A Laterally Vibrating Lithium Niobate MEMS Resonator Array Operating at 500 °C in Air
Abstract
1. Introduction
2. Device Design and Experimental Setup
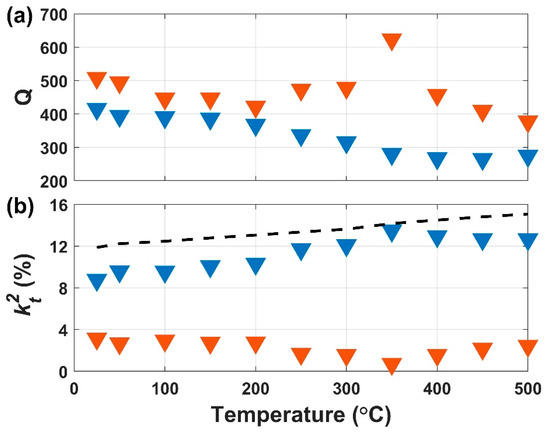
3. Experimental Results and Discussion
4. Conclusions
Author Contributions
Funding
Institutional Review Board Statement
Informed Consent Statement
Conflicts of Interest
References
- Gokhale, V.J.; Rais-Zadeh, M. Uncooled infrared detectors using gallium nitride on silicon micromechanical resonators. J. Microelectromech. Syst. 2014, 23, 803–810. [Google Scholar] [CrossRef]
- Calisgan, S.D.; Villanueva-Lopez, V.; Rajaram, V.; Qian, Z.; Kang, S.; Hernandez-Rivera, S.P.; Rinaldi, M. Spectroscopic chemical sensing based on narrowband MEMS resonant infrared detectors. In Proceedings of the 2018 IEEE SENSORS, New Delhi, India, 28–31 October 2018; pp. 1–4. [Google Scholar] [CrossRef]
- Moosavifar, M.; Ansari, A.; Rais-Zadeh, M. An AlN-on-Si resonant IR sensor array with a large temperature coefficient of frequency. In Proceedings of the 2016 IEEE SENSORS, Orlando, FL, USA, 30 October–3 November 2016; pp. 1–3. [Google Scholar] [CrossRef]
- Hui, Y.; Gomez-Diaz, J.S.; Qian, Z.; Alù, A.; Rinaldi, M. Plasmonic piezoelectric nanomechanical resonator for spectrally selective infrared sensing. Nat. Commun. 2016, 7. [Google Scholar] [CrossRef] [PubMed]
- Bardong, J.; Schulz, M.; Schmitt, M.; Shrena, I.; Eisele, D.; Mayer, E.; Reindl, L.M.; Fritze, H. Precise measurements of BAW and SAW properties of langasite in the temperature range from 25 °C to 1000 °C. In Proceedings of the 2008 IEEE International Frequency Control Symposium, Honolulu, HI, USA, 19–21 May 2008; pp. 326–331. [Google Scholar] [CrossRef]
- Li, L.; Peng, B.; Yu, H.; Zhang, W. Temperature characteristics of langasite surface acoustic wave resonators coated with SiO2 films. Sens. Actuator A Phys. 2018, 279, 399–403. [Google Scholar] [CrossRef]
- Aubert, T.; Elmazria, O. Stability of langasite regarding SAW applications above 800 °C in air atmosphere. In Proceedings of the 2012 IEEE International Ultrasonics Symposium, Dresden, Germany, 7–10 October 2012; pp. 2098–2101. [Google Scholar] [CrossRef]
- Yen, T.-T.; Lin, C.-M.; Zhao, X.; Felmetsger, V.V.; Senesky, D.G.; Hopcroft, M.A.; Pisano, A.P. Characterization of aluminum nitride lamb wave resonators operating at 600 °C for harsh environment RF applications. In Proceedings of the 2010 IEEE 23rd International Conference on Micro Electro Mechanical Systems (MEMS), Wanchai, Hong Kong, 24–28 January 2010; pp. 731–734. [Google Scholar] [CrossRef]
- Lin, C.-M.; Yen, T.-T.; Lai, Y.-J.; Felmetsger, V.V.; Hopcraft, M.A.; Kuypers, J.H.; Pisano, A.P. Temperature-compensated aluminum nitride lamb wave resonators. IEEE Trans. Ultrason. Ferroelectr. Freq. Control 2010, 57, 524–532. [Google Scholar] [CrossRef] [PubMed]
- Lin, C.-M.; Chen, Y.-Y.; Felmetsger, V.V.; Senesky, D.G.; Pisano, A.P. AlN/3C-SiC composite plate enabling high-frequency and high-Q micromechanical resonators. Adv. Mater. 2012, 24, 2722–2727. [Google Scholar] [CrossRef] [PubMed]
- Aubert, T.; Elmazria, O.; Assouar, B.; Bouvot, L.; Oudich, M. Surface acoustic wave devices based on AlN/sapphire structure for high temperature applications. Appl. Phys. Lett. 2010, 96. [Google Scholar] [CrossRef]
- Ansari, A.; Rais-Zadeh, M. A temperature-compensated gallium nitride micromechanical resonator. IEEE Electron Device Lett. 2014, 35, 1127–1129. [Google Scholar] [CrossRef]
- Aubert, T.; Kokanyan, N.; Alhousseini, H.; Taguett, A.; Bartoli, F.; Streque, J.; M’Jahed, H.; Boulet, P.; Elmazria, O. First investigations on stoichiometric lithium niobate as piezoelectric substrate for high-temperature surface acoustic waves applications. In Proceedings of the 2017 IEEE SENSORS, Glasgow, Scotland, 29 October—1 November 2017; pp. 1–3. [Google Scholar] [CrossRef]
- Streque, J.; Aubert, T.; Kokanyan, N.; Bartoli, F.; Taguett, A.; Polewczyk, V.; Kokanyan, E.; Hage-Ali, S.; Boulet, P.; Elmazria, O. Stoichiometric lithium niobate crystals: Towards identifiable wireless surface acoustic wave sensors operable up to 600 °C. IEEE Sens. Lett. 2019, 3, 1–4. [Google Scholar] [CrossRef]
- Hauser, R.; Reindl, L.; Biniasch, J. High-temperature stability of LiNbO3 based SAW devices. In Proceedings of the 2003 IEEE Symposium on Ultrasonics, Honolulu, HI, USA, 5–8 October 2003; Volume 1, pp. 192–195. [Google Scholar] [CrossRef]
- Fachberger, R.; Bruckner, G.; Knoll, G.; Hauser, R.; Biniasch, J.; Reindl, L. Applicability of LiNbO3, langasite and GaPO4 in high temperature SAW sensors operating at radio frequencies. IEEE Trans. Ultrason. Ferroelectr. Freq. Control 2004, 51, 1427–1431. [Google Scholar] [CrossRef] [PubMed]
- Smolenskii, G.A.; Krainik, N.N.; Khuchua, N.P.; Zhdanova, V.V.; Mylnikova, I.E. The curie temperature of LiNbO3. Phys. Status Solidi B 1966, 13, 309–314. [Google Scholar] [CrossRef]
- Weidenfelder, A.; Shi, J.; Fielitz, P.; Borchardt, G.; Becker, K.D.; Fritze, H. Electrical and electromechanical properties of stoichiometric lithium niobate at high-temperatures. Solid State Ion. 2012, 224, 26–29. [Google Scholar] [CrossRef]
- Knuuttila, J.V.; Tikka, P.T.; Salomaa, M.M. Scanning Michelson interferometer for imaging surface acoustic wave fields. Opt. Lett. 2000, 25, 613–615. [Google Scholar] [CrossRef] [PubMed]
- Pop, F.V.; Kochhar, A.S.; Vidal-Alvarez, G.; Piazza, G. Laterally vibrating lithium Niobate MEMS resonators with 30% electromechanical coupling coefficient. In Proceedings of the 2017 IEEE 30th International Conference on Micro Electro Mechanical Systems (MEMS), Las Vegas, NV, USA, 22–26 January 2017; pp. 966–969. [Google Scholar] [CrossRef]
- Manzaneque, T.; Lu, R.; Yang, Y.; Gong, S. A high FoM lithium niobate resonant transformer for passive voltage amplification. In Proceedings of the 2017 19th International Conference on Solid-State Sensors, Actuators and Microsystems (TRANSDUCERS), Kaohsiung, Taiwan, 18–22 June 2017; pp. 798–801. [Google Scholar] [CrossRef]
- Lu, R.; Manzaneque, T.; Yang, Y.; Gong, S. Exploiting parallelism in resonators for large voltage gain in low power wake up radio front ends. In Proceedings of the 2018 IEEE Micro Electro Mechanical Systems (MEMS), Belfast, UK, 21–25 January 2018; pp. 747–750. [Google Scholar] [CrossRef]
- Lu, R.; Li, M.; Yang, Y.; Manzaneque, T.; Gong, S. Accurate extraction of large electromechanical coupling in piezoelectric MEMS resonators. J. Microelectromech. Syst. 2019, 28, 209–218. [Google Scholar] [CrossRef]
- Bhugra, H.; Piazza, G. Piezoelectric MEMS Resonators; Springer International Publishing: Cham, Switzerland, 2017; p. 103. [Google Scholar]
- Gong, S.; Piazza, G. Design and analysis of lithium-niobate-based high electromechanical coupling RF-MEMS resonators for wideband filtering. IEEE Trans. Microw. Theory Tech. 2013, 61, 403–414. [Google Scholar] [CrossRef]
- Lin, C.-M. Temperature-Compensated and High-Q Piezoelectric Aluminum Nitride Lamb Wave Resonators for Timing and Frequency Control Applications. Ph.D. Thesis, University of California, Berkeley, CA, USA, 2013. [Google Scholar]








| Parameter | Mode A | Mode B |
|---|---|---|
| Rm (Ω) | 166 | 383 |
| Cm (fF) | 26.37 | 9.39 |
| Lm (μH) | 126 | 355 |
| C0 (fF) | 371 | |
| Parameter | Initial | Post Burn-In (Mode A/B) | Post In Situ Testing |
|---|---|---|---|
| fs (MHz) | 87.62 | 87.36/87.21 | 87.30 |
| Q | 348 | 415/508 | 334 |
| kt2(%) | 11.39 | 8.75/3.12 | 12.40 |
Publisher’s Note: MDPI stays neutral with regard to jurisdictional claims in published maps and institutional affiliations. |
© 2020 by the authors. Licensee MDPI, Basel, Switzerland. This article is an open access article distributed under the terms and conditions of the Creative Commons Attribution (CC BY) license (http://creativecommons.org/licenses/by/4.0/).
Share and Cite
Eisner, S.R.; Chapin, C.A.; Lu, R.; Yang, Y.; Gong, S.; Senesky, D.G. A Laterally Vibrating Lithium Niobate MEMS Resonator Array Operating at 500 °C in Air. Sensors 2021, 21, 149. https://doi.org/10.3390/s21010149
Eisner SR, Chapin CA, Lu R, Yang Y, Gong S, Senesky DG. A Laterally Vibrating Lithium Niobate MEMS Resonator Array Operating at 500 °C in Air. Sensors. 2021; 21(1):149. https://doi.org/10.3390/s21010149
Chicago/Turabian StyleEisner, Savannah R., Cailin A. Chapin, Ruochen Lu, Yansong Yang, Songbin Gong, and Debbie G. Senesky. 2021. "A Laterally Vibrating Lithium Niobate MEMS Resonator Array Operating at 500 °C in Air" Sensors 21, no. 1: 149. https://doi.org/10.3390/s21010149
APA StyleEisner, S. R., Chapin, C. A., Lu, R., Yang, Y., Gong, S., & Senesky, D. G. (2021). A Laterally Vibrating Lithium Niobate MEMS Resonator Array Operating at 500 °C in Air. Sensors, 21(1), 149. https://doi.org/10.3390/s21010149

