protein which facilitates calcification during shell formation thus exhibiting a potential to be applied in bone engineering [334,335]. |
| Market situation (world market reports) | Today’s market exhibits fast increase in the demand on medical devices supporting the regeneration of bone fractures and defects [336]. Due to its calcium binding properties [334], conchiolin exhibits the potential to be applied as a component of bone regeneration scaffolds. |
| Patents | Currently, several patents on conchiolin extraction, modification and application exist. |
| For search, use: https://patents.google.com/ | |
| Selected examples: | |
| US20110274792A1. Method for producing powder for supplementary food and supplementary food | |
| US5702728A. Clam extract preparation, the method of preparation and use thereof | |
| WO2010005243A2. Method for producing an extract containing water-soluble conchiolin derived from shells | |
| EP3228625A4. Preparation method for conchiolin, and water-soluble conchiolin and acid-soluble conchiolin prepared by using method | |
| FR2827478B1. Process for the preparation of a nacre-based powder, isolated protein from said powder and their uses in bone surgery and in various osteoarticular pathologies |
4. Marine Biominerals
4.1. Corals
| Scientific Name | Coral Biominerals |
|---|---|
| Chemical structure, MW | Coral skeletons are composed mainly from CaCO3. MW: 100.1 g/mol [344]. |
| Physicochemical properties | Coral material is quite stable. It preserves highly organized porous structure after hydrothermal treatment and even sintering at 1250 °C [345]. Hydrothermal treatment of as sea received coral samples results in the transformation of crystalline aragonite (CaCO3) to hydroxyapatite [345]. |
| Coral extraction/Physical form after extraction | Coral derived materials include coral hydroxyapatite and aragonite, natural coral fragments, coral granules and coral powders [346]. |
| Biomaterials properties (biocompatibility, biodegradability, toxicity, immune responses) | Coral-derived material is biocompatible, structurally similar to human bone, with Young’s modulus of 0.580 to 9.032 GN m−2 (reported for octocorals) [347], non-toxic, biodegradable and of low immunogenicity [4,348]. Mechanical properties of octocorals were shown to depend on environment, i.e., the stiffest skeletons belong to the inhabitants of deeper environments (with pressure >80 atmospheres) while the least stiff skeletons are found in the colonies from shallow environments with moderate waves [347]. |
| Market situation (world market reports) | Materials to reconstruct bone defects are in high demand. In 2021, global markets for orthopedic and dental bone graft products is predicted to reach USD 3.4 billion and USD 1.0 billion, respectively [349]. Bone allografts can be obtained from corals cultured in aquarium systems and enriched with silica and strontium increasing coral osteoconductive properties, which was patented in the U.S.A. and Israel [349]. |
| Patents | Currently, about several hundreds of patents on coral cultivation, hydrothermal treatment of coral material yielding hydroxyapatite, modification of coral material and its applications exist. |
| For search, use: https://patents.google.com/ | |
| Selected examples: | |
| WO2009066463A1. Method of producing coral powder | |
| CN-107951818-A. Reparation toothpaste containing coral powder and hydroxyapatite component and preparation method thereof | |
| WO2010078879A2. Cosmetic use of a coral powder | |
| US8936638B2. Coral bone graft substitute | |
| EP2618858B1. Coral bone graft substitute | |
| WO2009066283A2. Calcium-mediated effects of coral and methods of use thereof | |
| KR100536500B1. Mass propagation methods of Korean Corals | |
| JP2008141989A. Method for propagating coral | |
| CN101702998B. Propagation method for coral grass seedling tissue culture | |
| WO2009066283A3. Calcium-mediated effects of coral and methods of use thereof | |
| EP0952114B1. Weathered hermatypic coral material | |
| DE20311110U1. Biological dental implant consists of coral | |
| US20060147656A1. Simulated coral rock and method of manufacture | |
| RU2472516C1. Biomaterial for bone defect replacement | |
| US7608283B2. Coral purification method and coral thus obtained | |
| WO2002040398A1. Processes for treating coral and coating an object |
4.2. Molluscan Shells
| Scientific Name | Molluscan Shells |
|---|---|
| Chemical structure, MW | Mostly composed of CaCO3, MW: 100.1 g/mol [377]. |
| Physicochemical properties | Molluscan shells are stable, exhibiting a high degree of morphological and crystallographic ordering [378] resulting in high values of the elastic modulus and bending strength (up to 82 GPa and 267 MPa, respectively) [379,380]. Importantly, the quality of the shell and its physical properties depend on environmental conditions [381]. High temperature treatment of shells leads to the conversion of CaCO3 to calcium oxide (CaO) [382] or it can be converted to hydroxyapatite by the hydrothermal method [383]. |
| Molluscan shell extraction/Physical form after extraction | In general, molluscan shells are collected as aquaculture industry waste byproduct and are further processed [384]. Physical forms of shells include shell fragments and powders [384]. |
| Biomaterials properties (biocompatibility, biodegradability, toxicity, immune responses) | Molluscan shell derived materials are considered to be biocompatible [385]. The nacre was reported to be biocompatible, biodegradable and exhibit osteogenic properties [386]. Furthermore, it showed limited cytotoxicity [387] and did not elicit immune responses [388]. The nacre exhibits outstanding mechanical properties which are species dependent (Pincfada: tensile strength of 140–170 MPa, Young’s modulus of 60–70 GPa; Hydnum rufescens: tensile strength of 180 ± 20 MPa; Pinctada margaritifera: tensile strength of 220 ± 60 MPa) [386]. |
| Market situation (world market reports) | The variety of molluscan shells applications (poultry food, pet nutrition liming agents) created a market of potentially increasing demand [389]. The development of shell valorisation methods will be crucial for the market stabilization [384]. |
| Patents | Currently, about several hundreds of patents related to various application of molluscan shells (building material component, bone graft material, decontaminants) or nacre itself (composites, cosmetic ingredients) exist. |
| For search, use: https://patents.google.com/ | |
| Selected examples: | |
| CN101971982A. Oyster shell powder containing hydrogen and manufacture method thereof | |
| CN106866807A. The preparation method of pearl protein, the pearl protein prepared by the method and its application | |
| WO2008017962A8. Microcapsules with improved shells | |
| KR101357078B1. Process for seperation of cutoffs having anti-inflamentary or osteoarthritis inhibition effects using oyster shells | |
| KR101771055B1. Composition comprising water-soluble pearl powder for skin whitening, anti-inflammation and anti-aging | |
| UDS 5968772. Pearl protein (nacrein) and process for producing the same | |
| US4312099A. Process for shucking a mollusk | |
| US8067078B1. Nacre composites, methods of synthesis, and methods of use | |
| US 6251438. Method of preparing active substances from nacre, products obtained which can be used in particular as medicaments | |
| FR2777190B1. Extraction process, identification of the active ingredients contained in the internal and external shell of sea molluscs, their use in people-based thera, diagnosis and cosmetic preparations | |
| FR2799125B1. Process for the preparation of a composition by extraction of nacre, comprising the complete components of the nacre, composition obtained by this process and its use in pharmacy and cosmetics. | |
| FR2899478A1. Process for extracting nacre molecules, compositions and use | |
| US8162241B2. Apparatus and method for collecting and crushing seashells on a beach | |
| US4939814A.Cultured mussel cleaning machine | |
| WO1997015398A1.Method for producing a lime product from mussel- and/or seashells |
5. Conclusions
Author Contributions
Funding
Conflicts of Interest
References
- Mutsenko, V.; Gryshkov, O.; Rogulska, O.; Lode, A.; Petrenko, A.; Gelinsky, M.; Glasmacher, B.; Ehrlich, H. Chitinous scaffolds from marine sponges for tissue engineering. In Marine-Derived Biomaterials for Tissue Engineering Applications; Choi, A., Ben-Nissan, B., Eds.; Springer: Singapore, 2019; pp. 285–309. ISBN 978-981-13-8855-2. [Google Scholar]
- Tsurkan, D.; Wysokowski, M.; Petrenko, I.; Voronkina, A.; Khrunyk, Y.; Fursov, A.; Ehrlich, H. Modern scaffolding strategies based on naturally pre-fabricated 3D biomaterials of poriferan origin. Appl. Phys. A Mater. Sci. Process. 2020, 126, 1–9. [Google Scholar] [CrossRef]
- Petrenko, I.; Khrunyk, Y.; Voronkina, A.; Kovalchuk, V.; Fursov, A.; Tsurkan, D.; Ivanenko, V. Poriferan chitin: 3D scaffolds from nano- to macroscale. A review. Lett. Appl. Nanobiosci. 2020, 9, 1004–1014. [Google Scholar]
- Ehrlich, H. Marine biological materials of Invertebrate origin. In Proceedings of the Biologically-Inspired Systems; Springer: Berlin/Heidelberg, Germany, 2019. [Google Scholar]
- Venkatesan, J.; Kim, S.K. Marine biomaterials. In Springer Handbook of Marine Biotechnology; Springer: Berlin, Germany, 2015; ISBN 9783642539718. [Google Scholar]
- Anitha, A.; Sowmya, S.; Kumar, P.T.S.; Deepthi, S.; Chennazhi, K.P.; Ehrlich, H.; Tsurkan, M.; Jayakumar, R. Chitin and chitosan in selected biomedical applications. Prog. Polym. Sci. 2014, 39, 1644–1667. [Google Scholar] [CrossRef]
- Patel, D.P.; Singh, S. Chitosan: A multifacet polymer. Int. J. Curr. Pharm. Res. 2015, 7, 21–28. [Google Scholar]
- Younes, I.; Rinaudo, M. Chitin and chitosan preparation from marine sources. Structure, properties and applications. Mar. Drugs 2015, 13, 1133–1174. [Google Scholar] [CrossRef]
- Marpu, S.B.; Benton, E.N. Shining light on chitosan: A review on the usage of chitosan for photonics and nanomaterials research. Int. J. Mol. Sci. 2018, 19, 1795. [Google Scholar] [CrossRef]
- Kaczmarek, M.B.; Struszczyk-Swita, K.; Li, X.; Szczęsna-Antczak, M.; Daroch, M. Enzymatic modifications of chitin, chitosan, and chitooligosaccharides. Front. Bioeng. Biotechnol. 2019, 18, 577–594. [Google Scholar] [CrossRef]
- Yaneva, Z.; Ivanova, D.; Nikolova, N.; Tzanova, M. The 21st century revival of chitosan in service to bio-organic chemistry. Biotechnol. Biotechnol. Equip. 2020. [Google Scholar] [CrossRef]
- Oyatogun, G.M.; Esan, T.A.; Akpan, E.I.; Adeosun, S.O.; Popoola, A.P.I.; Imasogie, B.I.; Soboyejo, W.O.; Afonja, A.A.; Ibitoye, S.A.; Abere, V.D.; et al. Chitin, chitosan, marine to market. In Handbook of Chitin and Chitosan; Elsevier: Amsterdam, The Netherlands, 2020; pp. 335–376. [Google Scholar]
- Silva, T.H.; Alves, A.; Ferreira, B.M.; Oliveira, J.M.; Reys, L.L.; Ferreira, R.J.F.; Sousa, R.A.; Silva, S.S.; Mano, J.F.; Reis, R.L. Materials of marine origin: A review on polymers and ceramics of biomedical interest. Int. Mater. Rev. 2012, 57, 276–306. [Google Scholar] [CrossRef]
- Kaya, M.; Mujtaba, M.; Ehrlich, H.; Salaberria, A.M.; Baran, T.; Amemiya, C.T.; Galli, R.; Akyuz, L.; Sargin, I.; Labidi, J. On chemistry of γ-chitin. Carbohydr. Polym. 2017, 176, 177–186. [Google Scholar] [CrossRef]
- Tsurkan, M.V.; Voronkina, A.; Khrunyk, Y.; Wysokowski, M.; Petrenko, I.; Ehrlich, H. Progress in chitin analytics. Carbohydr. Polym. 2020, 252, 117204. [Google Scholar] [CrossRef] [PubMed]
- Moussian, B. Chitin: Structure, chemistry and biology. In Advances in Experimental Medicine and Biology; Springer: Cham, Switzerland, 2019; Volume 1142, pp. 5–18. [Google Scholar]
- Casadidio, C.; Peregrina, D.V.; Gigliobianco, M.R.; Deng, S.; Censi, R.; Di Martino, P. Chitin and chitosans: Characteristics, eco-friendly processes, and applications in cosmetic science. Mar. Drugs 2019, 17, 369. [Google Scholar] [CrossRef] [PubMed]
- Shamshina, J.L.; Berton, P. Use of ionic liquids in chitin biorefinery: A systematic review. Front. Bioeng. Biotechnol. 2020, 8. [Google Scholar] [CrossRef] [PubMed]
- Laurienzo, P. Marine polysaccharides in pharmaceutical applications: An overview. Mar. Drugs 2010, 8, 2435–2465. [Google Scholar] [CrossRef]
- Kaur, S.; Dhillon, G.S. Recent trends in biological extraction of chitin from marine shell wastes: A review. Crit. Rev. Biotechnol. 2015, 35, 44–61. [Google Scholar] [CrossRef] [PubMed]
- Suryawanshi, N.; Jujjavarapu, S.E.; Ayothiraman, S. Marine shell industrial wastes–an abundant source of chitin and its derivatives: Constituents, pretreatment, fermentation, and pleiotropic applications-a revisit. Int. J. Environ. Sci. Technol. 2019, 16, 3877–3898. [Google Scholar] [CrossRef]
- Sanandiya, N.D.; Ottenheim, C.; Phua, J.W.; Caligiani, A.; Dritsas, S.; Fernandez, J.G. Circular manufacturing of chitinous bio-composites via bioconversion of urban refuse. Sci. Rep. 2020, 10. [Google Scholar] [CrossRef] [PubMed]
- Santos, V.P.; Marques, N.S.; Maia, P.C.; de Lima, M.A.; Franco, L.D.; Campos-Takaki, G.M. Seafood waste as attractive source of chitin and chitosan production and their applications. Int. J. Mol. Sci. 2020, 21, 4290. [Google Scholar] [CrossRef]
- Tan, Y.N.; Lee, P.P.; Chen, W.N. Microbial extraction of chitin from seafood waste using sugars derived from fruit waste-stream. AMB Express 2020, 10, 1–11. [Google Scholar] [CrossRef]
- Nowacki, K.; Stępniak, I.; Langer, E.; Tsurkan, M.; Wysokowski, M.; Petrenko, I.; Khrunyk, Y.; Fursov, A.; Bo, M.; Bavestrello, G.; et al. Electrochemical approach for isolation of chitin from the skeleton of the black coral Cirrhipathes sp. (Antipatharia). Mar. Drugs 2020, 18, 297. [Google Scholar] [CrossRef]
- Connors, M.J.; Ehrlich, H.; Hog, M.; Godeffroy, C.; Araya, S.; Kallai, I.; Gazit, D.; Boyce, M.; Ortiz, C. Three-dimensional structure of the shell plate assembly of the chiton Tonicella marmorea and its biomechanical consequences. J. Struct. Biol. 2012, 277, 314–328. [Google Scholar] [CrossRef] [PubMed]
- Bo, M.; Bavestrello, G.; Kurek, D.; Paasch, S.; Brunner, E.; Born, R.; Galli, R.; Stelling, A.L.; Sivkov, V.N.; Petrova, O.V.; et al. Isolation and identification of chitin in the black coral Parantipathes larix (Anthozoa: Cnidaria). Int. J. Biol. Macromol. 2012, 51, 129–137. [Google Scholar] [CrossRef] [PubMed]
- Philibert, T.; Lee, B.H.; Fabien, N. Current status and new perspectives on chitin and chitosan as functional biopolymers. Appl. Biochem. Biotechnol. 2017, 181, 1314–1337. [Google Scholar] [CrossRef] [PubMed]
- Maruthiah, T.; Palavesam, A. Characterization of haloalkalophilic organic solvent tolerant protease for chitin extraction from shrimp shell waste. Int. J. Biol. Macromol. 2017, 97, 552–560. [Google Scholar] [CrossRef]
- Doan, C.T.; Tran, T.N.; Nguyen, V.B.; Vo, T.P.K.; Nguyen, A.D.; Wang, S.L. Chitin extraction from shrimp waste by liquid fermentation using an alkaline protease-producing strain, Brevibacillus parabrevis. Int. J. Biol. Macromol. 2019, 131, 706–715. [Google Scholar] [CrossRef]
- Ghorbel-Bellaaj, O.; Younes, I.; Maâlej, H.; Hajji, S.; Nasri, M. Chitin extraction from shrimp shell waste using Bacillus bacteria. Int. J. Biol. Macromol. 2012, 51, 1196–1201. [Google Scholar] [CrossRef]
- Bajaj, M.; Freiberg, A.; Winter, J.; Xu, Y.; Gallert, C. Pilot-scale chitin extraction from shrimp shell waste by deproteination and decalcification with bacterial enrichment cultures. Appl. Microbiol. Biotechnol. 2015, 99, 9835–9846. [Google Scholar] [CrossRef]
- Paul, T.; Halder, S.K.; Das, A.; Ghosh, K.; Mandal, A.; Payra, P.; Barman, P.; Das Mohapatra, P.K.; Pati, B.R.; Mondal, K.C. Production of chitin and bioactive materials from Black tiger shrimp (Penaeus monodon) shell waste by the treatment of bacterial protease cocktail. Biotech 2015, 5, 483–493. [Google Scholar] [CrossRef]
- Tolesa, L.D.; Gupta, B.S.; Lee, M.J. Chitin and chitosan production from shrimp shells using ammonium-based ionic liquids. Int. J. Biol. Macromol. 2019, 130, 818–826. [Google Scholar] [CrossRef]
- Klinger, C.; Żółtowska-Aksamitowska, S.Z.; Wysokowski, M.; Tsurkan, M.V.; Galli, R.; Petrenko, I.; Machałowski, T.; Ereskovsky, A.; Martinović, R.; Muzychka, L.; et al. Express method for isolation of ready-to-use 3D chitin scaffolds from Aplysina archeri (Aplysineidae: Verongiida) demosponge. Mar. Drugs 2019, 17, 131. [Google Scholar] [CrossRef]
- Yu, Z.; Lau, D. Molecular dynamics study on stiffness and ductility in chitin–protein composite. J. Mater. Sci. 2015, 50, 7149–7157. [Google Scholar] [CrossRef]
- Raabe, D.; Sachs, C.; Romano, P. The crustacean exoskeleton as an example of a structurally and mechanically graded biological nanocomposite material. Acta Mater. 2005, 53, 4281–4292. [Google Scholar] [CrossRef]
- Stawski, D.; Rabiej, S.; Herczyńska, L.; Draczyński, Z. Thermogravimetric analysis of chitins of different origin. J. Therm. Anal. Calorim. 2008, 93, 489–494. [Google Scholar] [CrossRef]
- Ehrlich, H.; Rigby, J.K.; Botting, J.P.; Tsurkan, M.V.; Werner, C.; Schwille, P.; Petrášek, Z.; Pisera, A.; Simon, P.; Sivkov, V.N.; et al. Discovery of 505-million-year old chitin in the basal demosponge Vauxia gracilenta. Sci. Rep. 2013, 3. [Google Scholar] [CrossRef] [PubMed]
- Stawski, D. Thermogravimetric analysis of sponge chitins in thermooxidative conditions. In Extreme Biomimetics; Ehrlich, H., Ed.; Springer: Cham, Switzerland, 2017; pp. 191–205. ISBN 978-3-319-45340-8. [Google Scholar]
- Silva, S.S.; Gomes, J.M.; Vale, A.C.; Lu, S.; Reis, R.L.; Kundu, S.C. Green pathway for processing non-mulberry Antheraea pernyi silk fibroin/chitin-based sponges: Biophysical and biochemical characterization. Front. Mater. 2020, 7. [Google Scholar] [CrossRef]
- Morganti, P.; Morganti, G.; Coltelli, M.B. Chitin Nanomaterials and Nanocomposites for Tissue Repair. In Marine-Derived Biomaterials for Tissue Engineering Applications; Choi, A., Ben-Nissan, B., Eds.; Springer: Singapore, 2019; ISBN 978-981-13-8855-2. [Google Scholar]
- Ehrlich, H.; Worch, H. Sponges as natural composites: From biomimetic potential to development of new biomaterials. In Porifera Research: Biodiversity, Innovation and Sustainability; Museu Nacional: Rio de Janeiro, Brasil, 2007; pp. 217–223. ISBN 978-85-7427-023-4. [Google Scholar]
- Wang, Y.J.; Jiang, W.X.; Zhang, Y.S.; Cao, H.Y.; Zhang, Y.; Chen, X.L.; Li, C.Y.; Wang, P.; Zhang, Y.Z.; Song, X.Y.; et al. Structural insight into chitin degradation and thermostability of a novel endochitinase from the glycoside hydrolase family 18. Front. Microbiol. 2019, 10. [Google Scholar] [CrossRef]
- Niho, N.; Tamura, T.; Toyoda, K.; Uneyama, C.; Shibutani, M.; Hirose, M. A 13-week subchronic toxicity study of chitin in F344 rats. Bull. Natl. Inst. Health Sci. 1999, 117, 129–134. [Google Scholar]
- Elieh-Ali-Komi, D.; Hamblin, M.R. Chitin and chitosan: Production and application of versatile biomedical nanomaterials. Int. J. Adv. Res. 2016, 4, 411–427. [Google Scholar]
- Elieh Ali Komi, D.; Sharma, L.; Dela Cruz, C.S. Chitin and its effects on inflammatory and immune responses. Clin. Rev. Allergy Immunol. 2018, 54, 213–223. [Google Scholar] [CrossRef] [PubMed]
- Arbia, W.; Arbia, L.; Adour, L.; Amrane, A. Chitin extraction from crustacean shells using biological methods—A review. Food Technol. Biotechnol. 2013, 51, 12–25. [Google Scholar]
- Nguyen, T.T.; Barber, A.R.; Corbin, K.; Zhang, W. Lobster processing by-products as valuable bioresource of marine functional ingredients, nutraceuticals, and pharmaceuticals. Bioresour. Bioprocess. 2017, 4, 1–9. [Google Scholar] [CrossRef] [PubMed]
- Jones, M.; Kujundzic, M.; John, S.; Bismarck, A. Crab vs. Mushroom: A review of crustacean and fungal chitin in wound treatment. Mar. Drugs 2020, 18, 64. [Google Scholar] [CrossRef] [PubMed]
- Rech, A.S.; Rech, J.C.; Caprario, J.; Tasca, F.A.; Recio, M.Á.L.; Finotti, A.R. Use of shrimp shell for adsorption of metals present in surface runoff. Water Sci. Technol. 2019, 79, 2221–2230. [Google Scholar] [CrossRef] [PubMed]
- Lokman, I.H.; Ibitoye, E.B.; Hezmee, M.N.M.; Goh, Y.M.; Zuki, A.B.Z.; Jimoh, A.A. Effects of chitin and chitosan from cricket and shrimp on growth and carcass performance of broiler chickens. Trop. Anim. Health Prod. 2019, 51, 2219–2225. [Google Scholar] [CrossRef]
- Las Heras, K.; Santos-Vizcaino, E.; Garrido, T.; Borja Gutierrez, F.; Aguirre, J.J.; de la Caba, K.; Guerrero, P.; Igartua, M.; Hernandez, R.M. Soy protein and chitin sponge-like scaffolds: From natural by-products to cell delivery systems for biomedical applications. Green Chem. 2020, 22, 3445–3460. [Google Scholar] [CrossRef]
- Larbi, F.; García, A.; del Valle, L.J.; Hamou, A.; Puiggalí, J.; Belgacem, N.; Bras, J. Comparison of nanocrystals and nanofibers produced from shrimp shell α-chitin: From energy production to material cytotoxicity and Pickering emulsion properties. Carbohydr. Polym. 2018, 196, 385–397. [Google Scholar] [CrossRef]
- Ehrlich, H.; Krautter, M.; Hanke, T.; Simon, P.; Knieb, C.; Heinemann, S.; Worch, H. First evidence of the presence of chitin in skeletons of marine sponges. Part II. Glass sponges (Hexactinellida: Porifera). J. Exp. Zool. Part B Mol. Dev. Evol. 2007, 308, 473–483. [Google Scholar] [CrossRef]
- Ehrlich, H.; Maldonado, M.; Spindler, K.D.; Eckert, C.; Hanke, T.; Born, R.; Goebel, C.; Simon, P.; Heinemann, S.; Worch, H. First evidence of chitin as a component of the skeletal fibers of marine sponges. Part I. Verongidae (Demospongia: Porifera). J. Exp. Zool. Part B Mol. Dev. Evol. 2007, 308, 347–356. [Google Scholar] [CrossRef]
- Ehrlich, H.; Ilan, M.; Maldonado, M.; Muricy, G.; Bavestrello, G.; Kljajic, Z.; Carballo, J.L.; Schiaparelli, S.; Ereskovsky, A.; Schupp, P.; et al. Three-dimensional chitin-based scaffolds from Verongida sponges (Demospongiae: Porifera). Part I. Isolation and identification of chitin. Int. J. Biol. Macromol. 2010, 47, 132–140. [Google Scholar] [CrossRef]
- Cruz-Barraza, J.A.; Carballo, J.L.; Rocha-Olivares, A.; Ehrlich, H.; Hog, M. Integrative taxonomy and molecular phylogeny of genus Aplysina (Demospongiae: Verongida) from Mexican Pacific. PLoS ONE 2012, 7, e42049. [Google Scholar] [CrossRef]
- Wysokowski, M.; Bazhenov, V.V.; Tsurkan, M.V.; Galli, R.; Stelling, A.L.; Stöcker, H.; Kaiser, S.; Niederschlag, E.; Gärtner, G.; Behm, T.; et al. Isolation and identification of chitin in three-dimensional skeleton of Aplysina fistularis marine sponge. Int. J. Biol. Macromol. 2013, 62, 94–100. [Google Scholar] [CrossRef] [PubMed]
- Zakrzewski, A.C.; Weigert, A.; Helm, C.; Adamski, M.; Adamska, M.; Bleidorn, C.; Raible, F.; Hausen, H. Early divergence, broad distribution, and high diversity of animal chitin synthases. Genome Biol. Evol. 2014, 6, 316–325. [Google Scholar] [CrossRef] [PubMed]
- Mutsenko, V.V.; Bazhenov, V.V.; Rogulska, O.; Tarusin, D.N.; Schütz, K.; Brüggemeier, S.; Gossla, E.; Akkineni, A.R.; Meißner, H.; Lode, A.; et al. 3D chitinous scaffolds derived from cultivated marine demosponge Aplysina aerophoba for tissue engineering approaches based on human mesenchymal stromal cells. Int. J. Biol. Macromol. 2017, 104, 1966–1974. [Google Scholar] [CrossRef] [PubMed]
- Mutsenko, V.V.; Gryshkov, O.; Lauterboeck, L.; Rogulska, O.; Tarusin, D.N.; Bazhenov, V.V.; Schütz, K.; Brüggemeier, S.; Gossla, E.; Akkineni, A.R.; et al. Novel chitin scaffolds derived from marine sponge Ianthella basta for tissue engineering approaches based on human mesenchymal stromal cells: Biocompatibility and cryopreservation. Int. J. Biol. Macromol. 2017, 104, 1955–1965. [Google Scholar] [CrossRef]
- Żółtowska-Aksamitowska, S.; Shaala, L.A.; Youssef, D.T.A.; Elhady, S.S.; Tsurkan, M.V.; Petrenko, I.; Wysokowski, M.; Tabachnick, K.; Meissner, H.; Ivanenko, V.N.; et al. First report on chitin in a non-verongiid marine demosponge: The Mycale euplectellioides case. Mar. Drugs 2018, 16, 68. [Google Scholar] [CrossRef] [PubMed]
- Żółtowska-Aksamitowska, S.; Tsurkan, M.V.; Lim, S.C.; Meissner, H.; Tabachnick, K.; Shaala, L.A.; Youssef, D.T.A.; Ivanenko, V.N.; Petrenko, I.; Wysokowski, M.; et al. The demosponge Pseudoceratina purpurea as a new source of fibrous chitin. Int. J. Biol. Macromol. 2018, 112, 1021–1028. [Google Scholar] [CrossRef]
- Ehrlich, H.; Shaala, L.A.; Youssef, D.T.A.; Zoltowska Żółtowska-Aksamitowska, S.; Tsurkan, M.; Galli, R.; Meissner, H.; Wysokowski, M.; Petrenko, I.; Tabachnick, K.R.; et al. Discovery of chitin in skeletons of non-verongiid Red Sea demosponges. PLoS ONE 2018, 13, e0195803. [Google Scholar] [CrossRef] [PubMed]
- Schubert, M.; Binnewerg, B.; Voronkina, A.; Muzychka, L.; Wysokowski, M.; Petrenko, I.; Kovalchuk, V.; Tsurkan, M.; Martinovic, R.; Bechmann, N.; et al. Naturally prefabricated marine biomaterials: Isolation and applications of flat chitinous 3D scaffolds from Ianthella labyrinthus (demospongiae: Verongiida). Int. J. Mol. Sci. 2019, 20, 5105. [Google Scholar] [CrossRef]
- Fromont, J.; Żółtowska-Aksamitowska, S.; Galli, R.; Meissner, H.; Erpenbeck, D.; Vacelet, J.; Diaz, C.; Tsurkan, M.V.; Petrenko, I.; Youssef, D.T.A.; et al. New family and genus of a Dendrilla-like sponge with characters of Verongiida. Part II. Discovery of chitin in the skeleton of Ernstilla lacunosa. Zool. Anz. 2019, 280, 21–29. [Google Scholar] [CrossRef]
- Kovalchuk, V.; Voronkina, A.; Binnewerg, B.; Schubert, M.; Muzychka, L.; Wysokowski, M.; Tsurkan, M.V.; Bechmann, N.; Petrenko, I.; Fursov, A.; et al. Naturally drug-loaded chitin: Isolation and applications. Mar. Drugs 2019, 17, 574. [Google Scholar] [CrossRef]
- Zdarta, J.; Machałowski, T.; Degórska, O.; Bachosz, K.; Fursov, A.; Ehrlich, H.; Ivanenko, V.N.; Jesionowski, T. 3D Chitin scaffolds from the marine demosponge Aplysina archeri as a support for laccase immobilization and its use in the removal of pharmaceuticals. Biomolecules 2020, 10, 646. [Google Scholar] [CrossRef] [PubMed]
- Talevski, T.; Talevska Leshoska, A.; Pejoski, E.; Pejin, B.; Machałowski, T.; Wysokowski, M.; Tsurkan, M.V.; Petrova, O.; Sivkov, V.; Martinovic, R.; et al. Identification and first insights into the structure of chitin from the endemic freshwater demosponge Ochridaspongia rotunda (Arndt, 1937). Int. J. Biol. Macromol. 2020. [Google Scholar] [CrossRef] [PubMed]
- Ehrlich, H.; Bazhenov, V.; Meschke, S.; Bürger, M.; Ehrlich, A.; Petovic, S.; Durovic, M. Marine invertebrates of Boka Kotorska Bay unique sources for bioinspired materials science. In Handbook of Environmental Chemistry; Springer: Cham, Switzerland, 2017; pp. 313–334. [Google Scholar]
- Ehrlich, H. Chitin of poriferan origin as a unique biological material. In Blue Biotechnology: Production and Use of Marine Molecules; La Barre, S., Bates, S.S., Eds.; John Wiley & Sons: Chichester, UK, 2018; pp. 821–854. ISBN 978-3-527-341-38-2. [Google Scholar]
- Steck, E.; Burkhardt, M.; Ehrlich, H.; Richter, W. Discrimination between cells of murine and human origin in xenotransplants by species specific genomic in situ hybridization. Xenotransplantation 2010, 17, 153–159. [Google Scholar] [CrossRef] [PubMed]
- Ehrlich, H.; Steck, E.; Ilan, M.; Maldonado, M.; Muricy, G.; Bavestrello, G.; Kljajic, Z.; Carballo, J.L.; Schiaparelli, S.; Ereskovsky, A.; et al. Three-dimensional chitin-based scaffolds from Verongida sponges (Demospongiae: Porifera). Part II: Biomimetic potential and applications. Int. J. Biol. Macromol. 2010, 47, 141–145. [Google Scholar] [CrossRef] [PubMed]
- Machałowski, T.; Wysokowski, M.; Petrenko, I.; Langer, E.; Tsurkan, D.; Jesionowski, T.; Ehrlich, H. In vivo biomimetic calcification of selected organic scaffolds using snail shell regeneration: A new methodological approach. Appl. Phys. A Mater. Sci. Process. 2020, 126, 1–9. [Google Scholar] [CrossRef]
- Wysokowski, M.; Machałowski, T.; Petrenko, I.; Schimpf, C.; Rafaja, D.; Galli, R.; Ziętek, J.; Pantović, S.; Voronkina, A.; Kovalchuk, V.; et al. 3D chitin scaffolds of marine demosponge origin for biomimetic mollusk hemolymph-associated biomineralization ex-vivo. Mar. Drugs 2020, 18, 123. [Google Scholar] [CrossRef]
- Schleuter, D.; Günther, A.; Paasch, S.; Ehrlich, H.; Kljajić, Z.; Hanke, T.; Bernhard, G.; Brunner, E. Chitin-based renewable materials from marine sponges for uranium adsorption. Carbohydr. Polym. 2013, 92, 712–718. [Google Scholar] [CrossRef]
- Ehrlich, H. Biomimetic potential of chitin-based composite biomaterials of poriferan origin. In Biomimetic Biomaterials: Structure and Applications; Ruys, A.J., Ed.; Woodhead Publishing: Philadelphia, PA, USA; New Delhi, India, 2013. [Google Scholar]
- Wysokowski, M.; Petrenko, I.; Stelling, A.L.; Stawski, D.; Jesionowski, T.; Ehrlich, H. Poriferan chitin as a versatile template for extreme biomimetics. Polymers 2015, 7, 235–265. [Google Scholar] [CrossRef]
- Petrenko, I.; Bazhenov, V.V.; Galli, R.; Wysokowski, M.; Fromont, J.; Schupp, P.J.; Stelling, A.L.; Niederschlag, E.; Stöker, H.; Kutsova, V.Z.; et al. Chitin of poriferan origin and the bioelectrometallurgy of copper/copper oxide. Int. J. Biol. Macromol. 2017, 104, 1626–1663. [Google Scholar] [CrossRef]
- Petrenko, I.; Bazhenov, V.V.; Stelling, A.L.; Kutsova, V.Z. Bioelectrometallurgy of copper on chitin. In Extreme Biomimetics; Ehrlich, H., Ed.; Springer: Cham, Switzerland, 2017; pp. 205–223. ISBN 978-3-319-45340-8. [Google Scholar]
- Wysokowski, M.; Motylenko, M.; Bazhenov, V.V.; Stawski, D.; Petrenko, I.; Ehrlich, A.; Behm, T.; Kljajic, Z.; Stelling, A.L.; Jesionowski, T.; et al. Poriferan chitin as a template for hydrothermal zirconia deposition. Front. Mater. Sci. 2013, 7, 248–260. [Google Scholar] [CrossRef]
- Wysokowski, M.; Motylenko, M.; Walter, J.; Lota, G.; Wojciechowski, J.; Stöcker, H.; Galli, R.; Stelling, A.L.; Himcinschi, C.; Niederschlag, E.; et al. Synthesis of nanostructured chitin-hematite composites under extreme biomimetic conditions. RSC Adv. 2014, 4, 61743–61752. [Google Scholar] [CrossRef]
- Wysokowski, M.; Motylenko, M.; Beyer, J.; Makarova, A.; Stöcker, H.; Walter, J.; Galli, R.; Kaiser, S.; Vyalikh, D.; Bazhenov, V.V.; et al. Extreme biomimetic approach for developing novel chitin-GeO2 nanocomposites with photoluminescent properties. Nano Res. 2015, 8, 2288–2301. [Google Scholar] [CrossRef]
- Wysokowski, M.; Piasecki, A.; Bazhenov, V.V.; Paukszta, D.; Born, R.; Schupp, P.; Petrenko, I.; Jesionowski, T. Poriferan chitin as the scaffold for nanosilica deposition under hydrothermal synthesis conditions. J. Chitin Chitosan Sci. 2013, 1, 26–38. [Google Scholar] [CrossRef]
- Petrenko, I.; Summers, A.P.; Simon, P.; Żółtowska-Aksamitowska, S.; Motylenko, M.; Schimpf, C.; Rafaja, D.; Roth, F.; Kummer, K.; Brendler, E.; et al. Extreme biomimetics: Preservation of molecular detail in centimeter-scale samples of biological meshes laid down by sponges. Sci. Adv. 2019, 5, eaax2805. [Google Scholar] [CrossRef]
- Stepniak, I.; Galinski, M.; Nowacki, K.; Wysokowski, M.; Jakubowska, P.; Bazhenov, V.V.; Leisegang, T.; Ehrlich, H.; Jesionowski, T. A novel chitosan/sponge chitin origin material as a membrane for supercapacitors-preparation and characterization. RSC Adv. 2016, 6, 4007–4013. [Google Scholar] [CrossRef]
- Machałowski, T.; Czajka, M.; Petrenko, I.; Meissner, H.; Schimpf, C.; Rafaja, D.; Ziętek, J.; Dzięgiel, B.; Adaszek, Ł.; Voronkina, A.; et al. Functionalization of 3D chitinous skeletal scaffolds of sponge origin using silver nanoparticles and their antibacterial properties. Mar. Drugs 2020, 18, 304. [Google Scholar] [CrossRef]
- Tseng, C.K. Utilization of seaweeds. Sci. Mon. 1944, 59, 37–46. [Google Scholar]
- Joshi, S.; Eshwar, S.; Jain, V. Marine polysaccharides: Biomedical and tissue engineering applications. In Marine-Derived Biomaterials for Tissue Engineering Applications; Choi, A.H., Ben-Nissan, B., Eds.; Springer: Singapore, 2019; pp. 443–491. ISBN 978-981-13-8855-2. [Google Scholar]
- Jönsson, M.; Allahgholi, L.; Sardari, R.R.R.; Hreggviosson, G.O.; Karlsson, E.N. Extraction and modification of macroalgal polysaccharides for current and next-generation applications. Molecules 2020, 25, 930. [Google Scholar] [CrossRef]
- Mautner, H.G. The chemistry of brown algae. Econ. Bot. 1954, 8, 174–192. [Google Scholar] [CrossRef]
- Smidsrød, O.; Skjåk-Bræk, G. Alginate as immobilization matrix for cells. Trends Biotechnol. 1990, 8, 71–78. [Google Scholar] [CrossRef]
- Yu, C.; Li, D. The Alginate Having Low Molecular Weight, Methods of Manufacturing It and Its Use. U.S. Patent No. CA 2430277 A1, 6 July 2001. [Google Scholar]
- Fertah, M. Isolation and characterization of alginate from seaweed. In Seaweed Polysaccharides: Isolation, Biological and Biomedical Applications; Elsevier: Amsterdam, The Netherlands, 2017; pp. 11–26. ISBN 9780128098172. [Google Scholar]
- Tønnesen, H.H.; Karlsen, J. Alginate in drug delivery systems. Drug Dev. Ind. Pharm. 2002, 28, 621–630. [Google Scholar] [CrossRef] [PubMed]
- Mørch, Ý.A.; Donati, I.; Strand, B.L.; Skjåk-Bræk, G. Effect of Ca2+, Ba2+, and Sr2+ on alginate microbeads. Biomacromolecules 2006, 7, 1471–1480. [Google Scholar] [CrossRef] [PubMed]
- Windhues, T.; Borchard, W. Effect of acetylation on physico-chemical properties of bacterial and algal alginates in physiological sodium chloride solutions investigated with light scattering techniques. Carbohydr. Polym. 2003, 52, 47–52. [Google Scholar] [CrossRef]
- Rehm, B.H.A.; Fata Moradali, M. (Eds.) Alginates and Their Biomedical Applications; Springer Nature: Singapore, 2018; ISBN 978-981-10-6910-9. [Google Scholar]
- Łabowska, M.B.; Michalak, I.; Detyna, J. Methods of extraction, physicochemical properties of alginates and their applications in biomedical field—A review. Open Chem. 2019, 17, 738–762. [Google Scholar] [CrossRef]
- Youssouf, L.; Lallemand, L.; Giraud, P.; Soulé, F.; Bhaw-Luximon, A.; Meilhac, O.; D’Hellencourt, C.L.; Jhurry, D.; Couprie, J. Ultrasound-assisted extraction and structural characterization by NMR of alginates and carrageenans from seaweeds. Carbohydr. Polym. 2017, 166, 55–63. [Google Scholar] [CrossRef] [PubMed]
- Market Data Forecast. Available online: https://www.marketdataforecast.com/market-reports/alginates-market (accessed on 3 September 2020).
- Dhamecha, D.; Movsas, R.; Sano, U.; Menon, J.U. Applications of alginate microspheres in therapeutics delivery and cell culture: Past, present and future. Int. J. Pharm. 2019, 569. [Google Scholar] [CrossRef]
- Somo, S.I.; Khanna, O.; Brey, E.M. Alginate microbeads for cell and protein delivery. Methods Mol. Biol. 2017, 1479, 217–224. [Google Scholar] [CrossRef]
- Cong, Z.; Shi, Y.; Wang, Y.; Wang, Y.; Niu, J.; Chen, N.; Xue, H. A novel controlled drug delivery system based on alginate hydrogel/chitosan micelle composites. Int. J. Biol. Macromol. 2018, 107, 855–864. [Google Scholar] [CrossRef]
- Severino, P.; da Silva, C.F.; Andrade, L.N.; de Lima Oliveira, D.; Campos, J.; Souto, E.B. Alginate nanoparticles for drug delivery and targeting. Curr. Pharm. Des. 2019, 25, 1312–1334. [Google Scholar] [CrossRef]
- Hariyadi, D.M.; Hendradi, E.; Purwanti, T.; Fadil, F.D.G.P.; Ramadani, C.N. Effect of cross linking agent and polymer on the characteristics of ovalbumin loaded alginate microspheres. Int. J. Pharm. Pharm. Sci. 2014, 6, 469–474. [Google Scholar]
- Darrabie, M.D.; Kendall, W.F.; Opara, E.C. Characteristics of Poly-L-Ornithine-coated alginate microcapsules. Biomaterials 2005, 26, 6846–6852. [Google Scholar] [CrossRef] [PubMed]
- Chandy, T.; Mooradian, D.L.; Rao, G.H.R. Evaluation of modified alginate-chitosan-polyethylene glycol microcapsules for cell encapsulation. Artif. Organs 1999, 23, 894–903. [Google Scholar] [CrossRef] [PubMed]
- Ching, S.H.; Bansal, N.; Bhandari, B. Alginate gel particles–A review of production techniques and physical properties. Crit. Rev. Food Sci. Nutr. 2017, 57, 1133–1152. [Google Scholar] [CrossRef]
- Calasans-Maia, M.D.; Barboza, C.A.B.; Soriano-Souza, C.A.; Novellino Alves, A.T.N.; De Pinheiro Uzeda, M.J.; Martinez-Zelaya, V.R.; Mavropoulos, E.; Rocha Leão, M.H.; De Santana, R.B.; Granjeiro, J.M.; et al. Microspheres of alginate encapsulated minocycline-loaded nanocrystalline carbonated hydroxyapatite: Therapeutic potential and effects on bone regeneration. Int. J. Nanomed. 2019, 14, 4559–4571. [Google Scholar] [CrossRef] [PubMed]
- Unagolla, J.M.; Jayasuriya, A.C. Drug transport mechanisms and in vitro release kinetics of vancomycin encapsulated chitosan-alginate polyelectrolyte microparticles as a controlled drug delivery system. Eur. J. Pharm. Sci. 2018, 114, 199–209. [Google Scholar] [CrossRef]
- Jain, R.R.; Mehta, M.R.; Bannalikar, A.R.; Menon, M.D. Alginate microparticles loaded with lipopolysaccharide subunit antigen for mucosal vaccination against Klebsiella pneumoniae. Biologicals 2015, 43, 195–201. [Google Scholar] [CrossRef]
- Almurisi, S.H.; Doolaanea, A.A.; Akkawi, M.E.; Chatterjee, B.; Sarker, M.Z.I. Taste masking of paracetamol encapsulated in chitosan-coated alginate beads. J. Drug Deliv. Sci. Technol. 2020, 56. [Google Scholar] [CrossRef]
- Kim, C.; Kim, H.; Park, H.; Lee, K.Y. Controlling the porous structure of alginate ferrogel for anticancer drug delivery under magnetic stimulation. Carbohydr. Polym. 2019, 223. [Google Scholar] [CrossRef]
- Reakasame, S.; Boccaccini, A.R. Oxidized Alginate-based hydrogels for tissue engineering applications: A review. Biomacromolecules 2018, 19, 3–21. [Google Scholar] [CrossRef]
- Rastogi, P.; Kandasubramanian, B. Review of alginate-based hydrogel bioprinting for application in tissue engineering. Biofabrication 2019, 11, 042001. [Google Scholar] [CrossRef]
- Aljohani, W.; Ullah, M.W.; Zhang, X.; Yang, G. Bioprinting and its applications in tissue engineering and regenerative medicine. Int. J. Biol. Macromol. 2018, 107, 261–275. [Google Scholar] [CrossRef] [PubMed]
- Axpe, E.; Oyen, M.L. Applications of alginate-based bioinks in 3D bioprinting. Int. J. Mol. Sci. 2016, 17, 1976. [Google Scholar] [CrossRef] [PubMed]
- Silva, R.; Singh, R.; Sarker, B.; Papageorgiou, D.G.; Juhasz-Bortuzzo, J.A.; Roether, J.A.; Cicha, I.; Kaschta, J.; Schubert, D.W.; Chrissafis, K.; et al. Hydrogel matrices based on elastin and alginate for tissue engineering applications. Int. J. Biol. Macromol. 2018, 114, 614–625. [Google Scholar] [CrossRef] [PubMed]
- Dodero, A.; Scarfi, S.; Pozzolini, M.; Vicini, S.; Alloisio, M.; Castellano, M. Alginate-based electrospun membranes containing ZnO nanoparticles as potential wound healing patches: Biological, mechanical, and physicochemical characterization. ACS Appl. Mater. Interfaces 2020, 12, 3371–3381. [Google Scholar] [CrossRef]
- Chen, L.; Shen, R.; Komasa, S.; Xue, Y.; Jin, B.; Hou, Y.; Okazaki, J.; Gao, J. Drug-loadable calcium alginate hydrogel system for use in oral bone tissue repair. Int. J. Mol. Sci. 2017, 18, 989. [Google Scholar] [CrossRef]
- Sharma, C.; Dinda, A.K.; Potdar, P.D.; Chou, C.F.; Mishra, N.C. Fabrication and characterization of novel nano-biocomposite scaffold of chitosan-gelatin-alginate-hydroxyapatite for bone tissue engineering. Mater. Sci. Eng. C 2016, 64, 416–427. [Google Scholar] [CrossRef]
- Kolanthai, E.; Sindu, P.A.; Khajuria, D.K.; Veerla, S.C.; Kuppuswamy, D.; Catalani, L.H.; Mahapatra, D.R. Graphene oxide—A tool for the preparation of chemically crosslinking free alginate-chitosan-collagen scaffolds for bone tissue engineering. ACS Appl. Mater. Interfaces 2018, 10, 12441–12452. [Google Scholar] [CrossRef]
- Luo, Z.; Yang, Y.; Deng, Y.; Sun, Y.; Yang, H.; Wei, S. Peptide-incorporated 3D porous alginate scaffolds with enhanced osteogenesis for bone tissue engineering. Colloids Surf. B Biointerfaces 2016, 143, 243–251. [Google Scholar] [CrossRef]
- Wang, P.; Song, Y.; Weir, M.D.; Sun, J.; Zhao, L.; Simon, C.G.; Xu, H.H.K. A self-setting iPSMSC-alginate-calcium phosphate paste for bone tissue engineering. Dent. Mater. 2016, 32, 252–263. [Google Scholar] [CrossRef]
- Venkatesan, J.; Bhatnagar, I.; Manivasagan, P.; Kang, K.H.; Kim, S.K. Alginate composites for bone tissue engineering: A review. Int. J. Biol. Macromol. 2015, 72, 269–281. [Google Scholar] [CrossRef]
- Nabavinia, M.; Khoshfetrat, A.B.; Naderi-Meshkin, H. Nano-hydroxyapatite-alginate-gelatin microcapsule as a potential osteogenic building block for modular bone tissue engineering. Mater. Sci. Eng. C 2019, 97, 67–77. [Google Scholar] [CrossRef] [PubMed]
- Diaz-Rodriguez, P.; Garcia-Triñanes, P.; Echezarreta López, M.M.; Santoveña, A.; Landin, M. Mineralized alginate hydrogels using marine carbonates for bone tissue engineering applications. Carbohydr. Polym. 2018, 195, 235–242. [Google Scholar] [CrossRef] [PubMed]
- Yang, X.; Lu, Z.; Wu, H.; Li, W.; Zheng, L.; Zhao, J. Collagen-alginate as bioink for three-dimensional (3D) cell printing based cartilage tissue engineering. Mater. Sci. Eng. C 2018, 83, 195–201. [Google Scholar] [CrossRef] [PubMed]
- Li, Y.J.; Teng, B.H.; Zhao, Y.H.; Yang, Q.; Wang, L.Y.; Huang, Y. Preparation and evaluation of carboxymethyl chitosan/sodium alginate hydrogel for cartilage tissue engineering. Hua Xi Kou Qiang Yi Xue Za Zhi 2019, 37, 235–259. [Google Scholar] [CrossRef]
- Zhu, T.; Jiang, J.; Zhao, J.; Chen, S.; Yan, X. Regulating preparation of functional alginate-chitosan three-dimensional scaffold for skin tissue engineering. Int. J. Nanomed. 2019, 14, 8891–8903. [Google Scholar] [CrossRef] [PubMed]
- Zhang, X.; Kim, G.J.; Kang, M.G.; Lee, J.K.; Seo, J.W.; Do, J.T.; Hong, K.; Cha, J.M.; Shin, S.R.; Bae, H. Marine biomaterial-based bioinks for generating 3D printed tissue constructs. Mar. Drugs 2018, 16, 484. [Google Scholar] [CrossRef] [PubMed]
- Baniasadi, H.; Mashayekhan, S.; Fadaoddini, S.; Haghirsharifzamini, Y. Design, fabrication and characterization of oxidized alginate-gelatin hydrogels for muscle tissue engineering applications. J. Biomater. Appl. 2016, 31, 152–161. [Google Scholar] [CrossRef]
- Wu, H.; Liu, J.; Fang, Q.; Xiao, B.; Wan, Y. Establishment of nerve growth factor gradients on aligned chitosan-polylactide /alginate fibers for neural tissue engineering applications. Colloids Surf. B Biointerfaces 2017, 160, 598–609. [Google Scholar] [CrossRef]
- Liberski, A.; Latif, N.; Raynaud, C.; Bollensdorff, C.; Yacoub, M. Alginate for cardiac regeneration: From seaweed to clinical trials. Glob. Cardiol. Sci. Pract. 2016, 1, e201604. [Google Scholar] [CrossRef]
- Türe, H. Characterization of hydroxyapatite-containing alginate–gelatin composite films as a potential wound dressing. Int. J. Biol. Macromol. 2019, 123, 878–888. [Google Scholar] [CrossRef]
- Rubio-Elizalde, I.; Bernáldez-Sarabia, J.; Moreno-Ulloa, A.; Vilanova, C.; Juárez, P.; Licea-Navarro, A.; Castro-Ceseña, A.B. Scaffolds based on alginate-PEG methyl ether methacrylate-Moringa oleifera-Aloe vera for wound healing applications. Carbohydr. Polym. 2019, 206, 455–467. [Google Scholar] [CrossRef] [PubMed]
- Varaprasad, K.; Jayaramudu, T.; Kanikireddy, V.; Toro, C.; Sadiku, E.R. Alginate-based composite materials for wound dressing application: A mini review. Carbohydr. Polym. 2020, 236. [Google Scholar] [CrossRef] [PubMed]
- Zhao, W.Y.; Fang, Q.Q.; Wang, X.F.; Wang, X.W.; Zhang, T.; Shi, B.H.; Zheng, B.; Zhang, D.D.; Hu, Y.Y.; Ma, L.; et al. Chitosan-calcium alginate dressing promotes wound healing: A preliminary study. Wound Repair Regen. 2019, 28, 326–337. [Google Scholar] [CrossRef] [PubMed]
- Johnson, K.A.; Muzzin, N.; Toufanian, S.; Slick, R.A.; Lawlor, M.W.; Seifried, B.; Moquin, P.; Latulippe, D.; Hoare, T. Drug-impregnated, pressurized gas expanded liquid-processed alginate hydrogel scaffolds for accelerated burn wound healing. Acta Biomater. 2020, 20, 30327–30335. [Google Scholar] [CrossRef]
- Salehi, M.; Ehterami, A.; Farzamfar, S.; Vaez, A.; Ebrahimi-Barough, S. Accelerating healing of excisional wound with alginate hydrogel containing naringenin in rat model. Drug Deliv. Transl. Res. 2020. [Google Scholar] [CrossRef]
- Zhao, X.; Liu, L.; An, T.; Xian, M.; Luckanagul, J.A.; Su, Z.; Lin, Y.; Wang, Q. A hydrogen sulfide-releasing alginate dressing for effective wound healing. Acta Biomater. 2020, 104, 85–94. [Google Scholar] [CrossRef]
- Morya, V.K.; Kim, J.; Kim, E.K. Algal fucoidan: Structural and size-dependent bioactivities and their perspectives. Appl. Microbiol. Biotechnol. 2012, 93, 71–82. [Google Scholar] [CrossRef]
- Bae, J.S.; Lee, J.S.; Kim, Y.S.; Sim, W.J.; Lee, H.; Chun, J.H.; Park, K.P. Depolymerization of fucoidan by Contact Glow Discharge Electrolysis (CGDE). Korean Chem. Eng. Res. 2008, 46, 889–891. [Google Scholar]
- Zayed, A.; Muffler, K.; Hahn, T.; Rupp, S.; Finkelmeier, D.; Burger-Kentischer, A.; Ulber, R. Physicochemical and biological characterization of fucoidan from Fucus vesiculosus purified by dye affinity chromatography. Mar. Drugs 2016, 14, 79. [Google Scholar] [CrossRef]
- Tako, M. Rheological characteristics of fucoidan isolated from commercially cultured Cladosiphon okamuranus. Bot. Mar. 2003, 46, 461–465. [Google Scholar] [CrossRef]
- Park, K.; Cho, E.; In, M.J.; Kim, D.C.; Chae, H.J. Physicochemical properties and bioactivity of brown seaweed fucoidan prepared by ultra high pressure-assisted enzyme treatment. Korean J. Chem. Eng. 2012, 29, 221–227. [Google Scholar] [CrossRef]
- Holtkamp, A.D.; Kelly, S.; Ulber, R.; Lang, S. Fucoidans and fucoidanases-focus on techniques for molecular structure elucidation and modification of marine polysaccharides. Appl. Microbiol. Biotechnol. 2009, 82, 1–11. [Google Scholar] [CrossRef] [PubMed]
- Ngo, D.H.; Kim, S.K. Sulfated polysaccharides as bioactive agents from marine algae. Int. J. Biol. Macromol. 2013, 62, 70–75. [Google Scholar] [CrossRef]
- Besednova, N.N.; Zvyagintseva, T.N.; Kuznetsova, T.A.; Makarenkova, I.D.; Smolina, T.P.; Fedyanina, L.N.; Kryzhanovsky, S.P.; Zaporozhets, T.S. Marine algae metabolites as promising therapeutics for the prevention and treatment of HIV/AIDS. Metabolites 2019, 9, 87. [Google Scholar] [CrossRef] [PubMed]
- Citkowska, A.; Szekalska, M.; Winnicka, K. Possibilities of fucoidan utilization in the development of pharmaceutical dosage forms. Mar. Drugs 2019, 17, 458. [Google Scholar] [CrossRef] [PubMed]
- Sutapa, B.M.; Dhruti, A.; Priyanka, G.; Gopa, R.B. Absorption, distribution, metabolism and elimination (ADME) and toxicity profile of marine sulfated polysaccharides used in bionanotechnology. Afr. J. Pharm. Pharmacol. 2018, 12, 1–10. [Google Scholar] [CrossRef]
- MarketWatch. Available online: https://www.marketwatch.com/press-release/global-fucoidan-market-size-2020-is-predicted-to-reach-37-million-usd-mark-by-2024-with-a-magnificent-cagr-and-covid-19-impact-analysis-with-top-countries-data-defination-industry-outlook-2020-06-18 (accessed on 5 September 2020).
- Tae Young, A.; Kang, J.H.; Kang, D.J.; Venkatesan, J.; Chang, H.K.; Bhatnagar, I.; Chang, K.Y.; Hwang, J.H.; Salameh, Z.; Kim, S.K.; et al. Interaction of stem cells with nano hydroxyapatite-fucoidan bionanocomposites for bone tissue regeneration. Int. J. Biol. Macromol. 2016, 93, 1488–1491. [Google Scholar] [CrossRef] [PubMed]
- Lu, H.T.; Lu, T.W.; Chen, C.H.; Lu, K.Y.; Mi, F.L. Development of nanocomposite scaffolds based on biomineralization of N,O-carboxymethyl chitosan/fucoidan conjugates for bone tissue engineering. Int. J. Biol. Macromol. 2018, 120, 2335–2345. [Google Scholar] [CrossRef]
- Lalzawmliana, V.; Mukherjee, P.; Kundu, B.; Nandi, S.K. Clinical application of biomimetic marine-derived materials for tissue engineering. In Marine-Derived Biomaterials for Tissue Engineering Applications; Choi, A.H., Ben-Nissan, B., Eds.; Springer: Singapore, 2019; pp. 329–357. ISBN 978-981-13-8855-2. [Google Scholar]
- Rohman, G.; Langueh, C.; Ramtani, S.; Lataillade, J.J.; Lutomski, D.; Senni, K.; Changotade, S. The use of platelet-rich plasma to promote cell recruitment into low-molecular-weight fucoidan-functionalized poly(ester-urea-urethane) scaffolds for soft-tissue engineering. Polymers 2019, 11, 1016. [Google Scholar] [CrossRef]
- Carvalho, D.N.; López-Cebral, R.; Sousa, R.O.; Alves, A.L.; Reys, L.L.; Silva, S.S.; Oliveira, J.M.; Reis, R.L.; Silva, T.H. Marine collagen-chitosan-fucoidan cryogels as cell-laden biocomposites envisaging tissue engineering. Biomed. Mater. 2020, 15, 055030. [Google Scholar] [CrossRef]
- Tran, P.H.L.; Duan, W.; Tran, T.T.D. Fucoidan-based nanostructures: A focus on its combination with chitosan and the surface functionalization of metallic nanoparticles for drug delivery. Int. J. Pharm. 2020, 575. [Google Scholar] [CrossRef] [PubMed]
- Huang, T.W.; Ho, Y.C.; Tsai, T.N.; Tseng, C.L.; Lin, C.; Mi, F.L. Enhancement of the permeability and activities of epigallocatechin gallate by quaternary ammonium chitosan/fucoidan nanoparticles. Carbohydr. Polym. 2020, 242. [Google Scholar] [CrossRef] [PubMed]
- Cunha, L.; Rosa da Costa, A.M.; Lourenço, J.P.; Buttini, F.; Grenha, A. Spray-dried fucoidan microparticles for pulmonary delivery of antitubercular drugs. J. Microencapsul. 2018, 35, 392–405. [Google Scholar] [CrossRef] [PubMed]
- Chen, C.H.; Lin, Y.S.; Wu, S.J.; Mi, F.L. Mutlifunctional nanoparticles prepared from arginine-modified chitosan and thiolated fucoidan for oral delivery of hydrophobic and hydrophilic drugs. Carbohydr. Polym. 2018, 193, 163–172. [Google Scholar] [CrossRef]
- Park, J.H.; Choi, S.H.; Park, S.J.; Lee, Y.J.; Park, J.H.; Song, P.H.; Cho, C.M.; Ku, S.K.; Song, C.H. Promoting wound healing using low molecular weight fucoidan in a full-thickness dermal excision rat model. Mar. Drugs 2017, 15, 112. [Google Scholar] [CrossRef]
- Murakami, K.; Ishihara, M.; Aoki, H.; Nakamura, S.; Nakamura, S.I.; Yanagibayashi, S.; Takikawa, M.; Kishimoto, S.; Yokoe, H.; Kiyosawa, T.; et al. Enhanced healing of mitomycin C-treated healing-impaired wounds in rats with hydrosheets composed of chitin/chitosan, fucoidan, and alginate as wound dressings. Wound Repair Regen. 2010, 18, 478–485. [Google Scholar] [CrossRef]
- Carson, M.A.; Clarke, S.A. Bioactive compounds from marine organisms: Potential for bone growth and healing. Mar. Drugs 2018, 16, 340. [Google Scholar] [CrossRef]
- Younes, M.; Aggett, P.; Aguilar, F.; Crebelli, R.; Filipič, M.; Frutos, M.J.; Galtier, P.; Gott, D.; Gundert-Remy, U.; Kuhnle, G.G.; et al. Re-evaluation of carrageenan (E 407) and processed Eucheuma seaweed (E 407a) as food additives. EFSA J. 2018, 16, e05238. [Google Scholar] [CrossRef]
- Jones, G.M.J. Rheological Properties of Gelatin, Carrageenan and Locust Bean Gum Mixtures. Ph.D. Thesis, University of Nottingham, Nottingham, UK, 2004. [Google Scholar]
- Hotchkiss, S.; Brooks, M.; Campbell, R.; Philp, K.; Trius, A. The use of carrageenan in food. In Carrageenans: Sources and Extraction Methods, Molecular Structure, Bioactive Properties and Health Effects; Nova Science Publishers: London, UK, 2016; ISBN 9781634855341. [Google Scholar]
- Yermak, I.M.; Kim, Y.H.; Titlynov, E.A.; Isakov, V.V.; Solov’eva, T.F. Chemical structure and gel properties of carrageenans from algae belonging to the Gigartinaceae and Tichocarpaceae, collected from the Russian Pacific Coast. J. Appl. Phycol. 1999, 555–562. [Google Scholar] [CrossRef]
- Rodríguez Sánchez, R.A.; Canelón, D.J.; Cosenza, V.A.; Fissore, E.N.; Gerschenson, L.N.; Matulewicz, M.C.; Ciancia, M. Gracilariopsis hommersandii, a red seaweed, source of agar and sulfated polysaccharides with unusual structures. Carbohydr. Polym. 2019, 213, 138–146. [Google Scholar] [CrossRef]
- Perez Recalde, M.; Canelón, D.J.; Compagnone, R.S.; Matulewicz, M.C.; Cerezo, A.S.; Ciancia, M. Carrageenan and agaran structures from the red seaweed Gymnogongrus tenuis. Carbohydr. Polym. 2016, 136, 1370–1378. [Google Scholar] [CrossRef] [PubMed]
- Fenoradosoa, T.A.; Delattre, C.; Laroche, C.; Wadouachi, A.; Dulong, V.; Picton, L.; Andriamadio, P.; Michaud, P. Highly sulphated galactan from Halymenia durvillei (Halymeniales, Rhodophyta), a red seaweed of Madagascar marine coasts. Int. J. Biol. Macromol. 2009, 45, 140–145. [Google Scholar] [CrossRef] [PubMed]
- Cheong, K.L.; Qiu, H.M.; Du, H.; Liu, Y.; Khan, B.M. Oligosaccharides derived from red seaweed: Production, properties, and potential health and cosmetic applications. Molecules 2018, 23, 2451. [Google Scholar] [CrossRef] [PubMed]
- Brychcy, E.; Malik, M.; Drozdzewski, P.; Król, Z.; Jarmoluk, A. Physicochemical and antibacterial properties of carrageenan and gelatine hydrosols and hydrogels incorporated with acidic electrolyzedwater. Polymers 2015, 7, 2638–2649. [Google Scholar] [CrossRef]
- Zhang, Y.; Zhou, D.; Chen, J.; Zhang, X.; Li, X.; Zhao, W.; Xu, T. Biomaterials based on marine resources for 3D bioprinting applications. Mar. Drugs 2019, 17, 555. [Google Scholar] [CrossRef] [PubMed]
- Pangestuti, R.; Kim, S.K. Biological activities of Carrageenan. In Advances in Food and Nutrition Research; Academic Press: Cambridge, MA, USA, 2014; pp. 113–124. [Google Scholar]
- Market Research Future. Available online: https://www.marketresearchfuture.com/reports/carrageenan-market-704 (accessed on 6 September 2020).
- Zia, K.M.; Tabasum, S.; Nasif, M.; Sultan, N.; Aslam, N.; Noreen, A.; Zuber, M. A review on synthesis, properties and applications of natural polymer based carrageenan blends and composites. Int. J. Biol. Macromol. 2017, 96, 282–301. [Google Scholar] [CrossRef]
- Roy, S.; Rhim, J.W. Preparation of carrageenan-based functional nanocomposite films incorporated with melanin nanoparticles. Colloids Surf. B Biointerfaces 2019, 176, 317–324. [Google Scholar] [CrossRef]
- Kim, S.K.; Wijesekara, I. Anticoagulant effect of marine algae. Adv. Food Nutr. Res. 2011, 64, 235–244. [Google Scholar] [CrossRef]
- Song, X.; Wang, K.; Tang, C.Q.; Yang, W.W.; Zhao, W.F.; Zhao, C.S. Design of carrageenan-based heparin-mimetic gel beads as self-anticoagulant hemoperfusion adsorbents. Biomacromolecules 2018, 19, 1966–1978. [Google Scholar] [CrossRef]
- Sokolova, E.V.; Byankina, A.O.; Kalitnik, A.A.; Kim, Y.H.; Bogdanovich, L.N.; Solov’Eva, T.F.; Yermak, I.M. Influence of red algal sulfated polysaccharides on blood coagulation and platelets activation in vitro. J. Biomed. Mater. Res. Part A 2014, 102, 1431–1438. [Google Scholar] [CrossRef]
- Diogo, J.V.; Novo, S.G.; González, M.J.; Ciancia, M.; Bratanich, A.C. Antiviral activity of lambda-carrageenan prepared from red seaweed (Gigartina skottsbergii) against BoHV-1 and SuHV-1. Res. Vet. Sci. 2015, 98, 142–144. [Google Scholar] [CrossRef] [PubMed]
- Wang, W.; Wang, S.X.; Guan, H.S. The antiviral activities and mechanisms of marine polysaccharides: An overview. Mar. Drugs 2012, 10, 2795–2816. [Google Scholar] [CrossRef] [PubMed]
- Eccles, R.; Winther, B.; Johnston, S.L.; Robinson, P.; Trampisch, M.; Koelsch, S. Efficacy and safety of iota-carrageenan nasal spray versus placebo in early treatment of the common cold in adults: The ICICC trial. Respir. Res. 2015, 16, 1–11. [Google Scholar] [CrossRef] [PubMed]
- Liu, Z.; Gao, T.; Yang, Y.; Meng, F.; Zhan, F.; Jiang, Q.; Sun, X. Anti-cancer activity of porphyran and carrageenan from red seaweeds. Molecules 2019, 24, 4286. [Google Scholar] [CrossRef]
- Yao, Z.A.; Xu, L.; Wu, H.G. Immunomodulatory function of κ-Carrageenan oligosaccharides acting on LPS-activated microglial cells. Neurochem. Res. 2014, 39, 333–343. [Google Scholar] [CrossRef]
- Ai, L.; Chung, Y.C.; Lin, S.Y.; Jeng, K.C.G.; Lai, P.F.H.; Xiong, Z.Q.; Wang, G. Carrageenan polysaccharides and oligosaccharides with distinct immunomodulatory activities in murine microglia BV-2 cells. Int. J. Biol. Macromol. 2018, 120, 633–640. [Google Scholar] [CrossRef]
- Sun, Y.; Yang, B.; Wu, Y.; Liu, Y.; Gu, X.; Zhang, H.; Wang, C.; Cao, H.; Huang, L.; Wang, Z. Structural characterization and antioxidant activities of κ-carrageenan oligosaccharides degraded by different methods. Food Chem. 2015, 178, 311–328. [Google Scholar] [CrossRef]
- Tziveleka, L.A.; Ioannou, E.; Roussis, V. Ulvan, a bioactive marine sulphated polysaccharide as a key constituent of hybrid biomaterials: A review. Carbohydr. Polym. 2019, 218, 355–370. [Google Scholar] [CrossRef]
- Lahaye, M.; Robic, A. Structure and function properties of Ulvan, a polysaccharide from green seaweeds. Biomacromolecules 2007, 8, 1765–1774. [Google Scholar] [CrossRef]
- Venugopal, V. Sulfated and non-sulfated polysaccharides from seaweeds and their uses: An overview. ECronicon Nutr. 2019, 14, 126–141. [Google Scholar]
- Priyan Shanura Fernando, I.; Kim, K.N.; Kim, D.; Jeon, Y.J. Algal polysaccharides: Potential bioactive substances for cosmeceutical applications. Crit. Rev. Biotechnol. 2019, 1–15. [Google Scholar] [CrossRef] [PubMed]
- Lahaye, M. Chemistry and physico-chemistry of phycocolloids. Cah. Biol. Mar. 2001, 42, 137–157. [Google Scholar] [CrossRef]
- Kidgell, J.T.; Magnusson, M.; de Nys, R.; Glasson, C.R.K. Ulvan: A systematic review of extraction, composition and function. Algal Res. 2019, 39. [Google Scholar] [CrossRef]
- Kidgell, J.T.; Glasson, C.R.K.; Magnusson, M.; Vamvounis, G.; Sims, I.M.; Carnachan, S.M.; Hinkley, S.F.R.; Lopata, A.L.; de Nys, R.; Taki, A.C. The molecular weight of ulvan affects the in vitro inflammatory response of a murine macrophage. Int. J. Biol. Macromol. 2020, 150, 839–848. [Google Scholar] [CrossRef] [PubMed]
- Andryukov, B.G.; Besednova, N.N.; Kuznetsova, T.A.; Zaporozhets, T.S.; Ermakova, S.P.; Zvyagintseva, T.N.; Chingizova, E.A.; Gazha, A.K.; Smolina, T.P. Sulfated polysaccharides from marine algae as a basis of modern biotechnologies for creating wound dressings: Current achievements and future prospects. Biomedicines 2020, 8, 301. [Google Scholar] [CrossRef] [PubMed]
- Patil, N.P.; Le, V.; Sligar, A.D.; Mei, L.; Chavarria, D.; Yang, E.Y.; Baker, A.B. Algal Polysaccharides as therapeutic agents for atherosclerosis. Front. Cardiovasc. Med. 2018, 5. [Google Scholar] [CrossRef]
- Pezoa Conte, R.M. Fractionation of Marine Algae to Its Constituents towards Valuable Chemicals and Energy Products. Ph.D. Thesis, Abo Akademi University, Turku, Finland, 2017. [Google Scholar]
- Chen, X.; Yue, Z.; Winberg, P.C.; Dinoro, J.N.; Hayes, P.; Beirne, S.; Wallace, G.G. Development of rhamnose-rich hydrogels based on sulfated xylorhamno-uronic acid toward wound healing applications. Biomater. Sci. 2019, 7, 3497–3509. [Google Scholar] [CrossRef]
- Toskas, G.; Heinemann, S.; Heinemann, C.; Cherif, C.; Hund, R.D.; Roussis, V.; Hanke, T. Ulvan and ulvan/chitosan polyelectrolyte nanofibrous membranes as a potential substrate material for the cultivation of osteoblasts. Carbohydr. Polym. 2012, 89, 997–1002. [Google Scholar] [CrossRef]
- Cunha, L.; Grenha, A. Sulfated seaweed polysaccharides as multifunctional materials in drug delivery applications. Mar. Drugs 2016, 14, 42. [Google Scholar] [CrossRef]
- Manivasagan, P.; Oh, J. Marine polysaccharide-based nanomaterials as a novel source of nanobiotechnological applications. Int. J. Biol. Macromol. 2016, 82, 315–327. [Google Scholar] [CrossRef]
- Massironi, A.; Morelli, A.; Grassi, L.; Puppi, D.; Braccini, S.; Maisetta, G.; Esin, S.; Batoni, G.; Della Pina, C.; Chiellini, F. Ulvan as novel reducing and stabilizing agent from renewable algal biomass: Application to green synthesis of silver nanoparticles. Carbohydr. Polym. 2019, 203, 310–321. [Google Scholar] [CrossRef] [PubMed]
- Elli, S.; Stancanelli, E.; Wang, Z.; Petitou, M.; Liu, J.; Guerrini, M. Degeneracy of the antithrombin binding sequence in heparin: 2-O-sulfated Iduronic acid can replace the critical glucuronic acid. Chem. A Eur. J. 2020. [Google Scholar] [CrossRef] [PubMed]
- Guidara, M.; Yaich, H.; Richel, A.; Blecker, C.; Boufi, S.; Attia, H.; Garna, H. Effects of extraction procedures and plasticizer concentration on the optical, thermal, structural and antioxidant properties of novel ulvan films. Int. J. Biol. Macromol. 2019, 135, 647–658. [Google Scholar] [CrossRef] [PubMed]
- Lahaye, M.; Rochas, C. Chemical structure and physico-chemical properties of agar. Hydrobiologia 1991, 221, 137–148. [Google Scholar] [CrossRef]
- Praiboon, J.; Chirapart, A.; Akakabe, Y.; Bhumibhamon, O.; Kajiwara, T. Physical and chemical characterization of agar polysaccharides extracted from the Thai and Japanese species of Gracilaria. ScienceAsia 2006, 32, 11–17. [Google Scholar] [CrossRef]
- Araki, C.; Arai, K. Studies on the Chemical Constitution of Agar-agar. XX. Isolation of a tetrasaccharide by enzymatic hydrolysis of agar-agar. Bull. Chem. Soc. Jpn. 1957, 30, 287–293. [Google Scholar] [CrossRef]
- Murano, E.; Toffanin, R.; Zanetti, F.; Knutsen, S.H.; Paoletti, S.; Rizzo, R. Chemical and macromolecular characterisation of agar polymers from Gracilaria dura (C. Agardh) J. Agardh (Gracilariaceae, Rhodophyta). Carbohydr. Polym. 1992, 18, 171–178. [Google Scholar] [CrossRef]
- Thu-Hien, L.; Thanh-Truc, N.; Van Toi, V.; Khon, H.C.; Bao, B.C.; Niem, V.V.T.; Ngoc Tuan Anh, M.; Hai, N.D.; Chuong, P.D.; Hiep, N.T. Evaluation of the morphology and biocompatibility of natural silk fibers/agar blend scaffolds for tissue regeneration. Int. J. Polym. Sci. 2018, 2018. [Google Scholar] [CrossRef]
- Soorbaghi, F.P.; Isanejad, M.; Salatin, S.; Ghorbani, M.; Jafari, S.; Derakhshankhah, H. Bioaerogels: Synthesis approaches, cellular uptake, and the biomedical applications. Biomed. Pharmacother. 2019, 111, 964–975. [Google Scholar] [CrossRef]
- De Lima, G.G.; De Lima, D.W.F.; De Oliveira, M.J.A.; Lugaõ, A.B.; Alcântara, M.T.S.; Devine, D.M.; De Sá, M.J.C. Synthesis and in vivo behavior of PVP/CMC/Agar hydrogel membranes impregnated with silver nanoparticles for wound healing applications. ACS Appl. Bio Mater. 2018, 1, 1842–1852. [Google Scholar] [CrossRef]
- Zuberi, H.S.; Bengisu, M. Agar-based adaptable DIY materials. FME Trans. 2019, 47, 442–451. [Google Scholar] [CrossRef]
- Mikkonen, K.S.; Parikka, K.; Ghafar, A.; Tenkanen, M. Prospects of polysaccharide aerogels as modern advanced food materials. Trends Food Sci. Technol. 2013, 34, 124–136. [Google Scholar] [CrossRef]
- Martín-López, E.; Darder, M.; Ruiz-Hitzky, E.; Nieto Sampedro, M. Agar-based bridges as biocompatible candidates to provide guide cues in spinal cord injury repair. Biomed. Mater. Eng. 2013, 23, 405–421. [Google Scholar] [CrossRef] [PubMed]
- Agar Agar Gum Market Size, Share and Trends Analysis Report by Product (Powder, Square, Strips), by Applicaltion (Confectioneries, Bakery and Pastry, Retail, Meat, Microbiological and Molecular), by Region and Segment Forecasts, 2018–2025. Available online: https://www.grandviewresearch.com/industry-analysis/global-agar-agar-gum-market (accessed on 13 November 2020).
- Varoni, E.; Tschon, M.; Palazzo, B.; Nitti, P.; Martini, L.; Rimondini, L. Agarose gel as biomaterial or scaffold for implantation surgery: Characterization, histological and histomorphometric study on soft tissue response. Connect. Tissue Res. 2012, 53, 548–554. [Google Scholar] [CrossRef] [PubMed]
- Arnott, S.; Fulmer, A.; Scott, W.E.; Dea, I.C.M.; Moorhouse, R.; Rees, D.A. The agarose double helix and its function in agarose gel structure. J. Mol. Biol. 1974, 90, 269–284. [Google Scholar] [CrossRef]
- Zarrintaj, P.; Rezaeian, I.; Bakhshandeh, B.; Heshmatian, B.; Ganjali, M.R. Bio—Conductive scaffold based on agarose - polyaniline for tissue engineering. J. Ski. Stem Cell 2017, 4, e67394. [Google Scholar] [CrossRef]
- Witzler, M.; Ottensmeyer, P.F.; Gericke, M.; Heinze, T.; Tobiasch, E.; Schulze, M. Non-cytotoxic agarose/hydroxyapatite composite scaffolds for drug release. Int. J. Mol. Sci. 2019, 20, 3565. [Google Scholar] [CrossRef]
- Salati, M.A.; Khazai, J.; Tahmuri, A.M.; Samadi, A.; Taghizadeh, A.; Taghizadeh, M.; Zarrintaj, P.; Ramsey, J.D.; Habibzadeh, S.; Seidi, F.; et al. Agarose-based biomaterials: Opportunities and challenges in cartilage tissue engineering. Polymers 2020, 32, 1150. [Google Scholar] [CrossRef]
- Gao, M.; Lu, P.; Bednark, B.; Lynam, D.; Conner, J.M.; Sakamoto, J.; Tuszynski, M.H. Templated agarose scaffolds for the support of motor axon regeneration into sites of complete spinal cord transection. Biomaterials 2013, 34, 1529–1536. [Google Scholar] [CrossRef]
- Zarrintaj, P.; Manouchehri, S.; Ahmadi, Z.; Saeb, M.R.; Urbanska, A.M.; Kaplan, D.L.; Mozafari, M. Agarose-based biomaterials for tissue engineering. Carbohydr. Polym. 2018, 187, 66–84. [Google Scholar] [CrossRef]
- Campos, F.; Bonhome-Espinosa, A.B.; Chato-Astrain, J.; Sánchez-Porras, D.; García-García, Ó.D.; Carmona, R.; López-López, M.T.; Alaminos, M.; Carriel, V.; Rodriguez, I.A. Evaluation of fibrin-agarose tissue-like hydrogels biocompatibility for tissue engineering applications. Front. Bioeng. Biotechnol. 2020, 8. [Google Scholar] [CrossRef] [PubMed]
- Khodadadi Yazdi, M.; Taghizadeh, A.; Taghizadeh, M.; Stadler, F.J.; Farokhi, M.; Mottaghitalab, F.; Zarrintaj, P.; Ramsey, J.D.; Seidi, F.; Saeb, M.R.; et al. Agarose-based biomaterials for advanced drug delivery. J. Control. Release 2020, 326, 523–543. [Google Scholar] [CrossRef] [PubMed]
- López-Marcial, G.R.; Zeng, A.Y.; Osuna, C.; Dennis, J.; García, J.M.; O’Connell, G.D. Agarose-based hydrogels as suitable bioprinting materials for tissue engineering. ACS Biomater. Sci. Eng. 2018, 4, 3610–3616. [Google Scholar] [CrossRef]
- Numata, K. How to define and study structural proteins as biopolymer materials. Polym. J. 2020, 52, 1043–1056. [Google Scholar] [CrossRef]
- Ehrlich, H. Marine collagens. In Biological Materials of Marine Origin. Vertebrates; Gorb, S.N., Ed.; Springer: Dordrecht, The Natherlands; Heidelberg, Germany; New York, NY, USA; London, UK, 2015; pp. 321–342. [Google Scholar]
- Jesionowski, T.; Norman, M.; Żółtowska-Aksamitowska, S.; Petrenko, I.; Joseph, Y.; Ehrlich, H. Marine spongin: Naturally prefabricated 3D scaffold-based biomaterial. Mar. Drugs 2018, 16, 88. [Google Scholar] [CrossRef] [PubMed]
- Ehrlich, H.; Wysokowski, M.; Żółtowska-Aksamitowska, S.; Petrenko, I.; Jesionowski, T. Collagens of poriferan origin. Mar. Drugs 2018, 16, 79. [Google Scholar] [CrossRef] [PubMed]
- Junqua, S.; Robert, L.; Garrone, R.; De Ceccatty, M.P.; Vacelet, J. Biochemical and morphological studies on collagens of horny sponges. Ircinia filaments compared to spongines. Connect. Tissue Res. 1974, 2, 193–203. [Google Scholar] [CrossRef]
- Simpson, T.L. The Cell Biology of Sponges; Springer: New York, NY, USA, 1984. [Google Scholar]
- Ehrlich, H. Enigmatic structural protein spongin. In Marine Biological Materials of Invertebrate Origin; Gorb, S.N., Ed.; Springer: Cham, Switzerland, 2019; pp. 161–170. [Google Scholar]
- Szatkowski, T.; Jesionowski, T. Hydrothermal synthesis of spongin-based materials. In Extreme Biomimetics; Springer: Cham, Switzerland, 2016; pp. 251–274. ISBN 9783319453408. [Google Scholar]
- Szatkowski, T.; Siwínska-Stefánska, K.; Wysokowski, M.; Stelling, A.L.; Joseph, Y.; Ehrlich, H.; Jesionowski, T. Immobilization of titanium(IV) oxide onto 3D spongin scaffolds of marine sponge origin according to extreme biomimetics principles for removal of C.I. basic blue 9. Biomimetics 2017, 2, 4. [Google Scholar] [CrossRef]
- Kim, M.M.; Mendis, E.; Rajapakse, N.; Lee, S.H.; Kim, S.K. Effect of spongin derived from Hymeniacidon sinapium on bone mineralization. J. Biomed. Mater. Res. Part B Appl. Biomater. 2009, 90B, 540–546. [Google Scholar] [CrossRef]
- Zdarta, J.; Norman, M.; Smułek, W.; Moszyński, D.; Kaczorek, E.; Stelling, A.L.; Ehrlich, H.; Jesionowski, T. Spongin-based scaffolds from Hippospongia communis demosponge as an effective support for lipase immobilization. Catalysts 2017, 7, 147. [Google Scholar] [CrossRef]
- Technavio. Available online: https://www.technavio.com/ (accessed on 16 September 2020).
- Szatkowski, T.; Wysokowski, M.; Lota, G.; Pęziak, D.; Bazhenov, V.V.; Nowaczyk, G.; Walter, J.; Molodtsov, S.L.; Stöcker, H.; Himcinschi, C.; et al. Novel nanostructured hematite-spongin composite developed using an extreme biomimetic approach. RSC Adv. 2015, 5, 79031–79040. [Google Scholar] [CrossRef]
- Szatkowski, T.; Kopczyński, K.; Motylenko, M.; Borrmann, H.; Mania, B.; Graś, M.; Lota, G.; Bazhenov, V.V.; Rafaja, D.; Roth, F.; et al. Extreme biomimetics: A carbonized 3D spongin scaffold as a novel support for nanostructured manganese oxide(IV) and its electrochemical applications. Nano Res. 2018, 11, 4199–4214. [Google Scholar] [CrossRef]
- Zdarta, J.; Antecka, K.; Frankowski, R.; Zgoła-Grześkowiak, A.; Ehrlich, H.; Jesionowski, T. The effect of operational parameters on the biodegradation of bisphenols by Trametes versicolor laccase immobilized on Hippospongia communis spongin scaffolds. Sci. Total Environ. 2018, 615, 784–795. [Google Scholar] [CrossRef]
- Norman, M.; Żółtowska-Aksamitowska, S.; Zgoła-Grześkowiak, A.; Ehrlich, H.; Jesionowski, T. Iron(III) phthalocyanine supported on a spongin scaffold as an advanced photocatalyst in a highly efficient removal process of halophenols and bisphenol A. J. Hazard. Mater. 2018, 347, 78–88. [Google Scholar] [CrossRef]
- Ashouri, V.; Adib, K.; Rahimi-Nasrabadi, M. Pre-concentration and extraction of fenitrothion using a prefabricated 3D spongin-based skeleton of marine demosponge: Optimization by experimental design. Appl. Phys. A Mater. Sci. Process. 2020, 126, 1–12. [Google Scholar] [CrossRef]
- Prockop, D.J.; Kivirikko, K.I. Collagens: Molecular biology, diseases, and potentials for therapy. Annu. Rev. Biochem. 1995, 64, 403. [Google Scholar] [CrossRef]
- Sawhney, R.K.; Howard, J. Slow local movements of collagen fibers by fibroblasts drive the rapid global self-organization of collagen gels. J. Cell Biol. 2002, 157, 1083. [Google Scholar] [CrossRef]
- Kimura, S. Vertebrate skin type I collagen: Comparison of bony fishes with lamprey and calf. Comp. Biochem. Physiol. Part B Biochem. 1983, 53, 1315–1318. [Google Scholar] [CrossRef]
- Nagai, T.; Yamashita, E.; Taniguchi, K.; Kanamori, N.; Suzuki, N. Isolation and characterisation of collagen from the outer skin waste material of cuttlefish (Sepia lycidas). Food Chem. 2001, 72, 425–429. [Google Scholar] [CrossRef]
- Bae, I.; Osatomi, K.; Yoshida, A.; Osako, K.; Yamaguchi, A.; Hara, K. Biochemical properties of acid-soluble collagens extracted from the skins of underutilised fishes. Food Chem. 2008, 108, 49–54. [Google Scholar] [CrossRef]
- Semenycheva, L.L.; Egorikhina, M.N.; Chasova, V.O.; Valetova, N.B.; Kuznetsova, Y.L.; Mitin, A.V. Enzymatic hydrolysis of marine collagen and fibrinogen proteins in the presence of thrombin. Mar. Drugs 2020, 18, 208. [Google Scholar] [CrossRef]
- Hayashi, Y.; Yamada, S.; Yanagi Guchi, K.; Koyama, Z.; Ikeda, T. Chitosan and fish collagen as biomaterials for regenerative medicine. In Advances in Food and Nutrition Research; Academic Press: Cambridge, MA, USA, 2012; pp. 107–120. [Google Scholar]
- Fernandes-Silva, S.; Moreira-Silva, J.; Silva, T.H.; Perez-Martin, R.I.; Sotelo, C.G.; Mano, J.F.; Duarte, A.R.C.; Reis, R.L. Porous hydrogels from shark skin collagen crosslinked under dense carbon dioxide atmosphere. Macromol. Biosci. 2013, 13, 1621–1631. [Google Scholar] [CrossRef]
- Coppola, D.; Oliviero, M.; Vitale, G.A.; Lauritano, C.; D’Ambra, I.; Iannace, S.; de Pascale, D. Marine collagen from alternative and sustainable sources: Extraction, processing and applications. Mar. Drugs 2020, 18, 214. [Google Scholar] [CrossRef]
- Moreira-Silva, J.; Diogo, G.S.; Marques, A.L.P.; Silva, T.H.; Reis, R.L. Marine collagen isolation and processing envisaging biomedical applications. In Biomaterials from Nature for Advanced Devices and Therapies; Wiley & Sons, Inc.: Hoboken, NJ, USA, 2016; pp. 16–36. ISBN 9781119126218. [Google Scholar]
- Silva, T.H.; Moreira-Silva, J.; Marques, A.L.P.; Domingues, A.; Bayon, Y.; Reis, R.L. Marine origin collagens and its potential applications. Mar. Drugs 2014, 12, 5881–5901. [Google Scholar] [CrossRef]
- Swatschek, D.; Schatton, W.; Müller, W.E.G.; Kreuter, J. Microparticles derived from marine sponge collagen (SCMPs): Preparation, characterization and suitability for dermal delivery of all-trans retinol. Eur. J. Pharm. Biopharm. 2002, 54, 125–133. [Google Scholar] [CrossRef]
- Barros, A.A.; Aroso, I.M.; Silva, T.H.; Mano, J.F.; Duarte, A.R.C.; Reis, R.L. Water and carbon dioxide: Green solvents for the extraction of collagen/gelatin from marine sponges. ACS Sustain. Chem. Eng. 2015, 3, 254–260. [Google Scholar] [CrossRef]
- Dhara, S.; Majumdar, P.; Maiti, N. A Process for Extraction of Collagen from Fish Scale and Polyelectrolyte Based Bioactive Super-Absorbent Materials. U.S. Patent No. WO 2017/122216 A1, 20 July 2017. [Google Scholar]
- Heinemann, S.; Ehrlich, H.; Douglas, T.; Heinemann, C.; Worch, H.; Schatton, W.; Hanke, T. Ultrastructural studies on the collagen of the marine sponge Chondrosia reniformis nardo. Biomacromolecules 2007, 8, 3452–3457. [Google Scholar] [CrossRef]
- Ehrlich, H. Chitin and collagen as universal and alternative templates in biomineralization. Int. Geol. Rev. 2010, 52, 661–699. [Google Scholar] [CrossRef]
- Yamada, S.; Yamamoto, K.; Ikeda, T.; Yanagiguchi, K.; Hayashi, Y. Potency of fish collagen as a scaffold for regenerative medicine. Biomed Res. Int. 2014, 2014. [Google Scholar] [CrossRef]
- Zheng, M.; Zheng, J. Sponge (Porifera) collagen for bone tissue engineering. In Marine-Derived Biomaterials for Tissue Engineering Applications; Choi, A.H., Ben-Nissan, B., Eds.; Springer: Singapore, 2019; pp. 247–285. [Google Scholar]
- Flaig, I.; Radenković, M.; Najman, S.; Pröhl, A.; Jung, O.; Barbeck, M. In vivo analysis of the biocompatibility and immune response of jellyfish collagen scaffolds and its suitability for bone regeneration. Int. J. Mol. Sci. 2020, 21, 4518. [Google Scholar] [CrossRef]
- Pina, S.; Ribeiro, V.P.; Marques, C.F.; Maia, F.R.; Silva, T.H.; Reis, R.L.; Oliveira, J.M. Scaffolding strategies for tissue engineering and regenerative medicine applications. Materials 2019, 12, 1824. [Google Scholar] [CrossRef] [PubMed]
- Raftery, R.M.; Woods, B.; Marques, A.L.P.; Moreira-Silva, J.; Silva, T.H.; Cryan, S.A.; Reis, R.L.; O’Brien, F.J. Multifunctional biomaterials from the sea: Assessing the effects of chitosan incorporation into collagen scaffolds on mechanical and biological functionality. Acta Biomater. 2016, 43, 160–169. [Google Scholar] [CrossRef] [PubMed]
- Seng, S.K. Physicochemical Properties of Biomaterial Fabricated from Fish Skin Collagen and Brown Seaweed Alginate. Ph.D. Thesis, University Tunku Abdul Rahman, Perak, Malesia, 2018. [Google Scholar]
- Markets and Markets. Available online: https://www.marketsandmarkets.com/Market-Reports/marine-collagen-market-155534506.html (accessed on 10 September 2020).
- Lin, Z.; Solomon, K.L.; Zhang, X.; Pavlos, N.J.; Abel, T.; Willers, C.; Dai, K.; Xu, J.; Zheng, Q.; Zheng, M. In vitro evaluation of natural marine sponge collagen as a scaffold for bone tissue engineering. Int. J. Biol. Sci. 2011, 7, 968–977. [Google Scholar] [CrossRef] [PubMed]
- Pozzolini, M.; Scarfì, S.; Gallus, L.; Castellano, M.; Vicini, S.; Cortese, K.; Gagliani, M.C.; Bertolino, M.; Costa, G.; Giovine, M. Production, characterization and biocompatibility evaluation of collagen membranes derived from marine sponge Chondrosia reniformis Nardo, 1847. Mar. Drugs 2018, 16, 111. [Google Scholar] [CrossRef] [PubMed]
- Parisi, J.R.; Fernandes, K.R.; Aparecida do Vale, G.C.; de França Santana, A.; de Almeida Cruz, M.; Fortulan, C.A.; Zanotto, E.D.; Peitl, O.; Granito, R.N.; Rennó, A.C.M. Marine spongin incorporation into Biosilicate® for tissue engineering applications: An in vivo study. J. Biomater. Appl. 2020, 35, 205–214. [Google Scholar] [CrossRef]
- Langasco, R.; Cadeddu, B.; Formato, M.; Lepedda, A.J.; Cossu, M.; Giunchedi, P.; Pronzato, R.; Rassu, G.; Manconi, R.; Gavini, E. Natural collagenic skeleton of marine sponges in pharmaceutics: Innovative biomaterial for topical drug delivery. Mater. Sci. Eng. C 2017, 70, 710–720. [Google Scholar] [CrossRef]
- Ehrlich, H.; Brunner, E.; Simon, P.; Bazhenov, V.V.; Botting, J.P.; Tabachnick, K.R.; Springer, A.; Kummer, K.; Vyalikh, D.V.; Molodtsov, S.L.; et al. Calcite reinforced silica-silica joints in the biocomposite skeleton of deep-sea glass sponges. Adv. Funct. Mater. 2011, 21, 3473–3481. [Google Scholar] [CrossRef]
- Ehrlich, H.; Ereskovsky, A.V.; Drozdov, A.; Krylova, D.; Hanke, T.; Meissner, H.; Heinemann, S.; Worch, H. A modern approach to demineralisation of spicules in the glass sponges (Hexactinellida: Porifera) for the purpose of extraction and examination of the protein matrix. Russ. J. Mar. Biol. 2006, 32, 186–193. [Google Scholar] [CrossRef]
- Heinemann, S.; Heinemann, C.; Ehrlich, H.; Meyer, M.; Baltzer, H.; Worch, H.; Hanke, T. A novel biomimetic hybrid material made of silicified collagen: Perspectives for bone replacement. Adv. Eng. Mater. 2007, 9, 1061–1068. [Google Scholar] [CrossRef]
- Ehrlich, H.; Deutzmann, R.; Brunner, E.; Cappellini, E.; Koon, H.; Solazzo, C.; Yang, Y.; Ashford, D.; Thomas-Oates, J.; Lubeck, M.; et al. Mineralization of the metre-long biosilica structures of glass sponges is templated on hydroxylated collagen. Nat. Chem. 2010, 2, 1084–1088. [Google Scholar] [CrossRef]
- Lim, Y.S.; Ok, Y.J.; Hwang, S.Y.; Kwak, J.Y.; Yoon, S. Marine collagen as a promising biomaterial for biomedical applications. Mar. Drugs 2019, 17, 467. [Google Scholar] [CrossRef] [PubMed]
- Marques, C.F.; Diogo, G.S.; Pina, S.; Oliveira, J.M.; Silva, T.H.; Reis, R.L. Collagen-based bioinks for hard tissue engineering applications: A comprehensive review. J. Mater. Sci. Mater. Med. 2019, 30, 1–12. [Google Scholar] [CrossRef] [PubMed]
- Shimizu, J.; Shimizu, H.; Nagashima, K.; Yamada, K.; Takamatsu, M. Fish Collagen and Method of Producing Same. U.S. Patent No. US6271350B1, 7 August 2001. [Google Scholar]
- Govindharaj, M.; Roopavath, U.K.; Rath, S.N. Valorization of discarded Marine Eel fish skin for collagen extraction as a 3D printable blue biomaterial for tissue engineering. J. Clean. Prod. 2019, 230, 412–419. [Google Scholar] [CrossRef]
- Carvalho, A.M.; Marques, A.P.; Silva, T.H.; Reis, R.L. Evaluation of the potential of collagen from codfish skin as a biomaterial for biomedical applications. Mar. Drugs 2018, 16, 495. [Google Scholar] [CrossRef] [PubMed]
- Sousa, R.O.; Martins, E.; Carvalho, D.N.; Alves, A.L.; Oliveira, C.; Duarte, A.R.C.; Silva, T.H.; Reis, R.L. Collagen from Atlantic cod (Gadus morhua) skins extracted using CO2 acidified water with potential application in healthcare. J. Polym. Res. 2020, 27. [Google Scholar] [CrossRef]
- Alves, A.L.; Marques, A.L.P.; Martins, E.; Silva, T.H.; Reis, R.L. Cosmetic potential of Marine fish skin collagen. Cosmetics 2017, 4, 39. [Google Scholar] [CrossRef]
- Blanco, M.; Sotelo, C.G.; Pérez-Martín, R.I. New strategy to cope with common fishery policy landing obligation: Collagen extraction from skins and bones of undersized hake (Merluccius merluccius). Polymers 2019, 11, 1485. [Google Scholar] [CrossRef]
- Diogo, G.S.; Marques, C.F.; Sotelo, C.G.; Pérez-Martín, R.I.; Pirraco, R.P.; Reis, R.L.; Silva, T.H. Cell-laden biomimetically mineralized shark-skin-collagen-based 3D printed hydrogels for the engineering of hard tissues. ACS Biomater. Sci. Eng. 2020, 6, 3664–3672. [Google Scholar] [CrossRef]
- Diogo, G.S.; López-Senra, E.; Pirraco, R.P.; Canadas, R.F.; Fernandes, E.M.; Serra, J.; Pérez-Martín, R.I.; Sotelo, C.G.; Marques, A.P.; González, P.; et al. Marine collagen/apatite composite scaffolds envisaging hard tissue applications. Mar. Drugs 2018, 16, 269. [Google Scholar] [CrossRef]
- Sousa, R.O.; Alves, A.L.; Carvalho, D.N.; Martins, E.; Oliveira, C.; Silva, T.H.; Reis, R.L. Acid and enzymatic extraction of collagen from Atlantic cod (Gadus Morhua) swim bladders envisaging health-related applications. J. Biomater. Sci. Polym. Ed. 2020, 20–37. [Google Scholar] [CrossRef]
- Im, J.H.; Choi, C.H.; Mun, F.; Lee, J.H.; Kim, H.; Jung, W.K.; Jang, C.H.; Kim, G.H. A polycaprolactone/fish collagen/alginate biocomposite supplemented with phlorotannin for hard tissue regeneration. RSC Adv. 2017, 7, 2009–2018. [Google Scholar] [CrossRef]
- Gaspar-Pintiliescu, A.; Stefan, L.M.; Anton, E.D.; Berger, D.; Matei, C.; Negreanu-Pirjol, T.; Moldovan, L. Physicochemical and biological properties of gelatin extracted from marine snail Rapana venosa. Mar. Drugs 2019, 17, 589. [Google Scholar] [CrossRef] [PubMed]
- Macha, I.J.; Ben-Nissan, B.; Mueller, W.H. Marine-based biomaterials for tissue engineering applications. In Marine-Derived Biomaterials for Tissue Engineering Applications; Choi, A.H., Ben-Nissan, B., Eds.; Springer: Singapore, 2019; pp. 99–113. [Google Scholar]
- Kim, S.K.; Ngo, D.H.; Vo, T.S. Marine fish-derived bioactive peptides as potential antihypertensive agents. In Advances in Food and Nutrition Research; Academic Press: Cambridge, MA, USA, 2012; pp. 249–260. [Google Scholar]
- Karim, A.A.; Bhat, R. Fish gelatin: Properties, challenges, and prospects as an alternative to mammalian gelatins. Food Hydrocoll. 2009, 23, 563–576. [Google Scholar] [CrossRef]
- Da Trindade Alfaro, A.; Balbinot, E.; Weber, C.I.; Tonial, I.B.; Machado-Lunkes, A. Fish gelatin: Characteristics, functional properties, applications and future potentials. Food Eng. Rev. 2014, 7, 33–44. [Google Scholar] [CrossRef]
- Gomez-Guillen, M.C.; Gimenez, B.; Lopez-Caballero, M.E.; Montero, M.P. Functional and bioactive properties of collagen and gelatin from alternative sources: A review. Food Hydrocoll. 2011, 25, 1813–1827. [Google Scholar] [CrossRef]
- Silva, J.C.; Barros, A.A.; Aroso, I.M.; Fassini, D.; Silva, T.H.; Reis, R.L.; Duarte, A.R.C. Extraction of collagen/gelatin from the marine demosponge Chondrosia reniformis (Nardo, 1847) using water acidified with carbon dioxide—Process optimization. Ind. Eng. Chem. Res. 2016, 55, 6922–6930. [Google Scholar] [CrossRef]
- Chancharern, P.; Laohakunjit, N.; Kerdchoechuen, O.; Thumthanaruk, B. Extraction of type A and type B gelatin from jellyfish (Lobonema smithii). Int. Food Res. J. 2016, 23, 419. [Google Scholar]
- Uriarte-Montoya, M.H.; Santacruz-Ortega, H.; Cinco-Moroyoqui, F.J.; Rouzaud-Sández, O.; Plascencia-Jatomea, M.; Ezquerra-Brauer, J.M. Giant squid skin gelatin: Chemical composition and biophysical characterization. Food Res. Int. 2011, 44, 3243–3249. [Google Scholar] [CrossRef]
- Zarai, Z.; Balti, R.; Mejdoub, H.; Gargouri, Y.; Sayari, A. Process for extracting gelatin from marine snail (Hexaplex trunculus): Chemical composition and functional properties. Process Biochem. 2012, 47, 1779–1784. [Google Scholar] [CrossRef]
- Nur Hanani, Z.A.; Roos, Y.H.; Kerry, J.P. Use and application of gelatin as potential biodegradable packaging materials for food products. Int. J. Biol. Macromol. 2014, 71, 94–102. [Google Scholar] [CrossRef]
- Radhakrishnan, N.; Kanagesan, S.; Pandurangan, A.; Padmanabhan, P. Basics to different imaging techniques, different nanobiomaterials for image enhancement. In Nanobiomaterials in Medical Imaging: Applications of Nanobiomaterials; William Andrew: Oxford, UK, 2016; pp. 101–129. ISBN 9780323417389. [Google Scholar]
- Van Vlierberghe, S.; Graulus, G.J.; Samal, S.K.; Van Nieuwenhove, I.; Dubruel, P. Porous hydrogel biomedical foam scaffolds for tissue repair. In Biomedical Foams for Tissue Engineering Applications; Woodhead Publishing: Cambridge, UK, 2014; pp. 335–390. ISBN 9780857096968. [Google Scholar]
- Yang, G.; Xiao, Z.; Long, H.; Ma, K.; Zhang, J.; Ren, X.; Zhang, J. Assessment of the characteristics and biocompatibility of gelatin sponge scaffolds prepared by various crosslinking methods. Sci. Rep. 2018, 8, 1–13. [Google Scholar] [CrossRef] [PubMed]
- Rasmussen, R.S.; Morrissey, M.T. Marine biotechnology for production of food ingredients. Adv. Food Nutr. Res. 2007, 52, 237–292. [Google Scholar] [PubMed]
- Salvatore, L.; Gallo, N.; Natali, M.L.; Campa, L.; Lunetti, P.; Madaghiele, M.; Blasi, F.S.; Corallo, A.; Capobianco, L.; Sannino, A. Marine collagen and its derivatives: Versatile and sustainable bio-resources for healthcare. Mater. Sci. Eng. C 2020. [Google Scholar] [CrossRef] [PubMed]
- Gómez-Guillén, M.C.; Turnay, J.; Fernández-Díaz, M.D.; Ulmo, N.; Lizarbe, M.A.; Montero, P. Structural and physical properties of gelatin extracted from different marine species: A comparative study. Food Hydrocoll. 2002, 16, 25–34. [Google Scholar] [CrossRef]
- Choi, S.S.; Regenstein, J.M. Physicochemical and sensory characteristics of fish gelatin. J. Food Sci. 2000, 65, 194–199. [Google Scholar] [CrossRef]
- Haard, N.F.; Simpson, B.K.; Sikorski, Z.E. Biotechnological applications of seafood proteins and other nitrogenous compounds. In Seafood Proteins; Springer: New York, NY, USA, 1994; pp. 194–216. [Google Scholar]
- Abd Elgadir, M.; Mirghani, M.E.S.; Adam, A. Fish gelatin and its applications in selected pharmaceutical aspects as alternative source to pork gelatin. J. Food Agric. Environ. 2013, 11, 73–79. [Google Scholar]
- Sharma, S.; Gupta, A. Sustainable management of keratin waste biomass: Applications and future perspectives. Braz. Arch. Biol. Technol. 2016, 59. [Google Scholar] [CrossRef]
- Wang, B.; Yang, W.; McKittrick, J.; Meyers, M.A. Keratin: Structure, mechanical properties, occurrence in biological organisms, and efforts at bioinspiration. Prog. Mater. Sci. 2016, 76, 229–318. [Google Scholar] [CrossRef]
- Sharma, S.; Kumar, A. Keratin as a Protein Biopolymer: Extraction from Waste Biomass and Applications; Springer: Cham, Switzerland, 2019. [Google Scholar]
- Shavandi, A.; Silva, T.H.; Bekhit, A.A.; Bekhit, A.E.D.A. Keratin: Dissolution, extraction and biomedical application. Biomater. Sci. 2017, 5, 1699–1735. [Google Scholar] [CrossRef]
- Vineis, C.; Varesano, A.; Varchi, G.; Aluigi, A. Extraction and characterization of keratin from different biomasses. In Keratin as a Protein Biopolymer; Springer: Cham, Switzerland, 2019; pp. 35–76. [Google Scholar]
- Korniłłowicz-Kowalska, T.; Bohacz, J. Biodegradation of keratin waste: Theory and practical aspects. Waste Manag. 2011, 31, 1689–1701. [Google Scholar] [CrossRef]
- Mogosanu, G.; Grumezescu, A.; Chifiriuc, M. Keratin-based biomaterials for biomedical applications. Curr. Drug Targets 2014, 15, 518–530. [Google Scholar] [CrossRef] [PubMed]
- Fu, J.; Guerette, P.A.; Pavesi, A.; Horbelt, N.; Lim, C.T.; Harrington, M.J.; Miserez, A. Artificial hagfish protein fibers with ultra-high and tunable stiffness. Nanoscale 2017, 9, 12908–12915. [Google Scholar] [CrossRef] [PubMed]
- Fudge, D.S.; Gosline, J.M. Molecular design of the α-keratin composite: Insights from a matrix-free model, hagfish slime threads. Proc. R. Soc. B Biol. Sci. 2004, 271, 291–299. [Google Scholar] [CrossRef] [PubMed]
- Böni, L.J.; Zurflüh, R.; Baumgartner, M.E.; Windhab, E.J.; Fischer, P.; Kuster, S.; Rühs, P.A. Effect of ionic strength and seawater cations on hagfish slime formation. Sci. Rep. 2018, 8, 1–12. [Google Scholar] [CrossRef]
- Dance, A. Will hagfish yield the fibers of the future? Proc. Natl. Acad. Sci. USA 2016, 113, 7005–7006. [Google Scholar] [CrossRef] [PubMed]
- Yamauchi, K.; Yamauchi, A.; Kusunoki, T.; Kohda, A.; Konishi, Y. Preparation of stable aqueous solution of keratins, and physiochemical and biodegradational properties of films. J. Biomed. Mater. Res. 1996, 31, 439–444. [Google Scholar] [CrossRef]
- Fujii, T.; Ogiwara, D.; Arimoto, M. Convenient procedures for human hair protein films and properties of alkaline phosphatase incorporated in the film. Biol. Pharm. Bull. 2004, 27, 89–93. [Google Scholar] [CrossRef]
- Tanabe, T.; Okitsu, N.; Tachibana, A.; Yamauchi, K. Preparation and characterization of keratin-chitosan composite film. Biomaterials 2002, 23, 817–825. [Google Scholar] [CrossRef]
- Borrelli, M.; Joepen, N.; Reichl, S.; Finis, D.; Schoppe, M.; Geerling, G.; Schrader, S. Keratin films for ocular surface reconstruction: Evaluation of biocompatibility in an in-vivo model. Biomaterials 2015, 42, 112–120. [Google Scholar] [CrossRef]
- Heldreth, B. Hydrolyzed Source Proteins as Used in Cosmetics. Available online: http://www.cir-safety.org/sites/default/files/hprtns052012slr.pdf (accessed on 23 November 2020).
- Naoya, Y.; Masatoshi, S.; Kazuhiko, T. Cleansing Composition. U.S. Patent No. US20060091610A1, 7 July 2005. [Google Scholar]
- Latire, T.; Legendre, F.; Bigot, N.; Carduner, L.; Kellouche, S.; Bouyoucef, M.; Carreiras, F.; Marin, F.; Lebel, J.M.; Galéra, P.; et al. Shell extracts from the marine bivalve Pecten maximus regulate the synthesis of extracellular matrix in primary cultured human skin fibroblasts. PLoS ONE 2014, 9, e99931. [Google Scholar] [CrossRef]
- Latire, T.; Legendre, F.; Bouyoucef, M.; Marin, F.; Carreiras, F.; Rigot-Jolivet, M.; Lebel, J.M.; Galéra, P.; Serpentini, A. Shell extracts of the edible mussel and oyster induce an enhancement of the catabolic pathway of human skin fibroblasts, in vitro. Cytotechnology 2017, 69, 815–829. [Google Scholar] [CrossRef] [PubMed]
- Andrade, P.H.M.; Schmidt Rondon, E.; Carollo, C.A.; Rodrigues Macedo, M.L.; Viana, L.H.; Schiaveto De Souza, A.; Turatti Oliveira, C.; Cepa Matos, M.D.F. Effect of powdered shells of the snail Megalobulimus lopesi on secondary-intention wound healing in an animal model. Evid. Based Complement. Altern. Med. 2015, 120785. [Google Scholar] [CrossRef]
- Lansdown, A.B.G. Calcium: A potential central regulator in wound healing in the skin. Wound Repair Regen. 2002, 10, 271–285. [Google Scholar] [CrossRef] [PubMed]
- Limová, M. Evaluation of two calcium alginate dressings in the management of venous ulcers. Ostomy Wound Manag. 2003, 49, 26–33. [Google Scholar]
- Ehrlich, H.; Martinović, R.; Joksimović, D.; Petrenko, I.; Schiaparelli, S.; Wysokowski, M.; Tsurkan, D.; Stelling, A.L.; Springer, A.; Gelinsky, M.; et al. Conchixes: Organic scaffolds which resemble the size and shapes of mollusks shells, their isolation and potential multifunctional applications. Appl. Phys. A Mater. Sci. Process. 2020, 126, 280. [Google Scholar] [CrossRef]
- Bowen, C.E.; Tang, H. Conchiolin-protein in aragonite shells of mollusks. Comp. Biochem. Physiol. A Physiol. 1996, 115, 269–275. [Google Scholar] [CrossRef]
- Bédouet, L.; Marie, A.; Dubost, L.; Péduzzi, J.; Duplat, D.; Berland, S.; Puisségur, M.; Boulzaguet, H.; Rousseau, M.; Milet, C.; et al. Proteomics analysis of the nacre soluble and insoluble proteins from the oyster Pinctada margaritifera. Mar. Biotechnol. 2007, 9, 638–649. [Google Scholar] [CrossRef]
- Cariolou, M.A.; Morse, D.E. Purification and characterization of calcium-binding conchiolin shell peptides from the mollusc, Haliotis rufescens, as a function of development. J. Comp. Physiol. B Biochem. Syst. Environ. Physiol. 1988, 157, 717–729. [Google Scholar] [CrossRef]
- Krampitz, G.; Drolshagen, H.; Hotta, S. Simultaneous binding of calcium and bicarbonate by conchiolin of oyster shells. Experientia 1983, 39, 1104–1105. [Google Scholar] [CrossRef]
- OECD. Health at a Glance: Europe 2016—State of Health in the EU Cycle; OECD Publishing: Paris, France, 2016. [Google Scholar] [CrossRef]
- Kim, I.W.; Collino, S.; Morse, D.E.; Evans, J.S. A crystal modulating protein from molluscan nacre that limits the growth of calcite in vitro. Cryst. Growth Des. 2006, 6, 1078–1082. [Google Scholar] [CrossRef]
- Tabachnick, K.R.; Menshenina, L.L.; Pisera, A.; Ehrlich, H. Revision of Aspidoscopulia Reiswig, 2002 (Porifera: Hexactinellida: Farreidae) with description of two new species. Zootaxa 2011, 2883, 1–22. [Google Scholar] [CrossRef]
- Tabachnick, K.; Fromont, J.; Ehrlich, H.; Menshenina, L. Hexactinellida from the Perth Canyon, Eastern Indian Ocean, with descriptions of five new species. Zootaxa 2019, 4664, 047–082. [Google Scholar] [CrossRef] [PubMed]
- Ehrlich, H.; Maldonado, M.; Parker, A.R.; Kulchin, Y.N.; Schilling, J.; Köhler, B.; Skrzypczak, U.; Simon, P.; Reiswig, H.M.; Tsurkan, M.V.; et al. Supercontinuum generation in naturally occurring glass sponges spicules. Adv. Opt. Mater. 2016, 4, 1608–1613. [Google Scholar] [CrossRef]
- Wysokowski, M.; Jesionowski, T.; Ehrlich, H. Biosilica as a source for inspiration in biological materials science. Am. Mineral. 2018, 103, 665–691. [Google Scholar] [CrossRef]
- Fernandes, M.C.; Aizenberg, J.; Weaver, J.C.; Bertoldi, K. Mechanically robust lattices inspired by deep-sea glass sponges. Nat. Mater. 2020. [Google Scholar] [CrossRef] [PubMed]
- Gravel, M.; Vago, R.; Tabrizian, M. Use of natural coralline biomaterials as reinforcing and gas-forming agent for developing novel hybrid biomatrices: Microarchitectural and mechanical studies. Tissue Eng. 2006, 12, 589–600. [Google Scholar] [CrossRef]
- Green, D.W.; Ben-Nissan, B.; Yoon, K.S.; Milthorpe, B.; Jung, H.S. Natural and synthetic coral biomineralization for human bone revitalization. Trends Biotechnol. 2017, 35, 43–54. [Google Scholar] [CrossRef]
- Nandi, S.K.; Kundu, B.; Mukherjee, J.; Mahato, A.; Datta, S.; Balla, V.K. Converted marine coral hydroxyapatite implants with growth factors: In vivo bone regeneration. Mater. Sci. Eng. C 2015, 49, 816–823. [Google Scholar] [CrossRef]
- Ehrlich, H.; Etnoyer, P.; Litvinov, S.D.; Olennikova, M.M.; Domaschke, H.; Hanke, T.; Born, R.; Meissner, H.; Worch, H. Biomaterial structure in deep-sea bamboo coral (Anthozoa: Gorgonacea: Isididae): Perspectives for the development of bone implants and templates for tissue engineering. Mater. Werkst. 2006, 37, 552–557. [Google Scholar] [CrossRef]
- Boller, M.L.; Swain, T.D.; Lasker, H.R. Skeletal morphology and material properties of a fragmenting gorgonian coral. Mar. Ecol. Prog. Ser. 2002, 228, 131–141. [Google Scholar] [CrossRef]
- Day, A.G.E.; Francis, W.R.; Fu, K.; Pieper, I.L.; Guy, O.; Xia, Z. Osteogenic potential of human umbilical cord mesenchymal stem cells on coralline hydroxyapatite/calcium carbonate microparticles. Stem Cells Int. 2018, 2018. [Google Scholar] [CrossRef] [PubMed]
- Israel 21C. Available online: https://www.israel21c.org/growing-new-bone-from-corals-raised-in-the-israeli-desert/ (accessed on 12 September 2020).
- Wangpraseurt, D.; You, S.; Azam, F.; Jacucci, G.; Gaidarenko, O.; Hildebrand, M.; Kühl, M.; Smith, A.G.; Davey, M.P.; Smith, A.; et al. Bionic 3D printed corals. Nat. Commun. 2020, 11, 1–8. [Google Scholar] [CrossRef] [PubMed]
- Khrunyk, Y.Y.; Belikov, S.V.; Tsurkan, M.V.; Vyalykh, I.V.; Markaryan, A.Y.; Karabanalov, M.S.; Popov, A.A.; Wysokowski, M. Surface-dependent osteoblasts response to TiO2 nanotubes of different crystallinity. Nanomaterials 2020, 10, 320. [Google Scholar] [CrossRef] [PubMed]
- Karacan, I.; Ben-Nissan, B.; Sinutok, S. Marine-based calcium phosphates from hard coral and calcified algae for biomedical applications. In Marine-Derived Biomaterials for Tissue Engineering Applications; Choi, A.H., Ben-Nissan, B., Eds.; Springer: Singapore, 2019; pp. 137–157. [Google Scholar]
- Ben-Nissan, B.; Choi, A.H.; Green, D.W. Marine derived biomaterials for bone regeneration and tissue engineering: Learning from nature. In Marine-Derived Biomaterials for Tissue Engineering Applications; Choi, A.H., Ben-Nissan, B., Eds.; Springer: Singapore, 2019; pp. 51–81. [Google Scholar]
- Demers, C.; Reggie Hamdy, C.; Corsi, K.; Chellat, F.; Tabrizian, M.; Yahia, L. Natural coral exoskeleton as a bone graft substitute: A review. Biomed. Mater. Eng. 2002, 12, 15–35. [Google Scholar] [PubMed]
- Nabipour, I. The Application of Corals in Bone Tissue Engineering. Iran. South Med. J. 2017, 20, 217–244. [Google Scholar] [CrossRef][Green Version]
- Chapman-Sheath, P.; Cain, S.; Debes, J.; Svehla, M.; Bruce, W.; Yu, Y.; Walsh, W.R. In vivo response of coral biomaterials. Orthop. Proc. 2018. [Google Scholar] [CrossRef]
- Sheehy, E.J.; Lemoine, M.; Clarke, D.; Vazquez, A.G.; O’Brien, F.J. The incorporation of marine coral microparticles into collagen-based scaffolds promotes osteogenesis of human mesenchymal stromal cells via calcium ion signalling. Mar. Drugs 2020, 18, 74. [Google Scholar] [CrossRef]
- Manassero, M.; Viateau, V.; Deschepper, M.; Oudina, K.; Logeart-Avramoglou, D.; Petite, H.; Bensidhoum, M. Bone regeneration in sheep using acropora coral, a natural resorbable scaffold, and autologous mesenchymal stem cells. Tissue Eng. Part A 2013, 19, 1554–1563. [Google Scholar] [CrossRef]
- Birk, R.Z.; Abramovitch-Gottlib, L.; Margalit, I.; Aviv, M.; Forti, E.; Geresh, S.; Vago, R. Conversion of adipogenic to osteogenic phenotype using crystalline porous biomatrices of marine origin. Tissue Eng. 2006, 12, 21–31. [Google Scholar] [CrossRef]
- Julia, V.; Abbas, B.; Bachtiar, E.W.; Latief, B.S.; Kuijpers-Jagtman, A.M. Effect of coral Goniopora Sp scaffold application on human osteoblast-like MG-63 cell activity in vitro. Makara J. Health Res. 2019, 23. [Google Scholar] [CrossRef]
- Gancz, A.; Zueva, Y.; Weiss, O.E.; Hendler, R.M.; Minnes, R.; Baranes, D. Coralline skeleton biomaterial reduces phagocytosis in mouse blood in vitro. Isr. J. Chem. 2020, 60, 586–592. [Google Scholar] [CrossRef]
- Pohl, T.; Al-Muqdadi, S.W.; Ali, M.H.; Fawzi, N.A.M.; Ehrlich, H.; Merkel, B. Discovery of a living coral reef in the coastal waters of Iraq. Sci. Rep. 2014, 4. [Google Scholar] [CrossRef] [PubMed]
- Pfister, L.; Grave, C.; Beisel, J.N.; McDonnell, J.J. A global assessment of freshwater mollusk shell oxygen isotope signatures and their relation to precipitation and stream water. Sci. Rep. 2019, 9, 1–6. [Google Scholar] [CrossRef] [PubMed]
- Chandra Rajan, K.; Vengatesen, T. Molecular adaptation of molluscan biomineralisation to high-CO2 oceans—The known and the unknown. Mar. Environ. Res. 2020, 155. [Google Scholar] [CrossRef] [PubMed]
- Zuykov, M.; Pelletier, E.; Harper, D.A.T. Bivalve mollusks in metal pollution studies: From bioaccumulation to biomonitoring. Chemosphere 2013, 93, 201–208. [Google Scholar] [CrossRef]
- Bruggmann, S.; Klaebe, R.M.; Paulukat, C.; Frei, R. Heterogeneity and incorporation of chromium isotopes in recent marine molluscs (Mytilus). Geobiology 2019, 17, 417–435. [Google Scholar] [CrossRef]
- Kamat, S.; Su, X.; Ballarini, R.; Heuer, A.H. Structural basis for the fracture toughness of the shell of the conch Strombus gigas. Nature 2000, 405, 1036–1040. [Google Scholar] [CrossRef]
- Yang, W.; Kashani, N.; Li, X.W.; Zhang, G.P.; Meyers, M.A. Structural characterization and mechanical behavior of a bivalve shell (Saxidomus purpuratus). Mater. Sci. Eng. C 2011, 31, 724–729. [Google Scholar] [CrossRef]
- Hrabánková, I.; Frýda, J.; Šepitka, J.; Sasaki, T.; Frýdová, D.; Lukeš, J. Mechanical properties of deep-sea molluscan shell. Comput. Methods Biomech. Biomed. Eng. 2013, 16, 287–289. [Google Scholar] [CrossRef]
- Li, X.W.; Ji, H.M.; Yang, W.; Zhang, G.P.; Chen, D.L. Mechanical properties of crossed-lamellar structures in biological shells: A review. J. Mech. Behav. Biomed. Mater. 2017, 74, 54–71. [Google Scholar] [CrossRef]
- Checa, A.G.; Esteban-Delgado, F.J.; Rodríguez-Navarro, A.B. Crystallographic structure of the foliated calcite of bivalves. J. Struct. Biol. 2007, 157, 393–402. [Google Scholar] [CrossRef] [PubMed]
- Meyers, M.A.; Chen, P.Y.; Lin, A.Y.M.; Seki, Y. Biological materials: Structure and mechanical properties. Prog. Mater. Sci. 2008, 53, 1–206. [Google Scholar] [CrossRef]
- De Paula, S.M.; Silveira, M. Studies on molluscan shells: Contributions from microscopic and analytical methods. Micron 2009, 40, 669–690. [Google Scholar] [CrossRef] [PubMed]
- Yadav, R.; Goud, R.; Dutta, A.; Wang, X.; Naebe, M.; Kandasubramanian, B. Biomimicking of hierarchal molluscan shell structure via layer by layer 3D printing. Ind. Eng. Chem. Res. 2018, 57, 10832–10840. [Google Scholar] [CrossRef]
- Schoeppler, V.; Lemanis, R.; Reich, E.; Pusztai, T.; Gránásy, L.; Zlotnikov, I. Crystal growth kinetics as an architectural constraint on the evolution of molluscan shells. Proc. Natl. Acad. Sci. USA 2019, 116, 20388–20397. [Google Scholar] [CrossRef]
- Strąg, M.; Maj, Ł.; Bieda, M.; Petrzak, P.; Jarzębska, A.; Gluch, J.; Topal, E.; Kutukova, K.; Clausner, A.; Heyn, W.; et al. Anisotropy of mechanical properties of Pinctada margaritifera mollusk shell. Nanomaterials 2020, 10, 634. [Google Scholar] [CrossRef]
- Currey, J.D. The design of mineralised hard tissues for their mechanical functions. J. Exp. Biol. 1999, 202, 3285–3294. [Google Scholar]
- Chateigner, D.; Hedegaard, C.; Wenk, H.R. Mollusc shell microstructures and crystallographic textures. J. Struct. Geol. 2000, 22, 1723–1735. [Google Scholar] [CrossRef]
- Currey, J.D. Further studies on the mechanical properties of mollusc shell material. J. Zool. 1976, 180, 445–453. [Google Scholar] [CrossRef]
- Kuhn-Spearing, L.T.; Kessler, H.; Chateau, E.; Ballarini, R.; Heuer, A.H.; Spearing, S.M. Fracture mechanisms of the Strombus gigas conch shell: Implications for the design of brittle laminates. J. Mater. Sci. 1996, 31, 6583–6594. [Google Scholar] [CrossRef]
- Parker, L.M.; Ross, P.M.; O’Connor, W.A.; Pörtner, H.O.; Scanes, E.; Wright, J.M. Predicting the response of molluscs to the impact of ocean acidification. Biology 2013, 2, 651–692. [Google Scholar] [CrossRef] [PubMed]
- Hu, S.; Wang, Y.; Han, H. Utilization of waste freshwater mussel shell as an economic catalyst for biodiesel production. Biomass Bioenerg. 2011, 35, 3627–3635. [Google Scholar] [CrossRef]
- Vecchio, K.S.; Zhang, X.; Massie, J.B.; Wang, M.; Kim, C.W. Conversion of bulk seashells to biocompatible hydroxyapatite for bone implants. Acta Biomater. 2007, 3, 910–918. [Google Scholar] [CrossRef] [PubMed]
- Morris, J.P.; Backeljau, T.; Chapelle, G. Shells from aquaculture: A valuable biomaterial, not a nuisance waste product. Rev. Aquac. 2019, 11, 42–57. [Google Scholar] [CrossRef]
- George, P.; Hamid, Z.A.; Zakaria, M.Z.A.B.; Perimal, E.K.; Bharatham, H. A short review on cockle shells as biomaterials in the context of bone scaffold fabrication. Sains Malays. 2019, 48, 1539–1545. [Google Scholar] [CrossRef]
- Gerhard, E.M.; Wang, W.; Li, C.; Guo, J.; Ozbolat, I.T.; Rahn, K.M.; Armstrong, A.D.; Xia, J.; Qian, G.; Yang, J. Design strategies and applications of nacre-based biomaterials. Acta Biomater. 2017, 54, 21–34. [Google Scholar] [CrossRef]
- Agarwal, V.; Tjandra, E.S.; Iyer, K.S.; Humfrey, B.; Fear, M.; Wood, F.M.; Dunlop, S.; Raston, C.L. Evaluating the effects of nacre on human skin and scar cells in culture. Toxicol. Res. 2014, 3, 223–227. [Google Scholar] [CrossRef]
- Atlan, G.; Delattre, O.; Berland, S.; LeFaou, A.; Nabias, G.; Cot, D.; Lopez, E. Interface between bone and nacre implants in sheep. Biomaterials 1999, 20, 1017–1022. [Google Scholar] [CrossRef]
- Food and Agriculture Organization of the United Nations (FAO). The State of World Fisheries and Aquaculture; Sustainability in Action; FAO: Rome, Italy, 2020. [Google Scholar] [CrossRef]
- Food and Agriculture Organization of the United Nations. Available online: http://www.fao.org/documents/card/en/c/ca1213en/ (accessed on 25 October 2020).
- Tokeshi, M.; Ota, N.; Kawai, T. A comparative study of morphometry in shell-bearing molluscs. J. Zool. 2000, 251, 31–38. [Google Scholar] [CrossRef]
- Yoon, H.; Park, S.; Lee, K.; Park, J. Oyster shell as substitute for aggregate in mortar. Waste Manag. Res. 2004, 22, 158–170. [Google Scholar] [CrossRef]
- Ballester, P.; Mármol, I.; Morales, J.; Sánchez, L. Use of limestone obtained from waste of the mussel cannery industry for the production of mortars. Cem. Concr. Res. 2007, 37, 559–564. [Google Scholar] [CrossRef]
- Suttle, N.F. Mineral Nutrition of Livestock, 4th ed.; CABI Publishing: Cambridge, MA, USA, 2010; ISBN 9781845934729. [Google Scholar]
- Scott, M.L.; Hull, S.J.; Mullenhoff, P.A. The calcium requirements of laying hens and effects of dietary oyster shell upon egg shell quality. Poult. Sci. 1971, 50, 1055–1063. [Google Scholar] [CrossRef]
- Aletor, V.A.; Aturamu, O.A. Use of oyster shell as calcium supplement. Part 2. An assessment of the responses of hepatic and serum enzymes, relative organ weights, and bone mineralization in the broiler chicken fed gossypol-containing cottonseed cake supplemented with oyster shell. Food/Nahrung 1990, 34, 319–324. [Google Scholar] [CrossRef] [PubMed]
- Aletor, V.A.; Onibi, O.E. Use of oyster shell as calcium supplement. Part 1. Effect on the utilization of gossypol-containing cotton seed cake by the chicken. Food/Nahrung 1990, 34, 311–318. [Google Scholar] [CrossRef] [PubMed]
- Ajakaiye, A.; Atteh, J.O.; Leeson, S. Biological availability of calcium in broiler chicks from different calcium sources found in Nigeria. Anim. Feed Sci. Technol. 2003, 104, 209–214. [Google Scholar] [CrossRef]
- Guinotte, F.; Nys, Y.; de Monredon, F. The effects of particle size and origin of calcium carbonate on performance and ossification characteristics in broiler chicks. Poult. Sci. 1991, 70, 1908–1920. [Google Scholar] [CrossRef]
- Çatli, A.U.; Bozkurt, M.; Küçükyilmaz, K.; Çinar, M.; Bintas, E.; Çöven, F.; Atik, H. Performance and egg quality of aged laying hens fed diets supplemented with meat and bone meal or oyster shell meal. S. Afr. J. Anim. Sci. 2012, 41. [Google Scholar] [CrossRef]
- McLaughlan, C.; Rose, P.; Aldridge, D.C. Making the Best of a Pest: The potential for using invasive Zebra mussel (Dreissena polymorpha) biomass as a supplement to commercial chicken feed. Environ. Manag. 2014, 54, 1102–1109. [Google Scholar] [CrossRef]
- Haynes, R.J.; Naidu, R. Influence of lime, fertilizer and manure applications on soil organic matter content and soil physical conditions: A review. Nutr. Cycl. Agroecosyst. 1998, 51, 123–137. [Google Scholar] [CrossRef]
- Lee, C.H.; Lee, D.K.; Ali, M.A.; Kim, P.J. Effects of oyster shell on soil chemical and biological properties and cabbage productivity as a liming materials. Waste Manag. 2008, 28, 2702–2708. [Google Scholar] [CrossRef]
- Garrido-Rodríguez, B.; Fernández-Calviño, D.; Nóvoa Muñoz, J.C.; Arias-Estévez, M.; Díaz-Raviña, M.; Álvarez-Rodríguez, E.; Fernández-Sanjurjo, M.J.; Núñez-Delgado, A. pH-dependent copper release in acid soils treated with crushed mussel shell. Int. J. Environ. Sci. Technol. 2013, 10, 983–994. [Google Scholar] [CrossRef]
- Ok, Y.S.; Lim, J.E.; Moon, D.H. Stabilization of Pb and Cd contaminated soils and soil quality improvements using waste oyster shells. Environ. Geochem. Health 2011, 33, 83–91. [Google Scholar] [CrossRef] [PubMed]
- Osorio-López, C.; Seco-Reigosa, N.; Garrido-Rodríguez, B.; Cutillas-Barreiro, L.; Arias-Estévez, M.; Fernández-Sanjurjo, M.J.; Álvarez-Rodríguez, E.; Núñez-Delgado, A. As(V) adsorption on forest and vineyard soils and pyritic material with or without mussel shell: Kinetics and fractionation. J. Taiwan Inst. Chem. Eng. 2014, 45, 1007–1014. [Google Scholar] [CrossRef]
- Du, Y.; Lian, F.; Zhu, L. Biosorption of divalent Pb, Cd and Zn on aragonite and calcite mollusk shells. Environ. Pollut. 2011, 159, 1763–1768. [Google Scholar] [CrossRef] [PubMed]
- Tam, C.H.; Lee, S.C.; Chang, S.H.; Tang, T.P.; Ho, H.H.; Bor, H.Y. Effects of the temperature of hot isostatic pressing treatment on Cr-Si targets. Ceram. Int. 2009, 35, 565–570. [Google Scholar] [CrossRef]
- Song, F.; Soh, A.K.; Bai, Y.L. Structural and mechanical properties of the organic matrix layers of nacre. Biomaterials 2003, 24, 3623–3631. [Google Scholar] [CrossRef]
- Currey, J.D.; Zioupos, P.; Davies, P.; Casinos, A. Mechanical properties of nacre and highly mineralized bone. Proc. R. Soc. B Biol. Sci. 2001, 268, 107–111. [Google Scholar] [CrossRef]
- Zhang, G.; Brion, A.; Willemin, A.S.; Piet, M.H.; Moby, V.; Bianchi, A.; Mainard, D.; Galois, L.; Gillet, P.; Rousseau, M. Nacre, a natural, multi-use, and timely biomaterial for bone graft substitution. J. Biomed. Mater. Res. Part A 2017, 105, 662–671. [Google Scholar] [CrossRef]
- Morris, J.P.; Wang, Y.; Backeljau, T.; Chapelle, G. Biomimetic and bio-inspired uses of mollusc shells. Mar. Genomics 2016, 27, 85–90. [Google Scholar] [CrossRef]
- Lamghari, M.; Berland, S.; Laurent, A.; Huet, H.; Lopez, E. Bone reactions to nacre injected percutaneously into the vertebrae of sheep. Biomaterials 2001, 22, 555–562. [Google Scholar] [CrossRef]
- Rousseau, M.; Delattre, O.; Gillet, P.; Lopez, E. Subchondral nacre implant in the articular zone of the sheep’s knee: A pilot study. Biomed. Mater. Eng. 2012, 22, 227–234. [Google Scholar] [CrossRef] [PubMed]
- Pascaretti-Grizon, F.; Libouban, H.; Camprasse, G.; Camprasse, S.; Mallet, R.; Chappard, D. The interface between nacre and bone after implantation in the sheep: A nanotomographic and Raman study. J. Raman Spectrosc. 2014, 45, 558–564. [Google Scholar] [CrossRef]
- Asvanund, P.; Chunhabundit, P. Alveolar bone regeneration by implantation of nacre and B-tricalcium phosphate in guinea pig. Implant Dent. 2012, 21, 248–253. [Google Scholar] [CrossRef] [PubMed]
- Green, D.W.; Kwon, H.J.; Jung, H.S. Osteogenic potency of nacre on human mesenchymal stem cells. Mol. Cells 2015, 38, 267–272. [Google Scholar] [CrossRef] [PubMed]
- Brion, A.; Zhang, G.; Dossot, M.; Moby, V.; Dumas, D.; Hupont, S.; Piet, M.H.; Bianchi, A.; Mainard, D.; Galois, L.; et al. Nacre extract restores the mineralization capacity of subchondral osteoarthritis osteoblasts. J. Struct. Biol. 2015, 192, 500–509. [Google Scholar] [CrossRef]
- Mahmood, S.K.; Zakaria, M.Z.A.B.; Razak, I.S.B.A.; Yusof, L.M.; Jaji, A.Z.; Tijani, I.; Hammadi, N.I. Preparation and characterization of cockle shell aragonite nanocomposite porous 3D scaffolds for bone repair. Biochem. Biophys. Rep. 2017, 10, 237–251. [Google Scholar] [CrossRef]
- Bharatham, H.; Zakaria, M.Z.A.B.; Perimal, E.K.; Yusof, L.M.; Hamid, M. Mineral and physiochemical evaluation of Cockle shell (Anadara granosa) and other selected Molluscan shell as potential biomaterials. Sains Malays. 2014, 43, 1023–1029. [Google Scholar]








Publisher’s Note: MDPI stays neutral with regard to jurisdictional claims in published maps and institutional affiliations. |
© 2020 by the authors. Licensee MDPI, Basel, Switzerland. This article is an open access article distributed under the terms and conditions of the Creative Commons Attribution (CC BY) license (http://creativecommons.org/licenses/by/4.0/).
Share and Cite
Khrunyk, Y.; Lach, S.; Petrenko, I.; Ehrlich, H. Progress in Modern Marine Biomaterials Research. Mar. Drugs 2020, 18, 589. https://doi.org/10.3390/md18120589
Khrunyk Y, Lach S, Petrenko I, Ehrlich H. Progress in Modern Marine Biomaterials Research. Marine Drugs. 2020; 18(12):589. https://doi.org/10.3390/md18120589
Chicago/Turabian StyleKhrunyk, Yuliya, Slawomir Lach, Iaroslav Petrenko, and Hermann Ehrlich. 2020. "Progress in Modern Marine Biomaterials Research" Marine Drugs 18, no. 12: 589. https://doi.org/10.3390/md18120589
APA StyleKhrunyk, Y., Lach, S., Petrenko, I., & Ehrlich, H. (2020). Progress in Modern Marine Biomaterials Research. Marine Drugs, 18(12), 589. https://doi.org/10.3390/md18120589









