Abstract
Shewanella sp. HM13 is a cold-adapted Gram-negative bacterium isolated from the intestine of a horse mackerel. It produces a large amount of outer membrane vesicles (OMVs), which are particles released in the medium where the bacterium is cultured. This strain biosynthesizes a single major cargo protein in the OMVs, a fact that makes Shewanella sp. HM13 a good candidate for the production of extracellular recombinant proteins. Therefore, the structural characterization of the components of the vesicles, such as lipopolysaccharides, takes on a fundamental role for understanding the mechanism of biogenesis of the OMVs and their applications. The aim of this study was to investigate the structure of the oligosaccharide (OS) isolated from Shewanella sp. HM13 cells as the first step for a comparison with that from the vesicles. The lipooligosaccharide (LOS) was isolated from dry cells, purified, and hydrolyzed by alkaline treatment. The obtained OS was analyzed completely, and the composition of fatty acids was obtained by chemical methods. In particular, the OS was investigated in detail by 1H and 13C NMR spectroscopy and MALDI-TOF mass spectrometry. The oligosaccharide was characterized by the presence of a residue of 8-amino-3,8-dideoxy-manno-oct-2-ulosonic acid (Kdo8N) and of a d,d-heptose, with both residues being identified in other oligosaccharides from Shewanella species.
1. Introduction
Cold-adapted bacteria are extremophiles that are able to thrive in permanently cold environments. Some of these habitats are exposed to temperatures below 5 °C [1], and for this reason cold-adapted microorganisms have developed unique physiological tools to survive in these harsh conditions. Cold habitats are also considered as surprising reservoirs of biotechnological molecules such as antibiofilm molecules [2], surfactants [3], cold-active enzymes [4], antifreeze proteins, glycoproteins, and polysaccharides [5,6,7]. Many psychrophiles have been reported to produce outer membrane vesicles (OMVs) [8]. It has been reported that the OMVs produced by a cold-adapted bacterium contain putative proteolytic enzymes, which can serve to degrade high molecular weight molecules present in the surrounding cells [9,10] helping the bacterium in the survival of such harsh conditions.
OMVs are small spherical particles commonly secreted from Gram-negative bacteria, and their role is not yet fully understood [11,12]. They are derived from the outer membrane (OM) by sticking out a portion of the envelope, and, for this reason, they usually contain phospholipids, outer membrane and periplasmic proteins, and lipopolysaccharides (LPSs). The latter molecules are the main components of Gram-negative bacterial OMs, for which they account for approximately 75% of the surface. LPSs are amphiphilic molecules with a conserved structure [13] fundamental for the viability and survival of Gram-negative bacteria and cyanobacteria [14,15,16], since they significantly affect the cell homeostasis due to their influence in cellular integrity and OM permeability [17].
Although LPS is also considered to be a major component of OMVs, very little is known about the LPS structure belonging to OMVs, which deeply limits the knowledge about their role in OMVs. This is mainly because the isolation and characterization of LPS from OMVs is usually impaired by the low amount of produced material. Thus, it is important to use a bacterial strain that abundantly produces OMVs to overcome this problem. Characterization of the structure of the LPS isolated from the bacterial cells, followed by a comparison with the LPS isolated from the OMVs, would greatly contribute to our understanding of the role of LPS in OMVs. Moreover, LPS structural characterization allows us to deepen the knowledge of psychrophilic marine Gram-negative bacteria and their mechanisms of adaptation to these prohibitive environments.
Herein, we describe the structural characterization of the carbohydrate backbone of the lipooligosaccharide (LOS) isolated from Shewanella sp. HM13, a cold-adapted Gram-negative bacterial strain that was isolated from the intestine of a horse mackerel and was found to produce a large amount of OMVs [18]. The OMVs produced by this strain carry a single major cargo protein named P49. This high relative abundance of a single cargo molecule in OMVs is a unique characteristic of this strain. The strain is thus expected to be useful as a host for extracellular production of recombinant proteins, including membrane proteins, as cargoes of OMVs by using the OMV-targeting mechanism of P49. Structural characterization of the molecules constituting the outer membrane of this strain is important for understanding of the mechanism of biogenesis of OMVs and their applications.
The fatty acids were removed from the lipooligosaccharide by mild hydrazinolysis (O-deacylation), followed by an alkaline treatment with 4 M KOH (N-deacylation). The obtained product was investigated by mono- and two-dimensional NMR spectroscopy, MALDI-TOF mass spectrometry, and chemical analysis.
2. Results and Discussion
2.1. LOS Extraction and Purification
Shewanella sp. HM13 cells were grown in Luria Bertani (LB) medium at 4 °C, as described in the Experimental section, and the LPS was isolated from dried cells using the phenol/chloroform/light petroleum (PCP) method [19], with a yield of 2.4%. As illustrated in Figure 1, sodium deoxycholate-polyacrylamide gel electrophoresis analysis (DOC-PAGE) showed, after silver nitrate gel staining, a fast migrating species typical of rough LPS (e.g., LOS). The cellular debris were also extracted by the phenol/water method [20], obtaining the same fast-migrating DOC-PAGE LOS together with proteins and nucleic acids (data not shown).
Figure 1.
Analysis of the lipooligosaccharide (LOS) (Lane b) fraction from Shewanella sp. HM13 by 14% deoxycholate-polyacrylamide gel electrophoresis analysis (DOC-PAGE). The gel was stained with silver nitrate and the LOS was compared with the lipopolysaccharide (LPS) from Escherichia coli O127: B8 (Lane a).
The compositional monosaccharides analysis of the obtained LOS revealed the presence of d-glucose (d-Glc), 2-amino-2-deoxy-d-glucose (d-GlcN), l-glycero-d-manno-heptose (l,d-Hep), and d-glycero-d-manno-heptose (d,d-Hep). Methylation analysis indicated the presence of terminal glucose, 2-substituted glucose, 2-substituted heptose, terminal heptose, and 2,6,7-trisubstituted heptose.
In addition, gas chromatography-mass spectrometry (GC-MS) analysis of fatty acid methyl esters showed the presence of C12:0(3OH), C13:0(3OH), C14:0(3OH), C12:0, C13:0, C14:0, and C15:0 as the major components.
2.2. LOS Deacylation
Alkaline degradation by mild hydrazinolysis of the LOS afforded an O-deacylated LOS, named LOS-OH, which was analyzed by negative ions MALDI-TOF (Figure 2). The spectrum revealed the presence of a cluster of ions, attributable to the LOS-OH molecule. At higher molecular masses, the signal at m/z 2298.6 was assigned the following composition: Hex3Hep3Kdo8NGlcN2P3[C13:0(3OH)][C14:0(3OH)] (Calculated [M−H]− = 2298.84 Da), thus suggesting the presence of a residue of 8-amino-3,8-dideoxy-manno-oct-2-ulosonic acid (Kdo8N). The appearance of the Kdo8N monosaccharide was not surprising, since it has often been reported for Shewanella LPSs [21,22,23,24]. Differences of ±14 Da with respect to the main signal at m/z 2298.6 are attributable to the different lengths of fatty acids substituting the GlcN residues. A less intense signal was observed at m/z 2422.6, suggesting the presence of an additional phosphoethanolamine. Moreover, signals attributable to a core oligosaccharide and a lipid A, arising from an in-source β-elimination at the glycosidic bond between the Kdo8N and the lipid A, were also displayed [25]. The signals at m/z 1360.8 and 1483.9 were both attributed to the core fragments, with the difference of 123 Da being due to the additional phosphoethanolamine. The signals of the decarboxylated core fragments were clearly visible at m/z 1316.8 and 1439.9 [25]. Finally, further fragmentation with losses of 18 u could explain the signals at m/z 1298.8 and 1421.8. The LPS-OH was de-N-acylated by strong alkaline hydrolysis, and the obtained oligosaccharide, named OS, was submitted for full 2D NMR analysis.
Figure 2.
Negative ions MALDI-TOF mass spectrum recorded in reflectron mode of the O-deacylated LOS (LOS-OH). The upper spectrum displays the mass range 800-1500 m/z, whereas the lower one the mass range 2200-2500 m/z. Average masses are reported in the spectrum. The notation ‘14 Da’ indicates differences of single CH2 in the fatty acid chains. ‘18 Da’ indicates the loss of water. ‘44 Da’ indicates the loss of CO2. ‘80 Da’ indicates differences of phosphate groups. ‘98 Da’ indicates the loss of phosphate plus water. ‘123 Da’ indicates differences of phosphoethanolamine groups.
2.3. NMR Spectroscopic Analysis of OS
2D NMR spectroscopy (1H,1H double quantum filtered-correlation spectroscopy (DQF-COSY), 1H,1H total correlation spectroscopy (TOCSY), 1H,1H rotating frame Overhauser enhancement spectroscopy (ROESY), 1H,13C distortionless enhancement by polarization transfer-heteronuclear single quantum coherence (DEPT-HSQC), and 1H,13C heteronuclear multiple bond correlation (HMBC) allowed for the assignment of all the proton and carbon chemical shifts of OS. The experiments indicated the pyranose rings for all the residues. Anomeric configurations were deduced by both proton and carbon anomeric chemical shifts, and by the 1JC1,H1 values obtained from the coupled 1H, 13C DEPT-HSQC experiment (Table 1).
Table 1.
1H and 13C assignments of the oligosaccharide (OS) obtained from the LOS of Shewanella sp. HM13. All the values are referred to sodium 3-trimethylsilyl-(2,2,3,3-2H4)-propanoate (TSP, δH 0.00) and 1,4-dioxane in D2O (δC 67.40) as external standards. Spectra were recorded at 298 K at 600 MHz.
The 1H NMR spectrum of OS displayed eight main anomeric signals, indicating at least the equivalent number of monosaccharides, as shown in Figure 3 (residues A–H). In addition, two proton signals, at δ 2.01 and 2.25 ppm, confirmed the presence of a deoxy sugar (residue I). Starting from the chemical shift of H1 of residue A, the spin system in the COSY and TOCSY spectra revealed a gluco configuration, since it showed the typical 3JH,H vicinal coupling constant values. This residue was identified as the phosphorylated vicinal glucosamine residue (α-GlcNI), due to the multiplicity of its anomeric signal (doublet of doublets, 3JH1,H2 = 3.6 Hz and 3JH1,P = 7.0 Hz) and the chemical shift of its C2 (δ 55.8 ppm), as shown in Figure 4. Similarly, residue G was identified as the distal glucosamine (β-GlcNII) of the lipid A backbone. The ROESY and HMBC experiments (see below) indicated that residues G and A were linked through a linkage (1→6). Residues C, D, and E were recognized to be α-heptoses from their spin-system connectivities revealed in the COSY, TOCSY, and ROESY spectra. Indeed, in the TOCSY experiment, only the connectivities between H1 and H2 were clearly visible, indicating small values for the 3JH1,H2 and 3JH2,H3. Residue C was found to be 2-substituted, since the chemical shift of its C2 was shifted downfield to 82.1 ppm (the reference value for an unsubstituted residue is 71.9 ppm) [26].
Figure 3.
1H NMR spectrum of the oligosaccharide (OS) obtained by strong alkaline hydrolysis of the LOS isolated from Shewanella sp. HM13. The spectrum was recorded in D2O at 298 K at 600 MHz. The letters refer to the residues as described in Table 1.
Figure 4.
Anomeric (a) and carbinolic regions (b) of 1H-13C DEPT-HSQC spectrum of OS of the LOS from Shewanella sp. HM13. The spectrum was recorded in D2O at 298 K at 600 MHz. The letters refer to the residues as described in Table 1.
Residue E did not show any downfield chemical shifts, and therefore was assigned to a terminal non-reducing α-heptose. Spin system C was identified as a 2,6,7-trisubstituted heptose, since its C2, C6, and C7 carbon chemical shifts occurred at 79.4, 78.2, and 70.8 ppm, respectively. The d,d-configuration for this residue was suggested based on the presence of this type of residue in other Shewanella LOSs, and from the strong similarities of the proton and carbon chemical shifts of this residue with those already reported [27]. The gluco configuration for the spin systems of residues B, F, and H was inferred from the typical 3JH,H vicinal coupling constant values. By comparison with the 13C chemical shifts of unsubstituted residues [28], only one low-field shifted signal was identified for the C2 of residue H, indicating that B and F were terminal non-reducing residues. Finally, I was identified as a Kdo8N residue based on the characteristic diastereotopic proton signals at δ 2.01 and 2.25 ppm, and from the high-field chemical shift of its C8 signal at δ 44.8 ppm. The α configuration for this residue was inferred from the coupling constant values of 3JH7,H8a (8 Hz) and of 3JH7,H8b (3.2 Hz) [29].
The 1H-31P HSQC experiment of OS indicated three-bond correlations for the phosphorus signals, with 1H signals as follows: H1 and H2 of residue A with 31P signal at δ −2.1 ppm, H4 of G with 31P signal at δ −0.2 ppm, and H4 of I with 31P signal at δ 0.3 ppm, as shown in Figure 5. Therefore, based on these results and in agreement with other oligosaccharide structures from Shewanella species [23,24], it was possible to hypothesize that the additional phosphoethanolamine is linked through a phosphoanhydride linkage to the phosphate group at position O-4 of the Kdo8N.
Figure 5.
Expansion of the 1H-31P HSQC spectrum of the OS of the LOS from Shewanella sp. HM13. The spectrum was recorded in D2O at 298 K at 400 MHz.
The sequence of the monosaccharides and the linkage positions were obtained from the ROESY and HMBC experiments. The latter spectrum, as illustrated in Figure 6, revealed the following inter-residue correlations: H1 of G with C6 of A, H1 of D with C5 of Kdo8N (residue I), H1 of C with C6 of D, H1 of E with C2 of D, H1 of H with C7 of D, H1 of F with C2 of C, and H1 of B with C2 of H. The ROESY spectrum confirmed this sequence, since it revealed the following dipolar couplings: H1 of D with H5 of I, H1 of C with H6 of D, H1 of H with both H7s of D, H1 of E with H2 of D, H1 of B with H2 of H, and H1 of F with H2 of C. Moreover, the rotating frame Overhauser effect (ROE) contact between H5 of residue D and H3ax of I suggested a D configuration for Kdo8N [30]. Finally, ROE contacts between H1 of G and both H6s of A were found.
Figure 6.
Anomeric region of the 1H,13C HMBC spectrum of the OS oligosaccharide. The spectrum was recorded in D2O at 298 K at 600 MHz. The letters refer to the residues as described in Table 1.
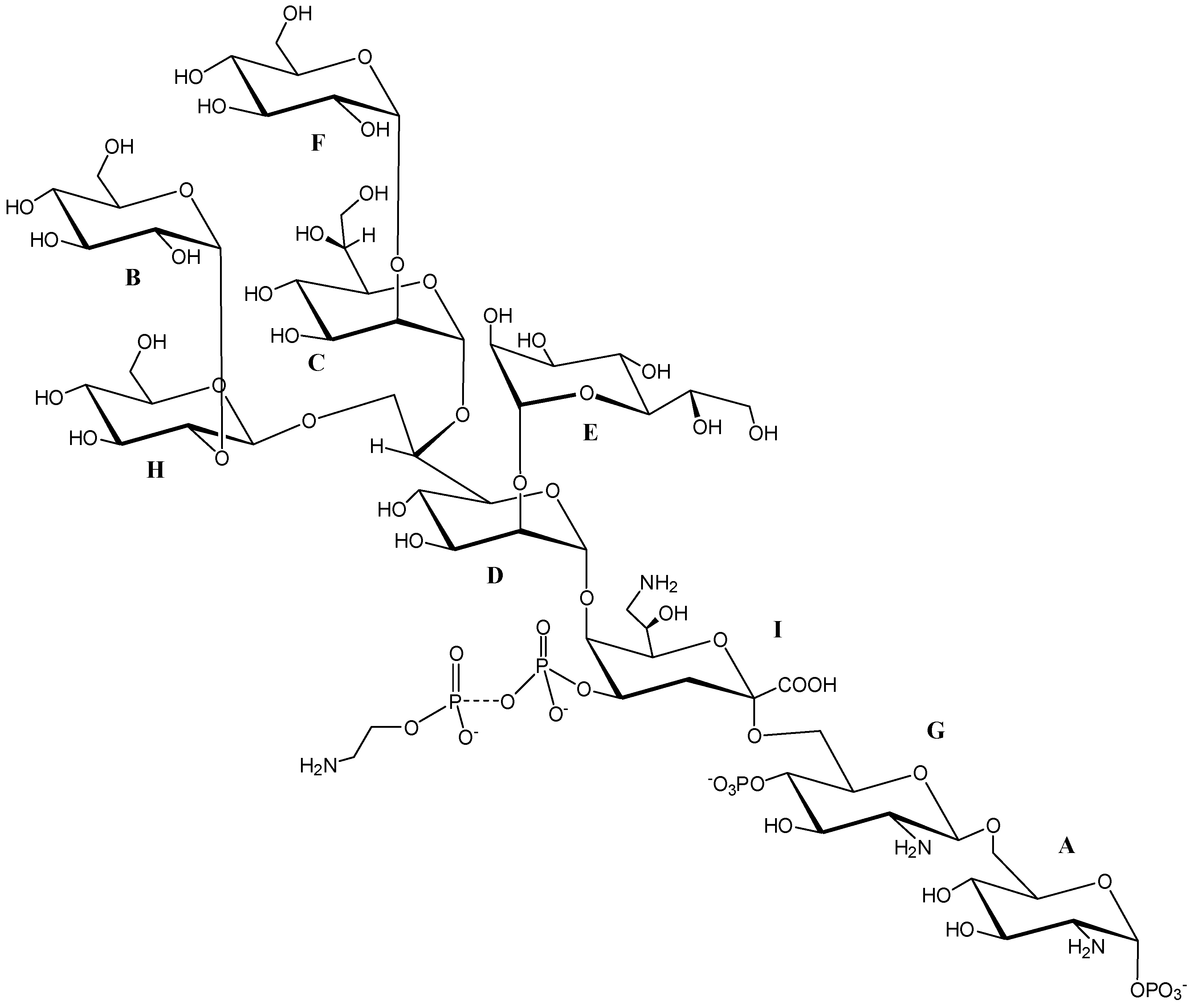
All the reported data allowed us to determine the complete structure of the saccharidic backbone of the Shewanella sp. HM13 LOS, which is shown in Figure 7.
Figure 7.
OS structure of the LOS from Shewanella sp. HM13.
3. Materials and Methods
3.1. Bacteria Growth and LPS Isolation
Shewanella sp. HM13, a psychrotrophic bacterium isolated from the intestine of horse mackerel (Trachurus japonicus), was cultured in 5 mL LB liquid medium overnight at 18 °C. Five milliliters of the culture were inoculated into 1 L LB liquid medium, and the cells were grown at 4 °C until the OD600 reached 3.0–4.0. The cells were harvested at 6800× g, 4 °C for 10 min. The cell pellets collected from 2 L cultures were freeze-dried. Dried bacterial cells (1.4 g) were extracted by the PCP method to give 34 mg of LOS (yield 2.4% w/w of dried cells), and then by the hot phenol/water method as reported previously [19,20].
3.2. DOC-PAGE Analysis
Polyacrylamide gel electrophoresis analysis (PAGE) was performed using the system of Laemmli [31] with sodium deoxycholate (DOC) as the detergent, as already described [32]. The gels were fixed in an aqueous solution of 40% ethanol and 5% acetic acid. The LOS extract bands were visualized by silver staining as previously described [33].
3.3. Sugar and Fatty Acids Analysis
The LOS sample (0.5 mg) was subjected to a methanolysis reaction with HCl/CH3OH (1.25 M, 1 mL) at 80 °C for 16 h. The obtained monosaccharides were acetylated and analyzed as acetylated methyl glycosides by GC-MS. The analysis of the fatty acids, derivatized as methyl esters, was achieved as already reported [34].
The absolute configurations of the glucose and glucosamine were determined by gas chromatography of the acetylated (S)-2-octyl glycosides [35]. The heptose configurations were obtained through the alditol acetates GC-MS method. Briefly, a sample of the LOS (0.5 mg), after a methanolysis reaction, was hydrolyzed at 120 °C with 2M trifluoroacetic acid (TFA) for 2 h, as already reported [36]. After neutralization, the sample was reduced with NaBD4 and finally acetylated and injected into the GC-MS. The configuration was obtained by comparison with authentic standards.
All the sample derivatives were analyzed on an Agilent Technologies gas chromatograph 6850A equipped with a mass selective detector 5973N and a Zebron ZB-5 capillary column (Phenomenex, Bologna, Italy 30 m × 0.25 mm i.d., flow rate 1 mL/min, He as carrier gas). Acetylated methyl glycosides were analyzed using the following temperature program: 140 °C for 3 min, then 140→240 °C at 3 °C/min. Analysis of acetylated octyl glycosides was performed as follows: 150 °C for 5 min, then 150→300 °C at 6 °C/min, and finally 300 °C for 5 min. The temperature program for methyl esters of fatty acids was the following: 140 °C for 3 min, then 140→280 °C at 10 °C/min, and finally 280 °C for 20 min. The temperature program for alditol acetates was the following: 150 °C for 3 min, and then 150→330 °C at 3 °C/min.
3.4. Deacylation of the LOS
The LOS sample (30 mg) was dried over phosphorus anhydride in a vacuum chamber and then treated with hydrazine (1.5 mL) at 37 °C for 2 h. The precipitation of the LOS-OH was obtained by addition of cold acetone. The pellet was recovered after centrifugation (4 °C, 7000 rpm, 30 min), washed two times with cold acetone to remove the excess of hydrazine, suspended in water, and finally freeze-dried [37]. The LOS-OH (8 mg) was submitted to a reaction with KOH 4 M aq. (1.0 mL) for 16 h at 120 °C. The crude reaction was neutralized with HCl 2 M aq. (until pH 6) and extracted with CHCl3 for three times. The aqueous phase of the mixture was desalted on a Sephadex G-10 column (GE Healthcare, Pittsburgh, PA, USA, 2.5 × 43 cm, 31 mL h−1, fraction volume 2.5 mL, eluent NH4HCO3 10 mm). The eluted oligosaccharide fraction was freeze-dried (1.5 mg).
3.5. Methylation Analysis
The linkage positions of the monosaccharides were obtained by the analysis of the partially methylated alditol acetates (PMAAs). The methylation reaction was achieved by incubating 1 mg of the LOS sample with CH3I (100 µL) and NaOH powder in dimethyl sulfoxide (DMSO, 300 µL) for 20 h [38]. The mixture was analyzed by GC-MS with the following temperature program: 90 °C for 1 min, then 90→140 °C at 25 °C/min, then 140→200 °C at 5 °C/min, then 200→280 °C at 10 °C/min, and finally 280 °C for 10 min.
3.6. Mass Spectrometry Analysis
MALDI-TOF mass spectra were acquired on a ABSCIEX TOF/TOF™ 5800 (AB SCIEX, Darmstadt, Germany) mass spectrometer equipped with an Nd:YLF laser with a λ of 345 nm, a < 500-ps pulse length, and a repetition rate of up to 1000 Hz. Approximately 2000 laser shots were accumulated for each spectrum. The calibration of the mass spectra was obtained with a hyaluronan oligosaccharides mixture. A solution of 2,5-dihydroxybenzoic acid (DHB) in 20% CH3CN in water (25 mg mL−1) was used as the matrix. The samples were desalted on a Dowex 50WX8 (H+ form) and dissolved in 2-propanol/water with a 1:1 ratio. The spectra were calibrated and processed under computer control by using the Data Explorer software (v0.2.0).
3.7. NMR Spectroscopy
1D and 2D NMR spectra were obtained using a Bruker Avance 600 MHz spectrometer (Billerica, MA, USA) equipped with a cryoprobe. All the NMR experiments (COSY, TOCSY, ROESY, DEPT-HSQC, and HMBC) were performed using standard pulse sequences available in the Bruker software (version 2.1) [39]. NMR spectra were recorded at 298 K, and the mixing time for the TOCSY and ROESY experiments was 100 ms. All the experiments were performed by using sodium 3-trimethylsilyl-(2,2,3,3-2H4)-propanoate (TSP, δH 0.00) and 1,4-dioxane in D2O (δC 67.40) as external references. 31P and 1H-31P spectra were recorded at 298 K using a Bruker Ascend 400 MHz spectrometer (Billerica, MA, USA).
4. Conclusions
In this paper, the complete structure of the sugar backbone of the LOS from the cold-adapted Shewanella sp. HM13 is reported. The structure has been obtained by chemical analysis, NMR spectroscopy, and MALDI-TOF mass spectrometry.
The oligosaccharide shares some structural features with those isolated from other Shewanella strains. The presence of the Kdo8N is confirmed as a hallmark of Shewanella species, having been already reported for the species oneidensis [23], algae [27], putrefaciens [40], pacifica [24], and Shewanella spp. MR-4 [21]. In addition, the d,d-configured heptose holds a central position in the oligosaccharide structure, as well as for all the other characterized LOS structures [21,23,24,27,40].
The rough nature of the Shewanella sp. HM13 LPS is not surprising, since this has also been reported for other Shewanella species [21,23,24,27,40]. Nevertheless, it is worth noting that this feature is common among the LPSs isolated from cold-adapted Gram-negative bacteria [41,42,43,44,45]. A possible explanation lies in the enhanced flexibility and stability of the outer membrane when the O-polysaccharide chain is absent [46].
Finally, to shed light on the possible structural differences among OM components of both bacterial cells and OMVs, it will be very interesting to characterize the LPS isolated from Shewanella sp. HM13 OMVs.
Author Contributions
A.C. and R.D.G. performed chemical analysis and NMR spectra; C.C. and K.K. prepared bacterial cells; A.C. and M.M.C. contributed for mass spectra interpretation; A.C., S.C., and M.M.C. contributed for NMR data interpretation; J.K., T.K., and M.M.C. conceived and designed the experiments; A.C. and M.M.C. wrote the paper.
Funding
This research was financially supported in part by JSPS KAKENHI (18K19178 to T.K. and 16K14885 to J.K.).
Conflicts of Interest
The authors declare no conflict of interest.
References
- Feller, G.; Gerday, C. Psychrophilic enzymes: Hot topics in cold adaptation. Nat. Rev. Microbiol. 2003, 1, 200–208. [Google Scholar] [CrossRef]
- Casillo, A.; Papa, R.; Ricciardelli, A.; Sannino, F.; Ziaco, M.; Tilotta, M.; Selan, L.; Marino, G.; Corsaro, M.M.; Tutino, M.L.; et al. Anti-biofilm activity of a long-chain fatty aldehyde from Antarctic Pseudoalteromonas haloplanktis TAC125 against Staphylococcus epidermidis biofilm. Front. Cell. Infect. Microbiol. 2017, 7, 1–13. [Google Scholar] [CrossRef] [PubMed]
- Perfumo, A.; Banat, I.M.; Marchant, R. Going Green and Cold: Biosurfactants from low-temperature environments to biotechnology applications. Trends Biotechnol. 2018, 36, 277–287. [Google Scholar] [CrossRef] [PubMed]
- Feller, G. Protein stability and enzyme activity at extreme biological temperatures. J. Phys. Condens. Matter 2010, 22, 323101–323117. [Google Scholar] [CrossRef] [PubMed]
- Bar Dolev, M.; Braslavsky, I.; Davies, P.L. Ice-Binding proteins and their function. Annu. Rev. Biochem. 2016, 85, 515–542. [Google Scholar] [CrossRef] [PubMed]
- Carillo, S.; Casillo, A.; Pieretti, G.; Parrilli, E.; Sannino, F.; Bayer-Giraldi, M.; Cosconati, S.; Novellino, E.; Ewert, M.; Deming, J.W.; et al. A unique capsular polysaccharide structure from the psychrophilic marine bacterium Colwelliapsychrerythraea 34H that mimicks antifreeze (glyco) proteins. J. Am. Chem. Soc. 2015, 137, 179–189. [Google Scholar] [CrossRef] [PubMed]
- Casillo, A.; Parrilli, E.; Sannino, F.; Mitchell, D.E.; Gibson, M.I.; Marino, G.; Lanzetta, R.; Parrilli, M.; Cosconati, S.; Novellino, E.; et al. Structure-activity relationship of the exopolysaccharide from a psychrophilic bacterium: A strategy for cryoprotection. Carbohydr. Polym. 2017, 156, 364–371. [Google Scholar] [CrossRef] [PubMed]
- Frias, A.; Manresa, A.; de Oliveira, E.; López-Iglesias, C.; Mercade, E. Membrane Vesicles: A common feature in the extracellular matter of cold-adapted Antarctic Bacteria. Microb. Ecol. 2010, 59, 476–486. [Google Scholar] [CrossRef]
- Nevot, M.; Deroncelé, V.; Messner, P.; Guinea, J.; Mercadé, E. Characterization of outer membrane vesicles released by the psychrotolerant bacterium Pseudoalteromonas antarctica NF3. Environ. Microbiol. 2006, 8, 1523–1533. [Google Scholar] [CrossRef]
- Pérez-Cruz, C.; Mercadé, E. Outer Membrane Vesicles From Cold-Adapted Antarctic Bacteria; Recent Advances in Pharmaceutical Sciences IV; Muñoz-Torrero, D., Vázquez-Carrera, M., Estelrich, J., Eds.; Research Signpost: Kerala, India, 2014; pp. 55–72. ISBN 978-81-308-0554-2. [Google Scholar]
- Schwechheimer, C.; Kuehn, M.J. Outer-membrane vesicles from Gram-negative bacteria: Biogenesis and functions. Nat. Rev. Microbiol. 2015, 13, 605–619. [Google Scholar] [CrossRef]
- Deatheragea, B.L.; Cooksona, B.T. Membrane vesicle release in Bacteria, Eukaryotes, and Archaea: A conserved yet underappreciated aspect of microbial life. Infect. Immun. 2012, 80, 1948–1957. [Google Scholar] [CrossRef] [PubMed]
- Caroff, M.; Karibian, D. Structure of bacterial lipopolysaccharides. Carbohydr. Res. 2003, 338, 2431–2447. [Google Scholar] [CrossRef] [PubMed]
- Carillo, S.; Pieretti, G.; Bedini, E.; Parrilli, M.; Lanzetta, R.; Corsaro, M.M. Structural investigation of the antagonist LPS from the cyanobacterium Oscillatoria planktothrix FP1. Carbohydr. Res. 2014, 388, 73–80. [Google Scholar] [CrossRef] [PubMed]
- Westphal, O.; Luderitz, O.; Galanos, C.; Mayer, H.; Rietschel, E.T. Advances in Immunopharmacology; Chedid, L., Hadden, J.W., Spreafico, F., Eds.; Pergamon Press: Oxford, UK, 1986; pp. 13–34. [Google Scholar]
- Wilkinson, S.C. Surface Carbohydrates of the Procaryotic Cell; Sutherland, I.W., Ed.; Academic Press Inc.: New York, NY, USA, 1977; pp. 97–105. [Google Scholar]
- Alexander, C.; Rietschel, E.T. Bacterial lipopolysaccharides and innate immunity. J. Endoxin Res. 2001, 7, 167–202. [Google Scholar] [CrossRef]
- Chen, C.; Kawamoto, J.; Kawai, S.; Tame, A.; Kato, C.; Imai, T.; Kurihara, T. Isolation of a novel bacterial strain capable of producing abundant extracellular membrane vesicles carrying a single major cargo protein and analysis of its transport mechanism. Appl. Environ. Microbiol. under review.
- Galanos, C.; Lüderitz, O.; Westphal, O. New Method for the extraction of R Lipopolysaccharides. Eur. J. Biochem. 1969, 9, 245–249. [Google Scholar] [CrossRef] [PubMed]
- Westphal, O.; Jann, K. Bacterial lipopolysaccharides extraction with phenol-water and further applications of the procedure. Methods Carbohydr. Chem. 1965, 5, 83–91. [Google Scholar]
- Vinogradov, E.; Kubler-Kielb, J.; Korenevsky, A. The structure of the carbohydrate backbone of the LPS from Shewanella spp. MR-4. Carbohydr. Res. 2008, 343, 2701–2705. [Google Scholar] [CrossRef]
- Vinogradov, E.; Korenevsky, A.; Beveridge, T.J. The structure of the carbohydrate backbone of the LPS from Shewanella putrefaciens CN32. Carbohydr. Res. 2002, 337, 1285–1289. [Google Scholar] [CrossRef]
- Vinogradov, E.; Korenevsky, A.; Beveridge, T.J. The structure of the rough-type lipopolysaccharide from Shewanella oneidensis MR-1, containing 8-amino-8-deoxy-Kdo and an open-chain form of 2-acetamido-2-deoxy-d-galactose. Carbohydr. Res. 2003, 338, 1991–1997. [Google Scholar] [CrossRef]
- Silipo, A.; Leone, S.; Molinaro, A.; Sturiale, L.; Garozzo, D.; Nazarenko, E.L.; Gorshkova, R.P.; Ivanova, E.P.; Lanzetta, R.; Parrilli, M. Complete structural elucidation of a novel lipooligosaccharide from the outer membrane of the marine bacterium Shewanella pacifica. Eur. J. Org. Chem. 2005, 11, 2281–2291. [Google Scholar] [CrossRef]
- Gibson, B.W.; Engstrom, J.J.; Hines, C.M.W.; Falick, A.M. Characterization of bacterial lipooligosaccharides by delayed extraction matrix-assisted laser desorption ionization time-of-flight mass spectrometry. J. Am. Soc. Mass. Spectrom. 1997, 8, 645–658. [Google Scholar] [CrossRef]
- Pieretti, G.; Carillo, S.; Lindner, B.; Kim, K.K.; Lee, K.C.; Lee, J.S.; Lanzetta, R.; Parrilli, M.; Corsaro, M.M. Characterization of the core oligosaccharide and the O-antigen biological repeating unit from Halomonasstevensii LPS: The first case of O-antigen linked to the inner core. Chem. Eur. J. 2012, 18, 3729–3735. [Google Scholar] [CrossRef] [PubMed]
- Vinogradov, E.; Korenevsky, A.; Beveridge, T.J. The structure of the core region of the lipopolysaccharide from Shewanella algae BrY, containing 8-amino-3,8-dideoxy-d-mannooct-2-ulosonic acid. Carbohydr. Res. 2004, 339, 737–740. [Google Scholar] [CrossRef] [PubMed]
- Lipkind, G.M.; Shashkov, A.S.; Knirel, Y.A.; Vinogradov, E.V.; Kochetkov, N.K. A computer-assisted structural analysis of regular polysaccharides on the basis of 13C-NMR data. Carbohydr. Res. 1988, 175, 59–75. [Google Scholar] [CrossRef]
- Birnbaum, G.I.; Roy, R.; Brisson, J.R.; Jennings, H.J.J. Conformations of ammonium 3-deoxy-d-manno-2-octulosonate (KDO) and methyl α-and β-ketopyranosides of KDO: X-ray structure and 1H NMR analyses. Carbohydr. Chem. 1987, 6, 17–39. [Google Scholar] [CrossRef]
- Bock, K.; Vinogradov, E.V.; Holst, O.; Brade, H. Isolation and structural analysis of oligosaccharide phosphates containing the complete carbohydrate chain of the lipopolysaccharide from Vibrio cholerae Strain H11 (Non-O1). Eur. J. Biochem. 1994, 225, 1029–1039. [Google Scholar] [CrossRef]
- Laemmli, U.K. Most commonly used discontinuous buffer system for SDS electrophoresis. Nature 1970, 227, 680–685. [Google Scholar] [CrossRef]
- Casillo, A.; Ståhle, J.; Parrilli, E.; Sannino, F.; Mitchell, D.E.; Pieretti, G.; Gibson, M.I.; Marino, G.; Lanzetta, R.; Parrilli, M.; et al. Structural characterization of an all-aminosugar-containing capsular polysaccharide from Colwellia psychrerythraea 34H. Antonie Leeuwenhoek 2017, 110, 1377–1387. [Google Scholar] [CrossRef]
- Tsai, C.M.; Frasch, C.E. A sensitive silver stain for detecting lipopolysaccharides in polyacrylamide gels. Anal. Biochem. 1982, 119, 115–119. [Google Scholar] [CrossRef]
- Casillo, A.; Ziaco, M.; Lindner, B.; Parrilli, E.; Schwudke, D.; Holgado, A.; Verstrepen, L.; Sannino, F.; Beyaert, R.; Lanzetta, R.; et al. Unusual lipid A from a cold-adapted bacterium: Detailed structural characterization. ChemBioChem 2017, 18, 1845–1854. [Google Scholar] [CrossRef] [PubMed]
- Leontein, K.; Lindberg, B.; LoÈnngren, J. Assignment of absolute configuration of sugars by g.l.c. of their acetylated glycosides from chiral alcohols. Carbohydr. Res. 1978, 62, 359–362. [Google Scholar] [CrossRef]
- Pieretti, G.; Corsaro, M.M.; Lanzetta, R.; Parrilli, M.; Canals, R.; Merino, S.; Tomás, J.M. Structural studies of the O’glycosides from chiral alco Plesiomonas shigelloides Strain 302–73 (Serotype O1). Eur. J. Org. Chem. 2008, 18, 3149–3155. [Google Scholar] [CrossRef]
- Holst, O. De-acylation of lipopolysaccharides and isolation of oligosaccharide phosphates. In Bacterial Toxins: Methods and Protocols; Methods in Molecular Biology; Holst, O., Ed.; Humana Press: Totowa, NJ, USA, 2000; Volume 145, pp. 345–353. [Google Scholar]
- Ciucanu, I.; Kerek, F. A simple and rapid method for the permethylation of carbohydrates. Carbohydr. Res. 1984, 131, 209–217. [Google Scholar] [CrossRef]
- De Castro, C.; Lanzetta, R.; Leone, S.; Parrilli, M.; Molinaro, A. The structural elucidation of the Salmonella enterica subsp. enterica, reveals that it contains both O-factors 4 and 5 on the LPS antigen. Carbohydr. Res. 2013, 370, 9–12. [Google Scholar] [CrossRef]
- Moule, A.L.; Galbraith, L.; Cox, A.D.; Wilkinson, S.G. Characterisation of a tetrasaccharide released on mild acid hydrolysis of LPS from two rough strains of Shewanella species representing different DNA homology groups. Carbohydr. Res. 2004, 339, 1185–1188. [Google Scholar] [CrossRef] [PubMed]
- Corsaro, M.M.; Lanzetta, R.; Parrilli, E.; Parrilli, M.; Tutino, M.L. Structural investigation on the lipooligosaccharide fraction of psychrophilic Pseudoalteromonas haloplanktis TAC 125 bacterium. Eur. J. Biochem. 2001, 268, 5092–5097. [Google Scholar] [CrossRef]
- Corsaro, M.M.; Pieretti, G.; Lindner, B.; Lanzetta, R.; Parrilli, E.; Tutino, M.L.; Parrilli, M. Highly phosphorylated core oligosaccharide structures from cold-adapted Psychromon asarctica. Chem. Eur. J. 2008, 14, 9368–9937. [Google Scholar] [CrossRef]
- Carillo, S.; Pieretti, G.; Parrilli, E.; Tutino, M.L.; Gemma, S.; Molteni, M.; Lanzetta, R.; Parrilli, M.; Corsaro, M.M. Structural investigation and biological activity of the lipooligosaccharide from the psychrophilic bacterium Pseudoalteromonas haloplanktis TAB 23. Chem. Eur. J. 2011, 17, 7053–7060. [Google Scholar] [CrossRef]
- Carillo, S.; Pieretti, G.; Lindner, B.; Parrilli, E.; Sannino, F.; Tutino, M.L.; Lanzetta, R.; Parrilli, M.; Corsaro, M.M. Structural Characterization of the core oligosaccharide isolated from the Lipopolysaccharide of the psychrophilic bacterium Colwellia psychrerythraea Strain 34H. Eur. J. Org. Chem. 2013, 3771–3779. [Google Scholar] [CrossRef]
- Casillo, A.; Parrilli, E.; Sannino, F.; Lindner, B.; Lanzetta, R.; Parrilli, M.; Tutino, M.L.; Corsaro, M.M. Structural investigation of the oligosaccharide portion isolated from the lipooligosaccharide of the permafrost psychrophile Psychrobacter arcticus 273-4. Mar. Drugs 2015, 13, 4539–4555. [Google Scholar] [CrossRef] [PubMed]
- Corsaro, M.M.; Casillo, A.; Parrilli, E.; Tutino, M.L. Molecular structure of lipopolysaccharides of cold-adapted bacteria. In Psychrophiles: From Biodiversity to Biotechnology; Margesin, R., Ed.; Springer International Publishing AG: Cham, Switzerland, 2017; Chapter 13; pp. 285–303. [Google Scholar]
© 2019 by the authors. Licensee MDPI, Basel, Switzerland. This article is an open access article distributed under the terms and conditions of the Creative Commons Attribution (CC BY) license (http://creativecommons.org/licenses/by/4.0/).






