Improvement in Random Noise for Pixel-Parallel Single-Slope ADC with Consideration of Flicker Noise Effect †
Highlights
- Limiting the noise bandwidth for low random noise is less effective if the main contributor to noise performance in digital-pixel sensors is flicker noise of the comparator’s input transistor.
- Low-noise digital-pixel sensor requires a low-flicker-noise device because of its pixel area limitation.
Abstract
1. Introduction
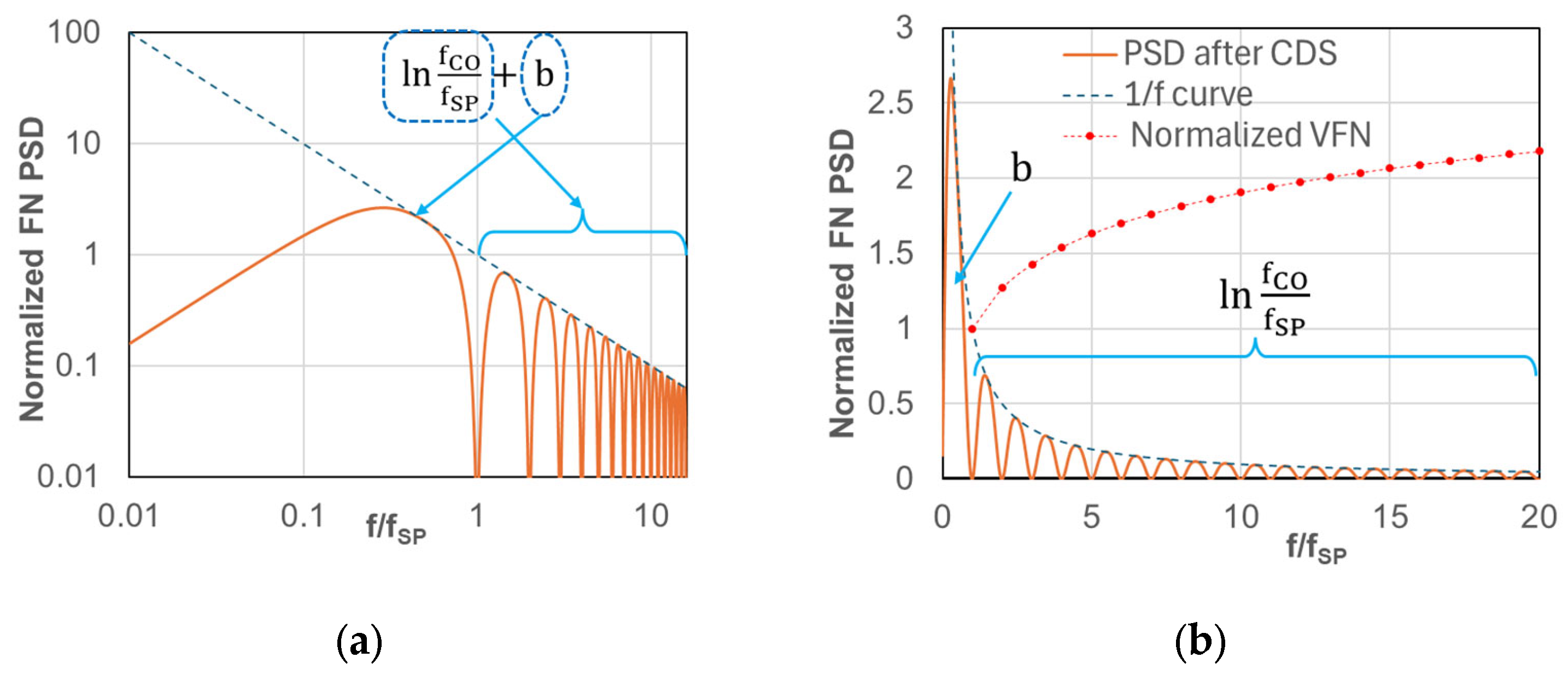
2. Random Noise in Single-Slope ADC
3. Random Noise Estimation
3.1. Noise Analysis by Conventional AC-Based Noise Estimation
3.2. Flicker Noise Feature
3.3. Delay Time Calculation to Compensate Effective Noise Bandwidth Under Nonstationary Condition
4. High-Gain Single-Ended Comparator for Digital-Pixel Sensor
4.1. Pixel Circuit in the Digital-Pixel Sensor
4.2. Measurement Results
- (1)
- G, , and at each bias current are measured using SPICE simulation.
- (2)
- Each TN ( at T0 and T2 is calculated using Equation (20).
- (3)
- Each FN ( at T0 and T2 is calculated using of Equation (5).
- (4)
- Each RN ( at T0 and T2 is calculated using .
- (5)
- The total input-referred RN at VSF is calculated by using the RN at T0 and T2 with compensation of signal attenuation from VSF to Vin.
4.3. Noise Analysis of the Single-Ended Comparator
5. Conclusions
Author Contributions
Funding
Institutional Review Board Statement
Informed Consent Statement
Data Availability Statement
Conflicts of Interest
Abbreviations
| VRN | Input-referred RN |
| VTN | Input-referred TN |
| VFN | Input-referred FN |
| ) | |
| Temperature (300 is used for calculation) | |
| Body-effect parameter (2/3 is used for calculation) | |
| PSD of TN | |
| Open-loop gain of comparator 1st stage | |
| Transconductance of input MOS transistor | |
| Transconductance of load MOS transistor | |
| Corner frequency (TN PSD = FN PSD) | |
| Cut-off frequency | |
| Sampling frequency in CDS operation | |
| Unity gain frequency | |
| Amplifier time constant | |
| Input ramp signal slope | |
| td | Comparator delay time |
| Effective NBW coefficient |
References
- White, M.H.; Lampe, D.; Blaha, F.; Mack, I. Characterization of surface channel CCD image arrays at low light levels. IEEE JSSC 1974, SC-9, 1–13. [Google Scholar] [CrossRef]
- Nitta, Y.; Muramatsu, Y.; Amano, K.; Toyama, T.; Yamamoto, J.; Mishina, K.; Suzuki, A.; Taura, T.; Kato, A.; Kikuchi, M.; et al. High-speed digital double sampling with analog CDS on column parallel ADC architecture for low-noise active pixel sensor. In Proceedings of the 2006 IEEE International Solid State Circuits Conference-Digest of Technical Papers, San Francisco, CA, USA, 6–9 February 2006; pp. 500–501. [Google Scholar]
- Iida, S.; Sakano, Y.; Asatsuma, T.; Takami, M.; Yoshiba, I.; Ohba, N.; Mizuno, H.; Oka, T.; Yamaguchi, K.; Suzuki, A.; et al. A 0.68e-rms Random-Noise 121dB Dynamic-Range Sub-pixel architecture CMOS Image Sensor with LED Flicker Mitigation. In Proceedings of the 2018 IEEE International Electron Devices Meeting (IEDM), San Francisco, CA, USA, 1–5 December 2018; pp. 10.2.1–10.2.4. [Google Scholar]
- Sakakibara, M.; Ogawa, K.; Sakai, S.; Tochigi, Y.; Honda, K.; Kikuchi, H.; Wada, T.; Kamikubo, Y.; Miura, T.; Nakamizo, M.; et al. A 6.9-µ m pixel-pitch back-illuminated global shutter CMOS image sensor with pixel-parallel 14-bit subthreshold ADC. IEEE JSSC 2018, 53, 3017–3025. [Google Scholar]
- Seo, M.W.; Chu, M.; Jung, H.-Y.; Kim, S.; Song, J.; Bae, D.; Lee, S.; Lee, J.; Kim, S.-Y.; Lee, J.; et al. 2.45 e-RMS Low-Random-Noise, 598.5 mW Low-Power, and 1.2 kfps High-Speed 2-Mp Global Shutter CMOS Image Sensor with Pixel-Level ADC and Memory. IEEE JSSC 2022, 57, 1125–1137. [Google Scholar] [CrossRef]
- Miyauchi, K.; Uno, M.; Isozaki, T.; Fukuhara, H.; Mori, K.; Abe, H.; Nagamatsu, M.; Ikeno, R.; Takayanagi, I.; Chen, H.-L.; et al. A 3.96-µm, 124-dB Dynamic-Range, Digital-Pixel Sensor with Triple- and Single-Quantization Operations for Monochrome and Near-Infrared Dual-Channel Global Shutter Operation. IEEE JSSC 2024, 60, 1771–1781. [Google Scholar]
- Kainuma, T.; Wakamatsu, R.; Wada, K.; Takeda, T.; Ueyama, S.; Suto, H.; Miura, T.; Uemura, K.; Kimura, M.; Sakakibara, M.; et al. A 25.2Mpixel 120frames/s Full-Frame Global-Shutter CMOS Image Sensor with Pixel-Parallel AD. In Proceedings of the 2025 IEEE International Solid-State Circuits Conference (ISSCC), San Francisco, CA, USA, 16–20 February 2025; pp. 122–123. [Google Scholar]
- Seo, M.-W.; Choi, Y.-S.; Lee, S.; Ito, M.; Bae, D.; Shim, Y.; Cho, G.; Koo, S.-G.; Byun, S.-J.; Kwon, H.; et al. A 1.22 e-rms Temporal Random Noise, 110 dB High Dynamic Range, 2.988 μm Pixel Pitch 3-Stacked Digital Pixel Sensor with On-Chip HDR Merger. In Proceedings of the 2025 Symposium on VLSI Technology and Circuits Digest of Technical Papers, Kyoto, Japan, 8–12 June 2025; Volume C6-1, pp. 1–3. [Google Scholar]
- Ikeno, R.; Mori, K.; Uno, M.; Miyauchi, K.; Isozaki, T.; Takayanagi, I.; Nakamura, J.; Wuu, S.-G.; Bainbridge, L.; Berkovich, A.; et al. A 4.6µm, 127-dB dynamic range, ultra-low power stacked digital pixel sensor with overlapped triple quantization. IEEE Trans. Electron. Devices 2022, 65, 2943–2950. [Google Scholar] [CrossRef]
- Lee, S.; Seo, M.W.; Ito, M.; Byun, S.J.; Kwon, H.; Bae, D.; Moon, J.; Cho, G.; Shim, H.; Lee, J.-K.; et al. Temporal Noise Suppression Method Using Noise Bandwidth Limitation for Pixel-Level Single-Slope ADC. In Proceedings of the 2023 International Image Sensor Workshop, Crieff, UK, 21–25 May 2023; Volume P34. [Google Scholar]
- Sepke, T.; Holloway, P.; Sodini, C.G.; Lee, H.-S. Noise Analysis for Comparator-Based Circuits. IEEE TCAS I 2009, 56, 541–553. [Google Scholar] [CrossRef]
- Jung, H.Y.; Chu, M.; Seo, M.-W.; Kim, S.; Song, J.; Lee, S.-G.; Byun, S.-J.; Kim, M.; Bae, D.; Lee, J.; et al. Design and Analysis on Low-Power and Low-Noise Single Slope ADC for Digital Pixel Sensors. IST Int. Symp. Electron. Imaging 2022, 34, 256-1–256-4. [Google Scholar] [CrossRef]
- Sakakibara, M.; Kainuma, T.; Wakamatsu, R.; Wada, K.; Takeda, T.; Ueyama, S.; Suto, H.; Sakai, S.; Ogawa, K.; Tsuchimoto, K.; et al. Noise Analysis of Pixel-Parallel ADC. In Proceedings of the 2025 International Image Sensor Workshop, Hyogo, Japan, 2–5 June 2025; Volume P12, pp. 264–267. [Google Scholar]
- Baker, R.J. CMOS Circuit Design, Layout, and Simulation, 2nd ed.; IEEE Press Series; John Wiley & Sons: Hoboken, NJ, USA, 2019; Chapter 8.2; pp. 220–223. [Google Scholar]
- Kawahito, S.; Suh, S.; Shirei, T.; Itoh, S.; Aoyama, S. Noise reduction effects of column-parallel correlated multiple sampling and source-follower driving current switching for CMOS image sensors. In Proceedings of the 2009 International Image Sensor Workshop (IISW), Bergen, Norway, 26–28 June 2009. [Google Scholar]
- Tsai, T.H.; Chang, K.H.; Berkovich, A.; Capoccia, R.; Chen, S.; Wang, Z.; Liu, C.; Lin, Y.-H.; Lai, S.Y.; Hsu, H.-M.; et al. A 400×400 3.24 μm 117dB-Dynamic-Range 3-Layer Stacked Digital Pixel Sensor. In Proceedings of the International Solid-State Circuits Conference, San Francisco, CA, USA, 16–20 February 2025. [Google Scholar]
- Uno, M.; Chang, K.-H.; Tsai, T.-H.; Isozaki, T.; Ikeno, R.; Mori, K.; Miyauchi, K.; Lin, Y.-H.; Lai, S.-Y.; Lin, C.-H.; et al. Random Noise Improvement for Pixel-Parallel Single-Slope ADC. In Proceedings of the 2025 International Image Sensor Workshop, Hyogo, Japan, 2–5 June 2025; Volume P09, pp. 252–255. [Google Scholar]











| Specification | This Work | TED 2022 [9] |
|---|---|---|
| Process technology | 45/40/40 nm | 45/65 nm |
| Pixel size [µm] | 3.24 | 4.6 |
| Conversion Gain [µV/e−] | 208/19.4 | 170/7 |
| Comparator type | Single-ended input | Differential input |
| CC [fF] | 120 | 65 |
| CR [fF] | 60 | - |
| Cbw [fF] | 6 | 20 |
| RN [e-rms] | 2.2 | 4.2 |
Disclaimer/Publisher’s Note: The statements, opinions and data contained in all publications are solely those of the individual author(s) and contributor(s) and not of MDPI and/or the editor(s). MDPI and/or the editor(s) disclaim responsibility for any injury to people or property resulting from any ideas, methods, instructions or products referred to in the content. |
© 2025 by the authors. Licensee MDPI, Basel, Switzerland. This article is an open access article distributed under the terms and conditions of the Creative Commons Attribution (CC BY) license (https://creativecommons.org/licenses/by/4.0/).
Share and Cite
Uno, M.; Chang, K.-H.; Tsai, T.-H.; Nakamura, J.; Ikeno, R.; Mori, K.; Miyauchi, K.; Isozaki, T.; Lin, Y.-H.; Lai, S.-Y.; et al. Improvement in Random Noise for Pixel-Parallel Single-Slope ADC with Consideration of Flicker Noise Effect. Sensors 2025, 25, 7565. https://doi.org/10.3390/s25247565
Uno M, Chang K-H, Tsai T-H, Nakamura J, Ikeno R, Mori K, Miyauchi K, Isozaki T, Lin Y-H, Lai S-Y, et al. Improvement in Random Noise for Pixel-Parallel Single-Slope ADC with Consideration of Flicker Noise Effect. Sensors. 2025; 25(24):7565. https://doi.org/10.3390/s25247565
Chicago/Turabian StyleUno, Masayuki, Kwuang-Han Chang, Tsung-Hsun Tsai, Junichi Nakamura, Rimon Ikeno, Kazuya Mori, Ken Miyauchi, Toshiyuki Isozaki, Yi-Hsuan Lin, Sheng-Yeh Lai, and et al. 2025. "Improvement in Random Noise for Pixel-Parallel Single-Slope ADC with Consideration of Flicker Noise Effect" Sensors 25, no. 24: 7565. https://doi.org/10.3390/s25247565
APA StyleUno, M., Chang, K.-H., Tsai, T.-H., Nakamura, J., Ikeno, R., Mori, K., Miyauchi, K., Isozaki, T., Lin, Y.-H., Lai, S.-Y., Lin, C.-H., Chou, W.-F., Yang, G., Chen, S., & Liu, C. (2025). Improvement in Random Noise for Pixel-Parallel Single-Slope ADC with Consideration of Flicker Noise Effect. Sensors, 25(24), 7565. https://doi.org/10.3390/s25247565

