Bragg Curve Detection of Low-Energy Protons by Radiophotoluminescence Imaging in Lithium Fluoride Thin Films
Abstract
1. Introduction
2. Materials and Methods
3. Results
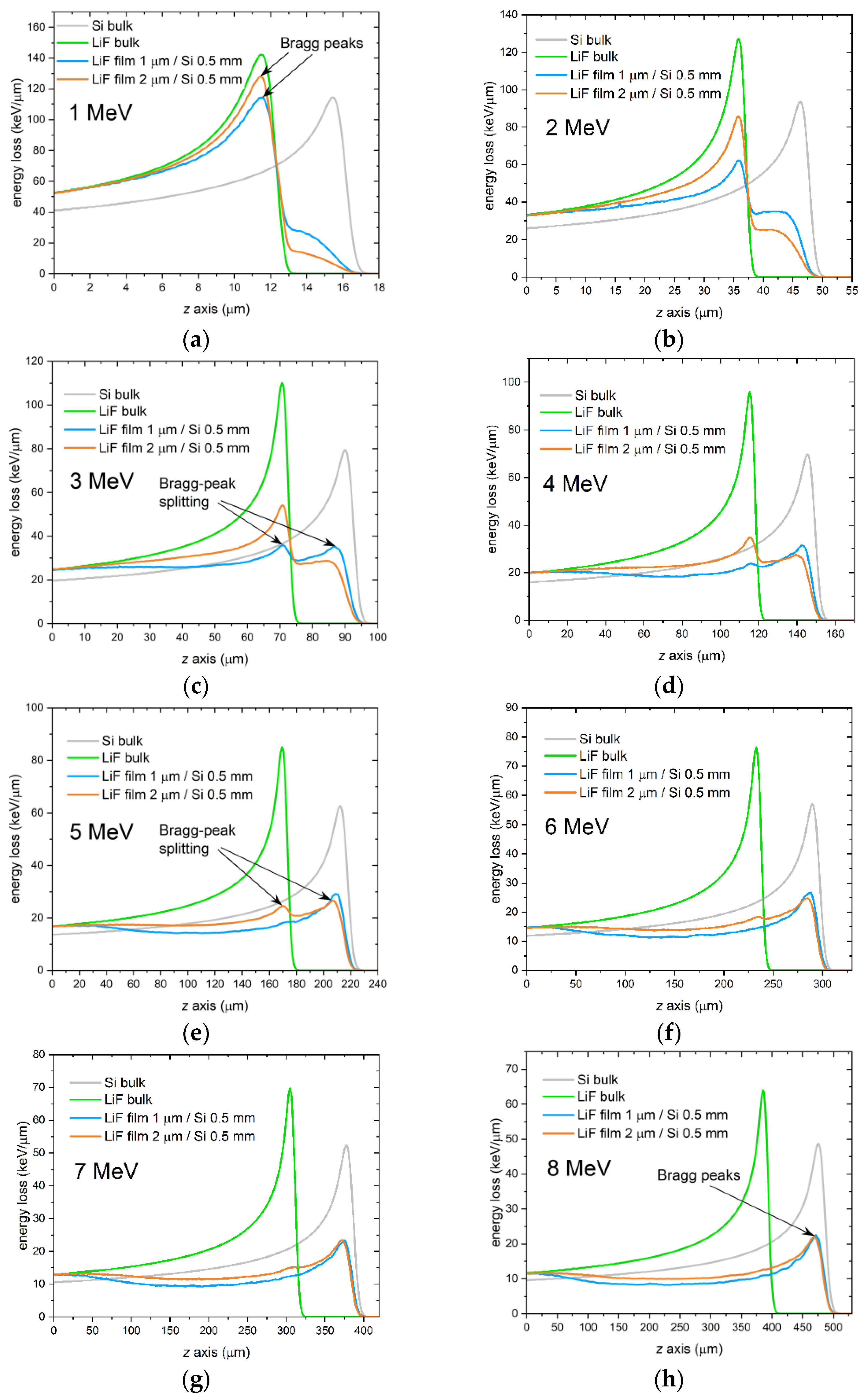
3.1. Monte Carlo Simulations
3.2. Bragg Curves in LiF Films Thermally Evaporated on Si Substrates
3.2.1. Thin Film Deposition
3.2.2. Optical Characterization
3.2.3. Bragg Curve Measurement and Analysis
4. Discussion
4.1. Role of the Grazing Incidence Angle
4.2. Role of the Film Packing Density
4.3. Role of the Film Thickness
5. Conclusions
Author Contributions
Funding
Institutional Review Board Statement
Informed Consent Statement
Data Availability Statement
Acknowledgments
Conflicts of Interest
References
- Levita, M.; Schlesinger, T. LiF dosimetry based on radiophotoluminescence (RPL). IEEE Trans. Nucl. Sci. 1976, 23, 667–674. [Google Scholar] [CrossRef]
- Maesh, K.; Weng, P.S.; Furetta, C. Thermoluminescence in Solids and Its Applications; Nuclear Technology Pub: Ashford, UK, 1989. [Google Scholar]
- Baldacchini, G.; Bonfigli, F.; Faenov, A.; Flora, F.; Montereali, R.M.; Pace, A.; Pikuz, T.; Reale, L. Lithium fluoride as a novel x-ray image detector for biological μ-world capture. J. Nanosci. Nanotechnol. 2003, 3, 483–486. [Google Scholar] [CrossRef]
- Gasilov, S.V.; Faenov, A.Y.; Pikuz, T.A.; Fukuda, Y.; Kando, M.; Kawachi, T.; Skobelev, I.Y.; Daido, H.; Kato, Y.; Bulanov, S.V. Wide-field-of-view phase-contrast imaging of nanostructures with a comparatively large polychromatic soft X-ray plasma source. Opt. Lett. 2009, 34, 3268–3270. [Google Scholar] [CrossRef]
- Pikuz, T.; Faenov, A.; Matsuoka, T.; Matsuyama, S.; Yamauchi, K.; Ozaki, N.; Albertazzi, B.; Inubushi, Y.; Yabashi, M.; Tono, K.; et al. 3D visualization of XFEL beam focusing properties using LiF crystal X-ray detector. Sci. Rep. 2015, 5, 17713. [Google Scholar] [CrossRef] [PubMed]
- Montereali, R.M.; Nichelatti, E.; Nigro, V.; Piccinini, M.; Vincenti, M.A. Radiophotoluminescence of color centers in lithium fluoride for novel radiation detectors in proton-beam diagnostics and clinical dosimetry. ECS J. Solid State Sci. Technol. 2021, 10, 116001. [Google Scholar] [CrossRef]
- Nielsen, C.L.; Turtos, R.M.; Bondesgaard, M.; Nyemann, J.S.; Jensen, M.L.; Iversen, B.B.; Muren, L.P.; Julsgaard, B.; Balling, P. A Novel Nanocomposite Material for Optically Stimulated Luminescence Dosimetry. Nano Lett. 2022, 22, 1566–1572. [Google Scholar] [CrossRef] [PubMed]
- Yanagida, T.; Okada, G.; Kato, T.; Nakauchi, D.; Kawaguchi, N. A review and future of RPL dosimetry. Radiat. Meas. 2022, 158, 106847. [Google Scholar] [CrossRef]
- Voitovich, A.P.; Kalinov, V.S.; Mikhnov, S.A.; Ovsechuk, S.I. Investigation of spectral and energy characteristics of green radiation generated in lithium fluoride with radiation color centers. Sov. J. Quantum Electron. 1987, 17, 780. [Google Scholar] [CrossRef]
- Basiev, T.T.; Mirov, S.B.; Osiko, V.V. Room-temperature color center laser. IEEE J. Quantum Electron. 1988, 24, 1052–1069. [Google Scholar] [CrossRef]
- Ter-Mikirtychev, V.V.; Tsuboi, T.T. Stable room-temperature tunable color center lasers and passive Q-switchers. Prog. Quantum Electron. 1996, 20, 219–268. [Google Scholar] [CrossRef]
- Nahum, J.; Wiegand, D.A. Optical properties of some F-aggregate centers in LiF. Phys. Rev. 1967, 154, 817–830. [Google Scholar] [CrossRef]
- Agullo-Lopez, F.; Catlow, C.R.A.; Townsend, P.D. Point Defects in Materials; Academic Press: New York, NY, USA, 1988. [Google Scholar]
- Baldacchini, G.; De Nicola, E.; Montereali, R.M.; Scacco, A.; Kalinov, V. Optical bands of F2 and F3+ centers in LiF. J. Phys. Chem. Solids 2000, 61, 21–26. [Google Scholar] [CrossRef]
- Itoh, N.; Stoneham, M. Materials Modification by Electronic Excitation; University Press: Cambridge, UK, 2001. [Google Scholar]
- Kumar, M.; Singh, F.; Khan, S.A.; Baranwal, V.; Kumar, S.; Agarwal, D.C.; Siddqui, A.M.; Tripathy, A.; Gupta, A.; Avasthi, D.K.; et al. Swift heavy ion induced structural and optical modifications in LiF thin films. J. Phys. D Appl. Phys. 2005, 38, 637. [Google Scholar] [CrossRef]
- Mussi, V.; Granone, F.; Marolo, T.; Montereali, R.M.; Boragno, C.; Buatier de Mongeot, F.; Valbusa, U. Surface nanostructuring and optical activation of lithium fluoride crystals by ion beam irradiation. Appl. Phys. Lett. 2006, 88, 103116–103118. [Google Scholar] [CrossRef]
- Kurobori, T.; Matoba, A. Development of accurate two-dimensional dose-imaging detectors using atomic-scale color centers in Ag-activated phosphate glass and LiF thin films. Jpn. J. Appl. Phys. 2014, 53, 02BD14. [Google Scholar] [CrossRef]
- Montereali, R.M. Point defects in thin insulating films of lithium fluoride for optical microsystems. In Ferroelectric and Dielectric Thin Films, Handbook of Thin Film Materials; Nalwa, H.S., Ed.; Academic Press: San Diego, CA, USA, 2002; Volume 3, pp. 399–431. [Google Scholar]
- Turak, A. On the Role of LiF in Organic Optoelectronics. Electron. Mater. 2021, 2, 198. [Google Scholar] [CrossRef]
- Kadyrzhanov, K.K.; Shlimas, D.I.; Kozlovskiy, A.L.; Zdorovets, M.V. Research of the shielding effect and radiation resistance of composite CuBi2O4 films as well as their practical applications. J. Mater. Sci. Mater. Electron. 2020, 31, 11729–11740. [Google Scholar] [CrossRef]
- Kozlovskiy, A.L.; Zdorovets, M.V. Synthesis, structural, strength and corrosion properties of thin films of the type CuX (X = Bi, Mg, Ni). J. Mater. Sci.: Mater. Electron. 2019, 30, 11819–11832. [Google Scholar] [CrossRef]
- Langheinrich, W.; Vescan, A.; Spangenberg, B.; Beneking, H. Homogeneous lithium fluoride films as a high resolution-electron beam resist. Microelectron. Eng. 1992, 17, 287–290. [Google Scholar] [CrossRef]
- Cremona, M.; Achete, C.A.; Guimaraes, P.I. Silicon diffusion on LiF films deposited on Si(100) induced by electron beam. Thin Solid Films 2001, 349, 398–399. [Google Scholar] [CrossRef]
- Montereali, R.M.; Bonfigli, F.; Lancok, J.; Mancini, A.; Mussi, V.; Pace, A.; Santoni, A.; Vincenti, M.A. Growth and Characterization of Very Thin Lithium Fluoride Films. In Proceedings of the 14th International Workshop on Inorganic and Organic Electroluminescence & 2008 International Conference on the Science and Technology of Emissive Displays and Lighting, Bagni di Tivoli, Rome, Italy, 9–12 September 2008; Baldacchini, G., Montereali, R.M., Vincenti, M.A., Eds.; 2008; pp. 291–294. [Google Scholar]
- Vincenti, M.A.; Leoncini, M.; Libera, S.; Ampollini, A.; Mancini, A.; Nichelatti, E.; Nigro, V.; Picardi, L.; Piccinini, M.; Ronsivalle, C.; et al. Enhanced F2 and F3+ colour centres photoluminescence response of LiF film-based detectors for proton beams. Opt. Mater. 2021, 119, 111376. [Google Scholar] [CrossRef]
- Bilski, P.; Marczewska, B. Fluorescent detection of single tracks of alpha particles using lithium fluoride crystals. Nucl. Instrum. Methods Phys. Res. B 2017, 392, 41. [Google Scholar] [CrossRef]
- Bilski, P.; Marczewska, B.; Gieszczyk, W.; Kłosowski, M.; Naruszewicz, M.; Zhydachevskyy, Y.; Sankowska, M.; Kodaira, S. Fluorescent imaging of heavy charged particle tracks with LiF single crystals. J. Lumin. 2019, 213, 82–87. [Google Scholar] [CrossRef]
- Piccinini, M.; Ambrosini, A.; Ampollini, A.; Carpanese, M.; Picardi, L.; Ronsivalle, C.; Bonfigli, F.; Libera, S.; Vincenti, M.A.; Montereali, R.M. Solid state detectors based on point defects in lithium fluoride for advanced proton beam diagnostics. J. Lumin. 2014, 156, 170–174. [Google Scholar] [CrossRef]
- Piccinini, M.; Nichelatti, E.; Ampollini, A.; Bazzano, G.; De Angelis, C.; Della Monaca, S.; Nenzi, P.; Picardi, L.; Ronsivalle, C.; Surrenti, V.; et al. Dose response and Bragg curve reconstruction by radiophotoluminescence of color centers in lithium fluoride crystals irradiated with 35 MeV proton beams from 0.5 to 50 Gy. Radiat. Meas. 2020, 133, 106275. [Google Scholar] [CrossRef]
- Martin, J.; Bishoff, L.; Wannemacher, R. Microscopy of ion-beam generated fluorescent color-center patterns in LiF. Opt. Commun. 2001, 188, 119–128. [Google Scholar] [CrossRef]
- Piccinini, M.; Ambrosini, F.; Ampollini, A.; Picardi, L.; Ronsivalle, C.; Bonfigli, F.; Libera, S.; Nichelatti, E.; Vincenti, M.A.; Montereali, R.M. Photoluminescence of radiation-induced color centers in lithium fluoride thin films for advanced diagnostics of proton beams. Appl. Phys. Lett. 2015, 106, 261108. [Google Scholar] [CrossRef]
- Nichelatti, E.; Piccinini, M.; Ampollini, A.; Picardi, L.; Ronsivalle, C.; Bonfigli, F.; Vincenti, M.A.; Montereali, R.M. Bragg-curve imaging of 7 MeV protons in a lithium fluoride crystal by fluorescence microscopy of colour centres. EPL 2017, 120, 56003. [Google Scholar] [CrossRef]
- Nichelatti, E.; Nigro, V.; Piccinini, M.; Vincenti, M.A.; Ampollini, A.; Picardi, L.; Ronsivalle, C.; Montereali, R.M. Photoluminescent Bragg curves in lithium fluoride thin films on silicon substrates irradiated with a 35 MeV proton beam. J. Appl. Phys. 2022, 132, 014501. [Google Scholar] [CrossRef]
- BioTrack Project Webpage. Available online: https://www.biotrack.enea.it/en/ (accessed on 4 April 2023).
- Piccinini, M.; Ampollini, A.; Picardi, L.; Ronsivalle, C.; Bonfigli, F.; Libera, S.; Vincenti, M.A.; Montereali, R.M. Lithium fluoride colour centres-based imaging detectors for proton beam characterization at high doses. Radiat. Meas. 2016, 90, 188–191. [Google Scholar] [CrossRef]
- Piccinini, M.; Nichelatti, E.; Ampollini, A.; Picardi, L.; Ronsivalle, C.; Bonfigli, F.; Libera, S.; Vincenti, M.A.; Montereali, R.M. Proton beam dose-mapping via color centers in LiF thin-film detectors by fluorescence microscopy. EPL 2017, 117, 37004. [Google Scholar] [CrossRef]
- Nichelatti, E.; Piccinini, M.; Ampollini, A.; Picardi, L.; Ronsivalle, C.; Bonfigli, F.; Vincenti, M.A.; Montereali, R.M. Modelling of photoluminescence from F2 and F3+ colour centres in lithium fluoride irradiated at high doses by low-energy proton beams. Opt. Mater. 2019, 89, 414–418. [Google Scholar] [CrossRef]
- ImageJ (Image Processing and Analysis in Java) Webpage. Available online: https://imagej.net/ij/index.html (accessed on 4 April 2023).
- The Official CERN FLUKA Website. Available online: https://fluka.cern (accessed on 24 March 2023).
- Battistoni, G.; Boehlen, T.; Cerutti, F.; Chin, P.W.; Esposito, L.S.; Fassò, A.; Ferrari, A.; Lechner, A.; Empl, A.; Mairani, A.; et al. Overview of the FLUKA code. Ann. Nucl. Energy 2015, 82, 10–18. [Google Scholar] [CrossRef]
- Ahdida, C.; Bozzato, D.; Calzolari, D.; Cerutti, F.; Charitonidis, N.; Cimmino, A.; Coronetti, A.; D’Alessandro, G.L.; Donadon Servelle, A.; Esposito, L.S.; et al. New Capabilities of the FLUKA Multi-Purpose Code. Front. Phys. 2022, 9, 788253. [Google Scholar] [CrossRef]
- Vlachoudis, V. FLAIR: A Powerful But User Friendly Graphical Interface For FLUKA. In Proceedings of the International Conference on Mathematics, Computational Methods, and Reactor Physics (M&C2009), Saratoga Springs, New York, NY, USA, 3–7 May 2009. [Google Scholar]
- Patnaik, P. Handbook of Inorganic Chemicals; McGraw-Hill: New York, NY, USA, 2002; p. 500. [Google Scholar]
- Patnaik, P. Handbook of Inorganic Chemicals; McGraw-Hill: New York, NY, USA, 2002; pp. 818–822. [Google Scholar]
- Montecchi, M.; Montereali, R.M.; Nichelatti, E. Reflectance and transmittance of a slightly inhomogeneous film bounded by rough, unparallel interfaces. Thin Solid Films 2001, 396, 262–273, Erratum in Thin Solid Films 2002, 402, 311. [Google Scholar] [CrossRef]
- Palik, E.D.; Hunter, W.R. Lithium Fluoride (LiF). In Handbook of Optical Constants of Solids; Palik, E.D., Ed.; Academic Press: San Diego, CA, USA, 1985; Volume 1, pp. 675–694. [Google Scholar]
- Knoll, G.F. Radiation Detection and Measurement, 4th ed.; John Wiley & Sons: Castleton, NY, USA, 2010; p. 40. [Google Scholar]













| Parameter | Value |
|---|---|
| Pulse length | 15 to 60 µs |
| Pulse repetition frequency | 25 Hz |
| Flux per pulse | 106 to 2 × 107 p/cm2/pulse |
| Energy from the injector | 3–7 MeV |
| Energy on target | 1–6 MeV |
| Energy spread on target 1 | 80–90 keV |
| Maximum beam diameter on target | 16 mm |
| Transverse homogeneity on target | ±5% |
Disclaimer/Publisher’s Note: The statements, opinions and data contained in all publications are solely those of the individual author(s) and contributor(s) and not of MDPI and/or the editor(s). MDPI and/or the editor(s) disclaim responsibility for any injury to people or property resulting from any ideas, methods, instructions or products referred to in the content. |
© 2023 by the authors. Licensee MDPI, Basel, Switzerland. This article is an open access article distributed under the terms and conditions of the Creative Commons Attribution (CC BY) license (https://creativecommons.org/licenses/by/4.0/).
Share and Cite
Montereali, R.M.; Nigro, V.; Piccinini, M.; Vincenti, M.A.; Ampollini, A.; Nenzi, P.; Ronsivalle, C.; Nichelatti, E. Bragg Curve Detection of Low-Energy Protons by Radiophotoluminescence Imaging in Lithium Fluoride Thin Films. Sensors 2023, 23, 4779. https://doi.org/10.3390/s23104779
Montereali RM, Nigro V, Piccinini M, Vincenti MA, Ampollini A, Nenzi P, Ronsivalle C, Nichelatti E. Bragg Curve Detection of Low-Energy Protons by Radiophotoluminescence Imaging in Lithium Fluoride Thin Films. Sensors. 2023; 23(10):4779. https://doi.org/10.3390/s23104779
Chicago/Turabian StyleMontereali, Rosa Maria, Valentina Nigro, Massimo Piccinini, Maria Aurora Vincenti, Alessandro Ampollini, Paolo Nenzi, Concetta Ronsivalle, and Enrico Nichelatti. 2023. "Bragg Curve Detection of Low-Energy Protons by Radiophotoluminescence Imaging in Lithium Fluoride Thin Films" Sensors 23, no. 10: 4779. https://doi.org/10.3390/s23104779
APA StyleMontereali, R. M., Nigro, V., Piccinini, M., Vincenti, M. A., Ampollini, A., Nenzi, P., Ronsivalle, C., & Nichelatti, E. (2023). Bragg Curve Detection of Low-Energy Protons by Radiophotoluminescence Imaging in Lithium Fluoride Thin Films. Sensors, 23(10), 4779. https://doi.org/10.3390/s23104779

