Active Disturbance Rejection Position Synchronous Control of Dual-Hydraulic Actuators with Unknown Dead-Zones
Abstract
1. Introduction
2. System Description and Modeling
2.1. Experimental Platform Description
2.2. Modeling
2.2.1. Valve-Controlled Asymmetric Hydraulic Cylinder
2.2.2. Amplifier
2.2.3. Electro-Hydraulic Proportional Valve
2.2.4. Displacement Feedback
2.2.5. Dead-Zone Nonlinearity
2.3. Identification of Model Parameters
3. Model Reference Adaptive Dead-Zone Inverse Controller
3.1. Design of Controller
3.2. Convergence Analysis of Adaptive Law
4. LADRC Synchronization Controller
Controller Design
5. Experiment
5.1. Experimental Setup
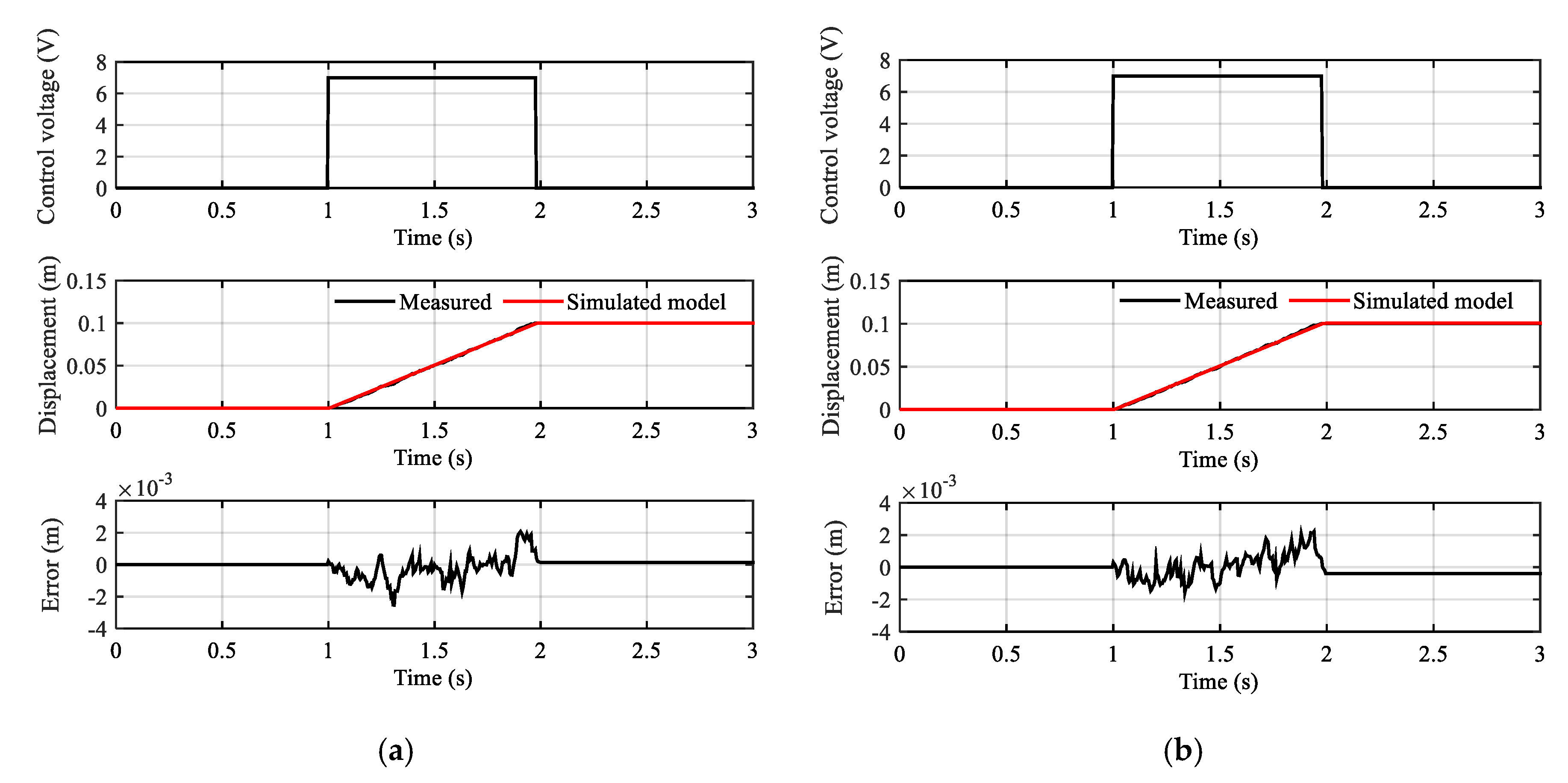
5.2. Control Effect of the Dead-Zone Adaptive Inverse Algorithm
5.3. The Synchronous Control Performance of LADRC
6. Conclusions
Author Contributions
Funding
Conflicts of Interest
References
- Won, D.; Kim, W.; Tomizuka, M. High-gain-observer-based integral sliding mode control for position tracking of electrohydraulic servo systems. IEEE ASME Trans. Mechatron. 2017, 22, 2695–2704. [Google Scholar] [CrossRef]
- Acuña-Bravo, W.; Canuto, E.; Agostani, M.; Bonadei, M. Proportional electro-hydraulic valves: An embedded model control solution. Control Eng. Pract. 2017, 62, 22–35. [Google Scholar] [CrossRef]
- Feng, H.; Yin, C.; Ma, W.; Yu, H.; Cao, D. Parameters identification and trajectory control for a hydraulic system. ISA Trans. 2019, 92, 228–240. [Google Scholar] [CrossRef] [PubMed]
- Yang, H.; Shi, H.; Gong, G.; Hu, G. Electro-hydraulic proportional control of thrust system for shield tunneling machine. Autom. Constr. 2009, 18, 950–956. [Google Scholar]
- Li, K.; Mannan, M.A.; Xu, M.; Xiao, Z. Electro-hydraulic proportional control of twin-cylinder hydraulic elevators. Control Eng. Pract. 2001, 9, 367–373. [Google Scholar] [CrossRef]
- Rybak, A.T.; Temirkanov, A.R.; Lyakhnitskaya, O.V. Synchronous hydromechanical drive of a mobile machine. Russ. Eng. Res. 2018, 38, 212–217. [Google Scholar] [CrossRef]
- Shang, Y.; Bai, N.; Jiao, L.; Yao, N.; Wu, S.; Jiao, Z. Motion synchronous composite decoupling with fewer sensors on multichannel hydraulic force control for aircraft structural loading test system. Sensors 2018, 18, 4050. [Google Scholar] [CrossRef]
- Cheng, M.; Zhang, J.; Xu, B.; Ding, R.; Wei, J. Decoupling compensation for damping improvement of the electrohydraulic control system with multiple actuators. IEEE ASME Trans. Mechatron. 2018, 23, 1383–1392. [Google Scholar] [CrossRef]
- Guo, Q.; Shi, G.; Wang, D.; He, C.; Hu, J.; Wang, W. Iterative learning based output feedback control for electro-hydraulic loading system of a gait simulator. Mechatronics 2018, 54, 110–120. [Google Scholar] [CrossRef]
- Xu, B.; Su, Q.; Zhang, J.; Lu, Z. Analysis and compensation for the cascade dead-zones in the proportional control valve. ISA Trans. 2017, 66, 393–403. [Google Scholar] [CrossRef]
- Li, Y.; Liu, W.; Yang, L.; Ji, Z.; Zhao, Y.; Wang, P.; Zhang, L. Development of electro-hydraulic proportion control system of track-laying machinery for high speed railway construction. Mechatronics 2016, 40, 167–177. [Google Scholar] [CrossRef]
- Sun, H.; Chiu, G.T.C. Motion synchronization for dual-cylinder electro-hydraulic lift systems. IEEE ASME Trans. Mechatron. 2002, 7, 171–181. [Google Scholar]
- Jeong, S.K.; You, S.S. Precise position synchronous control of multi-axis servo system. Mechatronics 2008, 18, 129–140. [Google Scholar] [CrossRef]
- Zhao, C.; Yu, C.; Yao, J. Dynamic decoupling based robust synchronous control for a hydraulic parallel manipulator. IEEE Access 2019, 7, 30548–30562. [Google Scholar] [CrossRef]
- Zhong, G.; Shao, Z.; Deng, H.; Ren, J. Precise position synchronous control for multi-axis servo systems. IEEE Trans. Ind. Electron. 2017, 64, 3707–3717. [Google Scholar] [CrossRef]
- Shang, W.; Zhang, B.; Zhang, B.; Zhang, F.; Cong, S. Synchronization control in the cable space for cable-driven parallel robots. IEEE Trans. Ind. Electron. 2018, 66, 4544–4554. [Google Scholar] [CrossRef]
- Chen, C.Y.; Liu, L.Q.; Cheng, C.C.; Chiu, G.T.C. Fuzzy controller design for synchronous motion in a dual-cylinder electro-hydraulic system. Control Eng. Pract. 2008, 16, 658–673. [Google Scholar] [CrossRef]
- Xu, X.; Bai, Z.; Shao, Y. Synchronization Control Algorithm of Double-Cylinder Forging Hydraulic Press Based on Fuzzy Neural Network. Algorithms 2019, 12, 63. [Google Scholar] [CrossRef]
- Sang, Y.; Sun, W.; Duan, F.; Zhao, J. Bidirectional synchronization control for an electrohydraulic servo loading system. Mechatronics 2019, 62, 102254. [Google Scholar] [CrossRef]
- Sarkar, B.K.; Das, J.; Saha, R.; Mookherjee, S.; Sanyal, D. Approaching servoclass tracking performance by a proportional valve-controlled system. IEEE ASME Trans. Mechatron. 2013, 18, 1425–1430. [Google Scholar] [CrossRef]
- Lee, I.; Oh, D.; Ji, S.; Yun, S. Control of an overlap-type proportional directional control valve using input shaping filter. Mechatronics 2015, 29, 87–95. [Google Scholar] [CrossRef]
- Lu, Z.; Zhang, J.; Xu, B.; Wang, D.; Su, Q.; Qian, J.; Pan, M. Deadzone compensation control based on detection of micro flow rate in pilot stage of proportional directional valve. ISA Trans. 2019, 94, 234–245. [Google Scholar] [CrossRef]
- Tao, G.; Kokotovic, P.V. Adaptive control of plants with unknown dead-zones. IEEE Trans. Autom. Control 1994, 39, 59–68. [Google Scholar]
- Zhou, J.; Wen, C.; Zhang, Y. Adaptive output control of nonlinear systems with uncertain dead-zone nonlinearity. IEEE Trans. Autom. Control 2006, 51, 504–511. [Google Scholar] [CrossRef]
- Deng, H.; Luo, J.; Duan, X.; Zhong, G. Adaptive inverse control for gripper rotating system in heavy-duty manipulators with unknown dead zones. IEEE Trans. Ind. Electron. 2017, 64, 7952–7961. [Google Scholar] [CrossRef]
- Deng, W.; Yao, J.; Ma, D. Robust adaptive precision motion control of hydraulic actuators with valve dead-zone compensation. ISA Trans. 2017, 70, 269–278. [Google Scholar] [CrossRef]
- Mohanty, A.; Yao, B. Integrated direct/indirect adaptive robust control of hydraulic manipulators with valve deadband. IEEE ASME Trans. Mechatron. 2010, 16, 707–715. [Google Scholar] [CrossRef]
- Bessa, W.M.; Dutra, M.S.; Kreuzer, E. An adaptive fuzzy dead-zone compensation scheme and its application to electro-hydraulic systems. J. Braz. Soc. Mech. Sci. Eng. 2010, 32, 1–7. [Google Scholar] [CrossRef][Green Version]
- Zhou, Q.; Zhao, S.; Li, H.; Lu, R.; Wu, C. Adaptive neural network tracking control for robotic manipulators with dead zone. IEEE Trans. Neural Netw. Learn. Syst. 2018, 30, 3611–3620. [Google Scholar] [CrossRef]
- Han, J. From PID to active disturbance rejection control. IEEE Trans. Ind. Electron. 2009, 56, 900–906. [Google Scholar] [CrossRef]
- Tian, C.; Yan, P. Data-driven iterative tuning based active disturbance rejection control for piezoelectric nano-positioners. Mechatronics 2020, 65, 102321. [Google Scholar] [CrossRef]
- Ahi, B.; Haeri, M. Linear active disturbance rejection control from the practical aspects. IEEE ASME Trans. Mechatron. 2018, 23, 2909–2919. [Google Scholar] [CrossRef]
- Gao, Z.Q. Scaling and bandwidth-parameterization based controller tuning. In Proceedings of the 2003 American Control Conference, Denver, CO, USA, 4–6 June 2003; pp. 4989–4996. [Google Scholar]
- Li, P.; Zhu, G. IMC-based PID control of servo motors with extended state observer. Mechatronics 2019, 62, 102252. [Google Scholar] [CrossRef]
- Sun, L.; Hua, Q.; Shen, J.; Xue, Y.; Li, D.; Lee, K.Y. Multi-objective optimization for advanced superheater steam temperature control in a 300 MW power plant. Appl. Energy 2017, 208, 592–606. [Google Scholar] [CrossRef]
- Stanković, M.R.; Manojlović, S.M.; Simić, S.M.; Mitrović, S.T.; Naumović, M.B. FPGA system-level based design of multi-axis ADRC controller. Mechatronics 2016, 40, 146–155. [Google Scholar] [CrossRef]
- Merritt, H.E. Hydraulic Control Systems; Wiley: New York, NY, USA, 1967. [Google Scholar]















| Symbol | Value | Symbol | Value |
|---|---|---|---|
| −1.118 | −1.003 | ||
| 0.1751 | 0.03041 | ||
| −0.1332 | −0.01021 | ||
| −0.0761 | −0.0172 | ||
| Components | Type | Specifications | Values |
|---|---|---|---|
| AC motor | Y112M-4 | Rotational speed | 1440 rev/min |
| Hydraulic pump | 10MCY14-1B | Displacement | 10 L/rev |
| Proportional directional valve | HD-4WRA6E07-2X/G24Z4 | Rated flow | 30 L/min |
| Hydraulic actuator | YW140LLBDCS-200D0AE | Piston diameter | 40 mm |
| Piston rod diameter | 25 mm | ||
| Displacement sensor | KTC-200 | Linearity | 0.05 mm |
| S7-300 PLC | 6ES7315-2AH14-0AB0 | - | - |
| S7-321 DI | 6ES7321-1BH02-0AA0 | Number of input channels | 16 |
| S7-322 DO | 6ES7322-1HH01-0AA0 | Number of output channels | 16 |
| A/D card | Advantech PCI-1710 | Resolution | 12-bit |
| Maximum sampling rate | 100 kHz | ||
| D/A card | Advantech PCI-1723 | Resolution | 16-bit |
| IPC | Advantech IPC-7132 | - | - |
Publisher’s Note: MDPI stays neutral with regard to jurisdictional claims in published maps and institutional affiliations. |
© 2020 by the authors. Licensee MDPI, Basel, Switzerland. This article is an open access article distributed under the terms and conditions of the Creative Commons Attribution (CC BY) license (http://creativecommons.org/licenses/by/4.0/).
Share and Cite
Wang, L.; Zhao, D.; Liu, F.; Liu, Q.; Zhang, Z. Active Disturbance Rejection Position Synchronous Control of Dual-Hydraulic Actuators with Unknown Dead-Zones. Sensors 2020, 20, 6124. https://doi.org/10.3390/s20216124
Wang L, Zhao D, Liu F, Liu Q, Zhang Z. Active Disturbance Rejection Position Synchronous Control of Dual-Hydraulic Actuators with Unknown Dead-Zones. Sensors. 2020; 20(21):6124. https://doi.org/10.3390/s20216124
Chicago/Turabian StyleWang, Lixin, Dingxuan Zhao, Fucai Liu, Qian Liu, and Zhuxin Zhang. 2020. "Active Disturbance Rejection Position Synchronous Control of Dual-Hydraulic Actuators with Unknown Dead-Zones" Sensors 20, no. 21: 6124. https://doi.org/10.3390/s20216124
APA StyleWang, L., Zhao, D., Liu, F., Liu, Q., & Zhang, Z. (2020). Active Disturbance Rejection Position Synchronous Control of Dual-Hydraulic Actuators with Unknown Dead-Zones. Sensors, 20(21), 6124. https://doi.org/10.3390/s20216124

