Video-Based System for Automatic Measurement of Barbell Velocity in Back Squat
Abstract
1. Introduction
2. Materials and Methods
2.1. Experiment Procedure Setup
- The algorithm aims to track the barbell position in the sliding plane using video images.
- A set of markers will be used to segment the barbell position.
- Once the barbell position has been located through the markers in the raster images, its position in the real world must be computed.
- Height is the only information of interest from the real-world position.
- The physical parameters relevant to this study are extracted from height measurements in each frame and video framerate.
- Section 2.2 is devoted to the fundamentals of the camera model and the proposed set-up geometry.
- Section 2.3 shows a novel method to find the sliding plane from an anterior reference plane in the structure using homography. This step is performed to find the position of the barbell markers in the real world.
- Section 2.4 deals with the automatic detection algorithm of markers from the structure reference plane.
- Section 2.5 is devoted to addressing the automatic detection algorithm of markers from the barbell.
- Section 2.6 details the extraction of the physical variables from the position of the barbell.
2.2. Camera Model
2.3. Homography
- Some marks are placed on the structural pillars of the machine to define four points: Pis, with i = 1, 2, 3, 4, and associated coordinates (Xis, Yis). Since the structural pillars are always parallel, the four points are in the same plane and therefore homography can be applied. From the quadrilateral formed by these four vertices, six distances are measured: the four sides D12s, D23s, D34s, and D41s, and the two diagonals D13s and D24s (Figure 3). Then, the XYZ coordinates of the four points in the Cartesian system are determined by the cosine theorem. At this stage, the reference system is placed without loss of generality, with the XY axes in the plane defined by the structural columns, so Zis = 0 for i = 1, 2, 3, 4. The origin of coordinates is located at the highest and leftmost reference point P1s.
- In this type of gym machine, the structural columns and guide columns form two parallel planes (see Figure 1), so the distance between them is also measured as Dg.
- Estimate homography with reference points located in a practical place; in this experiment, in the two front structural pillars of the machine P1s, P2s, P3s, and P4s.
- With an appropriate image processing algorithm developed in the following Section 2.4, the four structural reference points are automatically located in the image as qis(xis, yis), i = 1, 2, 3, 4., and the homography is computed. It is defined as Hs since the points in the structural pillars are used.
- Four points located on the guide pillars behind each reference point P1s to P4s of the structural plane are defined as Pig with the following corresponding coordinates: Xig = Xis, Yig = Yis, and Zi_g = Dg, i = 1, 2, 3, 4, as shown in Figure 3b.
- With the Tscene2cam transformation, the qig(x, y) coordinates in the image of the points Pig are computed as (xig, yig), i = 1, 2, 3, 4.
- With the four corresponding pairs (Xig, Yig), (xig, yig), i = 1, 2, 3, 4, a second homography is calculated, relating the scene plane on the guide and the image plane. This homography is defined as Hg since the points in the guide pillars are used and are intended to map points of the image to points in the barbell plane to be able to take measurements in true magnitude.
- As the camera is located on a tripod and the relative position between camera and machine does not change, the calculated homography Hg is valid in all successive images of the video session. Thus, to calculate the position of the barbell during the athlete’s movement, it is enough to detect the coordinates (x, y) of the marker located on the barbell in the image, and, through homography Hg, the coordinates (Xg, Yg) located on the barbell plane are obtained in true magnitude. The six distances of the markers D12s, D23s, D34s, D41s, D13s, and D24s and the distance to the barbell plane Dg are measured only once and are valid for all training sessions in that machine.
2.4. Automatic Detection of Reference Points
- Transform the image from red, green, blue (RGB) to hue, saturation, value (HSV) colorspaces. The hue components of the red color (yellow in the case of black–yellow tape) of the warning tape and a pixel in the image are defined as hueTarget and h(x, y), respectively.
- The image DifHue(x, y) = 1–circularDif (hueTarget, h(x, y)) is calculated, where the function circularDif computes the shortest distance between the hue of the pixel and the target, going clockwise or counterclockwise along the hue scale in a circular way, 1 being the value connected to the value 0.
- To avoid the influence of pixels with low saturation, all pixels whose value in the s(x, y) component is less than 50% are set to zero in the DifHue image. This value of 50% has been selected heuristically and it is not critical.
- DifHue is binarized by selecting those colors that fall within 50% of the range between the target hue and its closest primary or secondary color. The resulting image is called DifHueBin.
- To detect the red-colored polygons, for true (white) regions in the binarized DifHueBin image, two size-based mathematical morphology tophat bandpass filters are performed [29,30,31], one with a vertical linear structuring element and another with an inclined linear structuring element at 135 degrees. Each bandpass filter is BPFilter = Tophat (DifHueBin, ee1)–Tophat (DifHueBin, ee2), where ee1 and ee2 are the structuring element, and their sizes, respectively, twice and half of the expected size of the polygon. Therefore, regions that are larger than twice the expected size or less than half the expected size are eliminated. This image, taken as markers, is reconstructed with the mathematical morphology reconstruction algorithm [32,33].
- To detect the left warning tape, the left half of the image is selected. The line where the polygons are located is found by adjusting a 1st degree polynomial to the upper left corner of each polygon using the random sample consensus algorithm (RANSAC) and the outliers are eliminated. The upper left corners of the highest and the lowest polygons are selected as reference points for the structural homography Hs. The process is repeated on the right half of the image to detect the tape on the right and obtain its two reference points. Note that this detection process of the reference point occurs only at the beginning of the session and does not need to be updated for each image of the video if the camera is on a tripod.
2.5. Automatic Detection of Barbell Markers
- The same RGB to HSV conversion process used in the automatic detection of reference points is carried out on the ImBarbellStrip image. The calculation of DifHue = 1–circularDif (hueTarget, h (x, y)), the zeroing of the pixels with saturation less than 50%, and the same binarization performed for the detection of the pillars are also computed.
- Next, the tophat bandpass filter is again applied with a structuring element twice and half the expected size of the mark, this time with a vertical and horizontal structuring element.
- To detect the right barbell mark, the three preceding steps are repeated, but for the right part of the image. Depending on the scene, noise, glowing areas, etc., there may be no, one, or more candidates detected on each side.
- With the candidates on the left and right sides, the pair with the closest horizontal coordinate between them is selected. If a candidate is missing, it is filled in by interpolation with the images of the previous and subsequent moments.
2.6. Data Analysis
2.7. Instrument Validation
2.8. Statistical Analysis
3. Results
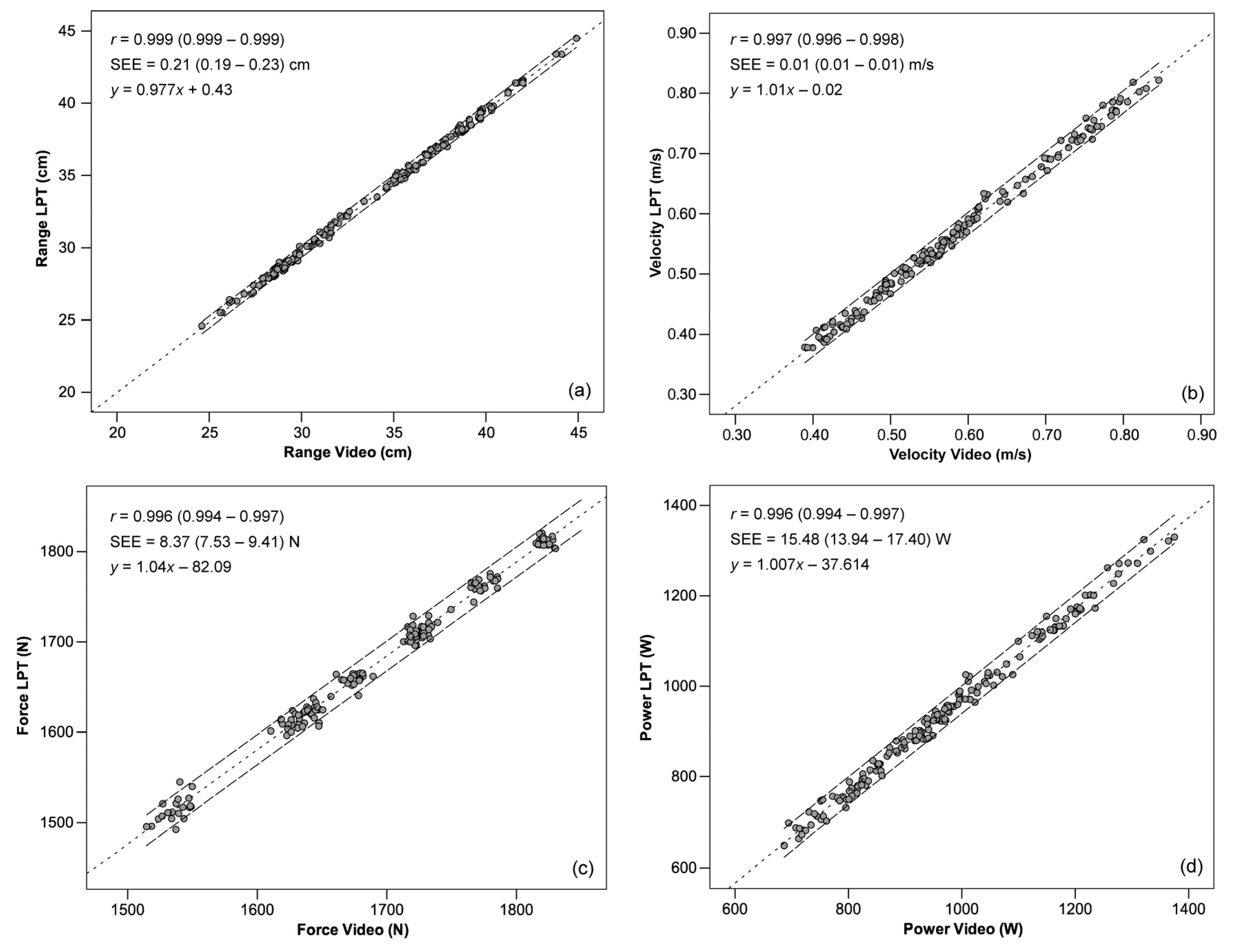
3.1. Comparison between Instruments
3.2. Instrument Validation
4. Discussion
5. Conclusions
Author Contributions
Funding
Institutional Review Board Statement
Informed Consent Statement
Data Availability Statement
Conflicts of Interest
References
- Atkinson, G.; Nevill, A. Statistical methods for assesing measurement error (reliability) in variables relevant to sports medicine. Sport. Med. 1998, 26, 217–238. [Google Scholar] [CrossRef] [PubMed]
- Foster, C.; Florhaug, J.A.; Franklin, J.; Gottschall, L.; Hrovatin, L.A.; Parker, S.; Doleshal, P.; Dodge, C. A new approach to monitoring exercise training. J. Strength Cond. Res. 2001, 15, 109–115. [Google Scholar] [PubMed]
- Suchomel, T.J.; Nimphius, S.; Bellon, C.R.; Stone, M.H. The importance of muscular strength: Training considerations. Sport. Med. 2018, 48, 765–785. [Google Scholar] [CrossRef] [PubMed]
- González-Badillo, J.J.; Marques, M.C.; Marques, M.C.; Sánchez-Medina, L. The importance of movement velocity as a measure to control resistance training intensity. J. Hum. Kinet. 2011, 29A, 15–19. [Google Scholar] [CrossRef]
- Weakley, J.; Mann, B.; Banyard, H.; McLaren, S.; Scott, T.; Garcia-Ramos, A. Velocity-based training: From theory to application. Strength Cond. J. 2020, 1–19. [Google Scholar] [CrossRef]
- Behm, D.G.; Sale, D.G. Velocity specificity of resistance training. Sport. Med. Eval. Res. Exerc. Sci. Sport. Med. 1993, 15, 374–388. [Google Scholar] [CrossRef]
- Loturco, I.; Pereira, L.A.; Cal Abad, C.C.; Gil, S.; Kitamura, K.; Kobal, R.; Nakamura, F.Y. Using bar velocity to predict maximum dynamic strength in the half-squat exercise. Int. J. Sports Physiol. Perform. 2016, 11, 697–700. [Google Scholar] [CrossRef]
- Vivancos, A.; Zambudio, A.; Ramírez, F.; Del Águila, A.; Castrillón, F.; Pardo, P. OC14 Reliability and validity of a linear position transducer for strength assessment. Br. J. Sports Med. 2014, 48, A5.2–A5.5. [Google Scholar] [CrossRef]
- Dorrell, H.F.; Moore, J.M.; Smith, M.F.; Gee, T.I. Validity and reliability of a linear positional transducer across commonly practised resistance training exercises. J. Sports Sci. 2018, 2, 1–7. [Google Scholar] [CrossRef]
- Martínez-Cava, A.; Hernández-Belmonte, A.; Courel-Ibáñez, J.; Morán-Navarro, R.; González-Badillo, J.J.; Pallarés, J.G. Reliability of technologies to measure the barbell velocity: Implications for monitoring resistance training. PLoS ONE 2020, 15, e0236073. [Google Scholar]
- Thompson, S.; Rogerson, D.; Dorrell, H.; Ruddock, A.; Barnes, A. The reliability and validity of current technologies for measuring barbell velocity in the free-weight back squat and power clean. Sports 2020, 8, 94. [Google Scholar] [CrossRef] [PubMed]
- van den Tillaar, R.; Ball, N. Validity and reliability of kinematics measured with PUSH band vs. linear encoder in bench press and push-ups. Sports 2019, 7, 207. [Google Scholar] [CrossRef] [PubMed]
- Lake, J.; Augustus, S.; Austin, K.; Comfort, P.; McMahon, J.; Mundy, P.; Haff, G.G. The reliability and validity of the bar-mounted PUSH BandTM 2.0 during bench press with moderate and heavy loads. J. Sports Sci. 2019, 37, 2685–2690. [Google Scholar] [CrossRef] [PubMed]
- Comstock, B.A.; Solomon-Hill, G.; Flanagan, S.D.; Earp, J.E.; Luk, H.; Dobbins, K.A.; Dunn-Lewis, C.; Fragala, M.S.; Ho, J.; Hatfield, D.L.; et al. Validity of the Myotest in measuring formce and power production in the squat and bench press. J. Strength Cond. Res. 2011, 25, 2293–2297. [Google Scholar] [CrossRef]
- Garcia Ramos, A.; Perez-Castilla, A.; Martin, F. Reliability and concurrent validity of the velowin optoelectronic system to measure movement velocity during free-weight back squat. Int. J. Sport. Coach. 2011, 13, 1–45. [Google Scholar] [CrossRef]
- Balsalobre-Fernández, C.; Marchante, D.; Muñoz-López, M.; Jiménez, S.L. Validity and reliability of a novel iPhone app for the measurement of barbell velocity and 1RM on the bench-press exercise. J. Sports Sci. 2018, 36, 64–70. [Google Scholar] [CrossRef]
- Balsalobre-Fernández, C.; Marchante, D.; Baz-Valle, E.; Alonso-Molero, I.; Jiménez, S.L.; Muñóz-López, M. Analysis of wearable and smartphone-based technologies for the measurement of barbell velocity in different resistance training exercises. Front. Physiol. 2017, 8, 649. [Google Scholar] [CrossRef]
- Hartley, R.; Zisserman, A. Multiple View Geometry in Computer Vision; Cambridge University Press: Cambridge, UK, 2004. [Google Scholar]
- Márquez-Neila, P.; López-Alberca, J.; Buenaposada, J.M.; Baumela, L. Speeding-up homography estimation in mobile devices. J. Real Time Image Process. 2016, 11, 141–154. [Google Scholar] [CrossRef]
- Balsalobre-Fernández, C.; Geiser, G.; Krzyszkowski, J.; Kipp, K. Validity and reliability of a computer-vision-based smartphone app for measuring barbell trajectory during the snatch. J. Sports Sci. 2020, 38, 710–716. [Google Scholar] [CrossRef]
- Pérez-Castilla, A.; Piepoli, A.; Garrido-Blanca, G.; Delgado-García, G.; Balsalobre-Fernández, C.; García-Ramos, A. Precision of 7 commercially available devices for predicting bench-press 1-repetition maximum from the individual load–velocity relationship. Int. J. Sports Physiol. Perform. 2019, 14, 1442–1446. [Google Scholar] [CrossRef]
- Gevorgyan, M.; Mamikonyan, A.; Beyeler, M. OpenCV 4 with Python Blueprints, 2nd ed.; Packt Publishing: Birmingham, UK, 2020. [Google Scholar]
- Bradski, B.; Kaehler, A. Learning OpenCV; O’Reilly Media, Inc.: Sebastopol, CA, USA, 2008; ISBN 9780596516130. [Google Scholar]
- Zhang, Z. A flexible new technique for camera calibration. IEEE Trans. Pattern Anal. Mach. Intell. 2000, 22, 1330–1334. [Google Scholar] [CrossRef]
- Albiol, A.; Albiol, A.; Mossi, J.M.; Silla, J. Robust real-time traffic monitoring using corners motion statistics. In Proceedings of the 7th International Conference on Imaging for Crime Detection and Prevention (ICDP 2016), Madrid, Spain, 23–25 November 2016; IET Seminar Digest: Madrid, Spain, 2016; Volume 2016. [Google Scholar]
- Barath, D.; Hajder, L. A theory of point-wise homography estimation. Pattern Recognit. Lett. 2017, 94, 7–14. [Google Scholar] [CrossRef]
- Liu, J.; Yang, S.; Fang, Y.; Guo, Z. Structure-Guided Image Inpainting Using Homography Transformation. IEEE Trans. Multimed. 2018, 20, 3252–3265. [Google Scholar] [CrossRef]
- Taketomi, T.; Okada, K.; Yamamoto, G.; Miyazaki, J.; Kato, H. Camera pose estimation under dynamic intrinsic parameter change for augmented reality. Comput. Graph. 2014, 44, 11–19. [Google Scholar] [CrossRef]
- Serra, J. Image analysis and mathematical morphology. IEEE Trans. Pattern Anal. Mach. Intell. 1982, 9, 532–550. [Google Scholar]
- Najman, L.; Talbot, H. Mathematical Morphology: From Theory to Applications; Wiley: London, UK, 2013; ISBN 9781848212152. [Google Scholar]
- Gavankar, N.L.; Ghosh, S.K. Automatic building footprint extraction from high-resolution satellite image using mathematical morphology. Eur. J. Remote Sens. 2018, 51, 182–193. [Google Scholar] [CrossRef]
- Zhang, J.; Guo, Z.; Jiao, T.; Wang, M. Defect detection of aluminum alloy wheels in radiography images using adaptive threshold and morphological reconstruction. Appl. Sci. 2018, 8, 2365. [Google Scholar] [CrossRef]
- Vincent, L. Morphological grayscale reconstruction in image analysis: Applications and efficient algorithms. IEEE Trans. Image Process. 1993, 2, 176–201. [Google Scholar] [CrossRef]
- Hatze, H. Validity and reliability of methods for testing vertical jumping performance. J. Appl. Biomech. 1998, 14, 127–140. [Google Scholar] [CrossRef]
- Pallarés, J.G.; Sánchez-Medina, L.; Pérez, C.E.; De La Cruz-Sánchez, E.; Mora-Rodriguez, R. Imposing a pause between the eccentric and concentric phases increases the reliability of isoinertial strength assessments. J. Sports Sci. 2014, 32, 1165–1175. [Google Scholar] [CrossRef]
- Pérez-Castilla, A.; Piepoli, A.; Delgado-García, G.; Garrido-Blanca, G.; García-Ramos, A. Reliability and concurrent validity of seven commercially available devices for the assessment of movement velocity at different intensities during the bench press. J. Strength Cond. Res. 2019, 33, 1258–1265. [Google Scholar] [CrossRef] [PubMed]
- Hopkins, W.G.; Marshall, S.W.; Batterham, A.M.; Hanin, J. Progressive statistics for studies in sports medicine and exercise science. Med. Sci. Sports Exerc. 2009, 41, 3–12. [Google Scholar] [CrossRef] [PubMed]
- Koo, T.K.; Li, M.Y. A Guideline of selecting and reporting intraclass correlation coefficients for reliability research. J. Chiropr. Med. 2016, 15, 155–163. [Google Scholar] [CrossRef] [PubMed]
- Haugen, T.; Buchheit, M. Sprint running performance monitoring: Methodological and practical considerations. Sport. Med. 2016, 46, 641–656. [Google Scholar] [CrossRef] [PubMed]
- Hopkins, W.G. Measures of reliability in sports medicine and science. Sport. Med. 2000, 30, 1–15. [Google Scholar] [CrossRef]
- Bland, J.M.; Altman, D.G. Statistical methods for assessing agreement between two methods of clinical measurement. Lancet 1986, 327, 307–310. [Google Scholar] [CrossRef]
- Hopkins, W.G. Sportsci.Org. Sportscience 2018, 8, 1–7. [Google Scholar]
- Pyne, D. Measurement studies in sports science research. Int. J. Sports Physiol. Perform. 2008, 3, 409–410. [Google Scholar] [CrossRef]
- Hopkins, W.G. Spreadsheet for analysis of validity and reliability. Sportscience 2015, 19, 36–42. [Google Scholar]
- Bartlett, J.W.; Frost, C. Reliability, repeatability and reproducibility: Analysis of measurement errors in continuous variables. Ultrasound Obstet. Gynecol. 2008, 31, 466–475. [Google Scholar] [CrossRef]
- O’Donoghue, P. Research Methods for Sports Performance Analysis; Routledge: Abingdon, UK, 2009; ISBN 978-0415496223. [Google Scholar]
- De Sá, E.C.; Medeiros, A.R.; Ferreira, A.S.; Ramos, A.G.; Janicijevic, D.; Boullosa, D. Validity of the iLOAD® app for resistance training monitoring. PeerJ 2019, 2019, 1–14. [Google Scholar] [CrossRef] [PubMed]
- Peart, D.J.; Balsalobre-Fernández, C.; Shaw, M.P. Use of mobile applications to collect data in sport, health, and exercise science. J. Strength Cond. Res. 2019, 33, 1167–1177. [Google Scholar] [CrossRef] [PubMed]
- Hughes, L.J.; Peiffer, J.J.; Scott, B.R. Reliability and validity of using the push band v2.0 to measure repetition velocity in free-weight and smith machine exercises. J. Strength Cond. Res. 2019, 1. [Google Scholar] [CrossRef] [PubMed]
- Teufl, W.; Miezal, M.; Taetz, B.; Frohlichi, M.; Bleser, G. Validity of inertial sensor based 3D joint kinematics of static and dynamic sport and physiotherapy specific movements. PLoS ONE 2019, 14, e0213064. [Google Scholar] [CrossRef]
- Bardella, P.; Carrasquilla García, I.; Pozzo, M.; Tous-Fajardo, J.; Saez de Villareal, E.; Suarez-Arrones, L. Optimal sampling frequency in recording of resistance training exercises. Sport. Biomech. 2017, 16, 102–114. [Google Scholar] [CrossRef]
- Sánchez-Pay, A.; Courel-Ibáñez, J.; Martínez-Cava, A.; Conesa-Ros, E.; Morán-Navarro, R.; Pallarés, J.G. Is the high-speed camera-based method a plausible option for bar velocity assessment during resistance training? Meas. J. Int. Meas. Confed. 2019, 137, 355–361. [Google Scholar] [CrossRef]
- Prince, D.S.J.D. Computer Vision: Models, Learning, and Inference; Cambridge University Press: Cambridge, UK, 2013. [Google Scholar]
- Batterham, A.M.; Hopkins, W.G. Making meaningful inferences about magnitudes. Int. J. Sports Physiol. Perform. 2006, 1, 50–57. [Google Scholar] [CrossRef]
- Garnacho-Castaño, M.V.; López-Lastra, S.; Maté-Muñoz, J.L. Reliability and validity assessment of a linear position transducer. J. Sport. Sci. Med. 2014, 14, 128–136. [Google Scholar]










| Range | Velocity | |
| ICC (2,1) | 0.996 (0.881−0.999) | 0.988 (0.542−0.997) |
| Cronbach’s α | 0.999 | 0.999 |
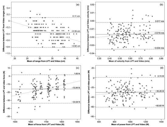
| Mean Difference | −0.35 * (−0.39–−0.31) cm | −0.016 * (−0.018–−0.015) m/s |
| SWC | 0.97 (0.87–1.09) cm | 0.02 (0.02–0.03) m/s |
| SEM | 0.31 cm | 0.010 m/s |
| SWC/SEM Ratio | 3.16 | 2.00 |
| SEE | 0.21 (0.19–0.23) cm | 0.01 (0.01–0.01) m/s |
| Standardized SEE | 0.04 (0.04–0.05) | 0.08 (0.07–0.09) |
| SEE Effect Size | Trivial | Trivial |
| Force | Power | |
| ICC (2,1) | 0.978 (0.370−0.994) | 0.979 (0.296−0.995) |
| Cronbach’s α | 0.997 | 0.998 |
| Mean Difference | −15.94 * (−17.25–−14.45) N | −30.26 * (−32.78–−27.78) W |
| SWC | 17.75 (15.99–19.96) N | 32.98 (29.70–37.08) W |
| SEM | 13.17 N | 23.89 W |
| SWC/SEM Ratio | 1.35 | 1.38 |
| SEE | 8.37 (7.53–9.41) N | 15.48 (13.94–17.40) W |
| Standardized SEE | 0.09 (0.08–0.11) | 0.09 (0.08–0.11) |
| SEE Effect Size | Trivial | Trivial |
Publisher’s Note: MDPI stays neutral with regard to jurisdictional claims in published maps and institutional affiliations. |
© 2021 by the authors. Licensee MDPI, Basel, Switzerland. This article is an open access article distributed under the terms and conditions of the Creative Commons Attribution (CC BY) license (http://creativecommons.org/licenses/by/4.0/).
Share and Cite
Pueo, B.; Lopez, J.J.; Mossi, J.M.; Colomer, A.; Jimenez-Olmedo, J.M. Video-Based System for Automatic Measurement of Barbell Velocity in Back Squat. Sensors 2021, 21, 925. https://doi.org/10.3390/s21030925
Pueo B, Lopez JJ, Mossi JM, Colomer A, Jimenez-Olmedo JM. Video-Based System for Automatic Measurement of Barbell Velocity in Back Squat. Sensors. 2021; 21(3):925. https://doi.org/10.3390/s21030925
Chicago/Turabian StylePueo, Basilio, Jose J. Lopez, Jose M. Mossi, Adrian Colomer, and Jose M. Jimenez-Olmedo. 2021. "Video-Based System for Automatic Measurement of Barbell Velocity in Back Squat" Sensors 21, no. 3: 925. https://doi.org/10.3390/s21030925
APA StylePueo, B., Lopez, J. J., Mossi, J. M., Colomer, A., & Jimenez-Olmedo, J. M. (2021). Video-Based System for Automatic Measurement of Barbell Velocity in Back Squat. Sensors, 21(3), 925. https://doi.org/10.3390/s21030925

