Simultaneous Determination of Caffeic Acid and Ferulic Acid Using a Carbon Nanofiber-Based Screen-Printed Sensor
Abstract
1. Introduction
2. Materials and Methods
2.1. Reagents and Solutions Used
2.2. Equipment and Determinations
2.3. Phyto-Homeopathic Product and Test Sample Preparation
- -
- The aerial part of Silurium (Euphrasia officinalis), an herbaceous plant, found mainly in Europe, rich in glycosides, flavonoids, tannin, polyphenolcarboxylic acids (caffeic, ferulic), amino acids, vitamins (vitamin C, vitamin A), and minerals (silicon, iron, magnesium, phosphorus, potassium, zinc), having anti-inflammatory, cholagogue, hepatoprotective, and hypoglycemic effect, being recommended as an adjuvant in liver diseases, diabetes, eye diseases (conjunctivitis, inflammation of the lacrimal gland, ocular trauma, dystrophic diseases), respiratory diseases, and digestive diseases.
- -
- The root of the Goldenseal plant (Hydrastis Canadensis) is considered a natural antibiotic due to its antibacterial, antifungal effect, and a protector of the body’s mucous membranes due to its alkaloid content with an immunostimulating, antispasmodic, sedative, hypotensive, tonic-uterine, choleretic and carminative effect.
- -
- Dandelion root (Taraxacum officinale) which is rich in vitamins (A, B, C and D), proteins, and carbohydrates, with detoxifying, choleretic-cholagogues, diuretic, laxative effects, being recommended as an adjuvant in liver, digestive, cardiovascular and anemia diseases.
- -
- Raspberry leaf (Rubus idaeus) containing pectins, organic acids (citric acid, malic acid), vitamins (vitamin A, B-complex, vitamin C, vitamin E), minerals (copper, calcium, iron, iodine, potassium), and tannin. This plant has antioxidant, diuretic, anti-inflammatory, astringent, carminative, depurative effects, and is recommended as an adjuvant in gynecological disorders, premenstrual syndrome, dysmenorrhea, menopause, gastrointestinal disorders, and respiratory disorders.
- -
- Fennel fruit (Foeniculum vulgare) is rich in dietary fiber, vitamins (B complex, vitamin C), and minerals (calcium, iron, magnesium, phosphorus, potassium, zinc), with a carminative, antispasmodic, sedative, nervous tonic, expectorant, diuretic, hypotensive, and galactogenic effect, and is recommended as an adjuvant in gastrointestinal disorders, respiratory disorders, and depressive conditions.
- -
- Ulm bark (Ulmus rubra) is rich in minerals (magnesium, calcium, iron, manganese, potassium, phosphorus), vitamins (vitamin B1, B2, B3, vitamin C), tannin, and phytosterols (beta-sitosterol, campesterol), with an emollient, expectorant, diuretic, anti-inflammatory, antioxidant, detoxifying, digestive effect, being recommended as an adjuvant in respiratory diseases, and gastrointestinal diseases (diarrhea, irritable bowel syndrome, indigestion, gastroesophageal reflux). The eye blend Secom is taken as 2 capsules twice a day with meals, and is contraindicated in bile duct blockage, acute cholecystitis, and/or intestinal obstruction.
2.4. Preliminary Studies for the Characterization of the Electrode
3. Results and Discussions
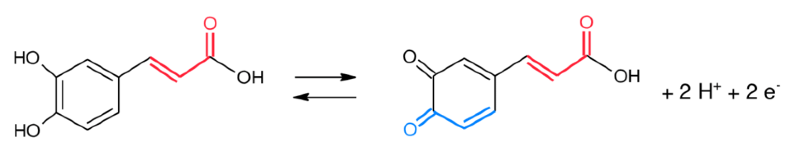
3.1. Voltammetric Behavior of CNF/SPE in Ferulic Acid and Caffeic Acid Solutions
3.2. Influence of FA and CA Concentration on the Electrochemical Response
- -
- Iobs is the observed cathodic current after the addition of analytes, μA;
- -
- Iini is the initial cathodic current before the addition of analytes, μA.
3.3. Interference Studies
3.4. Sensor Stability and Repeatability
3.5. Simultaneous Determination of CA and FA in the Eye Blend Product
3.6. Determination of Antioxidant Capacity of CA and FA by DPPH Method and Correlation with Voltammetric Results
4. Conclusions
Author Contributions
Funding
Institutional Review Board Statement
Informed Consent Statement
Data Availability Statement
Conflicts of Interest
References
- Dwyer, J.T.; Coates, P.M.; Smith, M.J. Dietary Supplements: Regulatory Challenges and Research Resources. Nutrients 2018, 10, 41. [Google Scholar] [CrossRef] [PubMed]
- Tajner-Czopek, A.; Gertchen, M.; Rytel, E.; Kita, A.; Kucharska, A.Z.; Sokół-Łętowska, A. Study of Antioxidant Activity of Some Medicinal Plants Having High Content of Caffeic Acid Derivatives. Antioxidants 2020, 9, 412. [Google Scholar] [CrossRef] [PubMed]
- Mancuso, A.; Cristiano, M.C.; Pandolfo, R.; Greco, M.; Fresta, M.; Paolino, D. Improvement of Ferulic Acid Antioxidant Activity by Multiple Emulsions: In Vitro and In Vivo Evaluation. Nanomaterials 2021, 11, 425. [Google Scholar] [CrossRef] [PubMed]
- Munteanu, I.G.; Apetrei, C. A Review on Electrochemical Sensors and Biosensors Used in Assessing Antioxidant Activity. Antioxidants 2022, 11, 584. [Google Scholar] [CrossRef]
- Xu, W.; Luo, Q.; Wen, X.; Xiao, M.; Mei, Q. Antioxidant and Anti-Diabetic Effects of Caffeic Acid in a Rat Model of Diabetes. Trop. J. Pharm. Res. 2020, 19, 1227–1232. [Google Scholar] [CrossRef]
- Muhammad Abdul Kadar, N.N.; Ahmad, F.; Teoh, S.L.; Yahaya, M.F. Caffeic Acid on Metabolic Syndrome: A Review. Molecules 2021, 26, 5490. [Google Scholar] [CrossRef]
- Zhou, Z.; Shi, T.; Hou, J.; Li, M. Ferulic Acid Alleviates Atopic Dermatitis-like Symptoms in Mice via Its Potent Anti-Inflammatory Effect. Immunopharmacol. Immunotoxicol. 2020, 42, 156–164. [Google Scholar] [CrossRef]
- Paciello, F.; Di Pino, A.; Rolesi, R.; Troiani, D.; Paludetti, G.; Grassi, C.; Fetoni, A.R. Anti-Oxidant and Anti-Inflammatory Effects of Caffeic Acid: In Vivo Evidences in a Model of Noise-Induced Hearing Loss. Food Chem. Toxicol. 2020, 143, 111555. [Google Scholar] [CrossRef]
- Mangrulkar, S.; Shah, P.; Navnage, S.; Mazumdar, P.; Chaple, D. Phytophospholipid Complex of Caffeic Acid: Development, In Vitro Characterization, and In Vivo Investigation of Antihyperlipidemic and Hepatoprotective Action in Rats. AAPS Pharm. Sci. Tech. 2021, 22, 28. [Google Scholar] [CrossRef]
- Mirzaei, S.; Gholami, M.H.; Zabolian, A.; Saleki, H.; Farahani, M.V.; Hamzehlou, S.; Far, F.B.; Sharifzadeh, S.O.; Samarghandian, S.; Khan, H.; et al. Caffeic Acid and Its Derivatives as Potential Modulators of Oncogenic Molecular Pathways: New Hope in the Fight against Cancer. Pharmacol. Res. 2021, 171, 105759. [Google Scholar] [CrossRef]
- Rasheed, H.; Ahmad, D.; Bao, J. Genetic Diversity and Health Properties of Polyphenols in Potato. Antioxidants 2022, 11, 603. [Google Scholar] [CrossRef]
- Thangaraj, R.; Manjula, N.; Kumar, A.S. Rapid Simultaneous Electrochemical Sensing of Tea Polyphenols. Anal. Methods 2012, 4, 2922. [Google Scholar] [CrossRef]
- Nalewajko-Sieliwoniuk, E.; Malejko, J.; Mozolewska, M.; Wołyniec, E.; Nazaruk, J. Determination of Polyphenolic Compounds in Cirsium Palustre (L.) Extracts by High Performance Liquid Chromatography with Chemiluminescence Detection. Talanta 2015, 133, 38–44. [Google Scholar] [CrossRef] [PubMed]
- Aleixandre-Tudo, J.L.; Buica, A.; Nieuwoudt, H.; Aleixandre, J.L.; du Toit, W. Spectrophotometric Analysis of Phenolic Compounds in Grapes and Wines. J. Agric. Food Chem. 2017, 65, 4009–4026. [Google Scholar] [CrossRef] [PubMed]
- Parets, L.; Alechaga, É.; Núñez, O.; Saurina, J.; Hernández-Cassou, S.; Puignou, L. Ultrahigh Pressure Liquid Chromatography-Atmospheric Pressure Photoionization-Tandem Mass Spectrometry for the Determination of Polyphenolic Profiles in the Characterization and Classification of Cranberry-Based Pharmaceutical Preparations and Natural Extracts. Anal. Methods 2016, 8, 4363–4378. [Google Scholar] [CrossRef][Green Version]
- Núñez, O.; Hidalgo, M.; Barbosa, S.; Saurina, J.; Moyano, E.; Hernández-Cassou, S.; Puignou, L. How polyphenols can help on the authentication of berry-based natural and pharmaceutical extracts by liquid chromatography-mass spectrometry techniques. J. Int. Soc. Antioxid. Nutr. Health 2016, 3, 1–4. [Google Scholar] [CrossRef]
- Hosu, O.; Lettieri, M.; Papara, N.; Ravalli, A.; Sandulescu, R.; Cristea, C.; Marrazza, G. Colorimetric Multienzymatic Smart Sensors for Hydrogen Peroxide, Glucose and Catechol Screening Analysis. Talanta 2019, 204, 525–532. [Google Scholar] [CrossRef]
- Ge, L.; Li, S.-P.; Lisak, G. Advanced Sensing Technologies of Phenolic Compounds for Pharmaceutical and Biomedical Analysis. J. Pharm. Biomed. Anal. 2020, 179, 112913. [Google Scholar] [CrossRef]
- del Pilar Godoy-Caballero, M.; Galeano-Díaz, T.; Isabel Acedo-Valenzuela, M. Simple and Fast Determination of Phenolic Compounds from Different Varieties of Olive Oil by Nonaqueous Capillary Electrophoresis with UV-Visible and Fluorescence Detection: Electrodriven Separations. J. Sep. Sci. 2012, 35, 3529–3539. [Google Scholar] [CrossRef]
- Munteanu, I.-G.; Apetrei, C. Electrochemical Determination of Chlorogenic Acid in Nutraceuticals Using Voltammetric Sensors Based on Screen-Printed Carbon Electrode Modified with Graphene and Gold Nanoparticles. Int. J. Mol. Sci. 2021, 22, 8897. [Google Scholar] [CrossRef]
- Jing, L. Simultaneous Quantitation of Caffeic Acid and Ferulic Acid Based on Graphite-like C3N4/Chitosan Modified Film. Int. J. Electrochem. Sci. 2017, 12, 8504–8515. [Google Scholar] [CrossRef]
- Gorla, F.A.; Duarte, E.H.; Sartori, E.R.; Tarley, C.R.T. Electrochemical Study for the Simultaneous Determination of Phenolic Compounds and Emerging Pollutant Using an Electroanalytical Sensing System Based on Carbon Nanotubes/Surfactant and Multivariate Approach in the Optimization. Microchem. J. 2016, 124, 65–75. [Google Scholar] [CrossRef]
- Shahbakhsh, M.; Noroozifar, M. Poly (Dopamine Quinone-Chromium (III) Complex) Microspheres as New Modifier for Simultaneous Determination of Phenolic Compounds. Biosens. Bioelectron. 2018, 102, 439–448. [Google Scholar] [CrossRef] [PubMed]
- Eisele, A.P.P.; Valezi, C.F.; Mazziero, T.; Dekker, R.F.H.; Barbosa-Dekker, A.M.; Sartori, E.R. Layering of a Film of Carboxymethyl-Botryosphaeran onto Carbon Black as a Novel Sensitive Electrochemical Platform on Glassy Carbon Electrodes for the Improvement in the Simultaneous Determination of Phenolic Compounds. Sens. Actuators B Chem. 2019, 287, 18–26. [Google Scholar] [CrossRef]
- Kumar, A.S.; Sornambikai, S.; Gayathri, P.; Zen, J.-M. Selective Covalent Immobilization of Catechol on Activated Carbon Electrodes. J. Electroanal. Chem. 2010, 641, 131–135. [Google Scholar] [CrossRef]
- Senthil Kumar, A.; Swetha, P. Electrochemical-Assisted Encapsulation of Catechol on a Multiwalled Carbon Nanotube Modified Electrode. Langmuir 2010, 26, 6874–6877. [Google Scholar] [CrossRef]
- Dinu, A.; Apetrei, C. A Review of Sensors and Biosensors Modified with Conducting Polymers and Molecularly Imprinted Polymers Used in Electrochemical Detection of Amino Acids: Phenylalanine, Tyrosine, and Tryptophan. Int. J. Mol. Sci. 2022, 23, 1218. [Google Scholar] [CrossRef]
- Salgado-Figueroa, P.; Gutiérrez, C.; Squella, J.A. Carbon Nanofiber Screen Printed Electrode Joined to a Flow Injection System for Nimodipine Sensing. Sens. Actuators B Chem. 2015, 220, 456–462. [Google Scholar] [CrossRef]
- Salgado-Figueroa, P.; Jara-Ulloa, P.; Alvarez-Lueje, A.; Squella, J.A. Sensitive Determination of Nitrofurantoin by Flow Injection Analysis Using Carbon Nanofiber Screen Printed Electrodes. Electroanalysis 2013, 25, 1433–1438. [Google Scholar] [CrossRef]
- Apetrei, I.M.; Apetrei, C. Study of Different Carbonaceous Materials as Modifiers of Screen-Printed Electrodes for Detection of Catecholamines. IEEE Sens. J. 2015, 15, 3094–3101. [Google Scholar] [CrossRef]
- Bounegru, A.V.; Apetrei, C. Development of a Novel Electrochemical Biosensor Based on Carbon Nanofibers–Gold Nanoparticles–Tyrosinase for the Detection of Ferulic Acid in Cosmetics. Sensors 2020, 20, 6724. [Google Scholar] [CrossRef] [PubMed]
- Ghinjul, A. Studiul Capacităţii Antioxidante Şi Conţinutul Total de Polifenoli Din Mentha Piperita. 2018. Available online: https://jes.utm.md/wp-content/uploads/sites/20/2018/12/15.-STUDIUL-CAPACIT%C4%82%C5%A2II-ANTIOXIDANTE-%C8%98I-CON%C5%A2INUTUL-TOTAL-DE-POLIFENOLI-DIN-MENTHA-PIPERITA-A.-Ghinjul.pdf (accessed on 25 May 2022).
- Jagetia, G.C. The Analysis of Antioxidant Activity and Phenolic Contents of Selected Medicinal Plants of Mizoram. Genom. Appl. Biol. 2016, 6, 1–12. [Google Scholar] [CrossRef]
- Contreras-Guzmán, E.S.; Strong, F.C., III. Determination of Tocopherols (Vitamin E) by Reduction of Cupric Ion. J. Assoc. Off. Anal. Chem. 1982, 65, 1215–1221. [Google Scholar] [CrossRef]
- da Silva, L.V.; Lopes, C.B.; da Silva, W.C.; de Paiva, Y.G.; Silva, F.d.A.d.S.; Lima, P.R.; Kubota, L.T.; Goulart, M.O.F. Electropolymerization of Ferulic Acid on Multi-Walled Carbon Nanotubes Modified Glassy Carbon Electrode as a Versatile Platform for NADH, Dopamine and Epinephrine Separate Detection. Microchem. J. 2017, 133, 460–467. [Google Scholar] [CrossRef]
- Trabelsi, S.K.; Tahar, N.B.; Trabelsi, B.; Abdelhedi, R. Electrochemical Oxidation of Ferulic Acid in Aqueous Solutions at Gold Oxide and Lead Dioxide Electrodes. J. Appl. Electrochem. 2005, 35, 967–973. [Google Scholar] [CrossRef]
- Bharath, G.; Alhseinat, E.; Madhu, R.; Mugo, S.M.; Alwasel, S.; Harrath, A.H. Facile Synthesis of Au@α-Fe2O3@RGO Ternary Nanocomposites for Enhanced Electrochemical Sensing of Caffeic Acid toward Biomedical Applications. J. Alloy. Compd. 2018, 750, 819–827. [Google Scholar] [CrossRef]
- Bounegru, A.V.; Apetrei, C. Voltammetric Sensors Based on Nanomaterials for Detection of Caffeic Acid in Food Supplements. Chemosensors 2020, 8, 41. [Google Scholar] [CrossRef]
- Zhang, W.; Zong, L.; Liu, S.; Pei, S.; Zhang, Y.; Ding, X.; Jiang, B.; Zhang, Y. An Electrochemical Sensor Based on Electro-Polymerization of Caffeic Acid and Zn/Ni-ZIF-8–800 on Glassy Carbon Electrode for the Sensitive Detection of Acetaminophen. Biosens. Bioelectron. 2019, 131, 200–206. [Google Scholar] [CrossRef]
- Damasceno, S.S.; Dantas, B.B.; Ribeiro-Filho, J.; Antônio, M.; Araújo, D.; Galberto, M.; da Costa, J. Chemical Properties of Caffeic and Ferulic Acids in Biological System: Implications in Cancer Therapy. A Review. Curr. Pharm. Des. 2017, 23, 3015–3023. [Google Scholar] [CrossRef]
- Abdi, R. Determining Caffeic Acid in Food Samples Using a Voltammetric Sensor Amplified by Fe3O4 Nanoparticles and Room Temperature Ionic Liquid. Int. J. Electrochem. Sci. 2020, 15, 2539–2548. [Google Scholar] [CrossRef]
- Pandian, K.; Mohana Soundari, D.; Rudra Showdri, P.; Kalaiyarasi, J.; Gopinath, S.C.B. Voltammetric Determination of Caffeic Acid by Using a Glassy Carbon Electrode Modified with a Chitosan-Protected Nanohybrid Composed of Carbon Black and Reduced Graphene Oxide. Microchim. Acta 2019, 186, 54. [Google Scholar] [CrossRef]
- Ebrahimi, P.; Shahidi, S.-A.; Bijad, M. A Rapid Voltammetric Strategy for Determination of Ferulic Acid Using Electrochemical Nanostructure Tool in Food Samples. Food Meas. 2020, 14, 3389–3396. [Google Scholar] [CrossRef]
- Giacomelli, C.; Ckless, K.; Galato, D.; Miranda, F.S.; Spinelli, A. Electrochemistry of Caffeic Acid Aqueous Solutions with PH 2.0 to 8.5. J. Braz. Chem. Soc. 2002, 13, 332–338. [Google Scholar] [CrossRef]
- Tomac, I.; Šeruga, M. Electrochemical Properties of Chlorogenic Acids and Determination of Their Content in Coffee Using Differential Pulse Voltammetry. Int. J. Electrochem. Sci. 2016, 11, 2854–2876. [Google Scholar] [CrossRef]
- Salas-Reyes, M.; Hernández, J.; Domínguez, Z.; González, F.J.; Astudillo, P.D.; Navarro, R.E.; Martínez-Benavidez, E.; Velázquez-Contreras, C.; Cruz-Sánchez, S. Electrochemical Oxidation of Caffeic and Ferulic Acid Derivatives in Aprotic Medium. J. Braz. Chem. Soc. 2011, 22, 693–701. [Google Scholar] [CrossRef]
- Zhang, Y.; Liu, Y.; Yang, Z.; Yang, Y.; Pang, P.; Gao, Y.; Hu, Q. Rapid Electrochemical Detection of Ferulic Acid Based on a Graphene Modified Glass Carbon Electrode. Anal. Methods 2013, 5, 3834. [Google Scholar] [CrossRef]
- Gay Martín, M.; de Saja, J.A.; Muñoz, R.; Rodríguez-Méndez, M.L. Multisensor System Based on Bisphthalocyanine Nanowires for the Detection of Antioxidants. Electrochim. Acta 2012, 68, 88–94. [Google Scholar] [CrossRef]
- Santos, D.P.; Bergamini, M.F.; Fogg, A.G.; Zanoni, M.V.B. Application of a Glassy Carbon Electrode Modified with Poly(Glutamic Acid) in Caffeic Acid Determination. Microchim. Acta 2005, 151, 127–134. [Google Scholar] [CrossRef]
- da Silva, L.F.; Ramos Stradiotto, N.; Oliveira, H.P. Determination of Caffeic Acid in Red Wine by Voltammetric Method. Electroanalysis 2008, 20, 1252–1258. [Google Scholar] [CrossRef]
- Araújo, D.A.G.; Camargo, J.R.; Pradela-Filho, L.A.; Lima, A.P.; Muñoz, R.A.A.; Takeuchi, R.M.; Janegitz, B.C.; Santos, A.L. A Lab-Made Screen-Printed Electrode as a Platform to Study the Effect of the Size and Functionalization of Carbon Nanotubes on the Voltammetric Determination of Caffeic Acid. Microchem. J. 2020, 158, 105297. [Google Scholar] [CrossRef]
- Wang, J.; Zhang, K.; Xu, H.; Yan, B.; Gao, F.; Shi, Y.; Du, Y. Engineered Photoelectrochemical Platform for the Ultrasensitive Detection of Caffeic Acid Based on Flower-like MoS2 and PANI Nanotubes Nanohybrid. Sens. Actuators B Chem. 2018, 276, 322–330. [Google Scholar] [CrossRef]
- Yu, Y.-Y.; Wu, Q.-S.; Wang, X.-G.; Ding, Y.-P. Electrochemical Determination of Ferulic Acid in Chinese Traditional Medicine Xiao Yao Pills at Electrode Modified with Carbon Nanotube. Russ. J. Electrochem. 2009, 45, 170–174. [Google Scholar] [CrossRef]
- Luo, L.; Wang, X.; Li, Q.; Ding, Y.; Jia, J.; Deng, D. Voltammetric Determination of Ferulic Acid by Didodecyldimethylammonium Bromide/Nafion Composite Film-Modified Carbon Paste Electrode. Anal. Sci. 2010, 26, 907–911. [Google Scholar] [CrossRef] [PubMed]
- Abdel-Hamid, R.; Newair, E. Voltammetric Determination of Ferulic Acid Using Polypyrrole-Multiwalled Carbon Nanotubes Modified Electrode with Sample Application. Nanomaterials 2015, 5, 1704–1715. [Google Scholar] [CrossRef] [PubMed]
- Tee-ngam, P.; Nunant, N.; Rattanarat, P.; Siangproh, W.; Chailapakul, O. Simple and Rapid Determination of Ferulic Acid Levels in Food and Cosmetic Samples Using Paper-Based Platforms. Sensors 2013, 13, 13039–13053. [Google Scholar] [CrossRef] [PubMed]
- Damasceno, S.S.; Santos, N.A.; Santos, I.M.G.; Souza, A.L.; Souza, A.G.; Queiroz, N. Caffeic and Ferulic Acids: An Investigation of the Effect of Antioxidants on the Stability of Soybean Biodiesel during Storage. Fuel 2013, 107, 641–646. [Google Scholar] [CrossRef]
- Munteanu, I.G.; Apetrei, C. Tyrosinase-Based Biosensor—A New Tool for Chlorogenic Acid Detection in Nutraceutical Formulations. Materials 2022, 15, 3221. [Google Scholar] [CrossRef] [PubMed]
- Teixeira, J.; Gaspar, A.; Garrido, E.M.; Garrido, J.; Borges, F. Hydroxycinnamic Acid Antioxidants: An Electrochemical Overview. BioMed. Res. Int. 2013, 2013, 251754. [Google Scholar] [CrossRef] [PubMed]












| Phenolic Compound | Linear Equation | R2 | D (cm2·s−1) |
|---|---|---|---|
| CA | y = 1.793 × 10−5 − 3.266 × 10−5 | 0.9969 | 3.48 × 10−6 |
| FA | y = 2.725 × 10−5 − 2.942 × 10−5 | 0.9999 | 7.24 × 10−6 |
| CNF/SPE | LOD (M) | LOQ (M) | R2 | Calibration Linear Equation |
|---|---|---|---|---|
| FA detection | 2.33 × 10−7 | 7.78 × 10−7 | 0.9966 | ΔI (μA) = −0.0143·c (μM) |
| CA detection | 2.39 × 10−7 | 7.97 × 10−7 | 0.9975 | ΔI (μA) = −0.0205·c (μM) |
| Type of Sensor | Analyte | LOD (M) | LOQ | Reference |
|---|---|---|---|---|
| PGF/GCE | CA | 1.25 × 10−6 | - | [49] |
| GPC | CA | 2.9 × 10−7 | 9.70 × 10−7 | [50] |
| FLD-MWCNTs/SPE | CA | 2 × 10−7 | 6.6 × 10−7 | [51] |
| GCE-MoS2 | CA | 7.6 × 10−7 | - | [52] |
| graphite-like carbon nitride (g-C3N4) and chitosan (CS) | CA | 1.9 × 10−7 | [21] | |
| CNF/SPE | CA | 2.39 × 10−7 | 7.97 × 10−7 | This work |
| MWCNT modified GC | FA | 1.17 × 10−6 | - | [53] |
| DDAB/nafion/CPE | FA | 3.9 × 10−7 | - | [54] |
| Py-MWCNTs/GCE | FA | 1.17 × 10−6 | - | [55] |
| paper-based analytical device | FA | 1 × 10−6 | 3 × 10−6 | [56] |
| graphite-like carbon nitride (g-C3N4) and chitosan (CS) | FA | 2.55 × 10−6 | - | [21] |
| GN/GCE | FA | 2 × 10−7 | - | [47] |
| CNF/SPE | FA | 2.33 × 10−7 | 7.78 × 10−7 | This work |
| Interfering Compound | Ratio of Concentrations | Recovery/% | Ratio of Concentrations | Recovery/% |
|---|---|---|---|---|
| Quercetin | 1:0.5 | 100 ± 4.6 | 1:1 | 96 ± 2.1 |
| Vannilic acid | 1:0.5 | 102 ± 1.9 | 1:1 | 98 ± 3.1 |
| Gallic acid | 1:0.5 | 102 ± 4.1 | 1:1 | 99 ± 3.5 |
| Phenolic Compound Detected | Voltammetric Method | |
|---|---|---|
| mg/100 g | mg/Caps | |
| CA | 6.021 | 21.076 |
| FA | 7.516 | 26.306 |
| Sample | 3.22 × 10−5 M CA | 6.25 × 10−5 M CA | 3.22 × 10−5 M FA | 6.25 × 10−5 M FA | 1.63 × 10−5 M CA + 1.63 × 10−5 M FA | 100 μL Eye Blend |
|---|---|---|---|---|---|---|
| % R | 0.9625 | 1.5005 | 0.8658 | 1.8628 | 8.8206 | 12.7077 |
Publisher’s Note: MDPI stays neutral with regard to jurisdictional claims in published maps and institutional affiliations. |
© 2022 by the authors. Licensee MDPI, Basel, Switzerland. This article is an open access article distributed under the terms and conditions of the Creative Commons Attribution (CC BY) license (https://creativecommons.org/licenses/by/4.0/).
Share and Cite
Bounegru, A.V.; Apetrei, C. Simultaneous Determination of Caffeic Acid and Ferulic Acid Using a Carbon Nanofiber-Based Screen-Printed Sensor. Sensors 2022, 22, 4689. https://doi.org/10.3390/s22134689
Bounegru AV, Apetrei C. Simultaneous Determination of Caffeic Acid and Ferulic Acid Using a Carbon Nanofiber-Based Screen-Printed Sensor. Sensors. 2022; 22(13):4689. https://doi.org/10.3390/s22134689
Chicago/Turabian StyleBounegru, Alexandra Virginia, and Constantin Apetrei. 2022. "Simultaneous Determination of Caffeic Acid and Ferulic Acid Using a Carbon Nanofiber-Based Screen-Printed Sensor" Sensors 22, no. 13: 4689. https://doi.org/10.3390/s22134689
APA StyleBounegru, A. V., & Apetrei, C. (2022). Simultaneous Determination of Caffeic Acid and Ferulic Acid Using a Carbon Nanofiber-Based Screen-Printed Sensor. Sensors, 22(13), 4689. https://doi.org/10.3390/s22134689
