Advancing Multi-Touch Sensing: Integrating FTIR and ToF Technologies for Precise and Large-Scale Touch Interfaces
Abstract
1. Introduction
1.1. Total Internal Reflection (TIR)
1.2. Frustrated Total Internal Reflection (FTIR)
2. Materials and Methods
2.1. Optical Measurements
2.2. PMMA Preparation
2.3. Test Objects
2.4. Electronic Hardware
2.5. Sensor Data Acquisition and Reconstruction
3. Results and Discussion
3.1. Optical Properties
3.2. Signal Processing
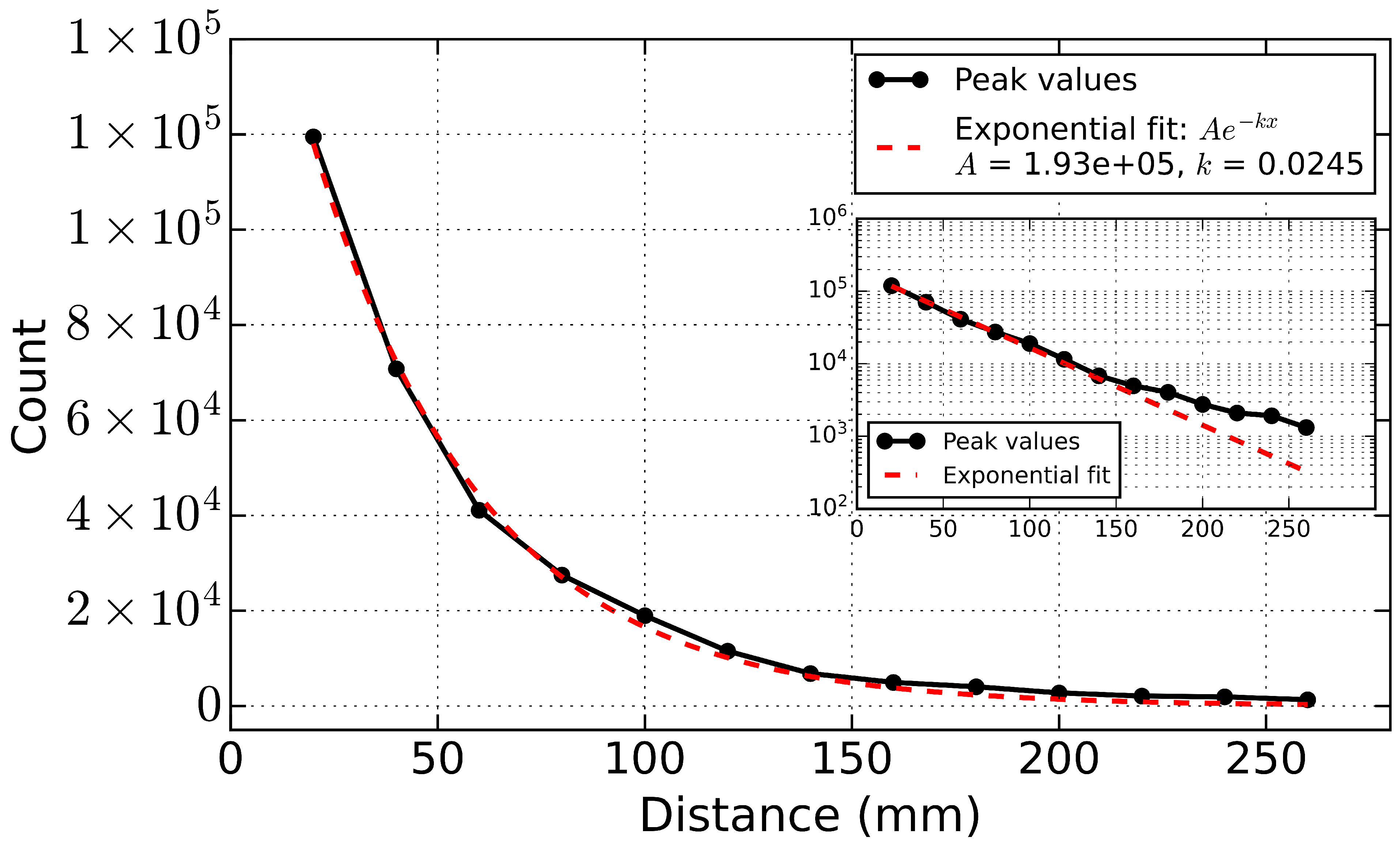
3.2.1. Signal Decay Characterization
3.2.2. Axial Occlusion and Signal Interference
3.2.3. Interference Immunity to External Infrared Sources
3.3. Baseline Study for Material Quality Assessment
3.3.1. Touch Point Reconstruction and Signal Mapping
3.3.2. System Accuracy and Scalability
- Single-sensor configuration (current setup): The ToF unit is positioned at one edge of the light guide, providing a compact and cost-effective solution for localized touch detection. This arrangement minimizes hardware complexity but limits the sensing area to the field of view of a single device.
- Dual-opposite sensor placement: Positioning two ToF sensors at opposite edges of the light guide can approximately double the measurable length, provide redundant coverage, and partially mitigate occlusion effects caused by touch objects blocking the optical path.
- Multi-sensor edge array: For large-area, multi-touch applications, multiple sensors can be placed along the perimeter. This increases spatial resolution and coverage uniformity, while enabling simultaneous detection of multiple touch points without significant blind spots.
- Reflective edge termination: Applying reflective coatings or mirrored terminations at selected edges can extend the effective sensing range without adding additional sensors. This approach redirects light within the light guide to otherwise unreachable regions, though it may introduce a trade-off in signal intensity and an increase in internal reflections.
3.3.3. Economic Aspects
4. Conclusions
Supplementary Materials
Author Contributions
Funding
Institutional Review Board Statement
Informed Consent Statement
Data Availability Statement
Conflicts of Interest
References
- Han, J.Y. Low-cost multi-touch sensing through frustrated total internal reflection. In Proceedings of the 18th Annual ACM Symposium on User Interface Software and Technology, ACM, Seattle, WA, USA, 23–26 October 2005; pp. 115–118. [Google Scholar]
- Al Sheikh, S.S.A.; Hanana, S.M.; Al-Hosany, Y.; Soudan, B. Design and implementation of an FTIR camera-based multi-touch display. In Proceedings of the 2009 5th IEEE GCC Conference & Exhibition, Kuwait City, Kuwait, 17–19 March 2009; pp. 1–6. [Google Scholar] [CrossRef]
- Hofer, R.; Naeff, D.; Kunz, A. Flatir: FTIR multi-touch detection on a discrete distributed sensor array. In Proceedings of the 2009 IEEE Symposium on 3D User Interfaces, Lafayette, LA, USA, 14–15 March 2009. [Google Scholar]
- Iacolina, S.A.; Soro, A.; Scateni, R. Improving FTIR based multi-touch sensors with IR shadow tracking. In Proceedings of the 3rd ACM SIGCHI Symposium on Engineering Interactive Computing Systems (EICS 2011), Pisa, Italy, 13–16 June 2011; pp. 207–212. [Google Scholar] [CrossRef]
- Christou, A.; Dahiya, R. Touch interactive 3D surfaces. In Proceedings of the IEEE International Conference on Flexible and Printable Sensors and Systems (FLEPS), Manchester, UK, 16–19 August 2020. [Google Scholar]
- Kang, M.; Kim, J.; Jang, B.; Chae, Y.; Kim, J.H.; Ahn, J.H. Graphene-based three-dimensional capacitive touch sensor for wearable electronics. ACS Nano 2017, 11, 7950–7957. [Google Scholar] [CrossRef] [PubMed]
- Bacher, E.; Cartiel, S.; García-Pueyo, J.; Stopar, J.; Zore, A.; Kamnik, R.; Aulika, I.; Ogurcovs, A.; Grābe, J.; Bundulis, A.; et al. OptoSkin: Novel LiDAR Touch Sensors for Detection of Touch and Pressure within Waveguides. IEEE Sens. J. 2024, 24, 33268–33280. [Google Scholar] [CrossRef]
- Aulika, I.; Kundzins, K.; Laurenzis, M.; Bacher, E.; Orbananos, A.M.; García-Pueyo, J.; Cartiel Embid, S.C. An Optical Tactile and Pressure Sensor. Patent LVP2024000016, 20 September 2025. [Google Scholar]
- Aulika, I.; Ogurcovs, A.; Kemere, M.; Bundulis, A.; Butikova, J.; Kundzins, K.; Bacher, E.; Laurenzis, M.; Schertzer, S.; Stopar, J.; et al. Influence of Material Optical Properties in Direct ToF LiDAR Optical Tactile Sensing: Comprehensive Evaluation. Materials 2025, 18, 3287. [Google Scholar] [CrossRef] [PubMed]
- Roychowdhury, T.; Shah, D.; Hilfiker, J.; Linford, M. Polymethyl methacrylate: Optical properties from 191 to 1688 nm (0.735–6.491 eV) by spectroscopic ellipsometry. Surf. Sci. Spectra 2020, 27, 016002. [Google Scholar] [CrossRef]
- Park, J.; Baek, M.; Choi, H.; Kim, H.; Lee, D.W. Development of poly(methyl methacrylate)-based copolymers with improved heat resistance and reduced moisture absorption. Langmuir 2019, 35, 15880–15886. [Google Scholar] [CrossRef] [PubMed]
- Echtler, F.; Dippon, A.; Tönnis, M.; Klinker, G. Inverted FTIR: Easy multitouch sensing for flatscreens. In Proceedings of the ACM International Conference on Interactive Tabletops and Surfaces (ITS 2009), Banff, AB, Canada, 23–25 November 2009; pp. 29–32. [Google Scholar] [CrossRef]
- ams-OSRAM AG. TMF8828 Configurable 8×8 Multi-Zone Time-of-Flight Sensor, Data Sheet; ams-OSRAM AG: Premstätten, Austria, 2023; Available online: https://ams-osram.com/products/sensors/ (accessed on 28 August 2025).
- Microsoft Corporation. Perceptive Pixel by Microsoft—System Requirements and Setup; Microsoft Corporation: Redmond, WA, USA, 2012; Available online: https://download.microsoft.com/download/d/e/2/de2381cf-2d8e-4129-a1fd-68bfdfba0812/ppi_55_user%20guide.pdf (accessed on 28 August 2025).
- Microsoft Corporation. Perceptive Pixel 55/82 User Guide; Microsoft Corporation: Redmond, WA, USA, 2012; Available online: https://download.microsoft.com/download/D/E/2/DE2381CF-2D8E-4129-A1FD-68BFDFBA0812/PPI_82_Roll%20Stand%20Guide.pdf (accessed on 28 August 2025).
- SMART Technologies. SMART Table 442i—Specifications; SMART Technologies ULC: Calgary, AB, Canada, 2013; Available online: https://downloads.smarttech.com/media/sitecore/en_gb/support/product/smarttable/442i/specs/specst442iv30jan13.pdf (accessed on 28 August 2025).
- Touch Revolution, Inc. Fusion Touch—Prototype Documentation, Technical Note; Touch Revolution, Inc.: San Jose, CA, USA, 2011; Available online: http://www.touchrev.com (accessed on 28 August 2025).
- Christou, A.; Gao, Y.; Navaraj, W.T.; Nassar, H.; Dahiya, R. 3D Touch Surface for Interactive Pseudo-Holographic Displays. Adv. Intell. Syst. 2022, 4, 2000126. [Google Scholar] [CrossRef]













| Product Name | Diagonal (in) | Price ($) | Area (sq. in.) | Price/sq. in. ($) | Resolution | Reference |
|---|---|---|---|---|---|---|
| Perceptive Pixel by Microsoft (55”) | 55 | 80,000 | 4085.20 | 19.58 | Display: 1920 × 1080 Touch: sub-mm (claimed) | [14,15] |
| Perceptive Pixel by Microsoft (82”) | 82 | 80,000 | 9080.61 | 8.81 | Display: 1920 × 1080 Touch: sub-mm (claimed) | [14,15] |
| SMART Table by SMART Technologies | 42 | 8000 | 2382.24 | 3.36 | Display: 1920 × 1080 Touch: n/s | [16] |
| Touch Revolution’s Fusion Touch Displays | 42 | 5000 | 2382.24 | 2.10 | Display: 1024 × 600 Touch: ∼1 mm (center linearity) | [17] |
| 3D Touch Surface (FTIR prototype) | n/a | 100 | n/a | n/a | Display: n/s Touch: 10 mm | [18] |
| This technology (FTIR–ToF, single sensor) | 12 | 45 | 60.45 | 0.74 | Display: – Touch: ∼10 mm; up to 3.5° | – |
Disclaimer/Publisher’s Note: The statements, opinions and data contained in all publications are solely those of the individual author(s) and contributor(s) and not of MDPI and/or the editor(s). MDPI and/or the editor(s) disclaim responsibility for any injury to people or property resulting from any ideas, methods, instructions or products referred to in the content. |
© 2025 by the authors. Licensee MDPI, Basel, Switzerland. This article is an open access article distributed under the terms and conditions of the Creative Commons Attribution (CC BY) license (https://creativecommons.org/licenses/by/4.0/).
Share and Cite
Ogurcovs, A.; Aulika, I.; Cartiel, S.; Kemere, M.; Butikova, J.; Sledevskis, E. Advancing Multi-Touch Sensing: Integrating FTIR and ToF Technologies for Precise and Large-Scale Touch Interfaces. Sensors 2025, 25, 5503. https://doi.org/10.3390/s25175503
Ogurcovs A, Aulika I, Cartiel S, Kemere M, Butikova J, Sledevskis E. Advancing Multi-Touch Sensing: Integrating FTIR and ToF Technologies for Precise and Large-Scale Touch Interfaces. Sensors. 2025; 25(17):5503. https://doi.org/10.3390/s25175503
Chicago/Turabian StyleOgurcovs, Andrejs, Ilze Aulika, Sergio Cartiel, Meldra Kemere, Jelena Butikova, and Eriks Sledevskis. 2025. "Advancing Multi-Touch Sensing: Integrating FTIR and ToF Technologies for Precise and Large-Scale Touch Interfaces" Sensors 25, no. 17: 5503. https://doi.org/10.3390/s25175503
APA StyleOgurcovs, A., Aulika, I., Cartiel, S., Kemere, M., Butikova, J., & Sledevskis, E. (2025). Advancing Multi-Touch Sensing: Integrating FTIR and ToF Technologies for Precise and Large-Scale Touch Interfaces. Sensors, 25(17), 5503. https://doi.org/10.3390/s25175503

