A Compact Optical MEMS Pressure Sensor Based on Fabry–Pérot Interference
Abstract
1. Introduction
2. Design and Mechanism
2.1. Working Mechanism
2.2. Pressure Sensing Diaphragm
2.3. FP Cavity
3. Fabrication and Packaging
3.1. Fabrication of the Diaphragm
3.2. Packaging of the Sensor Chip
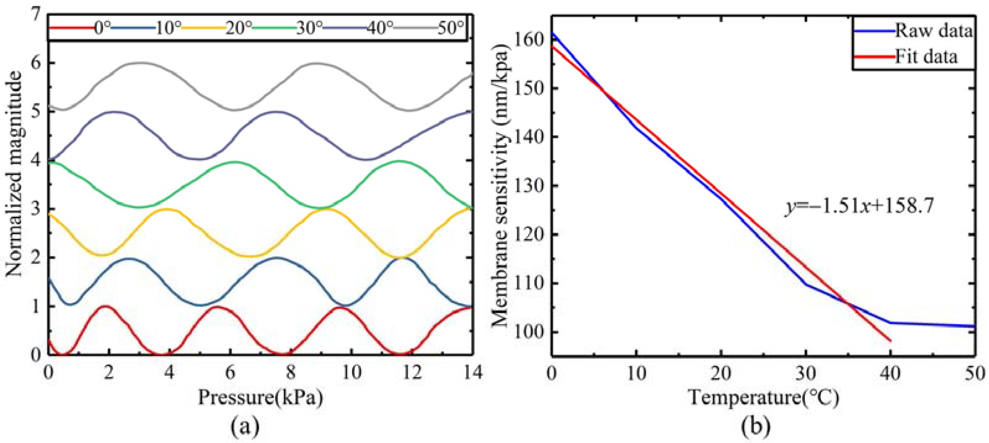
4. Performance Calibration
5. Conclusions
Author Contributions
Funding
Data Availability Statement
Conflicts of Interest
References
- Naess, A. Estimation of long return period design values for wind speeds. J. Eng. Mech. 1998, 124, 252–259. [Google Scholar] [CrossRef]
- Marchigiani, R.; Gordy, S.; Cipolla, J.; Adams, R.C.; Evans, D.C.; Stehly, C.; Galwankar, S.; Russell, S.; Marco, A.P.; Kman, N.; et al. Wind disasters: A comprehensive review of current management strategies. Int. J. Crit. Illn. Inj. Sci. 2013, 3, 130–142. [Google Scholar]
- Li, Q.; Junjian, Y.; Wei, L. Random wind-induced response analysis of transmission tower-line system. Energy Procedia 2012, 16, 1813–1821. [Google Scholar] [CrossRef][Green Version]
- Kordrostami, Z.; Hassanli, K.; Akbarian, A. MEMS piezoresistive pressure sensor with patterned thinning of diaphragm. Microelectron. Int. 2020, 37, 147–153. [Google Scholar] [CrossRef]
- Akiyama, M.; Morofuji, Y.; Kamohara, T.; Nishikubo, K.; Tsubai, M.; Fukuda, O.; Ueno, N. Flexible piezoelectric pressure sensors using oriented aluminum nitride thin films prepared on polyethylene terephthalate films. J. Appl. Phys. 2006, 100, 1715. [Google Scholar] [CrossRef]
- Zhao, M.; Wei, X.; Bai, H.; Wang, H. Design and simulation of a MEMS Fabry–Perot accelerometer with ultra-low cross-axis sensitivity. Smart Mater. Struct. 2020, 29, 085029. [Google Scholar] [CrossRef]
- Yan, P.; Lu, Y.; Xiang, C.; Wang, J.; Chen, J. A temperature-insensitive resonant pressure micro sensor based on silicon-on-glass vacuum packaging. Sensors 2019, 19, 3866. [Google Scholar] [CrossRef]
- Takahashi, K.; Fujie, T.; Sato, N.; Takeoka, S.; Sawada, K. MEMS optical interferometry-based pressure sensor using elastomer nanosheet developed by dry transfer technique. Jpn. J. Appl. Phys. 2018, 57, 010302. [Google Scholar] [CrossRef]
- Parthasarathy, E.; Malarvizhi, S. Modeling analysis and fabrication of MEMS capacitive differential pressure sensor for altimeter application. J. Chin. Inst. Eng. 2018, 41, 206–215. [Google Scholar] [CrossRef]
- Hayati, M.; Fathipour, M.; Vaziri, H.S. Design and analysis of hairpin piezoresistive pressure sensor with improved linearity using square and circular diaphragms. Micro. Nano. Lett. 2018, 13, 1046–1051. [Google Scholar] [CrossRef]
- Li, Y.; Lu, Y.; Xie, B.; Chen, J.; Wang, J.; Chen, D. A micromachined resonant differential pressure sensor. IEEE Trans. Electron Devices 2020, 67, 640–645. [Google Scholar] [CrossRef]
- Waseem, A.; Johar, M.A.; Hassan, M.A.; Bagal, I.V.; Abdullah, A.; Ha, J.S.; Lee, J.K.; Ryu, S.W. Flexible self-powered piezoelectric pressure sensor based on GaN/p-GaN coaxial nanowires. J. Alloy. Compd. 2021, 872, 159661. [Google Scholar] [CrossRef]
- Merdassi, A.; Allan, C.; Harvey, E.J.; Chodavarapu, V.P. Capacitive MEMS absolute pressure sensor using a modified commercial microfabrication process. Microsyst. Technol. 2017, 23, 3215–3225. [Google Scholar] [CrossRef]
- Zhang, J.H.; Chen, J.X.; Li, M.; Ge, Y.X.; Wang, T.T.; Shan, P.; Mao, X.L. Design, fabrication, and implementation of an array-type MEMS piezoresistive intelligent pressure sensor system. Micromachines 2018, 9, 104. [Google Scholar] [CrossRef]
- Sweeney, D.C.; Schrell, A.M.; Liu, Y.; Petrie, C.M. Metal-embedded fiber optic sensor packaging and signal demodulation scheme towards high-frequency dynamic measurements in harsh environments. Sens. Actuators A Phys. 2020, 312, 112075. [Google Scholar] [CrossRef]
- Liu, J.; Jia, P.G.; Feng, F.; An, G.W.; Liang, T.; Hong, Y.P.; Xiong, J.J. MgO single crystals MEMS-based fiber-optic fabry-perot pressure sensor for harsh monitoring. IEEE Sens. J. 2021, 21, 4272–4279. [Google Scholar] [CrossRef]
- Zhou, N.; Jia, P.; Liu, J.; Ren, Q.; Xiong, J. MEMS-based reflective intensity-modulated fiber-optic sensor for pressure measurements. Sensors 2020, 20, 2233. [Google Scholar] [CrossRef]
- Wang, X.; Wang, S.; Jiang, J.F.; Liu, K.; Xiao, M.N.; Chen, X.J.; Zhang, D.H.; Liu, T.G. An MEMS optical fiber pressure sensor fabricated by Au-Au thermal-compression bonding. Adv. Opt. Sens. Appl. 2017, 28, 10618. [Google Scholar]
- Pachava, V.R.; Kamineni, S.; Madhuvarasu, S.S.; Putha, K. A high sensitive FBG pressure sensor using thin metal diaphragm. J. Opt. -UK 2014, 43, 117–121. [Google Scholar] [CrossRef]
- Liu, B.; Lin, J.; Liu, H.; Ma, Y.; Yan, L.; Jin, P. Diaphragm based long cavity Fabry–Perot fiber acoustic sensor using phase generated carrier. Opt. Commun. 2017, 382, 514–518. [Google Scholar] [CrossRef]
- Zhang, P.; Wang, C.; Wan, L.; Zhang, Q.; Gong, Z.; Qin, Z.; Chan, C.C. Opto-microfluidic fabry-perot sensor with extended air cavity and enhanced pressure sensitivity. Micromachines 2022, 13, 19. [Google Scholar] [CrossRef] [PubMed]
- Zhou, X.; Yu, Q.; Peng, W. Fiber-optic Fabry–Perot pressure sensor for down-hole application. Opt. Lasers Eng. 2019, 121, 289–299. [Google Scholar] [CrossRef]
- Zhao, M.H.; Jiang, K.L.; Bai, H.W.; Wang, H.R.; Wei, X.Y. A MEMS based Fabry-Perot accelerometer with high resolution. Microsyst. Technol. 2020, 26, 1961–1969. [Google Scholar] [CrossRef]
- Tian, B.; Li, K.K.; Liu, J.J.; Zhao, N.; Lin, Q.J.; Zhao, Y.L.; Jiang, Z.D. Eccentric reflective optical fiber MEMS micro-pressure sensor. J. Micromech. Microeng. 2020, 30, 085010. [Google Scholar] [CrossRef]
- Han, X.D.; Li, D.T.; Cheng, Y.J.; Li, G.; Wang, C.X. Analysis on edge effect of MEMS capacitance diaphragm gauge with square pressure-sensing diaphragm. Microsyst. Technol. 2019, 25, 2907–2914. [Google Scholar] [CrossRef]
- Faria, J.B. A theoretical analysis of the Bifurcated fiber bundle displacement sensor. IEEE Trans. Instrum. Meas. 1998, 47, 742–747. [Google Scholar] [CrossRef]
- Wang, Q.; Ma, Z. Feedback-stabilized interrogation technique for optical Fabry–Perot acoustic sensor using a tunable fiber laser. Opt. Laser Technol. 2013, 51, 43–46. [Google Scholar] [CrossRef]
- Yu, Z.; Wang, A. Fast white light interferometry demodulation algorithm for low-finesse Fabry–Pérot sensors. IEEE Photonics Technol. Lett. 2015, 27, 817–820. [Google Scholar] [CrossRef]
- Agrawal, V.K.; Patel, R.; Boolchandani, D.; Rangra, K.J. Design and analysis of MEMS piezoresistive rectangular paddle microcantilever based wind speed sensor. Integr. Ferroelectr. 2018, 193, 43–58. [Google Scholar] [CrossRef]
- Xu, F.; Ren, D.; Shi, X.; Li, C.; Lu, W.; Lu, L.; Lu, L.; Yu, B. High-sensitivity Fabry–Perot interferometric pressure sensor based on a nanothick silver diaphragm. Opt. Lett. 2012, 37, 133–135. [Google Scholar] [CrossRef]
- Tian, B.; Zhan, F.; Han, F.; Li, K.; Zhao, N.; Yang, N.; Jiang, Z. An optical fiber Fabry–Pérot micro-pressure sensor based on beam-membrane structure. Meas. Sci. Technol. 2018, 29, 125104. [Google Scholar] [CrossRef]












| Working Range | Transmission Medium | Sensitivity | Demodulation Device | |
|---|---|---|---|---|
| our work | 0–700 Pa | Space | 117.5 nm/kPa | Vcsel and PD |
| [30] | 0–50 kPa | Fiber | 70.5 nm/kPa | Broadband light source and Spectrometer |
| [21] | 2 kPa–7 kPa | Fiber | 32.4 µm/kPa | Broadband light source and Spectrometer |
| [31] | 0–10 kPa | Fiber | 242 nm/KPa | Broadband light source and Spectrometer |
Publisher’s Note: MDPI stays neutral with regard to jurisdictional claims in published maps and institutional affiliations. |
© 2022 by the authors. Licensee MDPI, Basel, Switzerland. This article is an open access article distributed under the terms and conditions of the Creative Commons Attribution (CC BY) license (https://creativecommons.org/licenses/by/4.0/).
Share and Cite
Qi, Y.; Zhao, M.; Li, B.; Ren, Z.; Li, B.; Wei, X. A Compact Optical MEMS Pressure Sensor Based on Fabry–Pérot Interference. Sensors 2022, 22, 1973. https://doi.org/10.3390/s22051973
Qi Y, Zhao M, Li B, Ren Z, Li B, Wei X. A Compact Optical MEMS Pressure Sensor Based on Fabry–Pérot Interference. Sensors. 2022; 22(5):1973. https://doi.org/10.3390/s22051973
Chicago/Turabian StyleQi, Yonghong, Minghui Zhao, Bo Li, Ziming Ren, Bing Li, and Xueyong Wei. 2022. "A Compact Optical MEMS Pressure Sensor Based on Fabry–Pérot Interference" Sensors 22, no. 5: 1973. https://doi.org/10.3390/s22051973
APA StyleQi, Y., Zhao, M., Li, B., Ren, Z., Li, B., & Wei, X. (2022). A Compact Optical MEMS Pressure Sensor Based on Fabry–Pérot Interference. Sensors, 22(5), 1973. https://doi.org/10.3390/s22051973

