Comprehensive Analytical Modelling of an Absolute pH Sensor
Abstract
:1. Introduction
2. Methodology
2.1. Oxide Capacitance
2.2. Calculation of the Field Effect in the Semiconductor Channel
3. Results and Discussion
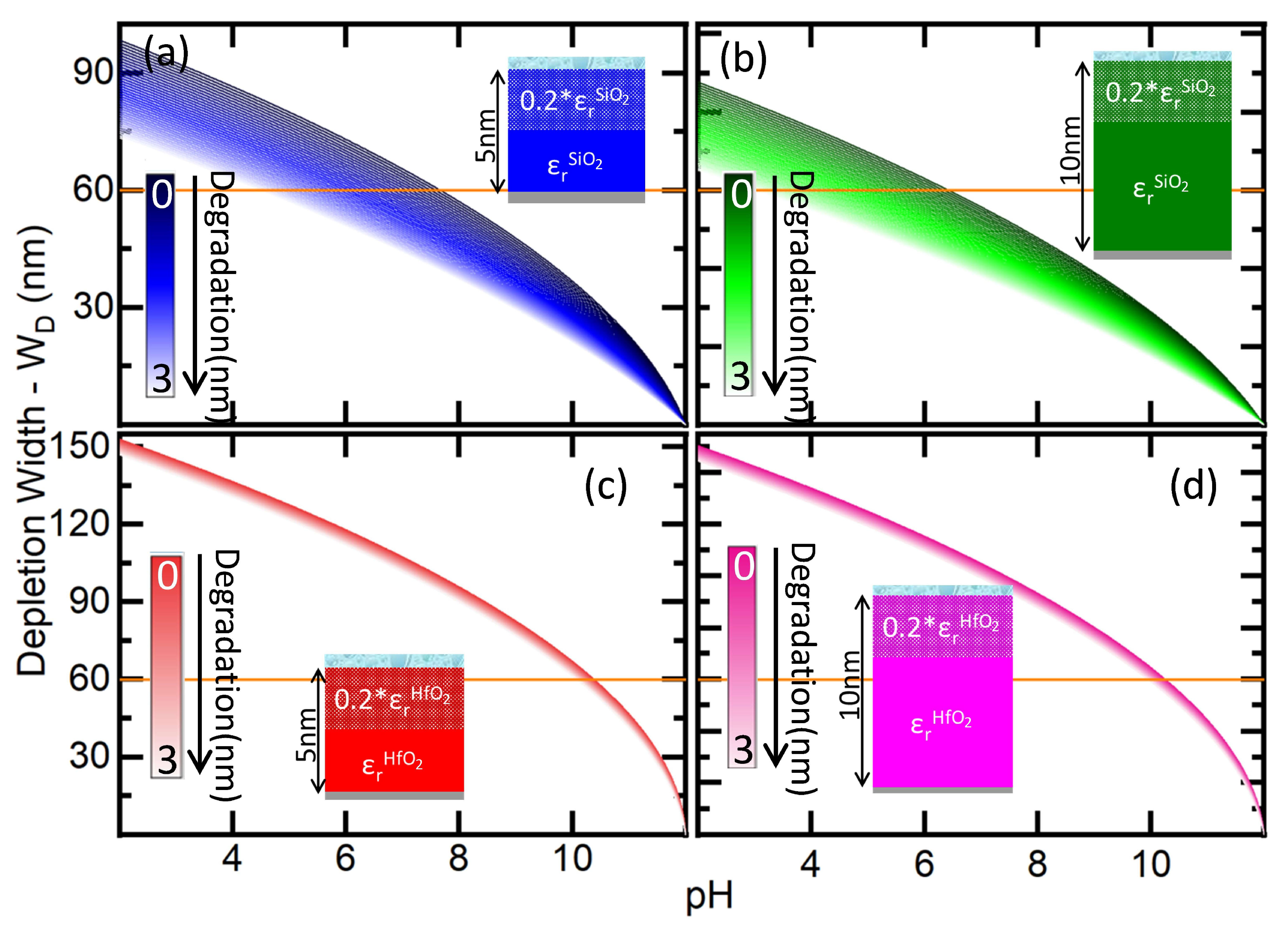
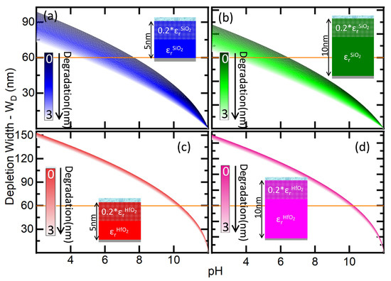
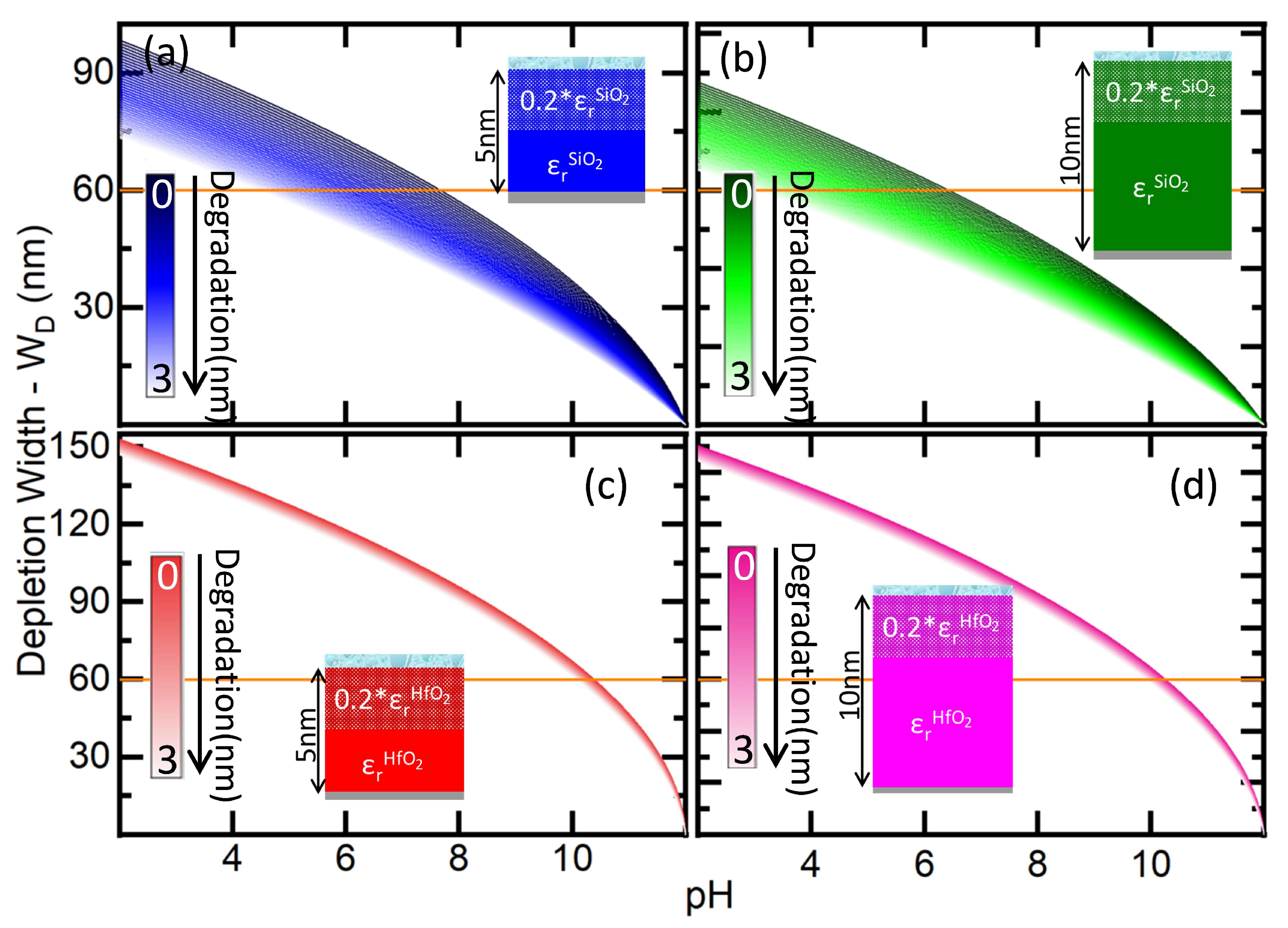
3.1. Impact of the Dielectric Degradation on the Depletion Width of Different Materials
3.2. Determination of Absolute pH from Current Acquisition in FET Sensors
3.3. Implementation of the Proton Affinity on the Sensor Response for Non-Linear Sensitivities
3.4. Optimisation of pH Determination Using a Follower in One of the Sensors
4. Conclusions
Author Contributions
Funding
Institutional Review Board Statement
Informed Consent Statement
Conflicts of Interest
References
- Bergveld, P. Development of an ion-sensitive solid-state device for neurophysiological measurements. IEEE Trans. Biomed. Eng. 1970, BME-17, 70–71. [Google Scholar] [CrossRef]
- Ihantola, H.; Moll, J.L. Design theory of surface field-effect transistor. Solid State Electron. 1964, 7, 423–430. [Google Scholar] [CrossRef]
- Garrett, C.G.B.; Brattain, W.H. Physical Theory of semiconductor surfaces. Phys. Rev. 1955, 99, 376–387. [Google Scholar] [CrossRef]
- Rigante, S.; Scarbolo, P.; Wipf, M.; Stoop, R.L.; Bedner, K.; Buitrago, E.; Bazigos, A.; Bouvet, D.; Calame, M.; Schönenberger, C.; et al. Sensing with Advanced Computing Technology: Fin Field-Effect Transistors with High-k Gate Stack on Bulk Silicon. ACS Nano 2015, 9, 4872–4881. [Google Scholar] [CrossRef]
- Teng, N.Y.; Wu, Y.T.; Wang, R.X.; Lin, C.T. Sensing Characteristic Enhancement of CMOS-Based ISFETs With Three-Dimensional Extended- Gate Architecture. IEEE Sens. J. 2021, 21, 8831–8838. [Google Scholar] [CrossRef]
- Van Hal, R.; Eijkel, J.; Bergveld, P. A general model to describe the electrostatic potential at electrolyte oxide interfaces. Adv. Colloid Interface Sci. 1996, 69, 31–62. [Google Scholar] [CrossRef] [Green Version]
- Nair, P.R.; Alam, M.A. Screening-limited Response of Nanobiosensors. Nano Lett. 2008, 8, 1281–1285. [Google Scholar] [CrossRef] [Green Version]
- Kulkarni, G.S.; Zhong, Z. Detection beyond the Debye Screening Length in a High-Frequency Nanoelectronic Biosensor. Nano Lett. 2012, 12, 719–723. [Google Scholar] [CrossRef]
- Zhang, J.; Rupakula, M.; Bellando, F.; Garcia Cordero, E.; Longo, J.; Wildhaber, F.; Herment, G.; Guérin, H.; Ionescu, A.M. Sweat Biomarker Sensor Incorporating Picowatt, Three-Dimensional Extended Metal Gate Ion Sensitive Field Effect Transistors. ACS Sens. 2019, 4, 2039–2047. [Google Scholar] [CrossRef]
- Sakata, T. Biologically Coupled Gate Field-Effect Transistors Meet in Vitro Diagnostics. ACS Omega 2019, 4, 11852–11862. [Google Scholar] [CrossRef]
- Hashim, U.; Chong, S.W.; Liu, W.W. Fabrication of Silicon Nitride Ion Sensitive Field-Effect Transistor for pH Measurement and DNA Immobilization/Hybridization. J. Nanomater. 2013, 2013, 542737. [Google Scholar] [CrossRef] [Green Version]
- Romele, P.; Gkoupidenis, P.; Koutsouras, D.A.; Lieberth, K.; Kovács-Vajna, Z.M.; Blom, P.W.M.; Torricelli, F. Multiscale real time and high sensitivity ion detection with complementary organic electrochemical transistors amplifier. Nat. Commun. 2020, 11, 3743. [Google Scholar] [CrossRef] [PubMed]
- Kim, S.; Kwon, D.W.; Kim, S.; Lee, R.; Kim, T.H.; Mo, H.S.; Kim, D.H.; Park, B.G. Analysis of current drift on p-channel pH-Sensitive SiNW ISFET by capacitance measurement. Curr. Appl. Phys. 2018, 18, S68–S74. [Google Scholar] [CrossRef]
- Jakobson, C.; Feinsod, M.; Nemirovsky, Y. Low frequency noise and drift in Ion Sensitive Field Effect Transistors. Sens. Actuators B Chem. 2000, 68, 134–139. [Google Scholar] [CrossRef]
- Jamasb, S. Current-Mode Signal Enhancement in the Ion-Selective Field Effect Transistor (ISFET) in the Presence of Drift and Hysteresis. IEEE Sens. J. 2021, 21, 4705–4712. [Google Scholar] [CrossRef]
- Esashi, M.; Matsuo, T. Integrated micro multi ion sensor using field effect of semiconductor. IEEE Trans. Biomed. Eng. 1978, 184–192. [Google Scholar] [CrossRef]
- Matsuo, T.; Esashi, M. Methods of ISFET fabrication. Sens. Actuators 1981, 1, 77–96. [Google Scholar] [CrossRef]
- Bousse, L.; Bergveld, P. The role of buried OH sites in the response mechanism of inorganic-gate pH-sensitive ISFETs. Sens. Actuators 1984, 6, 65–78. [Google Scholar] [CrossRef] [Green Version]
- Buck, R.P. Kinetics and drift of gate voltages for electrolyte-bathed chemically sensitive semiconductor devices. IEEE Trans. Electron Devices 1982, 29, 108–115. [Google Scholar] [CrossRef]
- Elyasi, A.; Fouladian, M.; Jamasb, S. Counteracting threshold-voltage drift in ion-selective field effect transistors (ISFETs) using threshold-setting ion implantation. IEEE J. Electron Devices Soc. 2018, 6, 747–754. [Google Scholar] [CrossRef]
- Böhm, S.; Timmer, B.; Olthuis, W.; Bergveld, P. A closed-loop controlled electrochemically actuated micro-dosing system. J. Micromech. Microeng. 2000, 10, 498. [Google Scholar] [CrossRef]
- Briggs, E.M.; Sandoval, S.; Erten, A.; Takeshita, Y.; Kummel, A.C.; Martz, T.R. Solid state sensor for simultaneous measurement of total alkalinity and pH of seawater. ACS Sens. 2017, 2, 1302–1309. [Google Scholar] [CrossRef]
- Sinha, S.; Sahu, N.; Bhardwaj, R.; Ahuja, H.; Sharma, R.; Mukhiya, R.; Shekhar, C. Modeling and simulation of temporal and temperature drift for the development of an accurate ISFET SPICE macromodel. J. Comput. Electron. 2020, 19, 367–386. [Google Scholar] [CrossRef]
- Bhardwaj, R.; Sinha, S.; Sahu, N.; Majumder, S.; Narang, P.; Mukhiya, R. Modeling and simulation of temperature drift for ISFET-based pH sensor and its compensation through machine learning techniques. Int. J. Circuit Theory Appl. 2019, 47, 954–970. [Google Scholar] [CrossRef]
- Jamasb, S.; Collins, S.; Smith, R.L. A physical model for drift in pH ISFETs. Sens. Actuators B Chem. 1998, 49, 146–155. [Google Scholar] [CrossRef]
- Schlom, D.G.; Guha, S.; Datta, S. Gate Oxides Beyond SiO2. MRS Bull. 2008, 33, 1017–1025. [Google Scholar] [CrossRef]
- Rollo, S.; Rani, D.; Leturcq, R.; Olthuis, W.; Garc, P.; Group, C. A high aspect ratio Fin-Ion Sensitive Field Effect Transistor: Compromises towards better electrochemical bio-sensing. Nano Lett. 2019, 19, 2741–3386. [Google Scholar] [CrossRef] [Green Version]
- Rollo, S.; Rani, D.; Olthuis, W.; García, C.P. High performance Fin-FET electrochemical sensor with high-k dielectric materials. Sens. Actuators B Chem. 2020, 303, 127215. [Google Scholar] [CrossRef] [Green Version]
- Rani, D.; Rollo, S.; Olthuis, W.; Krishnamoorthy, S.; Pascual García, C. Combining Chemical Functionalization and FinFET Geometry for Field Effect Sensors as Accessible Technology to Optimize pH Sensing. Chemosensors 2021, 9, 20. [Google Scholar] [CrossRef]






Publisher’s Note: MDPI stays neutral with regard to jurisdictional claims in published maps and institutional affiliations. |
© 2021 by the authors. Licensee MDPI, Basel, Switzerland. This article is an open access article distributed under the terms and conditions of the Creative Commons Attribution (CC BY) license (https://creativecommons.org/licenses/by/4.0/).
Share and Cite
Medina-Bailon, C.; Kumar, N.; Dhar, R.P.S.; Todorova, I.; Lenoble, D.; Georgiev, V.P.; García, C.P. Comprehensive Analytical Modelling of an Absolute pH Sensor. Sensors 2021, 21, 5190. https://doi.org/10.3390/s21155190
Medina-Bailon C, Kumar N, Dhar RPS, Todorova I, Lenoble D, Georgiev VP, García CP. Comprehensive Analytical Modelling of an Absolute pH Sensor. Sensors. 2021; 21(15):5190. https://doi.org/10.3390/s21155190
Chicago/Turabian StyleMedina-Bailon, Cristina, Naveen Kumar, Rakshita Pritam Singh Dhar, Ilina Todorova, Damien Lenoble, Vihar P. Georgiev, and César Pascual García. 2021. "Comprehensive Analytical Modelling of an Absolute pH Sensor" Sensors 21, no. 15: 5190. https://doi.org/10.3390/s21155190
APA StyleMedina-Bailon, C., Kumar, N., Dhar, R. P. S., Todorova, I., Lenoble, D., Georgiev, V. P., & García, C. P. (2021). Comprehensive Analytical Modelling of an Absolute pH Sensor. Sensors, 21(15), 5190. https://doi.org/10.3390/s21155190

