Single Photon Counting UV Solar-Blind Detectors Using Silicon and III-Nitride Materials
Abstract
:1. Introduction
2. Materials and Methods: Silicon and Gallium Nitride/Gallium Aluminum Nitride Detector Designs with Avalanche Gain
2.1. Single Photon Counting in the UV with Silicon
2.1.1. Silicon Detectors with Gain
Electron Multiplying CCDs
Avalanche Photodiodes
2.1.2. Silicon Passivation
2.1.3. Atomic Layer Deposition for Antireflection Coatings & Detector-Integrated Visible-Rejection Filters
2.1.4. Large-Scale, High Throughput Affordable Production of High Efficiency Single Photon Counting Silicon Imagers for Missions and Commercial Applications
2.2. Single Photon Counting in the UV with III-Nitride APDs
2.2.1. Brief Description of the Special Features of III-Nitride Materials Growth
2.2.2. Processing Features
2.2.3. Readout Design and Fabrication for III-Nitride APDs
3. Results
3.1. Silicon Detectors
3.1.1. Quantum Efficiency in the Ultraviolet Spectral Range
3.1.2. Visible Rejection Using Metal Dielectric Films
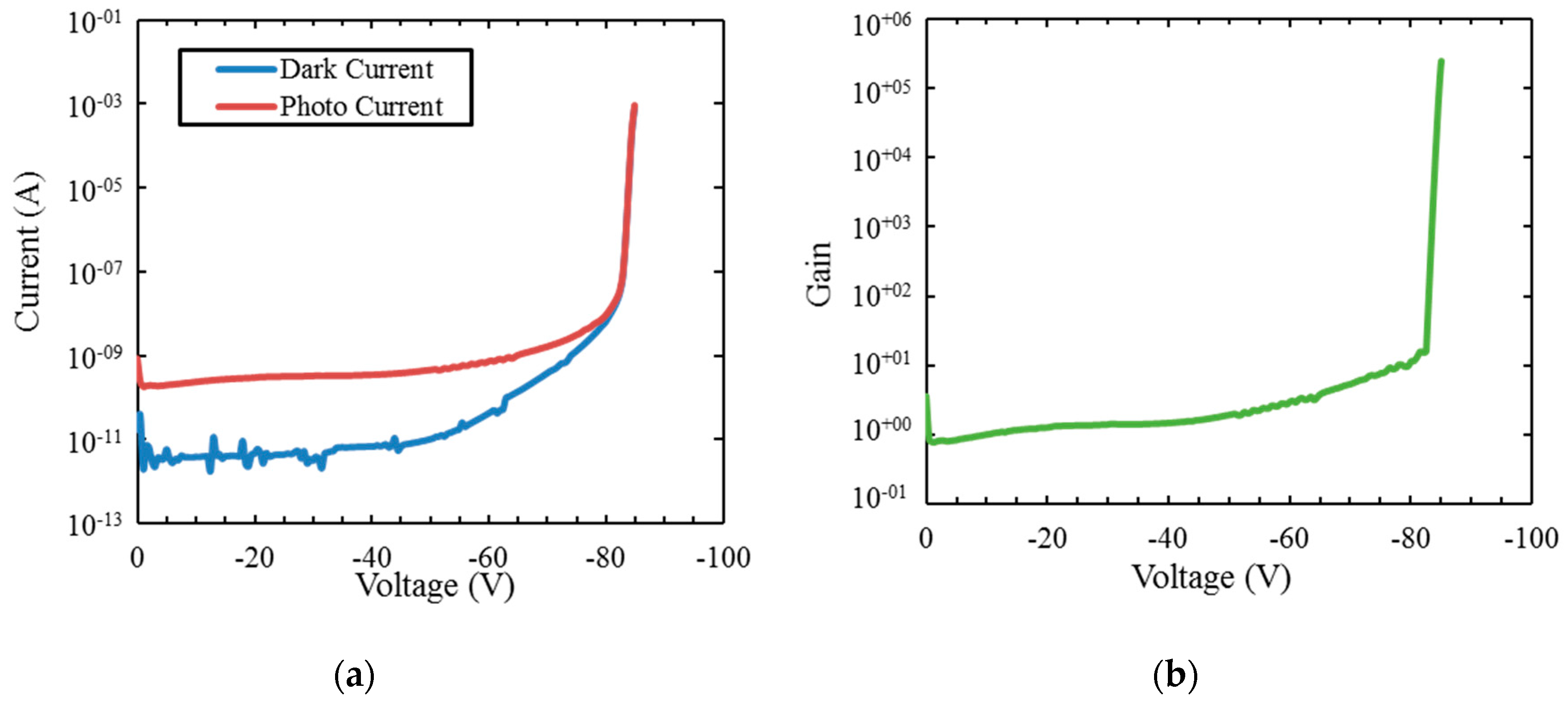
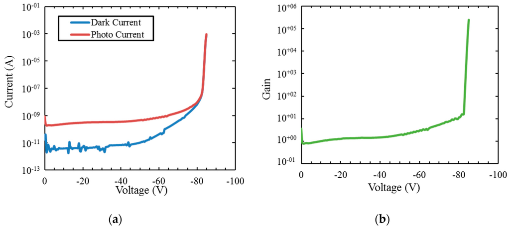
3.2. III-Nitride APDs
4. Summary and Conclusions
Supplementary Materials
Acknowledgments
Conflicts of Interest
Abbreviations
| AFM | Atomic Force Microscopy |
| ALD | Atomic Layer Deposition |
| APD | Avalanche PhotoDiode |
| ARC | AntiReflection Coatings |
| BSI | BackSide Illumination |
| CCD | Charge Coupled Detector |
| CGM | CircumGalactic Medium |
| CIC | Clock Induced Charge |
| CMOS | Complementary Metal Oxide Semiconductor |
| CTIA | Capacitive TransImpedance Amplifier |
| CV | Capacitance-Voltage |
| EMCCD | Electron Multiplying CCD |
| GALEX | GALaxy Evolution eXplorer |
| HST | Hubble Space Telescope |
| HVPE | Hydride Vapor Phase Epitaxy |
| IGM | InterGalactic Medium |
| MBE | Molecular Beam Epitaxy |
| MCP | MicroChannel Plate |
| MDF | Metal Dielectric Filter |
| MOCVD | Metal Organic Chemical Vapor Deposition |
| MOS | Metal Oxide Semiconductor |
| NMOS | N-type Metal Oxide Semiconductor |
| PECVD | Plasma Enhanced Chemical Vapor Deposition |
| PMOS | P-type Metal Oxide Semiconductor |
| PMT | PhotoMultiplier Tube |
| QE | Quantum Efficiency |
| QEH | QE Hysteresis |
| RMD | Radiation Monitoring Devices, Inc. |
| ROIC | Read Out Integrated Circuit |
| VLSI | Very-large-scale Integration |
| WF/PC | Wide Field/Planetary Camera |
References
- Clarke, J.T.; Ajello, J.; Ballester, G.E.; Ben Jaffel, L.; Connerney, J.E.P.; Gerard, J.-C.; Gladstone, G.R.; Pryor, W.R.; Tobiska, K.; Trauger, J.; et al. HST/STIS images of uv auroral footprints from Io, Europa, and Ganymede. Bull. Am. Astron. Soc. 1999, 31, 1185. [Google Scholar]
- McGrath, M.A.; Feldman, P.D.; Strobel, D.F.; Retherford, K.; Wolven, B.; Moos, H.W. HST/STIS ultraviolet imaging of Europa. Bull. Am. Astron. Soc. 2000, 32, 1056. [Google Scholar]
- Woodgate, B.E.; Kimble, R.A.; Bowers, C.W.; Kraemer, S.; Kaiser, M.E.; Grady, J.F.; Loiacono, J.J.; Brumfield, M.; Feinberg, L.D.; Gull, T.R.; et al. The space telescope imaging spectrograph design. Publ. Astron. Soc. Pacific 1998, 110, 1183–1204. [Google Scholar] [CrossRef]
- Green, J.C.; Froning, C.S.; Osterman, S.; Ebbets, D.; Heap, S.H.; Leitherer, C.; Linsky, J.L.; Savage, B.D.; Sembach, K.; Michael Shull, J.; et al. The cosmic origins spectrograph. Astrophys. J. 2012, 744, 60. [Google Scholar] [CrossRef]
- Morrissey, P. A GALEX instrument overview and lessons learned. Proc. SPIE 2006, 6266. [Google Scholar] [CrossRef]
- Schiminovich, D.; Ilbert, O.; Arnouts, S.; Milliard, B.; Tresse, L.; Le Fèvre, O.; Treyer, M.; Wyder, T.K.; Budavári, T.; Zucca, E.; et al. The GALEX -VVDS measurement of the evolution of the far-ultraviolet luminosity density and the cosmic star formation rate. Astrophys. J. 2005, 619, L47–L50. [Google Scholar] [CrossRef]
- Feldman, P.D.; Steffl, A.J.; Parker, J.W.; A’Hearn, M.F.; Bertaux, J.L.; Stern, S.A.; Weaver, H.A.; Slater, D.C.; Versteeg, M.; Throop, H.B.; et al. Rosetta-Alice observations of exospheric hydrogen and oxygen on Mars. Icarus 2011, 214, 394–399. [Google Scholar] [CrossRef]
- Feldman, P.D.; A’Hearn, M.F.; Bertaux, J.-L.; Feaga, L.M.; Parker, J.W.; Schindhelm, E.; Steffl, A.J.; Stern, S.A.; Weaver, H.A.; Sierks, H.; et al. Measurements of the near-nucleus coma of comet 67P/Churyumov-Gerasimenko with the Alice far-ultraviolet spectrograph on Rosetta. Astron. Astrophys. 2015, 583, A8. [Google Scholar] [CrossRef]
- Stern, S.A.; Feaga, L.M.; Schindhelm, E.; Steffl, A.; Parker, J.W.; Feldman, P.D.; Weaver, H.A.; A’Hearn, M.F.; Cook, J.; Bertaux, J.-L. First extreme and far ultraviolet spectrum of a Comet Nucleus: Results from 67P/Churyumov-Gerasimenko. Icarus 2015, 256, 117–119. [Google Scholar] [CrossRef]
- Stern, S.A.; Scherrer, J.; Slater, D.C.; Gladstone, G.R.; Dirks, G.; Stone, J.; Davis, M.; Versteeg, M.; Siegmund, O.H.W. ALICE: The ultraviolet imaging spectrograph aboard the New Horizons Pluto mission spacecraft. Proc. SPIE 2005, 5906. [Google Scholar] [CrossRef]
- Slater, D.C.; Davis, M.W.; Olkin, C.B.; Scherrer, J.; Stern, S.A. Radiometric performance results of the New Horizons’ ALICE UV imaging spectrograph. Proc. SPIE 2005, 5906. [Google Scholar] [CrossRef]
- Esposito, L.W.; Barth, C.A.; Colwell, J.E.; Lawrence, G.M.; Mcclintock, W.E.; Stewart, A.I.F.; Keller, H.U.; Korth, A.; Lauche, H.; Festou, M.C.; et al. The Cassini ultraviolet imaging spectrograph investigation. Space Sci. Rev. 2004, 115, 299–361. [Google Scholar] [CrossRef]
- Jerram, P.; Pool, P.J.; Bell, R.; Burt, D.J.; Bowring, S.; Spencer, S.; Hazelwood, M.; Moody, I.; Catlett, N.; Heyes, P.S. The LLCCD: Low-light imaging without the need for an intensifier. Proc. SPIE 2001, 4306, 178–186. [Google Scholar]
- Hynecek, J. Impactron—A new solid state image intensifier. IEEE Trans. Electron. Devices 2001, 48, 2238–2241. [Google Scholar] [CrossRef]
- Niclass, C.; Favi, C.; Kluter, T.; Gersbach, M.; Charbon, E. A 128 × 128 single-photon image sensor with column-level 10-bit time-to-digital converter array. IEEE J. Solid State Circuits 2008, 43, 2977–2989. [Google Scholar] [CrossRef]
- Hoenk, M.E.; Nikzad, S.; Carver, A.G.; Jones, T.J.; Hennessy, J.; Jewell, A.D.; Sgro, J.; Tsur, S.; McClish, M.; Farrell, R. Superlattice-doped silicon detectors: Progress and prospects. Proc. SPIE 2014, 9154. [Google Scholar] [CrossRef]
- Hoenk, M.E.; Carver, A.G.; Jones, T.J.; Dickie, M.; Cheng, P.; Greer, F.; Nikzad, S.; Sgro, J.; Tsur, S. The DUV stability of superlattice-doped CMOS detector arrays. In Proceedings of the International Image Sensor Workshop, Snowbird, UT, USA, 12–16 June 2013.
- Nikzad, S.; Hoenk, M.E.; Carver, A.G.; Jones, T.J.; Greer, F.; Hamden, E.; Goodsall, T. High Throughput, High Yield Fabrication of High Quantum Efficiency Backilluminated Photon Counting, Far UV, UV, and Visible Detector Arrays. In Proceedings of the International Image Sensor Workshop, Snowbird, UT, USA, 12–16 June 2013.
- Harding, L.K.; Demers, R.T.; Hoenk, M.; Nemati, B.; Cherng, M.; Michaels, D.; Peddada, P.; Loc, A.; Bush, N.; Hall, D.; et al. Technology Advancement of the CCD201-20 EMCCD for the WFIRST-AFTA Coronograph Instrument: Sensor characteriation and radiation damage. J. Astron. Telesc. Instrum. Syst. 2015, 2, 011007. [Google Scholar] [CrossRef]
- Hamden, E.T.; Lingner, N.; Kyne, G.; Morrissey, P.; Martin, D.C. Noise and dark performance for FIREBall-2 EMCCD delta-doped CCD detector. Proc. SPIE 2015, 9601. [Google Scholar] [CrossRef]
- Reinheimer, A. Personal Communication, e2v: Chelmsford, UK, 2012.
- Daigle, O.; Gach, J.-L.; Guillaume, C.; Carignan, C.; Balard, P.; Boisin, O. L3CCD results in pure photon-counting mode. Proc. SPIE 2004, 5499. [Google Scholar] [CrossRef]
- Daigle, O.; Djazovski, O.; Laurin, D.; Doyon, R.; Artigau, É. Characterization results of EMCCDs for extreme low-light imaging. Proc. SPIE 2012, 8453. [Google Scholar] [CrossRef]
- Shortes, S.R.; Chan, W.W.; Rhines, W.C.; Barton, J.B.; Collines, D.R. Characteristics of thinned backside-illuminated charge-coupled device imagers. Appl. Phys. Lett. 1974, 24, 565. [Google Scholar] [CrossRef]
- Stoller, A.; Speers, R.; Opresko, S. A new technique for etch thinning silicon wafers. RCA Rev. 1970, 31, 265–270. [Google Scholar]
- Kern, W. Chemical etching of silicon, germanium, gallium arsenide, and gallium phosphide. RCA Rev. 1978, 39, 278–308. [Google Scholar]
- Collins, N.R.; Boehm, N.; Delo, G.; Foltz, R.D.; Hill, R.J.; Kan, E.; Kimble, R.A.; Malumuth, E.; Rosenberry, R.; Waczynski, A.; et al. Wide field camera 3 CCD quantum efficiency hysteresis: Characterization and mitigation. Proc. SPIE 2009, 7439. [Google Scholar] [CrossRef]
- Hoenk, M.E.; Grunthaner, P.J.; Grunthaner, F.J.; Terhune, R.W.; Fattahi, M.; Tseng, H.-F. Growth of a delta-doped silicon layer by molecular beam epitaxy on a charge-coupled device for reflection-limited ultraviolet quantum efficiency. Appl. Phys. Lett. 1992, 61, 1084–1086. [Google Scholar] [CrossRef]
- Hoenk, M.E.; Grunthaner, P.J.; Grunthaner, F.J.; Terhune, R.W.; Fattahi, M.M. Epitaxial Growth of p+ Silicon on a Backside-thinned CCD for Enhanced UV Response. Proc. SPIE 1992, 1656, 488–496. [Google Scholar]
- Hoenk, M.E.; Carver, A.G.; Jones, T.J.; Dickie, M.R.; Sgro, J.; Tsur, S. Superlattice-doped imaging detectors: Structure, physics and performance. In Proceedings of the Scientific Detectors Workshop, Florence, Italy, 14 October 2013.
- Nikzad, S.; Hoenk, M.E.; Grunthaner, P.J.; Terhune, R.W.; Grunthaner, F.J.; Winzenread, R.; Fattahi, M.; Tseng, H.-F.; Lesser, M. Delta-doped CCDs: High QE with long-term stability at UV and visible wavelengths. Proc. SPIE 1994, 2198, 907–915. [Google Scholar]
- Nikzad, S.; Jones, T.J.; Elliott, S.T.; Cunningham, T.J.; Deelman, P.W.; Walker, A.B.C.; Oluseyi, H.M. Ultrastable and uniform EUV and UV detectors. Proc. SPIE 2000, 4139, 250–258. [Google Scholar]
- Hoenk, M.E.; Jones, T.J.; Dickie, M.R.; Greer, F.; Cunningham, T.J.; Blazejewski, E.R.; Nikzad, S. Delta-doped back-illuminated CMOS imaging arrays: Progress and prospects. Proc. SPIE 2009, 7419. [Google Scholar] [CrossRef]
- Nikzad, S.; Hoenk, M.E.; Greer, F.; Jacquot, B.; Monacos, S.; Jones, T.J.; Blacksberg, J.; Hamden, E.; Schiminovich, D.; Martin, D.C.; et al. Delta doped electron multiplies CCD with absolute quantum efficiency over 50% in the near to far ultraviolet range for single photon counting applications. Appl. Opt. 2012, 51, 365–369. [Google Scholar] [CrossRef] [PubMed]
- Greer, F.; Hamden, E.; Jacquot, B.C.; Hoenk, M.E.; Jones, T.J.; Dickie, M.R.; Monacos, S.P.; Nikzad, S. Atomically precise surface engineering of silicon CCDs for enhanced UV quantum efficiency. J. Vac. Sci. Technol. A 2013, 31, 01A103. [Google Scholar] [CrossRef]
- Jewell, A.D.; Hennessy, J.; Hoenk, M.E.; Nikzad, S. Wide band antireflection coatings deposited by atomic layer deposition. Proc. SPIE 2013, 8820. [Google Scholar] [CrossRef]
- Jewell, A.D.; Hamden, E.T.; Ong, H.R.; Hennessy, J.; Goodsall, T.; Shapiro, C.; Cheng, S.; Carver, A.; Hoenk, M.; Schiminovich, D.; et al. Detector performance for the FIREBall-2 UV experiment. Proc. SPIE 2015, 9601. [Google Scholar] [CrossRef]
- Hoenk, M.E. Surface Passivation by Quantum Exclusion Using Multiple Layers. U.S. Patent No. 8,395,243 B2, 12 March 2013. [Google Scholar]
- Hamden, E.T.; Greer, F.; Hoenk, M.E.; Blacksberg, J.; Dickie, M.R.; Nikzad, S.; Martin, D.C.; Schiminovich, D. Ultraviolet antireflection coatings for use in silicon detector design. Appl. Opt. 2011, 50, 4180–4188. [Google Scholar] [CrossRef] [PubMed]
- Hamden, E.T.; Jewell, A.D.; Shapiro, C.A.; Cheng, S.R.; Goodsall, T.M.; Hennessy, J.; Nikzad, S.; Hoenk, M.E.; Jones, T.J.; Gordon, S.; et al. CCD detectors with greater than 80% QE at UV wavelengths. Under review.
- Bates, B.; Bradley, D.J. Interference filters for the far ultraviolet (1700 A to 2400 A). Appl. Opt. 1966, 5, 971–975. [Google Scholar] [CrossRef] [PubMed]
- Scalora, M.; Bloemer, M.J.; Pethel, A.S.; Dowling, J.P.; Bowden, C.M.; Manka, A.S. Transparent, metallo-dielectric, one-dimensional, photonic band-gap structures. J. Appl. Phys. 1998, 83, 2377–2383. [Google Scholar] [CrossRef]
- Renk, K.F.; Genzel, L. Interference filters and Fabry-Perot interferometers for the far infrared. Appl. Opt. 1962, 1, 643–648. [Google Scholar] [CrossRef]
- Sigalas, M.M.; Chan, C.T.; Ho, K.M.; Soukoulis, C.M. Metallic photonic band-gap materials. Phys. Rev. B 1995, 52, 11744–11751. [Google Scholar] [CrossRef]
- Piegari, A.; Bulir, J. Variable narrowband transmission filters with a wide rejection band for spectrometry. Appl. Opt. 2006, 45, 3768–3773. [Google Scholar] [CrossRef] [PubMed]
- Bloemer, M.J.; Scalora, M. Transmissive properties of Ag/MgF2 photonic band gaps. Appl. Phys. Lett. 1998, 72, 1676–1678. [Google Scholar] [CrossRef]
- Hennessy, J.; Jewell, A.D.; Hoenk, M.E.; Nikzad, S. Metal-dielectric filters for solar-blind silicon ultraviolet detectors. Appl. Opt. 2015, 54, 3507–3512. [Google Scholar] [CrossRef] [PubMed]
- Blacksberg, J.; Hoenk, M.E.; Elliott, S.T.; Holland, S.E.; Nikzad, S. Enhanced quantum efficiency of high-purity silicon imaging detectors by ultralow temperature surface modification using Sb doping. Appl. Phys. Lett. 2005, 87, 254101. [Google Scholar] [CrossRef]
- Blacksberg, J.; Nikzad, S.; Hoenk, M.E.; Holland, S.E.; Kolbe, W.F. Near-100% quantum efficiency of delta doped large-format UV-NIR silicon imagers. IEEE Trans. Electron Devices 2008, 55, 3402–3406. [Google Scholar] [CrossRef]
- Hennessy, J.; Bell, L.D.; Nikzad, S.; Suvarna, P.; Leathersich, J.M.; Marini, J.; Shahedipour-Sandvik, F.S. Atomic-layer Deposition for Improved Performance of III-N Avalanche Photodiodes. In MRS Online Proceeding Library; Materials Research Society: Warrendale, PA, USA; Cambridge University Press: Cambridge, UK, 2014; Volume 1635, pp. 23–28. [Google Scholar]
- Suvarna, P.; Bulmer, J.; Leathersich, J.M.; Marini, J.; Mahaboob, I.; Hennessy, J.; Bell, L.D.; Nikzad, S.; Shahedipour-Sandvik, F. Ion implantation-based edge termination to improve III-N APD reliability and performance. IEEE Photonics Technol. Lett. 2015, 27, 498–501. [Google Scholar] [CrossRef]
- Suvarna, P.; Tungare, M.; Leathersich, J.M.; Agnihotri, P.; Shahedipour-Sandvik, F.; Bell, L.D.; Nikzad, S. Design and growth of visible-blind and solar-blind III-N APDs on sapphire substrates. J. Electron. Mater. 2013, 42, 854–858. [Google Scholar] [CrossRef]


















© 2016 by the authors; licensee MDPI, Basel, Switzerland. This article is an open access article distributed under the terms and conditions of the Creative Commons Attribution (CC-BY) license (http://creativecommons.org/licenses/by/4.0/).
Share and Cite
Nikzad, S.; Hoenk, M.; Jewell, A.D.; Hennessy, J.J.; Carver, A.G.; Jones, T.J.; Goodsall, T.M.; Hamden, E.T.; Suvarna, P.; Bulmer, J.; et al. Single Photon Counting UV Solar-Blind Detectors Using Silicon and III-Nitride Materials. Sensors 2016, 16, 927. https://doi.org/10.3390/s16060927
Nikzad S, Hoenk M, Jewell AD, Hennessy JJ, Carver AG, Jones TJ, Goodsall TM, Hamden ET, Suvarna P, Bulmer J, et al. Single Photon Counting UV Solar-Blind Detectors Using Silicon and III-Nitride Materials. Sensors. 2016; 16(6):927. https://doi.org/10.3390/s16060927
Chicago/Turabian StyleNikzad, Shouleh, Michael Hoenk, April D. Jewell, John J. Hennessy, Alexander G. Carver, Todd J. Jones, Timothy M. Goodsall, Erika T. Hamden, Puneet Suvarna, J. Bulmer, and et al. 2016. "Single Photon Counting UV Solar-Blind Detectors Using Silicon and III-Nitride Materials" Sensors 16, no. 6: 927. https://doi.org/10.3390/s16060927
APA StyleNikzad, S., Hoenk, M., Jewell, A. D., Hennessy, J. J., Carver, A. G., Jones, T. J., Goodsall, T. M., Hamden, E. T., Suvarna, P., Bulmer, J., Shahedipour-Sandvik, F., Charbon, E., Padmanabhan, P., Hancock, B., & Bell, L. D. (2016). Single Photon Counting UV Solar-Blind Detectors Using Silicon and III-Nitride Materials. Sensors, 16(6), 927. https://doi.org/10.3390/s16060927

