Edge Computing to Secure IoT Data Ownership and Trade with the Ethereum Blockchain
Abstract
1. Introduction
2. Related Work
3. EdgeBoT: P2P Data Trade Architecture
- Sensor layer includes individual sensors, actuators or other light nodes which do not possess any computational or storage capabilities to participate in a network for data processing and trade.
- Edge layer consists of a local network (BLE, radio access points) and single-board computers (SBC).
- Fog layer consists of manager nodes which work as an arbitrator, regulatory authorities, transaction and data handlers for the Ethereum blockchain.
- Cloud layer provides a place for applications and storage.
3.1. Data Processing and Aggregation at the Edge
3.2. Data Trade through Ethereum
3.3. Security Measures
- ECIES is used in key encapsulation mechanism which combined with a data encapsulation mechanism, to encrypt data batch by using the public key of edge node and send encrypted data to managerial nodes. As compared to the more widely used Rivest–Shamir–Adleman (RSA) cryptosystem, elliptic curve cryptography (ECC) requires shorter keys to provide the same levels of security. At the same time, ECC usually requires lower computational and memory resources, which makes it stand strong for scarce computing devices. It is used in practice to establish a key in situations where data transfer is unidirectional or data is stored encrypted under the public key.
- CKD functions are used by hierarchical deterministic wallets to derive children keys from parent keys. This methodology is employed to generate a unique secret key for each data batch in the device to be encrypted. Based on the parent’s public key (private and public keys are both 256 bits), its chain code and the desired child index, and 512-bit hash is generated. The one-way hash function used in the process makes it impossible to obtain the original parent key from the n-child key. The additions modulo n in the process generate seemingly random numbers.
- ECDSA is the first successful standard algorithm based on elliptic curve cryptography, which gained the attention of security researchers due to its robust mathematical structure and smaller key sizes for constrained resource devices. it is used in the communication of buyers and sellers as well as to send unique child secret of required data batch.
4. Implementation and Results
4.1. System Implementation
- System initialization: the generation of encryption parameters, creation of genesis file, and the initialization of the Ethereum blockchain. Define terms of usage, certificates, and policies through smart contracts. A new device/buyer registration process is done through the implementation of smart contracts.
- Generation of encryption keys: Each connected device generates its key pair of secret and public keys . The secret key is randomly generated, and then the private key and child secret keys are derived from it. Each child secret key is used to encrypt one data batch.
Process 1: Process 2: - Data processing, encryption and storage: Edge gateways divide the acquired data segments into data batches after every time T and implement embedded edge AI algorithms. If edge devices do not have enough resources to process data, data is saved as raw data. After encryption, devices call the smart contract function. NewDataBatch to add a transaction to the blockchain. The transaction includes the data hash, the encrypted AES encryption key, the time-stamp of the storage operation, type, and the size of stored data and price. After encryption and broadcasting the hash and metadata, each batch is sent to a storage.
- Transaction Initialization: When the Application layer (buyer) requests a data batch from manager nodes (seller), it first looks into the available records calling the smart contract function LookUpBatch. If it finds suitable data and its price is within predefined limits, then it initializes a data trade by depositing the amount. This is done calling the smart contract function Deposit, to which a buyer adds a price, its public encryption key, its address or identifier, and the ID of the requested batch.
Process 3: Process 4: - Transaction Confirmation: Manager nodes run this process periodically, querying available DataBatch requests with a deposit. If any deposit is found meeting the selling conditions in the requested batch, it validates the transaction, and then it encrypts the csk of the requested batch with the buyer’s public key and confirms the Deal.
- Finalization of data transfer: When a buyer receives an encrypted data batch AES key, it uses the ECIES decryption algorithm to obtain the AES batch key. Subsequently, it queries the storage provider with the batch address and decrypts it to obtain the information. The data transfer, or purchase, is done if a buyer is satisfied. If the buyer is not satisfied with the received data batch, it will ask for a refund. The manager node will respond to a dispute case by cross-checking the batch details. After obtaining the results, a manager node will respond according to the results.
Process 5: Process 6:
4.2. Performance Analyses
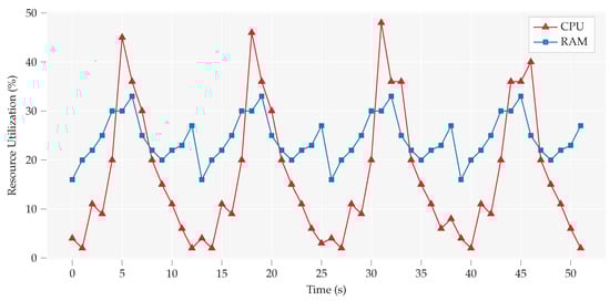
4.3. Scalability Analysis
5. Conclusions and Future Work
Author Contributions
Funding
Conflicts of Interest
References
- Al-Fuqaha, A.; Guizani, M.; Mohammadi, M.; Aledhari, M.; Ayyash, M. Internet of Things: A Survey on Enabling Technologies, Protocols, and Applications. IEEE Commun. Surv. Tutor. 2015, 17, 2347–2376. [Google Scholar] [CrossRef]
- Ahmed, S.M.; Rajput, A. Threats to patients’ privacy in smart healthcare environment. In Innovation in Health Informatics; Elsevier: Amsterdam, The Netherlands, 2020; pp. 375–393. [Google Scholar]
- Dastjerdi, A.V.; Buyya, R. Fog computing: Helping the Internet of Things realize its potential. Computer 2016, 49, 112–116. [Google Scholar]
- Roman, R.; Lopez, J.; Mambo, M. Mobile edge computing, fog et al.: A survey and analysis of security threats and challenges. Future Gener. Comput. Syst. 2018, 78, 680–698. [Google Scholar]
- Huh, S.; Cho, S.; Kim, S. Managing IoT devices using blockchain platform. In Proceedings of the IEEE 19th International Conference on Advanced Communication Technology (ICACT), PyeongChang, Korea, 19–22 February 2017; pp. 464–467. [Google Scholar]
- Shafagh, H.; Burkhalter, L.; Hithnawi, A.; Duquennoy, S. Towards Blockchain-based Auditable Storage and Sharing of IoT Data. In Proceedings of the 2017 on Cloud Computing Security Workshop, CCSW ’17, Dallas, TX, USA, 3 November 2017; ACM: New York, NY, USA, 2017; pp. 45–50. [Google Scholar] [CrossRef]
- Tang, B.; Chen, Z.; Hefferman, G.; Wei, T.; He, H.; Yang, Q. A hierarchical distributed fog computing architecture for big data analysis in smart cities. In Proceedings of the ASE BigData & SocialInformatics 2015, Kaohsiung, Taiwan, 7–9 October 2015; ACM: New York, NY, USA, 2015; p. 28. [Google Scholar]
- Gia, T.N.; Jiang, M. Exploiting Fog Computing in Health Monitoring. In Fog and Edge Computing: Principles and Paradigms; Wiley: Hoboken, NJ, USA, 2019; pp. 291–318. [Google Scholar]
- Peña Queralta, J.; Gia, T.N.; Tenhunen, H.; Westerlund, T. Edge-AI in LoRabased healthcare monitoring: A case study on fall detection system with LSTM Recurrent Neural Networks. In Proceedings of the 42nd International Conference on Telecommunications, Signal Processing (TSP), Budapest, Hungary, 1–3 July 2019. [Google Scholar]
- Gia, T.N.; Nawaz, A.; Querata, J.P.; Tenhunen, H.; Westerlund, T. Artificial Intelligence at the Edge in the Blockchain of Things. In Proceedings of the International Conference on Wireless Mobile Communication and Healthcare, Dublin, Ireland, 14–15 November 2019; Springer: Berlin, Germany, 2019; pp. 267–280. [Google Scholar]
- Al Hamid, H.A.; Rahman, S.M.M.; Hossain, M.S.; Almogren, A.; Alamri, A. A Security Model for Preserving the Privacy of Medical Big Data in a Healthcare Cloud Using a Fog Computing Facility With Pairing-Based Cryptography. IEEE Access 2017, 5, 22313–22328. [Google Scholar] [CrossRef]
- Shi, W.; Dustdar, S. The Promise of Edge Computing. Computer 2016, 49, 78–81. [Google Scholar] [CrossRef]
- Fernandes, E.; Jung, J.; Prakash, A. Security Analysis of Emerging Smart Home Applications. In Proceedings of the IEEE Symposium on Security and Privacy (SP), San Jose, CA, USA, 23–25 May 2016; pp. 636–654. [Google Scholar] [CrossRef]
- Risteska Stojkoska, B.L.; Trivodaliev, K.V. A review of Internet of Things for smart home: Challenges and solutions. J. Clean. Prod. 2017, 140, 1454–1464. [Google Scholar] [CrossRef]
- Hoy, M.B. Alexa, siri, cortana, and more: An introduction to voice assistants. Med. Ref. Serv. Q. 2018, 37, 81–88. [Google Scholar]
- Apthorpe, N.; Reisman, D.; Feamster, N. A smart home is no castle: Privacy vulnerabilities of encrypted iot traffic. arXiv 2017, arXiv:1705.06805. [Google Scholar]
- Foroglou, G.; Tsilidou, A.L. Further applications of the blockchain. In Proceedings of the 12th Student Conference on Managerial Science and Technology, Athens, Greece, 14 May 2015; pp. 1–8. [Google Scholar]
- Conoscenti, M.; Vetrò, A.; De Martin, J.C. Blockchain for the Internet of Things: A systematic literature review. In Proceedings of the IEEE/ACS 13th International Conference of Computer Systems and Applications (AICCSA), Agadir, Morocco, 29 November–2 December 2016; pp. 1–6. [Google Scholar] [CrossRef]
- Novo, O. Blockchain Meets IoT: An Architecture for Scalable Access Management in IoT. IEEE Internet Things J. 2018, 5, 1184–1195. [Google Scholar] [CrossRef]
- Dorri, A.; Kanhere, S.S.; Jurdak, R.; Gauravaram, P. Blockchain for IoT security and privacy: The case study of a smart home. In Proceedings of the IEEE International Conference on Pervasive Computing and Communications Workshops (PerCom Workshops), Big Island, HI, USA, 13–17 March 2017; pp. 618–623. [Google Scholar]
- Christidis, K.; Devetsikiotis, M. Blockchains and Smart Contracts for the Internet of Things. IEEE Access 2016, 4, 2292–2303. [Google Scholar] [CrossRef]
- Buterin, V. A Next-Generation Smart Contract and Decentralized Application Platform. White Paper. 2014. Available online: https://blockchainlab.com/pdf/Ethereum_white_paper-a_next_generation_smart_contract_and_decentralized_application_platform-vitalik-buterin.pdf (accessed on 20 May 2020).
- Suo, H.; Wan, J.; Zou, C.; Liu, J. Security in the internet of things: A review. In Proceedings of the IEEE International Conference on Computer Science and Electronics Engineering, Zhangjiajie, China, 25–27 May 2012; Volume 3, pp. 648–651. [Google Scholar]
- Alaa, M.; Zaidan, A.A.; Zaidan, B.B.; Talal, M.; Kiah, M.L.M. A review of smart home applications based on Internet of Things. J. Netw. Comput. Appl. 2017, 97, 48–65. [Google Scholar]
- Zhang, K.; Liang, X.; Lu, R.; Shen, X. Sybil attacks and their defenses in the internet of things. IEEE Internet Things J. 2014, 1, 372–383. [Google Scholar]
- Sha, K.; Yang, T.A.; Wei, W.; Davari, S. A survey of edge computing based designs for IoT security. Digit. Commun. Netw. 2020, 6, 195–202. [Google Scholar] [CrossRef]
- Hsu, R.H.; Lee, J.; Quek, T.Q.; Chen, J.C. Reconfigurable security: Edge-computing-based framework for IoT. IEEE Netw. 2018, 32, 92–99. [Google Scholar]
- Lin, J.; Yu, W.; Zhang, N.; Yang, X.; Zhang, H.; Zhao, W. A survey on internet of things: Architecture, enabling technologies, security and privacy, and applications. IEEE Internet Things J. 2017, 4, 1125–1142. [Google Scholar]
- Lu, Y. The blockchain: State-of-the-art and research challenges. J. Ind. Inf. Integr. 2019, 15, 80–90. [Google Scholar] [CrossRef]
- Taylor, P.J.; Dargahi, T.; Dehghantanha, A.; Parizi, R.M.; Choo, K.K.R. A systematic literature review of blockchain cyber security. Digit. Commun. Netw. 2020, 6, 147–156. [Google Scholar] [CrossRef]
- Li, X.; Huang, X.; Li, C.; Yu, R.; Shu, L. EdgeCare: Leveraging edge computing for collaborative data management in mobile healthcare systems. IEEE Access 2019, 7, 22011–22025. [Google Scholar]
- Lin, X.; Li, J.; Wu, J.; Liang, H.; Yang, W. Making knowledge tradable in edge-AI enabled IoT: A consortium blockchain-based efficient and incentive approach. IEEE Trans. Ind. Inform. 2019, 15, 6367–6378. [Google Scholar]
- Krittanawong, C.; Rogers, A.J.; Aydar, M.; Choi, E.; Johnson, K.W.; Wang, Z.; Narayan, S.M. Integrating blockchain technology with artificial intelligence for cardiovascular medicine. Nat. Rev. Cardiol. 2020, 17, 1–3. [Google Scholar]
- Debe, M.; Salah, K.; Rehman, M.H.R.; Svetinovic, D. IoT Public Fog Nodes Reputation System: A Decentralized Solution Using Ethereum Blockchain. IEEE Access 2019, 7, 178082–178093. [Google Scholar]
- Mazzei, D.; Baldi, G.; Fantoni, G.; Montelisciani, G.; Pitasi, A.; Ricci, L.; Rizzello, L. A Blockchain Tokenizer for Industrial IOT trustless applications. Future Gener. Comput. Syst. 2020, 105, 432–445. [Google Scholar]
- Yuan, P.; Xiong, X.; Lei, L.; Zheng, K. Design and Implementation on Hyperledger-Based Emission Trading System. IEEE Access 2018, 7, 6109–6116. [Google Scholar]
- Rahman, M.A.; Rashid, M.M.; Hossain, M.S.; Hassanain, E.; Alhamid, M.F.; Guizani, M. Blockchain and IoT-based cognitive edge framework for sharing economy services in a smart city. IEEE Access 2019, 7, 18611–18621. [Google Scholar]
- Popov, S. The Tangle. White Paper. 2016. Available online: Iota.org (accessed on 20 May 2020).
- Lerner, S.D. DagCoin: A Cryptocurrency without Blocks. 2015. Available online: https://bitslog.com/2015/09/11/dagcoin/ (accessed on 20 May 2020).
- Yang, R.; Fe, R.Y.; Pengbo, S.; Zhaoxin, Y.; Yanhua, Z. Integrated Blockchain and Edge Computing Systems: A Survey, Some Research Issues and Challenges. IEEE Commun. Surv. Tutorials 2019, 21, 1508–1532. [Google Scholar]
- Cha, S.C.; Chen, J.F.; Su, C.; Yeh, K.H. A Blockchain Connected Gateway for BLE-Based Devices in the Internet of Things. IEEE Access 2018, 6, 24639–24649. [Google Scholar]
- Bergquist, J. Blockchain Technology and Smart Contracts: Privacy-Preserving Tools. Master’s Thesis, Uppsala University, Uppsala, Sweden, 2017. [Google Scholar]
- Poon, J.; Buterin, V. Plasma: Scalable Autonomous Smart Contracts. White Paper. 2017, pp. 1–47. Available online: https://www.plasma.io/plasma.pdf (accessed on 23 May 2020).
- Zilliqa Team. The ZILLIQA Technical Whitepaper. Retrieved Sept. 2017, 16, 2019. [Google Scholar]
- Sompolinsky, Y.; Zohar, A. Accelerating Bitcoin’s Transaction Processing. Fast Money Grows on Trees, Not Chains. Available online: https://eprint.iacr.org/2013/881 (accessed on 13 July 2020).
- De Filippi, P.; McCarthy, S. Cloud computing: Centralization and data sovereignty. Eur. J. Law Technol. 2012, 3, 21. [Google Scholar]
- Notheisen, B.; Cholewa, J.B.; Shanmugam, A.P. Trading real-world assets on blockchain. Bus. Inf. Syst. Eng. 2017, 59, 425–440. [Google Scholar]
- Wood, G. Ethereum: A secure decentralised generalised transaction ledger. Ethereum Proj. Yellow Pap. 2014, 151, 1–32. [Google Scholar]
- Yu, W.; Liang, F.; He, X.; Hatcher, W.G.; Lu, C.; Lin, J.; Yang, X. A survey on the edge computing for the Internet of Things. IEEE Access 2017, 6, 6900–6919. [Google Scholar]
- Mukherjee, M.; Matam, R.; Shu, L.; Maglaras, L.; Ferrag, M.A.; Choudhury, N.; Kumar, V. Security and privacy in fog computing: Challenges. IEEE Access 2017, 5, 19293–19304. [Google Scholar]
- Yi, S.; Qin, Z.; Li, Q. Security and privacy issues of fog computing: A survey. In Wireless Algorithms, Systems, and Applications; Springer: Berlin/Heidelberg, Germany, 2015; pp. 685–695. [Google Scholar]
- Shoup, V. A Proposal for an ISO Standard for Public Key Encryption (Version 2.1). Available online: https://eprint.iacr.org/2001/112 (accessed on 13 July 2020).
- Antonopoulos, A.M. Mastering Bitcoin: Programming the Open Blockchain; O’Reilly Media, Inc.: Newton, MA, USA, 2017. [Google Scholar]
- Hankerson, D.; Menezes, A.J.; Vanstone, S. Guide to Elliptic Curve Cryptography; Springer Science & Business Media: Berlin, Germany, 2006. [Google Scholar]
- Back, A.; Corallo, M.; Dashjr, L.; Friedenbach, M.; Maxwell, G.; Miller, A.; Poelstra, A.; Timón, J.; Wuille, P. Enabling Blockchain Innovations with Pegged Sidechains. 2014, Volume 72. Available online: http://www.Opensciencereview.Com/papers/123/enablingblockchain-Innov. (accessed on 20 May 2020).
- Eyal, I.; Gencer, A.E.; Sirer, E.G.; Van Renesse, R. Bitcoin-ng: A scalable blockchain protocol. In Proceedings of the 13th {USENIX} Symposium on Networked Systems Design and Implementation ({NSDI} 16), Santa Clara, CA, USA, 14–17 March 2016; pp. 45–59. [Google Scholar]
- Lee, S. Explaining Directed Acylic Graph (DAG), the Real Blockchain 3.0. 2018. Available online: https://dagcoin.org/explaining-directed-acylic-graph-dag-the-real-blockchain-3-0/ (accessed on 13 July 2020).
- Nawaz, A.; Gia, T.M.; Pena, Q.J.; Westerlund, T. Edge AI and Blockchain for Privacy-Critical and Data-Sensitive Applications. In Proceedings of the 12th International Conference on Mobile Computing and Ubiquitous Networking (ICMU), Kathmandu, Nepal, 4–6 November 2019. [Google Scholar]






| Existing Challenges | Proposed Approach |
|---|---|
| Challenge: Data ownership | |
| Existing client-server models might use personal information without owner’s consent and knowledge | in the blockchain model, every node can work as a server and does not need to rely on service providers to store personal information. Besides, data cannot be extracted without the network’s knowledge. |
| Challenge: Third party access | |
| Vulnerabilities in client server models makes it easy for the attacker to get access of sensitive information | in distributed structure of blockchain, data is distributed over a number of nodes, which removes the threat of data access via single entry point. Adversaries can get a portion of data that are cryptographically hashed and meaningless. Validating all transactions with the consensus of network nodes eliminates the need of third parties and records of transactions processed by the network be tampered with. |
| Challenge: Unauthorized access | |
| a vulnerability in a third-party service can grant access to all personal data beyond what the third party is storing. | Blockchains’ distributed structure and their strong cryptographic algorithms reduces the risk of unauthorized access to private data. An attacker with access to a validated third party can only access data where access was previously granted. |
| Challenge: Cost | |
| A drastic increase in the amount of IoT devices connected to cloud increased the need of computational capabilities | the distributed structure of the blockchain model and edge based computing architectures reduces the computational burden of individual nodes, including external cloud services. |
| Challenge: Data Manipulation | |
| Data manipulation risk is high for IoT external storages. | the blockchain model provides resilience to data compromise, as it cannot be forged because the information in the mined blocks is not allowed to alter. |
| Challenge: Server unavailability | |
| Centralized architectures that are based on cloud servers can fail if the connection to the server is broken. | the peer to peer nature of the blockchain-based transactions ensures that, if a connection between two nodes exists, then data can be transmitted independently of the availability of other nodes. |
| Parameter | Implementation |
|---|---|
| Authorization | Public key cryptography to encrypt CSK |
| Confidentiality | Public key cryptography and proof of authority |
| Integrity | Broadcast hash of each data_batch |
| Availability | Achieved by limiting number of requests |
| Anonymity | Discard raw data and store only processed information |
© 2020 by the authors. Licensee MDPI, Basel, Switzerland. This article is an open access article distributed under the terms and conditions of the Creative Commons Attribution (CC BY) license (http://creativecommons.org/licenses/by/4.0/).
Share and Cite
Nawaz, A.; Peña Queralta, J.; Guan, J.; Awais, M.; Gia, T.N.; Bashir, A.K.; Kan, H.; Westerlund, T. Edge Computing to Secure IoT Data Ownership and Trade with the Ethereum Blockchain. Sensors 2020, 20, 3965. https://doi.org/10.3390/s20143965
Nawaz A, Peña Queralta J, Guan J, Awais M, Gia TN, Bashir AK, Kan H, Westerlund T. Edge Computing to Secure IoT Data Ownership and Trade with the Ethereum Blockchain. Sensors. 2020; 20(14):3965. https://doi.org/10.3390/s20143965
Chicago/Turabian StyleNawaz, Anum, Jorge Peña Queralta, Jixin Guan, Muhammad Awais, Tuan Nguyen Gia, Ali Kashif Bashir, Haibin Kan, and Tomi Westerlund. 2020. "Edge Computing to Secure IoT Data Ownership and Trade with the Ethereum Blockchain" Sensors 20, no. 14: 3965. https://doi.org/10.3390/s20143965
APA StyleNawaz, A., Peña Queralta, J., Guan, J., Awais, M., Gia, T. N., Bashir, A. K., Kan, H., & Westerlund, T. (2020). Edge Computing to Secure IoT Data Ownership and Trade with the Ethereum Blockchain. Sensors, 20(14), 3965. https://doi.org/10.3390/s20143965







