Design of a Prism-Grating Wide Spectral Range Transmittance Imaging Spectrometer
Abstract
1. Introduction
2. Principle and Design Process
2.1. Wide-Spectral-Band Achromatic Reduction Principle
2.2. Methods and Processes
3. Optimization Design of Optical Systems
3.1. Design Metrics
3.2. Design of a Forward Telescope System
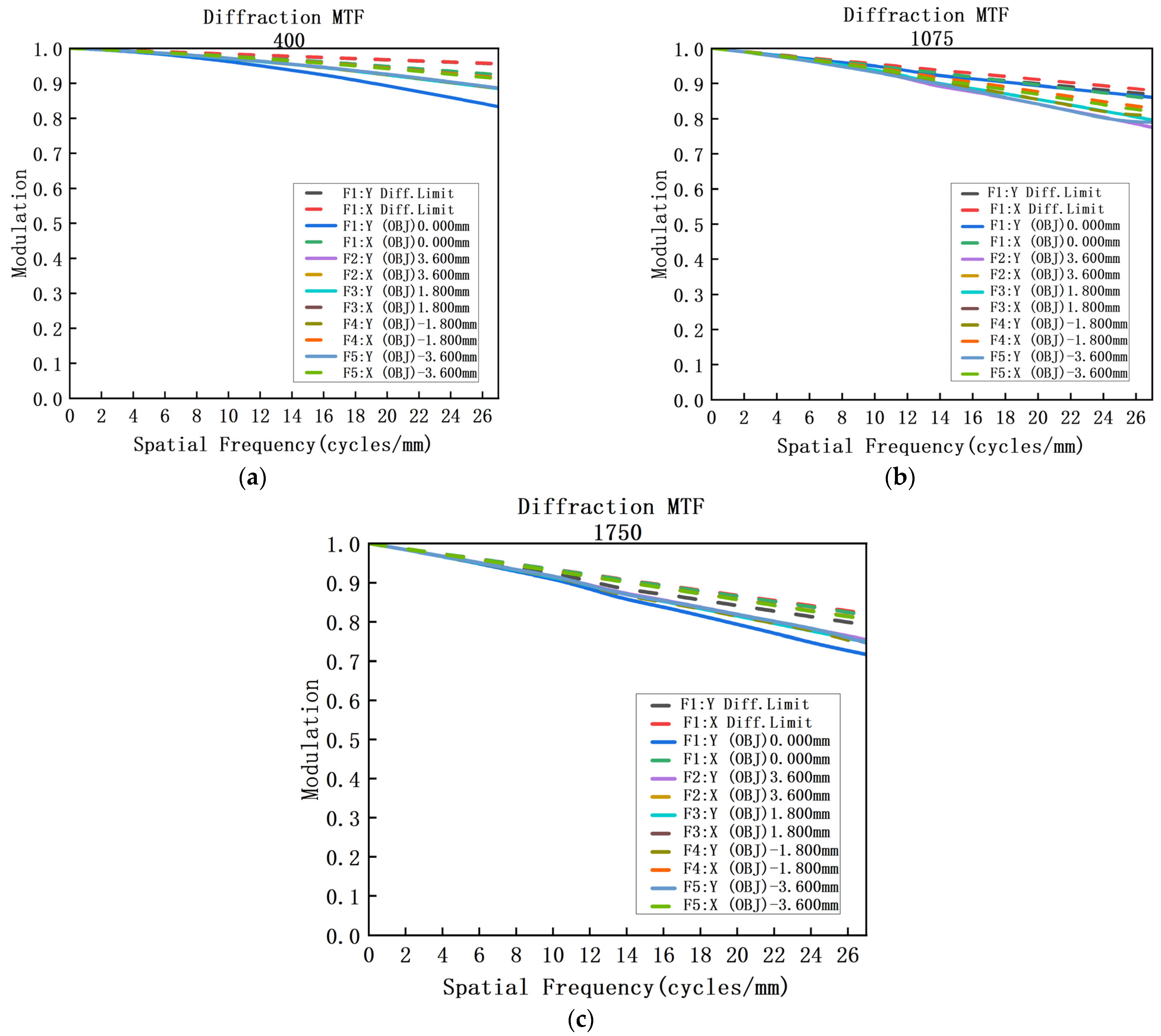
3.3. PG Spectrophotometer System Design
3.3.1. Prism-Grating Spectral Separation Principle
3.3.2. Diffraction Efficiency of Volume Bragg Grating
3.3.3. PG Imaging Spectrophotometer System Design
3.4. System Integration
4. Conclusions
Author Contributions
Funding
Institutional Review Board Statement
Informed Consent Statement
Data Availability Statement
Acknowledgments
Conflicts of Interest
References
- Sun, B.; Zhang, Y.; Yue, J.; Han, J.; Bai, L. Design of a modular transmission imaging spectrometer. Spectrosc. Spectr. Anal. 2015, 35, 1414–1418. [Google Scholar]
- Xue, Q.; Wang, N.; Yang, B. Design and research of a self-correcting imaging spectrometer system based on PGP. J. Opt. 2021, 41, 2322001. [Google Scholar]
- Sun, C.; Wang, M.; Cui, J.; Yao, X.; Chen, J. Comparison and analysis of wavelength calibration methods for prism—Grating imaging spectrometer. Results Phys. 2019, 12, 143–146. [Google Scholar] [CrossRef]
- Wu, C.; Yan, C. Imaging spectrometer optical design based on prism- grating-prism dispersing device. J. Appl. Opt. 2012, 33, 37–43. [Google Scholar]
- Epps, H.W.; Vogt, S.S. Extremely achromatic f/1.0 all-spherical camera constructed for the high-resolution echelle spectrometer of the Keck telescope. Appl. Opt. 1993, 32, 6270–6279. [Google Scholar] [CrossRef] [PubMed]
- Tecza, M.; Thatte, N.A.; Krabbe, A.; Tacconi-Garman, L.E. SPIFFI: A high-resolution near-infrared imaging spectrometer. In Infrared Astronomical Instrumentation; SPIE: Bellingham, DC, USA, 1998; Volume 3354, pp. 394–403. [Google Scholar]
- Kulko, R.D.; Pletl, A.; Mempel, H.; Wahl, F.; Elser, B. OpenVNT: An Open Platform for VIS-NIR Technology. Sensors 2023, 23, 3151. [Google Scholar] [CrossRef] [PubMed]
- Sobanski, N.; Tuzson, B.; Scheidegger, P.; Looser, H.; Hüglin, C.; Emmenegger, L. A High-Precision Mid-Infrared Spectrometer for Ambient HNO3 Measurements. Sensors 2022, 22, 9158. [Google Scholar] [CrossRef] [PubMed]
- Chen, J.; Yang, J.; Liu, J.; Liu, J.; Sun, C.; Li, X.; Cui, J. Optical design of a short-wave infrared prism-grating imaging spectrometer. Appl. Opt. 2018, 57, F8–F14. [Google Scholar] [CrossRef] [PubMed]
- Cho, J.Y.; Lee, S.; Jang, W.K. Performance-Enhanced Static Modulated Fourier Transform Spectrometer with a Spectral Reconstruction. Sensors 2023, 23, 2603. [Google Scholar] [CrossRef] [PubMed]
- Alonso, K.; Bachmann, M.; Burch, K.; Carmona, E.; Cerra, D.; De los Reyes, R.; Dietrich, D.; Heiden, U.; Hölderlin, A.; Ickes, J.; et al. Data products, quality and validation of the DLR earth sensing imaging spectrometer (DESIS). Sensors 2019, 19, 4471. [Google Scholar] [CrossRef]
- Yang, Z.P.; Tang, Y.G.; Pan, M.; Cui, J.; Yang, J. Optimization Design Method for Optical System of Prism-Grating Ultraspectral Imaging Spectrometers. J. Opt. 2014, 34, 140–148. [Google Scholar]
- Zhang, X.L.; Liu, Y.; Sun, Q.; Li, C.; Zhou, H. Design of long-wave infrared imaging spectrometer with eliminating spectral curvature. Opt. Precis. Eng. 2014, 22, 266–273. [Google Scholar] [CrossRef]
- Jin-lai, X.; Yan, G.; Dian-Meng, L.I. Optical design of the NA 0.75 plan-apochromatic microscope objective. Chin. Opt. 2015, 8, 957–963. [Google Scholar] [CrossRef]
- Lu, X.; Bai, Q. Design of front objective for wide spectrum imaging spectrometer. Infrared Laser Eng. 2012, 41, 2993–2996. [Google Scholar]
- Moharam, M.G.; Gaylord, T.K. Rigorous couple-wave analys is os planar-grating diffraction. OSA 1981, 71, 811–818. [Google Scholar] [CrossRef]
- Kogelnik, H. Couple wave theory for thick hologram grating. Bell Syst. Tech. J. 1969, 48, 2909–2947. [Google Scholar] [CrossRef]
- Dejun, F.; Guiyun, K.; Zhiguo, L.; Xiaoyi, D.; Shuo, L.; Dahe, L. Analysis of volume hologram grating through a matrix method. Acta Photonica Sin. 1999, 28, 1102–1106. [Google Scholar]
- Ye, X.; Yi, X.; Lin, C.; Fang, W.; Wang, K.; Xia, Z.; Quan, J. Instrument Development: Chinese Radiometric Benchmark of Reflected Solar Band Based on Space Cryogenic Absolute Radiometer. Remote Sens. 2020, 12, 2856. [Google Scholar] [CrossRef]
- Thuillier, G.; Zhu, P.; Snow, M.; Zhang, P.; Ye, X. Characteristics of solar-irradiance spectra from measurements, modeling, and theoretical approach. Light Sci. Appl. 2022, 11, 79. [Google Scholar] [CrossRef] [PubMed]














| Material | |||||
|---|---|---|---|---|---|
| N-PK52A | 1.4418 | 1.4284 | 1.4251 | 21.2345 | 0.1976 |
| HZF6 | 1.7403 | 1.7269 | 1.7236 | 7.6521 | 0.1347 |
| SILICA | 1.4701 | 1.4495 | 1.4415 | 15.7283 | 0.2788 |
| ZNS | 2.5589 | 2.2874 | 2.2677 | 4.4198 | 0.0679 |
| CAF2 | 1.5077 | 1.4896 | 1.4849 | 21.4741 | 0.2064 |
| N-BAK4 | 1.5869 | 1.5567 | 1.5485 | 14.4631 | 0.2003 |
| N-BAK2 | 1.5560 | 1.5290 | 1.5214 | 15.2956 | 0.2206 |
| N-BAK1 | 1.5902 | 1.5607 | 1.5529 | 15.0568 | 0.2041 |
| SK5 | 1.6061 | 1.5772 | 1.5685 | 15.3837 | 0.2331 |
| FK51 | 1.4966 | 1.4795 | 1.4744 | 21.6336 | 0.2261 |
| LAF20 | 1.7082 | 1.6663 | 1.6571 | 13.0154 | 0.1821 |
| K10 | 1.5172 | 1.4906 | 1.6677 | 14.2701 | 0.2254 |
| P-LAK35 | 1.7167 | 1.6781 | 1.6677 | 13.8225 | 0.2102 |
| N-PK52A | 1.4418 | 1.4284 | 1.4251 | 21.2345 | 0.1976 |
| Material Combination | |
|---|---|
| N-PK52A, HZF6 | 0.68 |
| CAF6, HZF6 | 0.76 |
| FK51, HZF6 | 0.96 |
| Performance | Value |
|---|---|
| Spectral range/nm | 400–1750 |
| F-number | 3.34 |
| Field of view/[(°)] | 2.5 |
| Slit size/mm | 6.45 |
| NA of imaging objective | 0.148 |
| System size/mm × mm × mm | 145 × 48 × 48 |
| Focal length of telescopic system/mm | 147 |
Disclaimer/Publisher’s Note: The statements, opinions and data contained in all publications are solely those of the individual author(s) and contributor(s) and not of MDPI and/or the editor(s). MDPI and/or the editor(s) disclaim responsibility for any injury to people or property resulting from any ideas, methods, instructions or products referred to in the content. |
© 2023 by the authors. Licensee MDPI, Basel, Switzerland. This article is an open access article distributed under the terms and conditions of the Creative Commons Attribution (CC BY) license (https://creativecommons.org/licenses/by/4.0/).
Share and Cite
Zhang, X.; Li, B.; Jiang, X.; Gu, G.; Li, H.; Wang, X.; Lin, G. Design of a Prism-Grating Wide Spectral Range Transmittance Imaging Spectrometer. Sensors 2023, 23, 5050. https://doi.org/10.3390/s23115050
Zhang X, Li B, Jiang X, Gu G, Li H, Wang X, Lin G. Design of a Prism-Grating Wide Spectral Range Transmittance Imaging Spectrometer. Sensors. 2023; 23(11):5050. https://doi.org/10.3390/s23115050
Chicago/Turabian StyleZhang, Xu, Bo Li, Xue Jiang, Guochao Gu, Hanshuang Li, Xiaoxu Wang, and Guanyu Lin. 2023. "Design of a Prism-Grating Wide Spectral Range Transmittance Imaging Spectrometer" Sensors 23, no. 11: 5050. https://doi.org/10.3390/s23115050
APA StyleZhang, X., Li, B., Jiang, X., Gu, G., Li, H., Wang, X., & Lin, G. (2023). Design of a Prism-Grating Wide Spectral Range Transmittance Imaging Spectrometer. Sensors, 23(11), 5050. https://doi.org/10.3390/s23115050

