Maximizing Efficiency in Energy Trading Operations through IoT-Integrated Digital Twins
Abstract
:1. Introduction
- This study introduces a novel IoT-enabled digital twin perspective on nano-grid energy system orchestration by proposing the inclusion of task-level orchestration, a feature currently lacking in the existing research.
- The incorporation of digital twins focuses on the scalability of the nano-grid system by replicating physical resources through virtual objects.
- To optimize the energy operations of energy storage systems (ESSs) before peer-to-peer (P2P) trading, the proposed study implements PSO-enabled ESS power optimization.
- The application of particle swarm optimization (PSO) can enhance the efficiency of the energy storage system (ESS), facilitating the optimal management of surplus energy.
- By conducting a comprehensive evaluation of the system’s performance through a case study and comparison analysis, this study aims to contribute significant insights to the current body of knowledge.
- The evaluation of the virtualization module encompasses an examination of round-trip time analysis (RTT), latency analysis (LA), and response time (RT).
- A comparative study analyzes the system’s contribution to the existing literature body, highlighting its unique characteristics and achievements.
2. Related Work
3. Proposed Architecture
3.1. GRU Prediction Module
3.2. ESS Power Management for Optimal Energy Trading
- In a situation when the trading function yields a positive value of , priority will be assigned to the exporting of energy through . This implies that any surplus energy the photovoltaic system produces at time t will be used for trading. In the event of a lack of further energy, the stored energy within a at time t is employed for trading.
- In instances when the trade function is assigned a value of , it is important to note that the acquired energy is exclusively applicable for immediate power supply purposes and cannot be kept within the system.
| Algorithm 1 Optimal Energy Trading using PSO |
|
3.3. IoT-Enabled Task Orchestration-Based Energy Trading Operation
3.4. Evaluation
3.4.1. Root Mean Square Error
3.4.2. Round Trip Time Analysis
3.4.3. Latency Analysis
3.4.4. Response Time Analysis
4. Performance Analysis
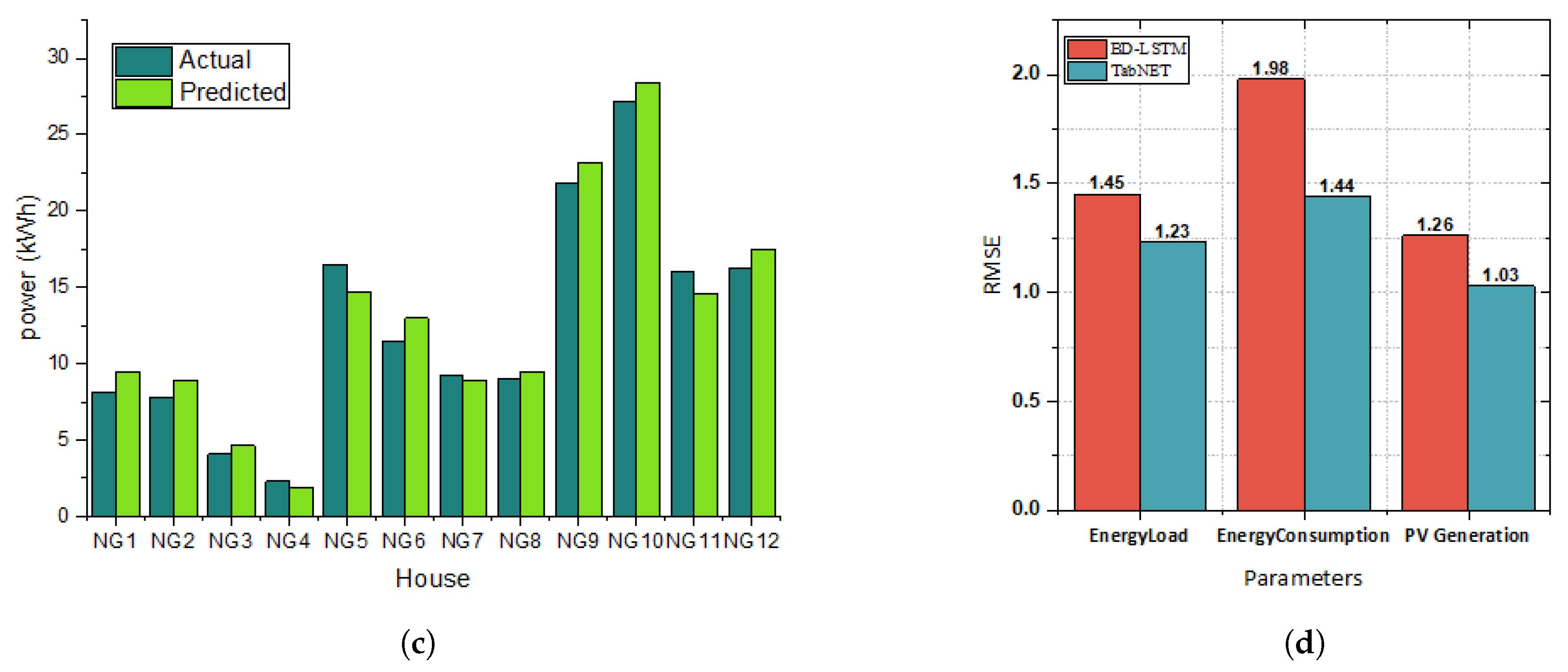
4.1. Prediction Module Outcome
4.2. ESS Power Optimization
4.3. IoT Orchestration-Based Virtualized Energy Trading Outcomes
4.4. Issues and Challenges
5. Conclusions
Author Contributions
Funding
Institutional Review Board Statement
Informed Consent Statement
Data Availability Statement
Acknowledgments
Conflicts of Interest
References
- Gracias, J.S.; Parnell, G.S.; Specking, E.; Pohl, E.A.; Buchanan, R. Smart Cities—A Structured Literature Review. Smart Cities 2023, 6, 1719–1743. [Google Scholar] [CrossRef]
- Lingaraju, A.K.; Niranjanamurthy, M.; Bose, P.; Acharya, B.; Gerogiannis, V.C.; Kanavos, A.; Manika, S. IoT-Based Waste Segregation with Location Tracking and Air Quality Monitoring for Smart Cities. Smart Cities 2023, 6, 1507–1522. [Google Scholar] [CrossRef]
- Zanella, A.; Bui, N.; Castellani, A.; Vangelista, L.; Zorzi, M. Internet of things for smart cities. IEEE Internet Things J. 2014, 1, 22–32. [Google Scholar] [CrossRef]
- Ahmad, S.; Khudoyberdiev, A.; Kim, D. Towards the task-level optimal orchestration mechanism in multi-device multi-task architecture for mission-critical IoT applications. IEEE Access 2019, 7, 140922–140935. [Google Scholar] [CrossRef]
- Ahmad, S.; Kim, D. A multi-device multi-tasks management and orchestration architecture for the design of enterprise IoT applications. Future Gener. Comput. Syst. 2020, 106, 482–500. [Google Scholar] [CrossRef]
- Ahmad, S.; Mehmood, F.; Kim, D.H. A DIY approach for the design of mission-planning architecture using autonomous task–object mapping and the deployment model in mission-critical IoT systems. Sustainability 2019, 11, 3647. [Google Scholar] [CrossRef]
- Jun, Z.; Simplot-Ryl, D.; Bisdikian, C.; Mouftah, H. The internet of things. IEEE Commun. Mag 2011, 49, 30–31. [Google Scholar]
- Vermesan, O.; Friess, P. Internet of Things-Global Technological and Societal Trends from Smart Environments and Spaces to Green ICT; CRC Press: Boca Raton, FL, USA, 2022. [Google Scholar]
- Diwakar, M.; Sharma, K.; Dhaundiyal, R.; Bawane, S.; Joshi, K.; Singh, P. A review on autonomous remote security and mobile surveillance using internet of things. J. Phys. Conf. Ser. 2021, 1854, 012034. [Google Scholar] [CrossRef]
- Öhrvik, H.; Aaseth, J.; Horn, N. Orchestration of dynamic copper navigation–new and missing pieces. Metallomics 2017, 9, 1204–1229. [Google Scholar] [CrossRef]
- Iqbal, N.; Kim, D.H. Iot task management mechanism based on predictive optimization for efficient energy consumption in smart residential buildings. Energy Build. 2022, 257, 111762. [Google Scholar]
- Melnyk, L.; Derikolenko, O.; Mazin, Y.; Matsenko, O.; Piven, V. Modern Trends in the Development of Renewable Energy: The Experience of the EU and Leading Countries of the World. Mech. Econ. Regul. 2020, 3, 117–133.3. [Google Scholar] [CrossRef]
- Ahmad, S.; Ullah, I.; Jamil, F.; Kim, D. Toward the optimal operation of hybrid renewable energy resources in microgrids. Energies 2020, 13, 5482. [Google Scholar] [CrossRef]
- Jiang, Y.; Yang, Y.; Tan, S.C.; Hui, S.Y.R. Power loss minimization of parallel-connected distributed energy resources in DC microgrids using a distributed gradient algorithm-based hierarchical control. IEEE Trans. Smart Grid 2022, 13, 4538–4550. [Google Scholar] [CrossRef]
- Jiang, Y.; Yang, Y.; Tan, S.C.; Hui, S.Y.R. Distribution power loss mitigation of parallel-connected distributed energy resources in low-voltage DC microgrids using a Lagrange multiplier-based adaptive droop control. IEEE Trans. Power Electron. 2021, 36, 9105–9118. [Google Scholar] [CrossRef]
- Lasseter, R.H. Microgrids. In Proceedings of the 2002 IEEE Power Engineering Society Winter Meeting, Conference Proceedings (Cat. No. 02CH37309), New York, NY, USA, 27–31 January 2002; Volume 1, pp. 305–308. [Google Scholar]
- Qayyum, F.; Jamil, H.; Jamil, F.; Ahmad, S.; Kim, D.H. IoT-Orchestration based nanogrid energy management system and optimal time-aware scheduling for efficient energy usage in nanogrid. Int. J. Electr. Power Energy Syst. 2022, 142, 108292. [Google Scholar] [CrossRef]
- Xia, F.; Yang, L.T.; Wang, L.; Vinel, A. Internet of things. Int. J. Commun. Syst. 2012, 25, 1101. [Google Scholar] [CrossRef]
- Qayyum, F.; Jamil, H.; Iqbal, N.; Kim, D.H. IoT-orchestrated Optimal Nanogrid Energy Management: Improving Energy Trading Performance and Efficiency via Virtual Operations. Int. J. Electr. Power Energy Syst. 2024, 155, 109668. [Google Scholar] [CrossRef]
- Yu, Y.; Li, Y.; Tian, J.; Liu, J. Blockchain-based solutions to security and privacy issues in the internet of things. IEEE Wirel. Commun. 2018, 25, 12–18. [Google Scholar] [CrossRef]
- Vlacheas, P.; Giaffreda, R.; Stavroulaki, V.; Kelaidonis, D.; Foteinos, V.; Poulios, G.; Demestichas, P.; Somov, A.; Biswas, A.R.; Moessner, K. Enabling smart cities through a cognitive management framework for the internet of things. IEEE Commun. Mag. 2013, 51, 102–111. [Google Scholar] [CrossRef]
- Aliee, F.S.; Kashfi, H.; Farahani, B. The evolving enterprise architecture: A digital transformation perspective. In Proceedings of the International Conference on Omni-Layer Intelligent Systems, Crete, Greece, 5–7 May 2019; pp. 179–183. [Google Scholar]
- Velasquez, K.; Abreu, D.P.; Goncalves, D.; Bittencourt, L.; Curado, M.; Monteiro, E.; Madeira, E. Service orchestration in fog environments. In Proceedings of the 2017 IEEE 5th International Conference on Future Internet of Things and Cloud (FiCloud), Prague, Czech Republic, 21–23 August 2017; pp. 329–336. [Google Scholar]
- Velasquez, K.; Abreu, D.P.; Assis, M.R.; Senna, C.; Aranha, D.F.; Bittencourt, L.F.; Laranjeiro, N.; Curado, M.; Vieira, M.; Monteiro, E.; et al. Fog orchestration for the internet of everything: State-of-the-art and research challenges. J. Internet Serv. Appl. 2018, 9, 1–23. [Google Scholar] [CrossRef]
- Liu, X.; Liu, Y.; Song, H.; Liu, A. Big data orchestration as a service network. IEEE Commun. Mag. 2017, 55, 94–101. [Google Scholar] [CrossRef]
- Huang, M.; Liu, Y.; Zhang, N.; Xiong, N.N.; Liu, A.; Zeng, Z.; Song, H. A services routing based caching scheme for cloud assisted CRNs. IEEE Access 2018, 6, 15787–15805. [Google Scholar] [CrossRef]
- Pilloni, V.; Abd-Elrahman, E.; Hadji, M.; Atzori, L.; Afifi, H. IoT_ProSe: Exploiting 3GPP services for task allocation in the Internet of Things. Ad Hoc Netw. 2017, 66, 26–39. [Google Scholar] [CrossRef]
- Elsts, A.; Bijarbooneh, F.H.; Jacobsson, M.; Sagonas, K. Profun tg: A tool for programming and managing performance-aware sensor network applications. In Proceedings of the 2015 IEEE 40th Local Computer Networks Conference Workshops (LCN Workshops), Clearwater Beach, FL, USA, 26–29 October 2015; pp. 751–759. [Google Scholar]
- Daniel, F.; Eriksson, J.; Finne, N.; Fuchs, H.; Gaglione, A.; Karnouskos, S.; Montero, P.M.; Mottola, L.; Oppermann, F.J.; Picco, G.P.; et al. makeSense: Real-world Business Processes through Wireless Sensor Networks. In Proceedings of the CONET/UBICITEC, Philadelphia, PA, USA, 8 April 2013; pp. 58–72. [Google Scholar]
- Ahmad, S.; Ali, J.; Jamil, F.; Whangbo, T.K.; Kim, D. Complex problems solution as a service based on predictive optimization and tasks orchestration in smart cities. Safety 2021, 7, 8. [Google Scholar] [CrossRef]
- Ahmad, S.; Kim, D.H. A task orchestration approach for efficient mountain fire detection based on microservice and predictive analysis In IoT environment. J. Intell. Fuzzy Syst. 2021, 40, 5681–5696. [Google Scholar]
- Bet, P.; Castro, P.C.; Ponti, M.A. Fall detection and fall risk assessment in older person using wearable sensors: A systematic review. Int. J. Med. Inform. 2019, 130, 103946. [Google Scholar] [CrossRef]
- Saidi, H.; Labraoui, N.; Ari, A.A.A.; Bouida, D. Remote health monitoring system of elderly based on Fog to Cloud (F2C) computing. In Proceedings of the 2020 International Conference on Intelligent Systems and Computer Vision (ISCV), Fez, Morocco, 9–11 June 2020; pp. 1–7. [Google Scholar]
- Lin, Z.; Lin, M.; Champagne, B.; Zhu, W.P.; Al-Dhahir, N. Secrecy-energy efficient hybrid beamforming for satellite-terrestrial integrated networks. IEEE Trans. Commun. 2021, 69, 6345–6360. [Google Scholar] [CrossRef]
- Lin, Z.; Lin, M.; De Cola, T.; Wang, J.B.; Zhu, W.P.; Cheng, J. Supporting IoT with rate-splitting multiple access in satellite and aerial-integrated networks. IEEE Internet Things J. 2021, 8, 11123–11134. [Google Scholar] [CrossRef]
- Lin, Z.; Lin, M.; Wang, J.B.; De Cola, T.; Wang, J. Joint beamforming and power allocation for satellite-terrestrial integrated networks with non-orthogonal multiple access. IEEE J. Sel. Top. Signal Process. 2019, 13, 657–670. [Google Scholar] [CrossRef]
- Malik, S.; Kim, D. A hybrid scheduling mechanism based on agent cooperation mechanism and fair emergency first in smart factory. IEEE Access 2020, 8, 227064–227075. [Google Scholar] [CrossRef]












| Approach | Focus | Advantage | Disadvantage |
|---|---|---|---|
| Orchestration in Smart Grid [17] | Real-time power allocation and task automation | Enhanced IoT applications, improved response | Emphasis on dynamic features, complexity |
| MDMT-MOA Architecture [5] | IoT enterprise design with orchestration | Efficient task coordination | Specific to enterprise IoT applications |
| CPSaaS Architecture [4] | Task orchestration in smart urban environments | Mission-critical architecture, predictive analysis | Specific to urban and fire detection |
| Healthcare Monitoring with IoT Orchestration [30] | Patient health monitoring with optimized scheduling | Improved response time, reduced latency | Focus on healthcare applications |
| Task-Level Orchestration [5] | Automation of service provision | Increased flexibility, dynamic management | Specific to service-oriented architecture |
| Task Scheduling Optimization [16] | Efficient task scheduling in IoT systems | Avoid resource idleness, improved performance | Challenges in real-time scheduling |
| IoT Task Orchestration [15,16] | Energy management in nano-grids | Efficient energy management, data-driven approach | Limited scope in nano-grid context |
| Term | Description |
|---|---|
| H | Participating nano-grid houses |
| battery | ESS system installed in-house |
| k | Index of house |
| A | Self-adequate energy |
| EL | Energy load |
| Photovoltaic | Photovoltaic power |
| remained | Remaining power |
| surplus | Surplus energy owned by N |
| rel | Releasing power |
| saved | Energy saved in ESS |
| sold | Sold energy |
| distributed | Energy distributed by all nano-grids |
| Technology Name | Detail |
|---|---|
| OS | Windows 10 for PC Server, Raspbian for edge Raspberry Pi |
| Programming language | Python Flask, JavaScript, HTML, CSS |
| Libraries | Bootstrap 3, Jinja 3, JSplumb for mapping |
| Server | Flask server |
| Persistence | MySQL |
| Browser | Chrome and Firefox |
| Core programming language | Python 3 |
Disclaimer/Publisher’s Note: The statements, opinions and data contained in all publications are solely those of the individual author(s) and contributor(s) and not of MDPI and/or the editor(s). MDPI and/or the editor(s) disclaim responsibility for any injury to people or property resulting from any ideas, methods, instructions or products referred to in the content. |
© 2023 by the authors. Licensee MDPI, Basel, Switzerland. This article is an open access article distributed under the terms and conditions of the Creative Commons Attribution (CC BY) license (https://creativecommons.org/licenses/by/4.0/).
Share and Cite
Qayyum, F.; Alkanhel, R.; Muthanna, A. Maximizing Efficiency in Energy Trading Operations through IoT-Integrated Digital Twins. Sensors 2023, 23, 9656. https://doi.org/10.3390/s23249656
Qayyum F, Alkanhel R, Muthanna A. Maximizing Efficiency in Energy Trading Operations through IoT-Integrated Digital Twins. Sensors. 2023; 23(24):9656. https://doi.org/10.3390/s23249656
Chicago/Turabian StyleQayyum, Faiza, Reem Alkanhel, and Ammar Muthanna. 2023. "Maximizing Efficiency in Energy Trading Operations through IoT-Integrated Digital Twins" Sensors 23, no. 24: 9656. https://doi.org/10.3390/s23249656
APA StyleQayyum, F., Alkanhel, R., & Muthanna, A. (2023). Maximizing Efficiency in Energy Trading Operations through IoT-Integrated Digital Twins. Sensors, 23(24), 9656. https://doi.org/10.3390/s23249656

