A Decoupled Calibration Method Based on the Multi-Output Support Vector Regression Algorithm for Three-Dimensional Electric-Field Sensors
Abstract
:1. Introduction
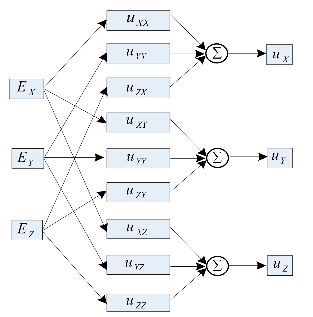
2. Coupling Calibration Principle of Three Dimensional Electric Field Sensor
3. Decoupled Calibration Method Based on Multi-Output Support Vector Regression (SVR)
3.1. SVR Model
3.2. ν-SVR Model
4. Calibration Devices and Experiment Methods
4.1. Calibration Device
4.2. Measurement of Coupling Coefficient between Poles of 3D Electric-Field Sensor
5. Analysis of Experimental Result
6. Conclusions
Author Contributions
Funding
Institutional Review Board Statement
Informed Consent Statement
Data Availability Statement
Conflicts of Interest
References
- Bazelyan, E.M.; Raizer, Y.P.; Aleksandrov, N.L. Non-stationary corona around multi-point system in atmospheric electric field: I. Onsetelectric field and discharge current. J. Atmos. Sol.-Terr. Phys. 2014, 109, 80–90. [Google Scholar] [CrossRef]
- Chubb, J. Comparison of atmospheric electric field measurements by a pole mounted field-meter and by a horizontal wire antenna. J. Electrost. 2015, 73, 1–5. [Google Scholar] [CrossRef]
- Chubb, J. The measurement of atmospheric electric fields using pole mounted electrostatic field meter. J. Electrost. 2014, 72, 295–300. [Google Scholar] [CrossRef]
- Xing, H.Y.; He, G.X.; Ji, X.Y. Analysis on Electric Field Based on Three Dimensional Atmospheric Electric Field Apparatus. J. Electr. Eng. Technol. 2018, 4, 1696–1703. [Google Scholar]
- Bateman, M.G.; Stewart, M.F.; Blakeslee, R.J. A low-noise, microprocessor-controlled, internally digitizing rotating-vane electric field mill for airborne platforms. J. Atmos. Ocean. Technol. 2007, 24, 1245–1255. [Google Scholar] [CrossRef] [Green Version]
- Zhang, X.; Bai, Q.; Xia, S.H. Design and measurement of a miniaturized three dimensional electric field sensor. J. Electron. Inf. Technol. 2007, 29, 1002–1004. [Google Scholar]
- Mach, D.M.; Koshak, W.J. General matrix inversion technique for the calibration of electric field sensor arrays on aircraft platforms. J. Atmos. Ocean. Technol. 2007, 24, 1576–1587. [Google Scholar] [CrossRef] [Green Version]
- Lin, C.; Chen, X.N.; Zhang, H.T.; Gu, C.C.; Wang, S.M. Design of the air three dimensional atmospheric electric field directional detection system. In Journal of PLA University of Science and Technology (Natural Science Edition); Jie Fang Jun Li Gong Da Xue Xue Bao Bian Ji Bu: Nanjing, China, 2017. [Google Scholar]
- Cui, Y.; Yuan, H.; Song, X. Model, design, and testing of field mill sensors for measuring electric fields under high-voltage direct-current power lines. IEEE Trans. Ind. Electron. 2017, 65, 608–615. [Google Scholar] [CrossRef]
- Cui, Y.; Yuan, H.; Zhao, L.X. Optimum design of calibration device for field mill type electric field sensor based on finite element method. J. Beijing Univ. Aeronaut. Astronaut. 2015, 41, 1807–1812. [Google Scholar]
- Zakriya, M.; Waqas, A.G.; Mahmoud, R. Double Comb-Finger Design to eliminate Cross-axis Sensitivity in a Dual-axis Accelerometer. IEEE Sens. Lett. 2017, 1, 1–4. [Google Scholar]
- Yang, P.F.; Peng, C.R.; Fang, D.M. Design fabrication and application of an SOI-based resonant electric field micro-sensor with coplanar comb-shaped electrodes. J. Micromech. Microeng. 2013, 23, 1–8. [Google Scholar] [CrossRef]
- Ling, B.Y.; Wang, Y.; Peng, C.R. Single-chip 3D electric field micro-sensor. Front. Mech. Eng. 2017, 12, 581–590. [Google Scholar] [CrossRef] [Green Version]
- Fang, Y.G.; Peng, C.R.; Fang, D.M.; Wang, Y.; Xia, S.H. Micro 3-dimensional folding electric field sensor. Transducer Microsyst. Technol. 2017, 35, 67–70. [Google Scholar]
- Wen, X.L.; Peng, C.R.; Fang, D.M. Measuring method of three dimensional atmospheric electric field based on coplanar decoupling structure. J. Electron. Inf. Technol. 2014, 36, 2504–2508. [Google Scholar]
- Zhou, S.; Liu, L.P.; Gao, J.Y.; Zhang, B.C. Research on static decoupling algorithm for 3-axis wrist force sensor. J. Electron. Meas. Instrum. 2020, 34, 181–187. [Google Scholar]
- Li, B.; Peng, C.R.; Ling, B.Y. The decoupling calibration method based on genetic algorithm of three dimensional electric field sensor. J. Electron. Inf. Technol. 2017, 39, 2252–2258. [Google Scholar]
- Liu, Y.H.; Dong, C.Y.; Li, J.; Wang, Y. LQR control of unmanned aerial vehicles lateral based on genetic algorithm. Comput. Meas. Control 2013, 21, 1544–1546. [Google Scholar]
- Wu, G.F.; Cui, Y.; Liu, H.; Zhang, L. Decoupling Calibration Method of 3D Electric Field Sensor Based on Differential Evolution Algorithm. Trans. China Electrotech. Soc. 2021, 36, 3993–4001. [Google Scholar]
- Prabakaran, G.; Vaithiyanathan, D.; Ganesan, M. FPGA based Effective Agriculture Productivity Prediction System Using Fuzzy Support Vector Machine. Fusion Eng. Des. 2021, 185, 1–16. [Google Scholar] [CrossRef]
- Zhang, F.; Chen, H.W.; Li, Y.W. TDOA-DOA Mapping Using Multi-kernel Least-squares Support Vector Regression. J. Data Acquis. Process. 2017, 32, 540–549. [Google Scholar]
- Li, Z.G.; Hou, J.; Wang, K. Application of fuzzy support vector machine on road type recognition. J. Data Acquis. Process. 2014, 29, 146–151. [Google Scholar]
- Han, L.; Pu, X.J.; Liu, Q. FECG signal extraction based on multichannel v-SVR combined with TFBSS. Chin. J. Sci. Instrum. 2015, 36, 1381–1387. [Google Scholar]













| Regression Decision Function Model | Optimum Penalty Factors C | Number of Support Vectors | Constant d | Mean Square Error | Square Correlation Coefficient |
|---|---|---|---|---|---|
| 8 | 16 | 0.0035 | 6.33 × 10−5 | 0.994 | |
| 8 | 16 | 0.0074 | 6.31 × 10−5 | 0.992 | |
| 16 | 20 | 0.0532 | 1.42 × 10−4 | 0.992 |
| Electric Field Intensity | Traditional Least Squares Method for Solving Inverse Matrix | Method Proposed in This Paper | ||
|---|---|---|---|---|
| Maximum Relative Error | Mean Relative Error | Maximum Relative Error | Mean Relative Error | |
| 13.9% | 8.2% | 4.83% | 3.27% | |
| 16.9% | 7.21% | 6.5% | 2.76% | |
| 17.8% | 7.77% | 4.55% | 1.88% | |
| 16.3% | 5.87% | 4.58% | 2.72% | |
Publisher’s Note: MDPI stays neutral with regard to jurisdictional claims in published maps and institutional affiliations. |
© 2021 by the authors. Licensee MDPI, Basel, Switzerland. This article is an open access article distributed under the terms and conditions of the Creative Commons Attribution (CC BY) license (https://creativecommons.org/licenses/by/4.0/).
Share and Cite
Zhao, W.; Li, Z.; Zhang, H.; Yuan, Y.; Zhao, Z. A Decoupled Calibration Method Based on the Multi-Output Support Vector Regression Algorithm for Three-Dimensional Electric-Field Sensors. Sensors 2021, 21, 8196. https://doi.org/10.3390/s21248196
Zhao W, Li Z, Zhang H, Yuan Y, Zhao Z. A Decoupled Calibration Method Based on the Multi-Output Support Vector Regression Algorithm for Three-Dimensional Electric-Field Sensors. Sensors. 2021; 21(24):8196. https://doi.org/10.3390/s21248196
Chicago/Turabian StyleZhao, Wei, Zhizhong Li, Haitao Zhang, Yuan Yuan, and Ziwei Zhao. 2021. "A Decoupled Calibration Method Based on the Multi-Output Support Vector Regression Algorithm for Three-Dimensional Electric-Field Sensors" Sensors 21, no. 24: 8196. https://doi.org/10.3390/s21248196
APA StyleZhao, W., Li, Z., Zhang, H., Yuan, Y., & Zhao, Z. (2021). A Decoupled Calibration Method Based on the Multi-Output Support Vector Regression Algorithm for Three-Dimensional Electric-Field Sensors. Sensors, 21(24), 8196. https://doi.org/10.3390/s21248196

