Next Article in Journal
A Pimarane Diterpene and Cytotoxic Angucyclines from a Marine-Derived Micromonospora sp. in Vietnam’s East Sea
Previous Article in Journal
Synthesis and Antiplasmodial Evaluation of Analogues Based on the Tricyclic Core of Thiaplakortones A–D
 
 
Font Type:
Arial Georgia Verdana
Font Size:
Aa Aa Aa
Line Spacing:
Column Width:
Background:
Article

Nitrogen-Containing Diterpenoids, Sesquiterpenoids, and Nor-Diterpenoids from Cespitularia taeniata

1
School of Pharmacy, College of Medicine, National Taiwan University, Taipei 100, Taiwan
2
Department of Marine Biotechnology and Resources, National Sun Yat-Sen University, Kaohsiung 804, Taiwan
3
Graduate Institute of Natural Products, College of Pharmacy, Kaohsiung Medical University, Kaohsiung 807, Taiwan
4
National Research Institute of Chinese Medicine, Taipei 112, Taiwan
*
Author to whom correspondence should be addressed.
Mar. Drugs 2015, 13(9), 5796-5814; https://doi.org/10.3390/md13095796
Submission received: 13 August 2015 / Revised: 7 September 2015 / Accepted: 9 September 2015 / Published: 15 September 2015

Abstract

:
Two new nitrogen-containing verticillene diterpenoids, cespilamides A and B (1 and 2), three new nitrogen-containing sesquiterpenoids, cespilamides C–E (35), and five new norverticillene and verticillene diterpenoids, cespitaenins A–E (610), were isolated from the Taiwanese soft coral Cespitularia taeniata. Compound 1 possesses an unusual oxazo ring system at C-10 while compound 2 displays an unprecedented C–C bond cleavage between C-10 and C-11 with an N-ethylphenyl group at C-10. Biogenetic pathways of 1 and 2 are proposed. The absolute configuration of 1 was confirmed by Mosher’s method and molecular mechanics calculations (MM2). The cytotoxicities of compounds 110 were evaluated against a small panel of human cancer cell lines.

1. Introduction

Marine invertebrates have been proven to secrete a number of secondary metabolites for self-defense, and those marine natural products usually show unexpected bioactivities. For example, sarcodictyins isolated from Bellonella albiflora and eleutherobins obtained from Eleutherobia aurea showed significant cytotoxicities [1,2]. Aberrarone discovered from gorgonian Pseudopterogorgia elisabethae possessed potent antibacterial effects [3]. Those compounds can benefit new drug development and also inspire drug design. Soft corals of the genus Cespitularia produce various types of terpenoids such as cembranes, neodolabellanes, cespitularanes, and verticillanes [4,5,6,7,8]. These compounds are reported to demonstrate cytotoxic and immune-modulatory activities [9,10,11,12,13,14]. In our continuous research of Taiwanese soft corals, a series of nor-verticillenes and nitrogen-containing verticillanes from C. taeniata were isolated and reported [10,11]. Those findings impel us to further investigate this benthos. In this paper, we describe the isolation and structural elucidation of ten new marine natural products including two nitrogen-containing verticillanes (1 and 2), three nitrogen-containing sesquiterpenes (35), two norverticillanes (6 and 7), and three verticillanes (810) from Taiwanese soft coral C. taeniata (Figure 1).
Figure 1. Structures of metabolites 110.
Figure 1. Structures of metabolites 110.
Marinedrugs 13 05796 g001

2. Results and Discussion

The EtOAc-MeOH (1:1) extract of C. taeniata was partitioned between H2O and EtOAc to give an EtOAc-soluble fraction. Extensive column chromatography and HPLC purification allowed the separation of ten new compounds (110).
Cespilamide A (1), [ α ] D 25 −118.2 (CH2Cl2), had a molecular formula of C22H31O3N as deduced from the NMR and HRESIMS (m/z 358.2380 [M + Na]+, calcd. 358.2382) data, indicating eight indices of hydrogen deficiency. The IR spectrum revealed the presence of hydroxy (3421 cm−1) and conjugated amide (1695 cm−1) moieties. The 1H and 13C-NMR data (Table 1 and Table 2) showed the presence of an amidocarbonyl (δC 177.1), a trisubstituted olefinic unit [δC 134.8 (s), 132.3 (d); δH 5.50, d, J = 8.0 Hz], a tetrasubstituted olefinic moity (δC 166.2, 133.5), and an exomethylene group [δC 146.2 (s), 114.2 (t); δH 4.87, 4.83, each brs]. The DEPT NMR spectrum indicated an oxygenated quarternary carbon (δC 102.8), an oxygenated methine carbon (δC 68.5 d), eight methylene carbons (δC 17.9, 24.4, 32.3, 33.0, 42.5, 43.8, 46.6, 68.8), and three methyl groups (δH 1.47, 1.19, 1.59, each 3H and s; δC 17.2, 34.3, 35.2). The 1H–1H COSY experiment (Figure 2) showed three sets of correlations, H-1′′/H-2′′, H-7/H-6/H-5 and H-3/H-2/H-1/H-14/H-13, and the latter two sets of proton sequences were further connected by the HMBC correlations (Figure 2) of H-18/C-3 (δC 33.0), C-4 (δC 146.2), and C-5 (δC 43.8). Furthermore, the HMBC correlations of CH3-16, CH3-17/C-15 (δC 37.9), C-1 (δC 43.5), C-11 (δC 166.2) and H-13/C-12 (δC 133.5), C-20 (δC 177.1), C-11 indicated that compound 1 possesses a 2′,2′-dimethylcyclohexene moiety. The HMBC correlations of H-9/C-7 (δC 134.8), C-8 (δC 132.3), C-10 (δC 102.8), C-11 and CH3-19/C-7, C-8, C-9 (δC 46.6) were used to establish the planar structure of compound 1, except for the C1′-C2′ moiety. Comparison of the 1H- and 13C-NMR data of 1 with those of cespitulactam D revealed that they have similar verticillene skeletons [12]. 1H–1H COSY correlations of H-1′ (δH 3.84, m; 4.11, m)/H-2′ (δH 3.27, m; 3.90, m) and HMBC correlations of H-2′/C-10, C-20 and H-1′/C-10, C-11 suggested that there is an ethylene moiety between the C-10 oxygen function and the nitrogen of the amide moiety. The configuration of compound 1 was determined by NOESY correlations and the Mosher’s ester method. It was assumed that compound 1 has the same absolute configuration at C-1 as naturally-occurring verticillene diterpenoids, such as cespitulactams, cespitularines, and toxoids [10,12,13]. NOESY (Figure 2) correlations of H-1/Me-16, Me-17 and H-7/ Me-17 indicated the β-orientation of Me-16 and Me-17. Moreover, NOESY correlations of H-6/Me-19/H-9α (δH 2.83) and H-7/H-9β (δH 2.58) suggested that H-6 is α-oriented. The configuration of the hydroxy group at C-6 was further determined by Mosher’s reactions to yield products 1a and 1b. The results, illustrated in Figure 3, suggested that C-6 has the S configuration. A computer-generated MM2 structure for compound 1 calculated for the lowest energy is illustrated in Figure 3. The result also agreed with a S configuration at C-6. Due to lack of NOE interaction between H-7 and Me-19, the geometry of the 7,8-double bond in 1 was deduced to be E.
Table 1. 1H-NMR data for compounds 110 a.
Table 1. 1H-NMR data for compounds 110 a.
Position1 b2 c3 b4 b5 b6 b7 b8 b9 c10 b
11.59, m1.44, m1.39, m1.59, m1.32, m1.66, m2.18, m1.60, m1.46, m1.43, m
1.46, m 1.43, m
21.54, m1.25, m1.56, m1.66, m1.61, m1.50, m1.12, m2.24, m2.30, m2.27, m
1.62, m 1.98, m
32.11, m1.97, m2.01, m2.36, m2.00, m2.68, m1.93, m2.15, m2.08, m2.13, m
2.30, m2.13, m2.33, m 2.31, m 2.25, m 2.18, m
52.38, m2.19, m2.18, m2.18, m2.11, m2.28, m2.73, dd (3.9, 12.6)2.40, m2.23, m2.20, m
2.50, m 2.65, m2.60, m
64.37, m4.44, dt (5.5, 8.5)2.42, m2.63, m2.36, m5.38, dt (8.4, 2.4)4.55, dt (3.9, 9.6)4.36, dt (3.9, 7.8)4.50, dt (3.0, 8.5)4.40, dt (3.0, 8.7)
2.60, m 2.57, m
75.50, d (8.0)5.28, d (8.5) 5.15, d (8.4)5.56, d (9.3)5.51, d (7.8)5.45, d (8.5)5.43, d (8.7)
92.58, d (13.8)2.89, s5.05, s5.14, s5.06, s3.07, d (15.9)2.84, d (13.5)2.85, d (14.1)2.51, d (14.5)2.53, d (14.4)
2.83, d (13.8) 3.40, d (15.9)3.89, d (13.5)3.02, d (14.1)3.02, d (14.5)3.01, d (14.4)
12 2.31, m 6.20, t (3.6)
2.50, m
131.63, m1.99, m1.87, s1.87, s1.88, s2.31, m4.39, t (3.3)1.47, m1.59, m1.63, m
2.15, m 1.69, m
142.15, m1.88, m0.80, s0.84, s0.73, s2.25, m2.14, m1.66, m1.08, m1.16, m
2.35, m 2.20, m1.86, m1.92, m
15 4.61, s4.61, s4.59, s
4.86, s4.87, s4.85, s
161.47, s1.11, s 1.27, s0.77, s1.24, s0.94, s0.97, s
171.19, s1.03, s 1.20, s1.47, s1.44, s1.32, s1.31, s
184.83, br s4.81, s 4.80, s4.92, s4.83, s4.92, s4.92, s
4.82, br s4.86, s 4.77, s4.96, s4.84, s4.92, s 4.92, s
191.59, s1.67, s 1.76, s1.89, s1.56, s1.82, s1.84, s
20 4.46, s4.56, s
1′3.84, m3.51, m3.74, t (7.5)3.72, t (7.5)3.84, dt (7.2, 14.4) 3.43, m3.50, m3.56, m
4.11, m 3.63, m3.86, m3.77, m
2′3.27, m2.81, t (6.5)2.86, t (7.5)2.78, t (7.5)3.03, t (7.2) 1.20, t (6.9)1.24, t (7.0)1.15, t (6.9)
3.90, m
4′ 7.18, d (7.0)7.17, d (6.6)7.01, d (8.4)7.02, d (1.5)
5′ 7.22, t (7.0)7.19, t (6.6)6.74, d (8.4)8.05, (N H)
6′ 7.31, t (7.0)7.26, t (6.6)
7′ 7.22, t (7.0)7.19, t (6.6)6.74, d (8.4)7.35, d (7.8)
8′ 7.18, d (7.0)7.17, d (6.6)7.01, d (8.4)7.18, t (7.2)
9′ 7.10, t (7.2)
10′ 7.59, d (7.8)
OAc 2.01 s
a Chemical shifts are in ppm; J values (Hz) are in parentheses. b Recorded in CDCl3 at 300 MHz. c Recorded in CDCl3 at 500 MHz.
Table 2. 13C-NMR data for compounds 110 a.
Table 2. 13C-NMR data for compounds 110 a.
Position1 b2 c3 b4 b5 b6 b7 b8 b9 c10 b
143.5 d47.1 d39.5 t39.5 t39.2 t43.1 d46.8 d44.0 d44.2 d44.5 d
232.3 t27.7 t23.2 t23.2 t23.1 t30.6 t32.9 t17.6 t26.2 t25.4 t
333.0 t34.3 t36.3 t36.3 t36.2 t31.3 t39.2 t33.6 t37.8 t37.9 t
4146.2 s145.7 s148.6 s148.8 s148.8 s146.4 s144.8 s145.9 s145.8 s147.2 s
543.8 t43.9 t48.9 d49.0 d48.8 d41.1 t46.8 t43.7 t45.8 t47.1 t
668.5 d65.8 d22.3 t22.3 t22.1 t72.3 d70.2 d68.2 d69.2 d69.2 d
7134.8 d132.5 d139.8 s139.8 s140.0 s129.0 d132.7 d135.6 d133.2 d134.1 d
8132.3 s132.9 s137.1 s137.3 s137.2 s133.3 s133.2 s131.4 s132.8 s131.1 s
946.6 t47.5 d119.1 d119.6 d119.1 d50.7 t49.4 t47.0 t41.0 t41.3 t
10102.8 s170.2 s38.7 s37.9 s37.5 s202.1 s208.1 s110.9 s94.2 s93.0 s
11166.2 s216.0 s170.0 s171.1 s170.2 s148.0 s92.2 s166.6 s72.8 s72.4 s
12133.5 s37.8 t123.9 s124.2 s124.1 s135.4 d214.5 s129.5 s78.0 s79.1 s
1324.4 t25.0 t8.4 q8.4 q8.4 q23.8 t74.8 d32.1 t31.6 t26.0 t
1417.9 t25.9 t18.6 q18.6 q18.3 q22.8 t24.3 t24.4 t33.9 t34.4 t
1537.9 s48.9 s107.0 t107.1 t106.8 t35.4 s46.8 s37.4 s37.6 s37.5 s
1635.2 q22.8 q 32.8 q25.8 q33.7 q25.1 q25.0 q
1734.3 q19.9 q 24.8 q26.5 q24.5 q26.0 q26.1 q
18114.2 t113.0 t 113.5 t115.5 t114.5 t115.6 t114.0 t
1917.2 q16.7 q 19.5 q17.6 q17.1 q17.3 q16.5 q
20177.1 s 170.5 s103.5 d107.3 d
1′68.8 t40.5 t41.0 t41.1 t39.9 t 58.8 t65.2 t65.4 t
2′42.5 t35.2 t35.4 t34.3 t24.8 t 15.1 q15.0 q14.8 q
3′ 138.7 s139.2 s130.8 s113.3 s
4′ 128.7 d128.9 d130.0 d121.9 d
5′ 126.5 d126.4 d115.4 d
6′ 128.6 d128.5 d154.6 s124.7 s
7′ 111.1 d
8′ 121.9 d
9′ 119.3 d
10′ 118.6 d
11′ 127.6 s
OAc 170.1 s
21.3 q
a Multiplicities (s = C, d = CH, t = CH2, q = CH3) and assignments made by HMQC and HMBC techniques. b Recorded in CDCl3 at 75 MHz. c Recorded in CDCl3 at 125 MHz.
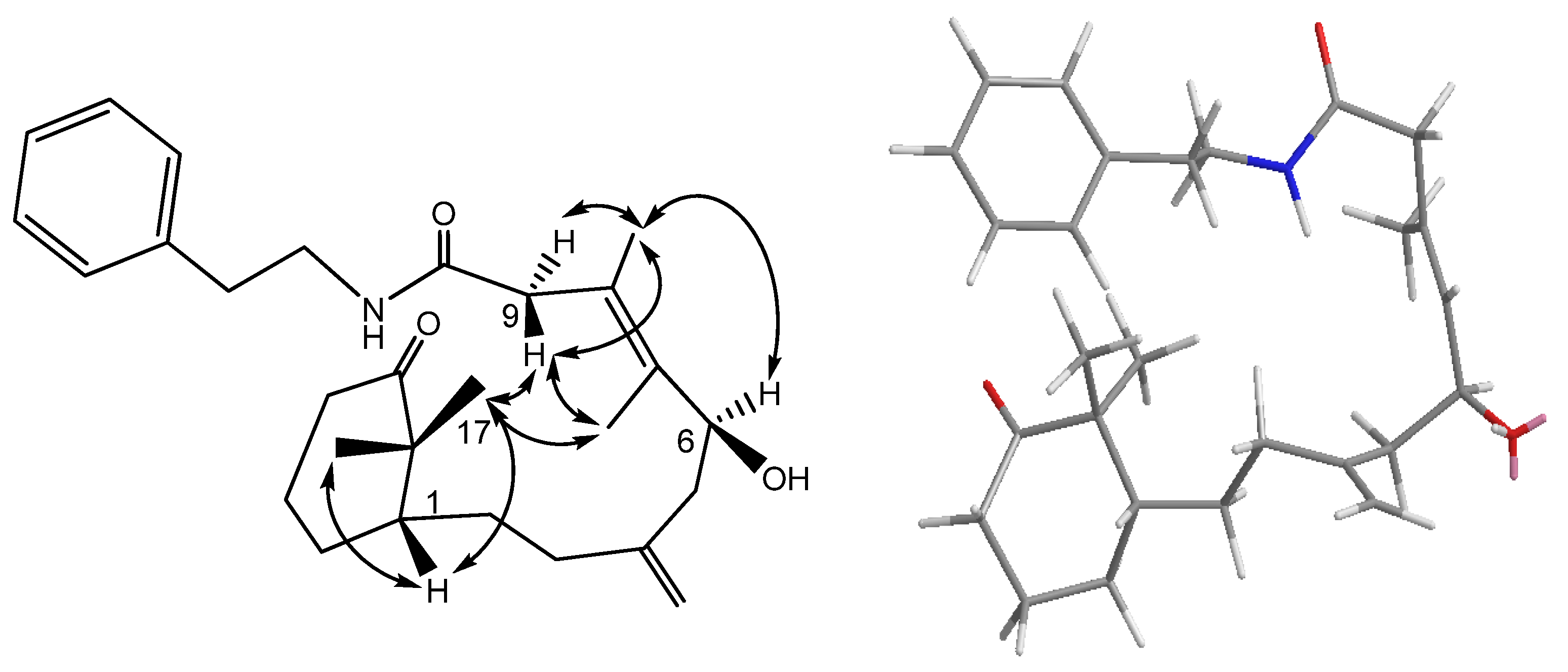
Figure 2. COSY (bold bond), HMBC (arrow) and selected NOESY correlations of 1.
Figure 2. COSY (bold bond), HMBC (arrow) and selected NOESY correlations of 1.
Marinedrugs 13 05796 g002
Figure 3. Mosher reaction products (1a, 1b), Data are difference values of ΔS-R (ppm); and computer-generated perspective model of 1.
Figure 3. Mosher reaction products (1a, 1b), Data are difference values of ΔS-R (ppm); and computer-generated perspective model of 1.
Marinedrugs 13 05796 g003
Cespilamide B (2), [ α ] D 25 −8.0 (CH2Cl2), was assigned a molecular formula of C27H39O3N, as deduced from the HRESIMS (m/z 448.2825 [M + Na]+, calcd. 448.2827), indicating nine indices of hydrogen deficiency. The presence of hydroxy, amide, and benzyl functionalities was indicated by IR absorptions at 3371, 1701, and 1647 cm−1. The 1H and 13C-NMR spectra revealed the presence of a ketocarbonyl (δC 216.0), an amide carbonyl (δC 170.2), a trisubstituted olefin [δC 132.9 (s), 132.5 (d); δH 5.28, d, J = 8.5 Hz], a 1,1-disubstituted olefin (δC 145.7) with an exomethylene group (δC 113.0; δH 4.86, 4.81, each s), an oxygenated methine carbon (δC 65.8), and a phenyl group [δC 138.7 (s), 128.7 (d, 2C), 126.5 (d, 2C), 128.6 (d); δH 7.18, d, J = 7.0 Hz (2H), δH 7.22 t, J = 7.0 Hz, δH 7.31 t, J = 7.0 Hz (2H)]. Thus, eight degrees of unsaturation were counted, leaving one further ring to be elucidated. The 1H–1H COSY (Figure 4) correlations of H-7/H-6/H-5, H-3/H-2/H-1/H-14/H-13/H-12, NH (δH 5.71, brs)/H-1′/H-2′ and H-4′/H-5′/H-6′/H-7′/H-8′ revealed the sequences of three fragments including H-5 to H-7, H-3 to H-12 and a benzylethyl amine side chain. The HMBC correlations (Figure 4) of H-9/C-10, C-8, H-12/C-11, Me-16/C-11, Me-17/C-11 and H-1′/C-10 permitted assignment of the two carbonyls at C-10 and C-11. Also, it established the connectivity between C-10 and C-1′. The absence of HMBC correlations between H-9/C-11, and H-12/C-10 indicated that compound 2 represents an unusual C-20 norditerpenoid [13] with bond cleavage between C-10 and C-11. The relative configuration of compound 2 was determined by NOESY experiments (Figure 5) and computer-generated perspective models using the MM2 force field calculation. A NOESY correlation between Me-19 and H-6, and the lack of a correlation between Me-19 and H-7 suggested that the 7,8-double bond has an E geometry, similar to compound 1.
Figure 4. COSY (bold bond) and HMBC (arrow) correlations of 2.
Figure 4. COSY (bold bond) and HMBC (arrow) correlations of 2.
Marinedrugs 13 05796 g004
Figure 5. Selected NOESY correlations and computer-generated perspective model of 2.
Figure 5. Selected NOESY correlations and computer-generated perspective model of 2.
Marinedrugs 13 05796 g005
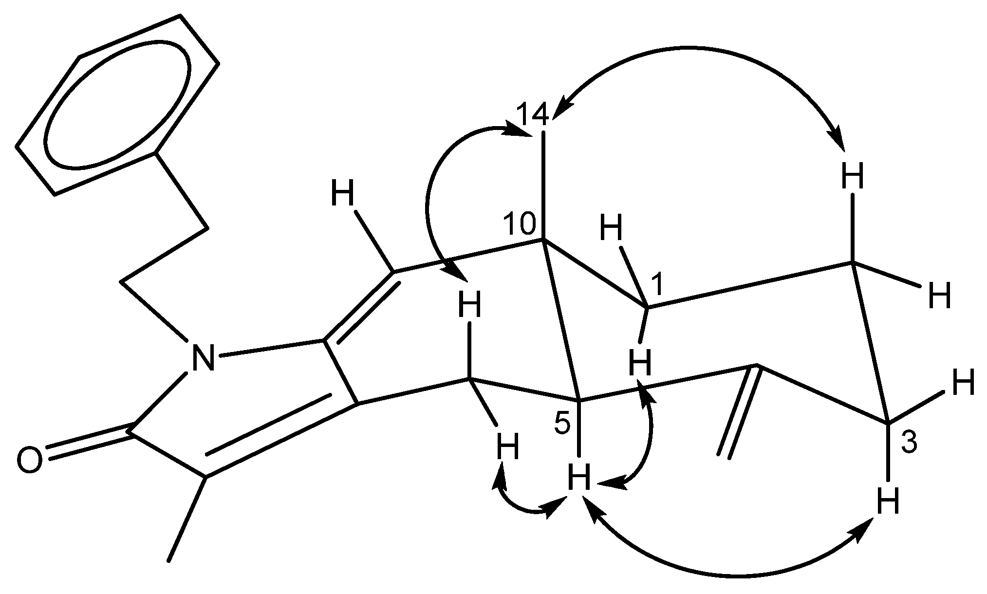
The HRESIMS determined the molecular formula of compound 3 as C23H27ON (m/z 356.1992 [M + Na]+, calcd. 356.1990) and indicated eleven degrees of unsaturation. The IR absorption of 1676 cm−1 suggested the presence of a conjugated amide group. The 1H, 13C (Table 1 and Table 2) and DEPT NMR spectroscopic data revealed the presence of an amide carbonyl (δC 170.0), a trisubstituted olefin [δC 137.1 (s), 119.1 (d); δH 5.05, s], an exomethylene group [δC 148 (s), 107.0 (t); δH 4.86, 4.61, each s], a tetrasubstituted olefin (δC 123.9, 139.8), a phenyl group [δC 139.2 (s), 128.9 (d, 2C), 126.4 (d, 2C), 128.5 (d); δH 7.17, d, J = 6.6 Hz (2H), δH 7.19, t, J = 6.6 Hz (2H), δH 7.26, t, J = 6.6 Hz], an aliphatic CH group (δH 2.18, m; δC 48.9), and four aliphatic CH2 group (δC 39.5, 23.2, 36.2, 22.3). The above findings accounted for five of the eight degrees of unsaturation, indicating that compound 3 is a tricyclic sesquiterpene with a phenyl group. 1H–1H COSY spectrum of 3 showed four sets of correlations, H-1/H-2/H-3, H-5/H-6, H-1′/H-2′, and H-4′/ H-5′/ H-6′/ H-7′/ H-8′. The HMBC correlations (Figure 6) of H2-15/C-2, C-4, C-5 confirmed an exocyclic double bond between C-3 and C-5. The HMBC correlations of CH3-13/C-12, C-11, C-7; Me-14/C-10, C-1, C-9, C-5, and H-9/C-10, C-8, C-7 not only suggested the occurrence of double bonds between C-7/C-12 and C-8/C-9 but also assign the methyl group at C-10 and C-12. The presence of an α,β-unsaturated δ-lactam was inferred from the IR and HMBC spectra. Moreover, the HMBC correlations of H-1′/C-11, C-8 and H-2′/C-3′, C-4′, C-8′ indicated an amide carbonyl at C-11 and a phenylethyl side chain attached to a nitrogen atom. The relative configuration of 3 was determined on the basis of NOESY experiment and comparison with the optical rotation and NMR data of recent published compounds, taenialactams A and B, which were isolated from C. taeniata [14]. Assuming that H-5 possesses an α-orientation similar to that of taenialactams, the lack of NOESY correlation between H-5 and Me-14, suggested that Me-14 is β-oriented (Figure 7).
Figure 6. COSY (bold bond), HMBC (arrow) correlations of 3.
Figure 6. COSY (bold bond), HMBC (arrow) correlations of 3.
Marinedrugs 13 05796 g006
Figure 7. Selected NOESY correlation of 3.
Figure 7. Selected NOESY correlation of 3.
Marinedrugs 13 05796 g007
The molecular formula of 4 was determined to be C23H27O2N (Δ = 11) by HRESIMS data (m/z 372.1937 [M + Na]+, calcd. 372.1939). The IR spectrum revealed the presence of hydroxy (3421 cm−1) and α,β-unsaturated γ-lactam (1695 cm−1) moieties. The 1H and 13C NMR spectra (Table 1 and Table 2) of compound 4 were similar to those of 3, suggesting structural similarity with the exception that compound 4 contains a para-hydroxyphenylethyl side chain [δH 7.01, d, J = 8.4 Hz (2H), 6.74, d, J = 8.4 Hz (2H); δC 154.6 (s), 130.8 (s), 130.0 (d), 115.4 (d), 41.0 (t), 34.3 (t)] on the nitrogen atom, rather than a phenylethyl group as found in compound 3. Interpretation of 1H–1H COSY and HMBC spectra of compound 4 also indicated the presence of a hydroxy group at C-6′. The relative configuration of compound 4 was determined by comparison with the NMR and the optical rotation of compound 3.
The molecular formula of compound 5 was shown to be C25H28ON2 (Δ = 13), as deduced from HRESIMS at m/z 395.2099 ([M + Na]+, calcd. 395.2099). Spectroscopic data of compound 5 were found to be similar to those of 3 and 4 except for the evidence of an ethylindole moiety. The LRMS of compound 5 exhibited a peak at m/z 229 [M + H − C10H10N]+, also consistent with the presence of an ethylindole group. In the 1H and 13C NMR spectra (Table 1 and Table 2), signals for a 3-ethylindole group [δH 3.84, dt, J = 14.4, 7.2 Hz, 3.03, t, J = 7.2 Hz, 7.02, d, J = 1.5 Hz, 7.35, d, J = 7.8 Hz, 7.18, t, J = 7.2 Hz, 7.10, t, J = 7.2 Hz, 7.59, t, J = 7.8 Hz, 8.05, s (NH); δC 39.9 (t), 24.8 (t), 113.3 (s), 121.9 (d), 124.7 (s), 111.1 (d), 121.9 (d), 119.3 (d), 118.6 (d), and 127.6 (s)] were also observed. The 3-ethylindole group on the tertiary nitrogen in 5 was revealed by detailed analysis of 2D NMR spectra (Figure 8). The HMBC correlations of H-1′/C-11 (δC 170.2), C-8 (δC 137.2) as well as correlations of H-2′/C-3′, C-4′ and C-11′ indicated that the phenylethyl side chain at the nitrogen in compound 3 was replaced by the 3-ethylindole group in compound 5. Assignment of the 1H and 13C-NMR spectroscopic data of 5 were accomplished by application of 1H–1H COSY, HMQC, and HMBC correlations. The relative configuration of compound 5 was assigned the same as those of compounds 3 and 4.
Figure 8. COSY (bold bond) and HMBC (arrow) correlations of 5.
Figure 8. COSY (bold bond) and HMBC (arrow) correlations of 5.
Marinedrugs 13 05796 g008
Cespitaenin A (6) was isolated as a colorless, amorphous solid. The molecular formula, C21H30O3, was established by the HRESIMS at m/z 353.2096 [M + Na]+ (calcd. 353.2093). The IR bands at 1720 and 1706 cm−1 were attributed to an ester and a carbonyl group, which were confirmed by the presence of the acetate (δC 170.1) and ketocarbonyl (δC 202.1). The 13C-NMR (Table 2) and DEPT spectra of compound 6 revealed 21 carbons including three methyl carbons (δC 19.5, 24.8, and 32.8), six aliphatic methylene carbons (δC 30.6, 31.3, 41.1, 50.7, 23.8 and 22.8), a methine carbon (δC 43.1), an oxygenated methine carbon (δC 72.3), an aliphatic quaternary carbon (δC 35.4), two olefinic methine carbons (δC 129.0 and 135.4), an olefinic methylene carbon (δC 113.5), three olefinic quaternary carbons (δC 146.4, 133.3, and 148.0), and two additional carbonyl signals. The 1H–1H COSY spectrum showed the connectivities of H-7/H-6/H-5 and H-3/H-2/H-1/H-14/H-13/H-12. Resonances at δC 133.3 (C-8) and 129.0 (C-7) were correlated in the HMBC spectrum with proton signals at δH 5.15 (d, J = 8.4 Hz, H-7), and with the vinylic methyl protons at δH 1.76 (Me-19), and suggested that compound 6 contains an E-trisubstituted double bond bearing a methyl group [14]. In addition, a trisubstituted double bond [δC 148.0 (s), 135.4 (d), δH 6.30, t, J = 8.4 Hz] and a 1,1-disubstituted olefin (δC 144.7) with an exomethylene group (δC 115.5; δH 4.87, 4.95, each s) were also implied by interpretation of the HMBC data of compound 6. Moreover, HMBC correlations of δH 5.38 (dt, J = 8.4, 2.4 Hz, H-6) with δC 170.1 indicated that C-6 (δC 72.3) is attached to an acetoxy group (δC 21.3). HMBC correlations of H-12/C-11, C-10, C-15, H-9/C-10, C-11, Me-16/C-11, C-15, C-1 and Me-17/C-11, C-15, C-1, H-18/C-3, C-5 established the final structure of 6. The relative configuration of 6 was determined by NOESY analysis and comparison of the coupling constants of 6 with the data reported [14,15,16,17]. Assuming that H-1 is at the β position, the correlations between H-1/Me-16/Me-17 indicated the β-disposition of Me-16 and Me-17. The spin pattern and coupling constants of H-6, and NOESY correlations of H-6/Me-19/H-9α and H-7/H-9β agreed with a β-orientation of the acetoxy group at C-6.
Cespitaenin B (7), [ α ] D 25 −109 (CH2Cl2), was isolated as a colorless, amorphous solid. Its molecular formula was determined to be C19H28O5 (Δ= 6) from HRESIMS at m/z 359.1837 [M + Na]+. Its IR bands showed the presence of a hydroxy (3397 cm−1) and conjugated carbonyl (1697 cm−1) groups. The 1H and 13C-NMR spectroscopic (Table 1 and Table 2) and DEPT data indicated the presence of two ketocarbonyls (δC 214.5 and 208.1), a trisubstituted olefin [δC 133.4 (s), 132.7 (d); δH 5.56, d, J = 9.3 Hz], and an exocyclic double bond [δC 144.8 (s), 115.5 (t); δH 4.92, 4.96, each s). In the aliphatic region, a quaternary carbon (δC 46.8), two oxygenated methine carbons (δC 70.2 and 74.8), an oxygenated tertiary carbon (δC 92.2), five methylene carbons (δC 32.9, 39.2, 46.8, 49.4, and 24.3), and three methyl groups (δC 25.8, 26.5, and 17.6; δH 0.77, 1.47, and 1.89, each s) were observed. HMQC correlations of δH 4.55 (dt, J = 9.6, 3.9 Hz, H-6) with δC 70.2 (d, C-6) and δH 4.39 (t, J = 3.3 Hz, H-13) with δC 74.8 (d, C-13) suggested that C-6 and C-13 are hydroxylated. The 1H–1H COSY spectrum indicated the connectivities of H-7/H-6/H-5 and H-3/H-2/H-1/H-14/H-13 to be similar with those of compound 6 (Figure 9). The two ketocarbonyls assigned at C-10 and C-12, and the hydroxyl group assigned at C-11 were deduced from the interpretation of HMBC correlations of H-9/C-10, C-11; H-13/C-12, C-11; Me-16, Me-17/C-1, C-11, C-15; OH-11 (δH 3.13, br s)/C-11, C-10, C-12. The remaining HMBC correlations of Me-16/C-15, C-1, Me-17/C-15, C-1 also indicated that compound 7 has the same 6/12 bicyclic system as compound 6. The NOESY spectrum showed correlations of H-1/Me-16, Me-17, OH-11/Me-16 indicating that the hydroxy on C-11 is β-oriented, while H-6 is α-oriented due to the correlations of H-6/Me-19/H-9α (δH 3.89) and H-7/Me-17/H-9β (δH 2.84). The lack of correlations of H-13/H-1, Me-16, Me-17 was consistent with an α-orientation of H-13.
Figure 9. COSY (bold bond) and HMBC (arrow) correlations of 7.
Figure 9. COSY (bold bond) and HMBC (arrow) correlations of 7.
Marinedrugs 13 05796 g009
The molecular formula of cespitaenin C (8) was determined to be C22H32O4, as derived from a quasi-molecular ion at m/z 361.2378 ([M + Na]+, calcd. 361.2379), and seven indices of hydrogen deficiency. The IR spectrum displayed absorption bands suggestive of hydroxyl (3385 cm−1) and ester carbonyl (1738 cm−1) moieties. The 1H and 13C-NMR spectra (Table 1 and Table 2) exhibited an exomethylene double bond [δC 145.9 (s), 114.5 (t); δH 4.83, 4.84, each s], a trisubstituted double bond [δC 131.4 (s), 135.6 (d); δH 5.51, d, J = 7.8 Hz, H-7), a tetrasubstituted double bond (δC 166.6, C-11; 129.5, C-12), and an ester carbonyl (δC 170.5), accounting for four degrees of unsaturation. These findings implied that 8 is a tricyclic compound. The 1H–1H COSY correlations of H-7/H-6/H-5, H-3/H-2/H-1/H-14/H-13, and H-1′/H-2′, along with the HMBC correlations of H2-9/C-10, C-11, H-13/C-12, C-11, C-20; Me-16/C-11, C-12; Me-17/C-11, C-12 clearly indicated that compound 8 contains a common verticillene skeleton. HMBC correlations of H-1′/C-10 suggested the ethoxy group at C-10 and thus a carbonyl at C-20 (δC 170.5). The relative configuration of compound 8 was deduced from the NOESY analysis and comparison with chemical shifts and coupling constants of cespihypotin V [18]. The NOESY correlations of H-1′/Me-16, H-1/Me-17/Me-17 and H-6/Me-19 indicated that Me-16, Me-17, H-1, and the OEt were β-oriented, while H-6 is α-oriented.
The HRESIMS data of cespitaenin D (9) established the molecular formula of C22H34O5 (m/z 401.2306, [M + Na]+), and indicated six indices of hydrogen deficiency. The IR spectrum displayed an absorption band indicative of hydroxy (3444 cm−1) group. The 1H and 13C-NMR spectroscopic data (Table 1 and Table 2) showed an exomethylene double bond (δC 145.8 (s), 115.6 (t); δH 4.92, s, 2H), a trisubstituted double bond [δC 133.2 (d), 132.8 (s); δH 5.45, d, J = 8.5 Hz, H-7), and a tetrasubstituted double bond, revealing two degrees of unsaturation. This implied that compound 9 possesses a tetracyclic ring system. The similar 1H, 13C-NMR, COSY, and HMBC data suggested that 9 should have the same verticillene skeleton as 8. However, HMBC correlations of H-1′/C-20; H-13/C-12, C-11, C-20; H-20/C-12, C-11; Me-16, Me-17/C-11 indicated an ethoxy group at C-20 (δC 103.5) and an epoxy ring at C-11 (δC 72.8) and C-12 (δC 78.0). The epoxy ring at C-11 and C-12 was tentatively assigned the α-configuration due to the steric hindrance of the two β-faced methyl groups (Me-16 and Me-17). NOESY correlations (Figure 10) among H-1/Me-16, Me-17, H-6/Me-19/H-9α (δH 3.01) and H-7/H-9β (δH 2.53), and lack of NOESY correlation between H-20 and Me-17 indicated the β-orientation of the ethoxy group at C-20 and the α-disposition of H-6.
Figure 10. Selected NOESY correlation of 9.
Figure 10. Selected NOESY correlation of 9.
Marinedrugs 13 05796 g010
Cespitaenin E (10) was found to have the same molecular formula, C22H34O5, as 9. It displayed as a sodium adduct ion at m/z 401.2305 ([M + Na]+) in the HRESIMS. There were very few differences between the 1H-NMR spectroscopic data (Table 1) of 9 and 10. Comparison of their 13C-NMR spectra (Table 2) revealed that the differences occurred in the chemical shifts of C-13 (δC 26.0, 10; 31.6, 9) and C-20 (δC 107.3, 10; 103.5, 9). Furthermore, the COSY and HMBC correlations were closely comparable (Supporting Information). The NOESY correlations of H-20/Me-17 in 10 confirmed the β-orientation of H-20. The only difference between 9 and 10 is the configuration of the ethoxy group at C-20. The optical rotations of 10 [ [ α ] D 25 0.1 (CH2Cl2)] and 9 [ [ α ] D 25 −20.6 (CH2Cl2)] supported the conclusion to be made that compound 10 is the 20-epimer of cespitaenin D.
A postulated biosynthetic pathway for compounds 1 and 2 is illustrated in Scheme 1. Compound 1 is probably produced from cespitularin C [19] via intermediates ad, involving steps of oxidation, serine transformation, lactamization, decarboxylation, hydroxylation, and dehydration. Compound 2 may be generated from the nor-verticillene a through intermediates e and f. These reactions deal with decarboxylation, cleavage of the double bond between C-10 and C-11 [19], and phenylalanine transformation leading to an amide formation.
Four human cancer cell lines were chosen to test the in vitro cytotoxicity of compounds 110 (Table 3). Compound 5 exhibited cytotoxicity against human breast adenocarcinoma (MCF-7), medulloblastoma (Daoy), and cervical epitheloid carcinoma (Hela) cancer cells with IC50 of 17.5, 22.3, and 24.7 μM, respectively. Compound 6 showed significant cytotoxicity against human breast adenocarcinoma (MCF-7) cancer cells with the IC50 at 21.2 μM.
Scheme 1. A postulated biosynthetic pathway for compounds 1 and 2.
Scheme 1. A postulated biosynthetic pathway for compounds 1 and 2.
Marinedrugs 13 05796 g011
Table 3. Cytotoxicity of compounds 110 against human cancer cells (IC50, μM) a.
Table 3. Cytotoxicity of compounds 110 against human cancer cells (IC50, μM) a.
CompoundHelaDaoyWiDrMCF-7
330.934.849.530.6
524.722.334.117.5
628.531.536.421.2
mitomycin C0.320.320.320.32
a Hela: human cervical epitheloid carcinoma; Daoy: human medulloblastoma; WiDr: Human colon adenocarcinoma; MCF-7: human breast adenocarcinoma; b Compounds 1, 2, 4, 710 were inactive (>40 μM) in this assay system.

3. Experimental Section

3.1. General Experimental Procedures

Optical rotations were obtained on a JASCO DIP-1000 polarimeter. IR spectra were recorded using a Horiba FT-720 spectrophotometer. The 1H and 13C-NMR spectra as well as 2D NMR spectra (1H–1H COSY, HSQC, HMBC, and NOESY) were recorded in CDCl3 (or CD3OD) using Bruker DRX NMR spectrometers operating at 300 or 500 MHz for 1H and 75 or 125 MHz for 13C using the CDCl3 solvent peak as internal standard (δH 7.26 for 1H and δC 77.0 for 13C). Low-resolution ESIMS and HRESIMS were run on a JEOL JMS-HX 110 mass spectrometer. Silica gel 60 (Merck, Darmstadt, Germany) was used for column chromatography (CC). Precoated silica gel plate (Kieselgel 60 F-254, 1 mm, Merck, Darmstadt, Germany) was used for preparative TLC. Sephadex LH-20 (Amersham Pharmacia Biotech AB, Uppsala, Sweden) was used for separation. LiChrospher Si 60 (5 μm, 250-10, Merck, Darmstadt, Germany) and LiChrospher 100 RP-18e (5 μm, 250-10, Merck, Darmstadt, Germany) were used for NP-HPLC and RP-HPLC (Hitachi, Tokyo, Japan), respectively.

3.2. Animal Material

Cespitularia taeniata was collected in Green Island, Taiwan, in March 2004. This soft coral was identified by one of the authors (Y.-C.S.). A voucher specimen (GSC-1) has been deposited in the School of Pharmacy, National Taiwan University, Taipei, Taiwan.

3.3. Extraction and Isolation

The whole animals of C. taeniata (dried, 1.1 kg) were extracted with EtOAc and CH2Cl2 (1:1, each 1 L × 3) at room temperature and concentrated under reduced pressure to yield a crude extract. The crude extract was partitioned between H2O and EtOAc to yield an EtOAc-soluble fraction (100 g), which was chromatographed on a Si gel column (1 kg) and initially eluted with n-hexane (100%, 1 L), n-hexane/EtOAc (15:1 to 0:1, each 1 L), and finally MeOH (100%, 1 L) to give 12 fractions. Fractions six (3.1 g) and eight (1.7 g) were further separated on a Sephadex LH-20 column using CH2Cl2-MeOH (4:1) to furnish nine and five fractions (6-1~6-9, 8-1~8-5), respectively. Separation of fraction 6-5 (390 mg) was performed by a Si gel column (1.2 g) using a solvent mixture of n-hexane-CH2Cl2-MeOH (100:100:1~5:5:1) to yield six fractions (6-2-1~6-2-6). Fraction 6-5-3 (34 mg) was further purified with a NP-HPLC column (n-hexane-CH2Cl2-MeOH, 15:15:1) to give cespitaenin A (6, 2 mg). Fraction 6-5-4 (121 mg) and fraction 6-5-5 (68 mg) were separated with a NP-HPLC column (CH2Cl2-MeOH, 80:1) and then a RP-HPLC column was used (MeOH-H2O-CH3CN, 70:25:5) to yield cespitaenin C (8, 6 mg), cespitaenin D (9, 6 mg), cespilamide C (3, 5 mg) and cespitaenin E (10, 2.5 mg). Fraction 6-6 (310 mg) was purified with a NP-HPLC column (CH2Cl2-MeOH, 80:1) and with preparative TLC (n-hexane-BuOH, 12:1) to give cespilamide D (4, 9 mg). Fraction 6-8 (16 mg) was further purified with a RP-HPLC column (MeOH-H2O-CH3CN, 70:25:5) to yield cespilamide E (5, 5 mg). Fraction 8-4 (779 mg) and 8-5 (68 mg) were further separated with a NP-HPLC column (n-hexane-CH2Cl2-MeOH, 20:20:1) and with a RP-HPLC column (MeOH-H2O-CH3CN, 65:30:5) to yield cespilamide A (1, 1.5 mg), cespitaenin B (7, 3 mg) and cespilamide B (2, 3 mg).

3.4. Spectral Data

Cespilamide A (1): colorless, amorphous solid; [ α ] D 25 −118 (c 0.2, CH2Cl2); IR (neat) νmax 3421, 2936, 1695 cm−1; 1H-NMR (CDCl3, 300 MHz) and 13C-NMR (CDCl3, 75 MHz) data, see Table 1 and Table 2, respectively; HRESIMS m/z 358.2380 ([M + Na]+, calcd for C22H31O3NNa+, 358.2382).
Cespilamide B (2): colorless, amorphous solid; [ α ] D 25 −8.2 (c 0.2, CH2Cl2); IR (neat) νmax 3371, 2929, 2360, 1701, 1647 cm−1; 1H-NMR (CDCl3, 500 MHz) and 13C-NMR (CDCl3, 125 MHz) data, see Table 1 and Table 2, respectively; HRESIMS m/z 448.2825 ([M + Na]+, calcd for C27H39O3NNa+, 448.2827).
Cespilamide C (3): colorless, amorphous solid; [ α ] D 25 15.5 (c 0.2, CH2Cl2); IR (neat) νmax 2926, 1676 cm−1; 1H-NMR (CDCl3, 300 MHz) and 13C-NMR (CDCl3, 75 MHz) data, see Table 1 and Table 2, respectively; HRESIMS m/z 356.1992 ([M + Na]+, calcd for C23H27ONNa+, 356.1990).
Cespilamide D (4): colorless, amorphous solid; [ α ] D 25 18.2 (c 0.2, CH2Cl2); IR (neat) νmax 3312, 2927, 1649 cm−1; 1H-NMR (CDCl3, 300 MHz) and 13C-NMR (CDCl3, 75 MHz) data, see Table 1 and Table 2, respectively; HRESIMS m/z 372.1937 ([M + Na]+, calcd for C21H30O3Na+, 372.1939).
Cespilamide E (5): colorless, amorphous solid; [ α ] D 25 23.6 (c 0.2, CH2Cl2); IR (neat) νmax 2929, 1659, 1340 cm−1; 1H-NMR (CDCl3, 300 MHz) and 13C-NMR (CDCl3, 75 MHz) data, see Table 1 and Table 2, respectively; HRESIMS m/z 395.2099 ([M + Na]+, calcd for C25H28ON2Na+, 395.2099).
Cespitaenin A (6): colorless, amorphous solid; [ α ] D 25 9.7 (c 0.2, CH2Cl2); IR (neat) νmax 1720, 1706 cm−1; 1H-NMR (CDCl3, 300 MHz) and 13C-NMR (CDCl3, 75 MHz) data, see Table 1 and Table 2, respectively; HRESIMS m/z 353.2096 ([M + Na]+, calcd for C21H30O3Na+, 353.2093).
Cespitaenin B (7): colorless, amorphous solid; [ α ] D 25 −109 (c 0.2, CH2Cl2); IR (neat) νmax 3397, 2359, 2339, 1697, 1276 cm−1; 1H-NMR (CDCl3, 300 MHz) and 13C-NMR (CDCl3, 75 MHz) data, see Table 1 and Table 2, respectively; HRESIMS m/z 359.1837 ([M + Na]+, calcd for C19H28O5 Na+, 359.1834).
Cespitaenin C (8): colorless, amorphous solid; [ α ] D 25 −35.5 (c 0.2, CH2Cl2); IR (neat) νmax 3385, 2924, 1738 cm−1; 1H-NMR (CDCl3, 300 MHz) and 13C-NMR (CDCl3, 75 MHz) data, see Table 1 and Table 2, respectively; HRESIMS m/z 361.2378 ([M + Na]+, calcd for C22H32O4Na+, 361.2379).
Cespitaenin D (9): colorless, amorphous solid; [ α ] D 25 0.1 (c 0.2, CH2Cl2); IR (neat) νmax 3444, 2986, 2950, 1731 cm−1; 1H-NMR (CDCl3, 500 MHz) and 13C-NMR (CDCl3, 125 MHz) data, see Table 1 and Table 2, respectively; HRESIMS m/z 401.2306 ([M + Na]+, calcd for C22H34O5Na+, 401.2304).
Cespitaenin E (10): colorless, amorphous solid; [ α ] D 25 −20.6 (c 0.2, CH2Cl2); IR (neat) νmax 3390, 2930, 1757 cm−1; 1H-NMR (CDCl3, 300 MHz) and 13C-NMR (CDCl3, 75 MHz) data, see Table 1 and Table 2, respectively; HRESIMS m/z 401.2305 ([M + Na]+, calcd for C22H34O5Na+, 401.2304).

3.5. Preparation of (S)- and (R)-MPTA Esters (1a and 1b) from 1

R-(−)- or S-(+)-MPTA chloride (one drop) was added to a solution of 1 (3 mg in 2 mL pyridine) and the solution was allowed to stand at room temperature for 12 h. After purification using preparative LC, the resultant ester (3 mg, 90% yield) was analyzed by 1H NMR spectroscopic measurement, and ∆ = δS − δR was calculated. Compound 1a: 1H-NMR (CDCl3, 300 MHz) δH 5.578 (1H, dd, J = 8.9, 7.2 Hz, H-6), 5.542 (1H, overlap, H-7), 1.199, 1.466 (6H, s, H-16, 17), 4.788 (1H, s, H-18), 4.770 (1H, s, H-18), 1.597 (3H, s, H-19), 4.12 (1H, t, J = 6.6 Hz, H-1′), 3.92 (1H, t, J = 6.6 Hz, H-1′), 3.89 (1H, m, H-2″), 3.25 (1H, m, H-2″); Compound 1b: 1H-NMR (CDCl3, 300 MHz) δH 5.525 (1H, dd, J = 8.9, 7.2 Hz, H-6), 5.402 (1H, d, J = 8.9 Hz, H-7), 1.189, 1.444 (6H, s, H-16, 17), 4.871 (1H, s, H-18), 4.835 (1H, s, H-18), 1.586 (3H, s, H-19), 4.12 (1H, t, J = 6.6 Hz, H-1′), 3.92 (1H, t, J = 6.6 Hz, H-1′), 3.87 (1H, m, H-2″), 3.25 (1H, m, H-2″).

3.6. Cytotoxicity Assay

Cytotoxicity was tested against the MCF-7 (breast carcinoma), Daoy (medulloblastoma), DLD-1 (colon adenocarcinoma), and Hela (cervical epitheloid adenocarcinoma) human tumor cell lines. The assay procedure using MTT [3-(4,5-dimethylthiazole-2-yl)-2,5-diphenyltetrazolium bromide was carried out as previously described.[20] The cells were cultured in RPMI-1640 medium. After seeding of the cells in a 96-well microplate for 4 h, 20 µL of sample was placed in each well and incubated at 37 °C for three days, and then 20 µL MTT was added and allowed to stand for 5 h. Then the medium was removed and DMSO (200 µL/well) was added and the mixture was shaken for 10 min. The formazan crystals were redissolved and their absorbance was measured on a microtiter plate reader (MR 7000, Dynatech, Scottsdale, USA) at a wavelength of 550 nm. The ED50 value was defined by a comparison with the untreated cells as the concentration of test sample resulting in 50% reduction of absorbance. Mitomycin C was used as the positive control.

4. Conclusions

This paper describes the first isolation of five novel nitrogen-containing diterpenoids and sesquiterpenoids, and five bicyclic verticillenes and nor-verticillenes from Taiwanese soft coral Cespitularia taeniata.

Supplementary Files

Supplementary File 1

Acknowledgments

Financial support (Grant No. NSC 98-2113-M-002-002-MY2) from the Ministry of Science and Technology, Taipei, Taiwan, is acknowledged.

Author Contributions

Yuan-Bin Cheng and Chia-Ching Liaw contributed to manuscript preparation; Ya-Ching Shen designed the experiment and wrote the manuscript; Shih-Sheng Wang, Yu-Chi Lin and Jiun-Yang Chang analyzed the data and performed data acquisition. Yao-Haur Kuo performed the cytotoxic assays.

Conflicts of Interest

The authors declare no conflict of interest.

References

  1. Nakao, Y; Yoshida, S.; Matsunaga, S.; Fusetani, N. (Z)-Sarcodictyin A, a new highly cytotoxic diterpenoid from the soft coral Bellonella albiflora. J. Nat. Prod. 2003, 66, 524–527. [Google Scholar] [CrossRef] [PubMed]
  2. Ketzinei, S.; Rudi, A.; Schleyer, M.; Benayahu, Y.; Kashman, Y. Sarcodictyin A and two novel diterpenoid glycosides, eleuthosides A and B, from the soft coral Eleutherobia aurea. J. Nat. Prod. 1996, 59, 873–875. [Google Scholar] [CrossRef]
  3. Rodriguez, I.I.; Rodriguez, A.D.; Zhao, H. Aberrarone: A gorgonian-derived diterpene from Pseudopterogorgia elisabethae. J. Org. Chem. 2009, 74, 7581–7584. [Google Scholar] [CrossRef] [PubMed]
  4. Burns, K.P.; Kazlauskas, R.; Murphy, P.T.; Wells, R.J.; Schönholzer, P. Two cembranes from Cespitularia species (soft coral). Aust. J. Chem. 1982, 35, 85–94. [Google Scholar] [CrossRef]
  5. Bowden, B.F.; Coll, J.C.; Tapiolas, D.M. Studies of Australian soft corals. XXX. A novel trisnorsesquiterpene from a Cespitularia species and the isolation of guaiazulene from a small blue Alcyonium species. Aust. J. Chem. 1983, 36, 211–214. [Google Scholar] [CrossRef]
  6. Bowden, B.F.; Coll, J.C.; Gulbis, J.M.; Mackay, M.F.; Willis, R.H. Studies of Australian soft corals. XXXVIII. Structure determination of several diterpenes derived from a Cespitularia species (Coelenterata, Octocorallia, Xeniidae). Aust. J. Chem. 1986, 39, 803–812. [Google Scholar] [CrossRef]
  7. Konig, G.M.; Wright, A.D. A new caryophyllene-based diterpene from the soft coral, Cespitularia sp. J. Nat. Prod. 1993, 56, 2198–2200. [Google Scholar] [CrossRef]
  8. Shen, Y.C.; Ho, C.J.; Kuo, Y.H.; Lin, Y.S. Cespitulactones A and B, new diterpenoids from Cespitularia taeniata. Bioorg. Med. Chem. Lett. 2006, 16, 2369–2372. [Google Scholar] [CrossRef] [PubMed]
  9. Duh, C.Y.; Li, C.H.; Wang, S.K.; Dai, C.F. Diterpenoids, norditerpenoids, and secosteroids from the Formosan soft coral Cespitularia hypotentaculata. J. Nat. Prod. 2006, 69, 1188–1192. [Google Scholar] [CrossRef] [PubMed]
  10. Shen, Y.C.; Wu, Y.R.; Lin, J.J.; Kuo, Y.C.; Khalil, A.T. Eight new diterpenoids from soft coral Cespitularia hypotentaculata. Tetrahedron 2007, 63, 10914–10920. [Google Scholar] [CrossRef]
  11. Shen, Y.C.; Cheng, Y.B.; Kobayashi, J.; Kubota, T.; Takahashi, Y.; Mikami, Y.; Ito, J.; Lin, Y.S. Nitrogen-containing verticillene diterpenoids from the Taiwanese soft coral Cespitularia taeniata. J. Nat. Prod. 2007, 70, 1961–1965. [Google Scholar] [CrossRef] [PubMed]
  12. Shen, Y.C.; Lin, Y.S.; Cheng, Y.B.; Cheng, K.C.; Khalil, A.T.; Kuo, Y.H.; Chien, C.T.; Lin, Y.C. Novel taxane diterpenes from Taxus sumatrana with the first C-21 taxane ester. Tetrahedron 2005, 61, 1345–1352. [Google Scholar] [CrossRef]
  13. Cheng, Y.B.; Chen, C.Y.; Kuo, Y.H.; Shen, Y.C. New nitrogen-containing sesquiterpenoids from the Taiwanese soft coral Cespitularia taeniata May. Chem. Biodivers. 2009, 6, 1266–1272. [Google Scholar] [CrossRef] [PubMed]
  14. Shen, Y.C.; Lin, Y.S.; Kuo, Y.H.; Cheng, Y.B. Cespitulactams A, B, and C, three new nitrogen-containing diterpenes from Cespitularia taeniata May. Tetrahedron Lett. 2005, 46, 7893–7897. [Google Scholar] [CrossRef]
  15. Shen, Y.C.; Lin, J.J.; Wu, Y.R.; Chang, J.Y.; Du, C.Y.; Lo, K.L. New norditerpenoids from Cespitularia hypotentaculata. Tetrahedron Lett. 2006, 46, 6651–6655. [Google Scholar] [CrossRef]
  16. Shen, Y.C.; Wang, S.S.; Chien, C.T.; Kuo, Y.H.; Khalil, A.T. Tasumatrols U-Z, taxane diterpene esters from Taxus sumatrana. J. Nat. Prod. 2008, 71, 576–580. [Google Scholar] [CrossRef] [PubMed]
  17. Shen, Y.C.; Lo, K.L.; Kuo, Y.H.; Kuo, Y.C.; Chen, C.H.; Khalil, A.T. Cespihypotins Q-V, verticillene diterpenoids from Cespitularia hypotentaculata. J. Nat. Prod. 2008, 71, 1993–1997. [Google Scholar] [CrossRef] [PubMed]
  18. Duh, C.Y.; El-Gamal, A.A.H.; Wang, S.K.; Dai, C.F. Novel terpenoids from the Formosan soft coral Cespitularia hypotentaculata. J. Nat. Prod. 2002, 65, 1429–1433. [Google Scholar] [CrossRef] [PubMed]
  19. Lin, Y.C.; Fazary, A.E.; Shen, Y.C. Cespitulins A–D, novel diterpenoids from Taiwanese Cespitularia taeniata. Tetrahedron Lett. 2010, 51, 6654–6657. [Google Scholar] [CrossRef]
  20. Shen, Y.C.; Chang, Y.T.; Lin, C.L.; Liaw, C.C.; Kuo, Y.H.; Tu, L.C.; Yeh, S.F.; Chern, J.W. Synthesis of 1-Substituted Carbazolyl-1,2,3,4-Tetrahydro- and Carbazolyl-3,4-Dihydro-β-Carboline Analogs as Potential Antitumor Agents. Mar. Drugs 2011, 9, 256–277. [Google Scholar] [CrossRef] [PubMed]

Share and Cite

MDPI and ACS Style

Wang, S.-S.; Cheng, Y.-B.; Lin, Y.-C.; Liaw, C.-C.; Chang, J.-Y.; Kuo, Y.-H.; Shen, Y.-C. Nitrogen-Containing Diterpenoids, Sesquiterpenoids, and Nor-Diterpenoids from Cespitularia taeniata. Mar. Drugs 2015, 13, 5796-5814. https://doi.org/10.3390/md13095796

AMA Style

Wang S-S, Cheng Y-B, Lin Y-C, Liaw C-C, Chang J-Y, Kuo Y-H, Shen Y-C. Nitrogen-Containing Diterpenoids, Sesquiterpenoids, and Nor-Diterpenoids from Cespitularia taeniata. Marine Drugs. 2015; 13(9):5796-5814. https://doi.org/10.3390/md13095796

Chicago/Turabian Style

Wang, Shih-Sheng, Yuan-Bin Cheng, Yu-Chi Lin, Chia-Ching Liaw, Jiun-Yang Chang, Yao-Haur Kuo, and Ya-Ching Shen. 2015. "Nitrogen-Containing Diterpenoids, Sesquiterpenoids, and Nor-Diterpenoids from Cespitularia taeniata" Marine Drugs 13, no. 9: 5796-5814. https://doi.org/10.3390/md13095796

APA Style

Wang, S.-S., Cheng, Y.-B., Lin, Y.-C., Liaw, C.-C., Chang, J.-Y., Kuo, Y.-H., & Shen, Y.-C. (2015). Nitrogen-Containing Diterpenoids, Sesquiterpenoids, and Nor-Diterpenoids from Cespitularia taeniata. Marine Drugs, 13(9), 5796-5814. https://doi.org/10.3390/md13095796

Article Metrics

Back to TopTop