Squat Detection of Railway Switches and Crossings Using Point Machine Vibration Measurements
Abstract
1. Introduction
2. Materials and Methods
2.1. Track Layout and the Testbed
2.2. Measurement Setup
2.2.1. Accelerometer
2.2.2. Data Acquisition
2.3. Test Runs
2.4. Post-Processing
2.4.1. High-Pass filtering
2.4.2. Wavelet
2.4.3. Time to Spatial Domain Conversion
2.4.4. Smoothing Speed Signal
2.4.5. Re-Sampling
2.4.6. Synchronising
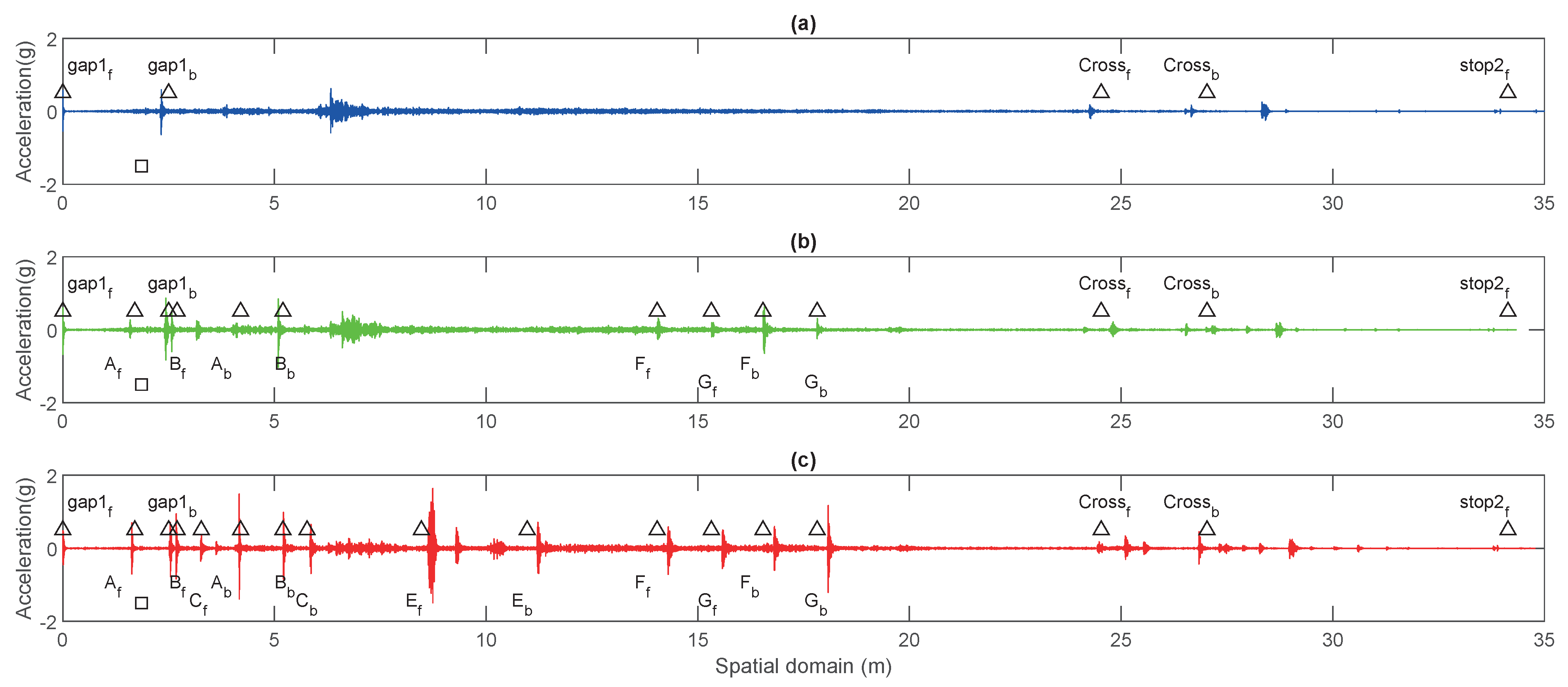
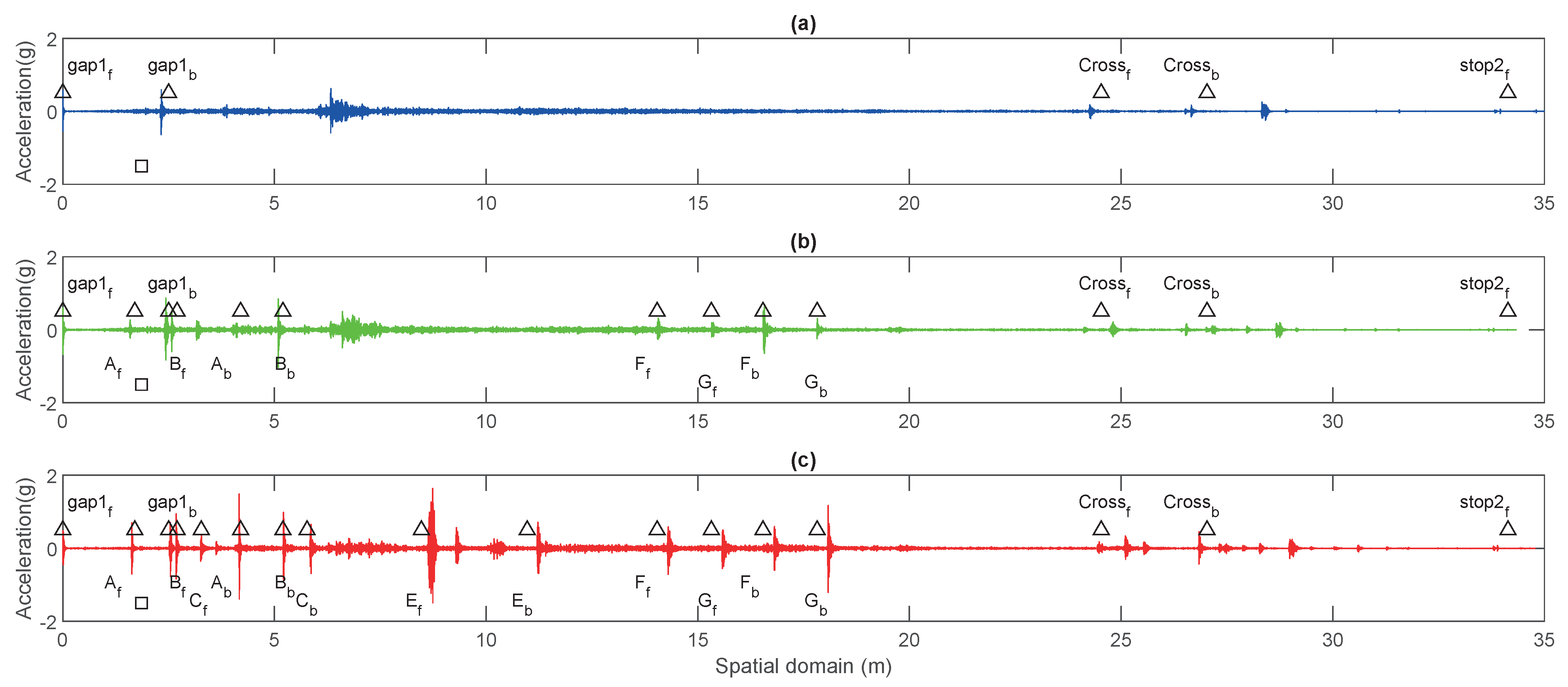
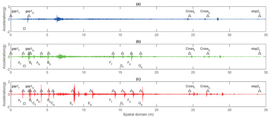
2.4.7. Expected Events Chart
3. Results and Discussions
3.1. Squat Detection
3.2. General Trends of the Impact Events
3.3. Normalising Peak-to-Peak Amplitude to the 1 m/s Case
- They are located in the middle of the S&C and are not far from the accelerometer.
- They are not too close to the starting point where many events were happening at the same time.
- They are not too far away from the starting point either, so the amplitude value can be detected.
- They are close to each other and the speed of the bogie was within 1 ± 0.2 m/s.
3.4. Statistics of the Estimated Amplitude for 1 m/s Case
3.5. Linear Regression for Estimated Amplitude versus Squat Depth
4. Conclusions and Future Works
- It is possible to extract and locate 6 out of 7 squats og 4 mm depth within a 13 m range from the accelerometer.
- It is possible to extract and locate 4 out of 6 squats of 1 mm depth that is within around a 13 m range from the accelerometer.
- It is challenging to extract and locate accurately both 1 mm and 4 mm depth squats that are further than around 22 m away from the accelerometer.
- The mean normalised amplitude value for squat F increases from 0.76 g to 1.24 g when the squat depth increases from 1 mm to 4 mm with standard deviations of 0.34 g and 0.09 g, respectively.
- The mean normalised amplitude value for squat G increases from 0.35 g to 1.63 g when the squat depth increases from 1 mm to 4 mm with standard deviations of 0.14 g and 0.71 g, respectively.
- It is possible to fit a linear model to the normalised amplitude versus squat depth for squats F and G with the data collected.
Author Contributions
Funding
Institutional Review Board Statement
Informed Consent Statement
Data Availability Statement
Conflicts of Interest
References
- Kassa, E.; Andersson, C.; Nielsen, J.C. Simulation of dynamic interaction between train and railway turnout. Veh. Syst. Dyn. 2006, 44, 247–258. [Google Scholar] [CrossRef]
- Khouy, I.A.; Larsson-Kråik, P.O.; Nissen, A.; Lundberg, J.; Kumar, U. Geometrical degradation of railway turnouts: A case study from a Swedish heavy haul railroad. Proc. Inst. Mech. Eng. Part F J. Rail Rapid Transit 2014, 228, 611–619. [Google Scholar] [CrossRef]
- Trafikverket. Trafikverkets Årsredovisning, Annual Report; Trafikverket: Stockholm, Sweden, 2018.
- Rusu, M.F. Automation of Railway Switch and Crossing Inspection; University of Birmingham: Birmingham, UK, 2017. [Google Scholar]
- Nissen, A. LCC-analysis for switches and crossings: A case study from the Swedish railway network. Int. J. COMADEM 2009, 12, 10–19. [Google Scholar]
- García Márquez, F.P.; Schmid, F.; Conde Collado, J. A reliability centered approach to remote condition monitoring. A railway points case study. Reliab. Eng. Syst. Saf. 2003, 80, 33–40. [Google Scholar] [CrossRef]
- Silmon, J.A.; Roberts, C. Improving railway switch system reliability with innovative condition monitoring algorithms. Proc. Inst. Mech. Eng. Part F J. Rail Rapid Transit 2010, 224, 293–302. [Google Scholar] [CrossRef]
- Hamadache, M.; Dutta, S.; Olaby, O.; Ambur, R.; Stewart, E.; Dixon, R. On the Fault Detection and Diagnosis of Railway Switch and Crossing Systems: An Overview. Appl. Sci. 2019, 9, 5129. [Google Scholar] [CrossRef]
- Garcia Márquez, F.P.; Schmid, F.; Collado, J.C. Wear assessment employing remote condition monitoring: A case study. Wear 2003, 255, 1209–1220. [Google Scholar] [CrossRef]
- Oyebande, B.O.; Renfrew, A.C. Condition monitoring of railway electric point machines. IEE Proc. Electr. Power Appl. 2002, 149, 465–473. [Google Scholar] [CrossRef]
- Kaijuka, P.L.; Dixon, R.; Ward, C.P.; Dutta, S.; Bemment, S. Model-Based Controller Design for a Lift-and-Drop Railway Track Switch Actuator. IEEE/ASME Trans. Mech. 2019, 24, 2008–2018. [Google Scholar] [CrossRef]
- Barke, D.; Chiu, W.K. Structural health monitoring in the railway industry: A review. Struct. Health Monit. 2005, 4, 81–93. [Google Scholar] [CrossRef]
- Esveld, C. Modern Railway Track: Digital Edition; MRT-Productions: Amsterdam, The Netherlands, 2015. [Google Scholar]
- Kishore, M.B.; Park, J.W.; Song, S.J.; Kim, H.J.; Kwon, S.G. Characterization of defects on rail surface using eddy current technique. J. Mech. Sci. Technol. 2019, 33, 4209–4215. [Google Scholar] [CrossRef]
- Chandran, P.; Thierry, F.; Odelius, J.; Famurewa, S.M.; Lind, H.; Rantatalo, M. Supervised Machine Learning Approach for Detecting Missing Clamps in Rail Fastening System from Differential Eddy Current Measurements. Appl. Sci. 2021, 11, 4018. [Google Scholar] [CrossRef]
- Lederman, G. Data-Driven Approaches for Track Monitoring Using In-Service Trains. Ph.D. Thesis, Carnegie Mellon University, Pittsburgh, PA, USA, 2016. [Google Scholar]
- Liu, J.; Wei, Y.; Bergés, M.; Bielak, J.; Garrett, J.H.; Noh, H.Y. Detecting anomalies in longitudinal elevation of track geometry using train dynamic responses via a variational autoencoder. SPIE 2019, 10970, 49. [Google Scholar] [CrossRef]
- Bridgelall, R.; Chia, L.A.; Bhardwaj, B.; Lu, P.; Tolliver, D.D.; Dhingra, N. Enhancement of signals from connected vehicles to detect roadway and railway anomalies. Meas. Sci. Technol. 2020, 31, 035105. [Google Scholar] [CrossRef]
- Weston, P.; Roberts, C.; Yeo, G.; Stewart, E. Perspectives on railway track geometry condition monitoring from in-service railway vehicles. Veh. Syst. Dyn. 2015, 53, 1063–1091. [Google Scholar] [CrossRef]
- Grossoni, I.; Hughes, P.; Bezin, Y.; Bevan, A.; Jaiswal, J. Observed failures at railway turnouts: Failure analysis, possible causes and links to current and future research. Eng. Fail. Anal. 2021, 119, 104987. [Google Scholar] [CrossRef]
- Grassie, S.L. Squats and squat-type defects in rails: The understanding to date. Proc. Inst. Mech. Eng. Part F J. Rail Rapid Transit 2012, 226, 235–242. [Google Scholar] [CrossRef]
- Daniel, W.J.; Pal, S.; Farjoo, M. Special Issue on work of the Cooperative Research Centre for Rail Innovation, Australia Rail squats: Progress in understanding the Australian experience. SAGE 2013, 227, 950. [Google Scholar] [CrossRef]
- Freimanis, A.; Kaewunruen, S.; Ishida, M. Peridynamic Modeling of Rail Squats; Springer International Publishing: Cham, Switzerland, 2019; pp. 108–118. [Google Scholar]
- Molodova, M.; Li, Z.; Núñez, A.; Dollevoet, R. Parametric study of axle box acceleration at squats. Proc. Inst. Mech. Eng. Part F J. Rail Rapid Transit 2015, 229, 841–851. [Google Scholar] [CrossRef]
- Molodova, M.; Li, Z.; Nunez, A.; Dollevoet, R. Automatic detection of squats in railway infrastructure. IEEE Trans. Intell. Transp. Syst. 2014, 15, 1980–1990. [Google Scholar] [CrossRef]
- Zhu, H.; Li, H.; Al-Juboori, A.; Wexler, D.; Lu, C.; McCusker, A.; McLeod, J.; Pannila, S.; Barnes, J. Understanding and treatment of squat defects in a railway network. Wear 2020, 442-443, 203139. [Google Scholar] [CrossRef]
- Zuo, Y.; Thiery, F.; Chandran, P.; Odelius, J.; Rantatalo, M. Squat Detection of Railway Switches and Crossings Using Wavelets and Isolation Forest. Sensors 2022, 22, 6357. [Google Scholar] [CrossRef] [PubMed]
- Najeh, T.; Lundberg, J.; Kerrouche, A. Deep-Learning and Vibration-Based System for Wear Size Estimation of Railway Switches and Crossings. Sensors 2021, 21, 5217. [Google Scholar] [CrossRef] [PubMed]
- Rosen, S.; Howell, P. Signals and Systems for Speech and Hearing; Emerald: Bingley, UK, 2011. [Google Scholar]
- Yue, G.D.; Xu, Z.; Wang, L.D.; Liu, C.; Zhou, W.J. Vibration analysis for slab track at different train speeds using Bayes wavelet denoising. Proc. Inst. Mech. Eng. Part F J. Rail Rapid Transit 2017, 231, 892–901. [Google Scholar] [CrossRef]
- Wang, Z.; Liu, X.; Xing, Z. Denoising Method of Train Vibration Signal Based on Improved Wavelet Threshold; Springer: Cham, Switzerland, 2020; Volume 639, pp. 101–108. [Google Scholar] [CrossRef]
- Donoho, D.L.; Johnstone, I.M. Adapting to unknown smoothness via wavelet shrinkage. J. Am. Stat. Assoc. 1995, 90, 1200–1224. [Google Scholar] [CrossRef]
- Luo, G.; Zhang, D. Wavelet Denoising; IntechOpen: London, UK, 2012. [Google Scholar] [CrossRef]











| General info | Size 1 | Size 2 | ||||
|---|---|---|---|---|---|---|
| Rail Number | Squat Name | From | Squat Diameter | Max Depth | Squat Diameter | Max Depth |
| (m) | (mm) | (mm) | (mm) | (mm) | ||
| 4 | A | 5.7 | 43 | 1.2 | 62 | 3.7 |
| 4 | B | 6.7 | 41 | 1.0 | 61 | 3.9 |
| 1 | C | 7.27 | 42 | 1.0 | 63 | 3.7 |
| 3 | D | 10.68 | 42 | 1.0 | 66 | 4.4 |
| 1 | E | 12.47 | 0 | 0 | 65 | 3.7 |
| 3 | F | 18.04 | 42 | 1.1 | 65 | 4.2 |
| 1 | G | 19.32 | 42 | 1.0 | 64 | 3.7 |
| 1 | H | 28.02 | 42 | 1.5 | 62 | 4.7 |
| 3 | I | 29.23 | 42 | 1.4 | 62 | 4.3 |
| 3 | J | 32.14 | 42 | 1.2 | 63 | 4.4 |
| 1 | K | 34 | 42 | 1.1 | 61 | 4.1 |
| Name | Range (Hz) | Sensitivity (mV/g) | Destruction Limit (g) | Resonant Frequency (kHz) |
|---|---|---|---|---|
| KS91C | 0.3−37,000 | 10 ± 20% | 10,000 | >60 (+25 dB) |
| Test Scenario | Repetitions | Date |
|---|---|---|
| Without squats | 3 | 31 March 2020 |
| 1 mm squats | 3 | 6 April 2020 |
| 4 mm squats | 3 (2 valid) | 9 April 2020 |
| Squat Name | Detected | Location Error < 0.5 m |
|---|---|---|
| A | Yes | Yes |
| B | Yes | Yes |
| C | No | No |
| D | No | No |
| E | N/A | N/A |
| F | Yes | Yes |
| G | Yes | Yes |
| H | No | No |
| I | No | No |
| J | No | No |
| K | No | No |
| Squat Name | Detected | Location Error < 0.5 m |
|---|---|---|
| A | Yes | Yes |
| B | Yes | Yes |
| C | Yes | Yes |
| D | No | No |
| E | Yes | Yes |
| F | Yes | Yes |
| G | Yes | Yes |
| H | No | No |
| I | No | No |
| J | No | No |
| K | No | No |
Disclaimer/Publisher’s Note: The statements, opinions and data contained in all publications are solely those of the individual author(s) and contributor(s) and not of MDPI and/or the editor(s). MDPI and/or the editor(s) disclaim responsibility for any injury to people or property resulting from any ideas, methods, instructions or products referred to in the content. |
© 2023 by the authors. Licensee MDPI, Basel, Switzerland. This article is an open access article distributed under the terms and conditions of the Creative Commons Attribution (CC BY) license (https://creativecommons.org/licenses/by/4.0/).
Share and Cite
Zuo, Y.; Lundberg, J.; Najeh, T.; Rantatalo, M.; Odelius, J. Squat Detection of Railway Switches and Crossings Using Point Machine Vibration Measurements. Sensors 2023, 23, 3666. https://doi.org/10.3390/s23073666
Zuo Y, Lundberg J, Najeh T, Rantatalo M, Odelius J. Squat Detection of Railway Switches and Crossings Using Point Machine Vibration Measurements. Sensors. 2023; 23(7):3666. https://doi.org/10.3390/s23073666
Chicago/Turabian StyleZuo, Yang, Jan Lundberg, Taoufik Najeh, Matti Rantatalo, and Johan Odelius. 2023. "Squat Detection of Railway Switches and Crossings Using Point Machine Vibration Measurements" Sensors 23, no. 7: 3666. https://doi.org/10.3390/s23073666
APA StyleZuo, Y., Lundberg, J., Najeh, T., Rantatalo, M., & Odelius, J. (2023). Squat Detection of Railway Switches and Crossings Using Point Machine Vibration Measurements. Sensors, 23(7), 3666. https://doi.org/10.3390/s23073666

