Risk of Invasive Lupinus polyphyllus Seed Survival in Biomass Treatment Processes
Abstract
1. Introduction
2. Materials and Methods
2.1. Seed Material and Preparation
2.2. Composting Experiments
2.3. Anaerobic Digestion (AD) Experiments
2.4. Measurements
2.5. Seed Viability
2.6. Statistical Testing
3. Results
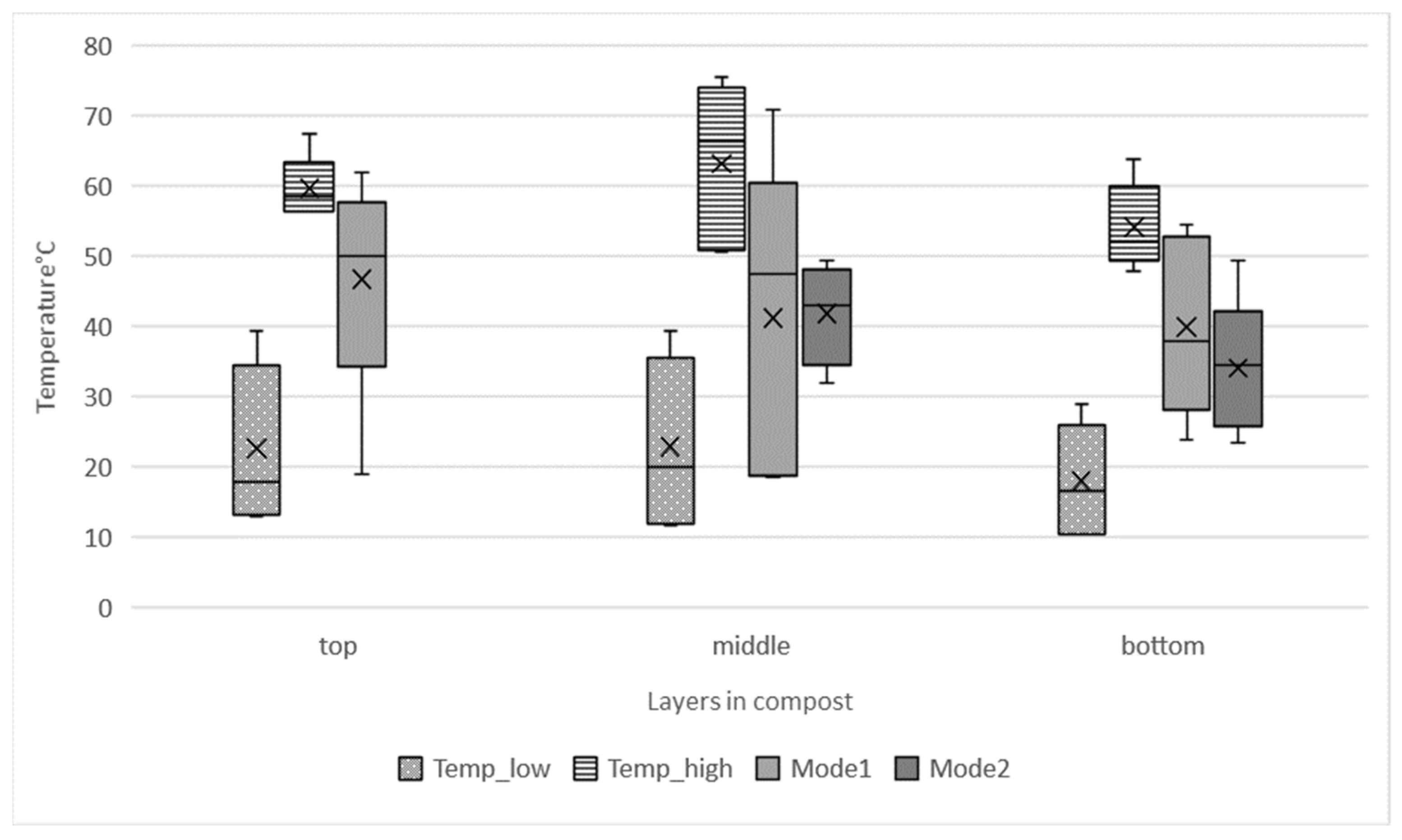
3.1. Composting Experiments
3.2. Anaerobic Digestion in Mesophilic Conditions
3.3. Effect of Time, Temperature and Moisture on Seed Survival
4. Discussion
4.1. Composting
4.2. AD Processes
4.3. Risk of Seed Survival
5. Conclusions
Author Contributions
Funding
Institutional Review Board Statement
Informed Consent Statement
Data Availability Statement
Acknowledgments
Conflicts of Interest
Appendix A

References
- Tilman, D.; Clark, M.; Williams, D.; Kimmel, K.; Polasky, S.; Packer, C. Future threats to biodiversity and pathways to their prevention. Nature 2017, 546, 73–81. [Google Scholar] [CrossRef]
- Ehrenfeld, J.G. Ecosystem Consequences of Biological Invasions. Annu. Rev. Ecol. Evol. Syst. 2010, 41, 59–80. [Google Scholar] [CrossRef]
- Powell, K.I.; Chase, J.M.; Knight, T.M. A synthesis of plant invasion effects on biodiversity across spatial scales. Am. J. Bot. 2011, 98, 539–548. [Google Scholar] [CrossRef]
- Powell, K.I.; Chase, J.M.; Knight, T.M. Invasive Plants Have Scale-Dependent Effects on Diversity by Altering Species-Area Relationships. Science 2013, 339, 316–318. [Google Scholar] [CrossRef]
- Ramula, S.; Pihlaja, K. Plant communities and the reproductive success of native plants after the invasion of an ornamental herb. Biol. Invasions 2012, 14, 2079–2090. [Google Scholar] [CrossRef]
- Donald, P.F. Biodiversity Impacts of Some Agricultural Commodity Production Systems. Conserv. Biol. 2004, 18, 17–37. [Google Scholar] [CrossRef]
- Hasler, K. Environmental Impact of Mineral Fertilizers: Possible Improvements through the Adoption of Eco-Innovations. Ph.D. Thesis, Wageningen University, Wageningen, The Netherlands, 2017. [Google Scholar]
- Tilman, D.; Socolow, R.; Foley, J.A.; Hill, J.; Larson, E.; Lynd, L.; Pacala, S.; Reilly, J.; Searchinger, T.; Somerville, C.; et al. Beneficial Biofuels—The Food, Energy, and Environment Trilemma. Science 2009, 325, 270–271. [Google Scholar] [CrossRef] [PubMed]
- Immerzeel, D.J.; Verweij, P.A.; vad der Hilst, F.; Faaij, A.P.C. Biodiversity impacts of bioenergy crop production: A state-of-the-art review. GCB Bioenergy 2013, 6, 183–209. [Google Scholar] [CrossRef]
- Hensgen, F.; Richter, F.; Wachendorf, M. Integrated generation of solid fuel and biogas from green cut material from landscape conservation and private households. Bioresour. Technol. 2011, 102, 10441–10450. [Google Scholar] [CrossRef]
- Bucholc, K.; Szymczak-Żyła, M.; Lubecki, L.; Zamojska, A.; Hapter, P.; Tjernström, E.; Kowalewska, G. Nutrient content in macrophyta collected from southern Baltic Sea beaches in relation to eutrophication and biogas production. Sci. Total Environ. 2014, 473–474, 298–307. [Google Scholar] [CrossRef]
- Oelmann, Y.; Broll, G.; Hölzel, N.; Kleinebecker, T.; Vogel, A.; Schwartze, P. Nutrient impoverishment and limitation of productivity after 20 years of conservation management in wet grasslands of north-western Germany. Biol. Conserv. 2009, 142, 2941–2948. [Google Scholar] [CrossRef]
- Jakobsson, S.; Bernes, C.; Bullock, J.M.; Verheyen, K.; Lindborg, R. How does roadside vegetation management afect the diversity of vascular plants and invertebrates? A systematic review. Environ. Evid. 2018, 7, 17. [Google Scholar] [CrossRef]
- Valtonen, A.; Jantunen, J.; Saarinen, K. Flora and lepidoptera fauna adversely affected by invasive Lupinus polyphyllus along road verges. Biol. Conserv. 2006, 133, 389–396. [Google Scholar] [CrossRef]
- Kettenring, K.M.; Reinhardt Adams, C. Lessons learned from invasive plant control experiments: A systematic review and meta-analysis. J. Appl. Ecol. 2011, 48, 970–979. [Google Scholar] [CrossRef]
- Ramula, S. Annual mowing has the potential to reduce the invasion of herbaceous Lupinus polyphyllus. Biol. Invasions 2020, 22, 3163–3173. [Google Scholar] [CrossRef]
- Manninen, S.; Forss, S.; Venn, S. Management mitigates the impact of urbanization on meadow vegetation. Urban. Ecosyst. 2010, 13, 461–481. [Google Scholar] [CrossRef]
- Reza, M.S.; Ahmed, A.; Caesarendra, W.; Abu Bakar, M.S.; Shams, S.; Saidur, R.; Aslfattahi, N.; Azad, A.K. Acacia Holosericea: An Invasive Species for Bio-char, Bio-oil, and Biogas Production. Bioengineering 2019, 6, 33. [Google Scholar] [CrossRef]
- Joseph, B.; Hensgen, F.; Wachendorf, M. Life Cycle Assessment of bioenergy production from mountainous grasslands invaded by lupine (Lupinus polyphyllus Lindl.). J. Environ. Manag. 2020, 275, 111182. [Google Scholar] [CrossRef]
- Schröder, P.; Beckers, B.B.; Daniels, S.; Gnädinger, F.; Maestri, E.; Marmiroli, N.; Mench, M.; Millan, R.; Obermeier, M.M.; Oustriere, N.; et al. Intensify production, transform biomass to energy and novel goods and protect soils in Europe—A vision how to mobilize marginal lands. Sci. Total Environ. 2018, 616–617, 1101–1123. [Google Scholar] [CrossRef]
- Tafdrup, S. Viable energy production and waste recycling from anaerobic digestion of manure and other biomass materials. Biomass Bioenergy 1995, 9, 303–314. [Google Scholar] [CrossRef]
- Grigatti, M.; Barbanti, L.; Hassan, M.U.; Ciavatta, C. Fertilizing potential and CO2 emissions following the utilization of fresh and composted food-waste anaerobic digestates. Sci. Total Environ. 2020, 698, 134198. [Google Scholar] [CrossRef]
- Cadena, E.; Colón, J.; Artola, A.; Sánchez, A.; Font, X. Environmental impact of two aerobic composting technologies using life cycle assessment. Int. J. Life Cycle Assess. 2009, 14, 401–410. [Google Scholar] [CrossRef]
- Walling, E.; Vaneeckhaute, C. Novel simple approaches to modeling composting kinetics. J. Environ. Chem. Eng. 2021, 9, 105243. [Google Scholar] [CrossRef]
- Sundberg, C.; Smårs, S.; Jönsson, H. Low pH as an inhibiting factor in the transition from mesophilic to thermophilic phase in composting. Bioresour. Technol. 2004, 95, 145–150. [Google Scholar] [CrossRef]
- Rocamora, I.; Wagland, S.T.; Villa, R.; Simpson, E.W.; Fernández, O.; Bajón-Fernández, Y. Dry anaerobic digestion of organic waste: A review of operational parameters and their impact on process performance. Bioresour. Technol. 2020, 299, 122681. [Google Scholar] [CrossRef]
- Ward, A.J.; Hobbs, P.J.; Holliman, P.J.; Jones, D.L. Optimisation of the anaerobic digestion of agricultural resources. Bioresour. Technol. 2008, 99, 7928–7940. [Google Scholar] [CrossRef] [PubMed]
- Cioabla, A.E.; Ionel, I.; Dumitrel, G.A.; Popescu, F. Comparative study on factors affecting anaerobic digestion of agricultural vegetal residues. Biotechnol. Biofuels 2012, 5, 39. [Google Scholar] [CrossRef]
- Bonthoux, S.; Brunc, M.; Di Pietro, F.; Greulich, S.; Bouché-Pillon, S. How can wastelands promote biodiversity in cities? A review. Landsc. Urban. Plan. 2014, 132, 79–88. [Google Scholar] [CrossRef]
- Joly, M.; Bertrand, P.; Gbangou, R.Y.; White, M.-C.; Dube, J.; Lavoie, C. Paving the Way for Invasive Species: Road Type and the Spread of Common Ragweed (Ambrosia artemisiifolia). Environ. Manag. 2011, 48, 514–522. [Google Scholar] [CrossRef]
- Westerman, P.R.; Hildebrandt, F.; Gerowitt, B. Weed seed survival following ensiling and mesophilic anaerobic digestion in batch reactors. Weed Res. 2012, 52, 286–295. [Google Scholar] [CrossRef]
- Finch-Savage, W.E.; Footitt, S. Seed dormancy cycling and the regulation of dormancy mechanisms to time germination in variable field environments. J. Exp. Bot. 2017, 68, 843–856. [Google Scholar] [CrossRef] [PubMed]
- Chahtane, H.; Kim, W.; Lopez-Molina, L. Primary seed dormancy: A temporally multilayered riddle waiting to be unlocked. J. Exp. Bot. 2017, 68, 857–869. [Google Scholar] [CrossRef]
- Dahlquist, R.M.; Prather, T.S.; Stapleton, J.J. Time and Temperature Requirements for Weed Seed Thermal Death. Weed Sci. 2007, 55, 619–625. [Google Scholar] [CrossRef]
- Sahlström, L. A review of survival of pathogenic bacteria in organic waste used in biogas plants. Bioresour. Technol. 2003, 87, 161–166. [Google Scholar] [CrossRef]
- Meier, E.J.; Waliczek, T.M.; Abbott, M. Large-Scale Composting as a Means of Managing Invasive Plants in the Rio Grande River Valley Basin. Invasive Plant Sci. Manag. 2014, 7, 473–482. [Google Scholar] [CrossRef]
- Blumenthal, D.M.; LeCain, D.R.; Augustine, D.J. Composted manure application promotes long-term invasion of semi-arid rangeland by Bromus tectorum. Ecosphere 2017, 8, e01960. [Google Scholar] [CrossRef]
- Pérez, E.A.; Téllez, T.R.; Maqueda, S.R.; Linares, P.J.C.; Pardo, F.M.V.; Medina, P.L.R.; Moreno, J.L.; Gallego, F.L.; Cortés, J.G.; Guzmán, J.M.S. Seed germination and risks of using the invasive plant Eichhornia crassipes (Mart.) Solms-Laub. (water hyacinth) for composting, ovine feeding and biogas production. Acta Bot. Gallica Bot. Lett. 2015, 162, 203–214. [Google Scholar] [CrossRef]
- Ministry of Agriculture and Forestry in Finland. Finland’s National Strategy on Invasive Alien Species; Ministry of Agriculture and Forestry: Helsinki, Finland, 2012.
- Ministry of Agriculture and Forestry in Finland. Management Plan to Prevent Invasive Species of National Concern; Ministry of Agriculture and Forestry: Helsinki, Finland, 2020.
- Fremstad, E. NOBANIS—Invasive Alien Species Fact Sheet Lupinus polyphyllus. Online Database of the European Network on Invasive Alien Species—NOBANIS 2010. Available online: https://www.nobanis.org/globalassets/speciesinfo/l/lupinus-polyphyllus/lupinus-polyphyllus.pdf (accessed on 3 May 2021).
- Li, S.-L.; Vasemägi, A.; Ramula, S. Genetic variation and population structure of the garden escaper Lupinus polyphyllus in Finland. Plant. Syst. Evol. 2016, 302, 399–407. [Google Scholar] [CrossRef]
- Jauni, M.; Ramula, S. Demographic mechanisms of disturbance and plant diversity promoting the establishment of invasive Lupinus polyphyllus. J. Plant Ecol. 2017, 10, 510–517. [Google Scholar]
- Ramula, S. Linking vital rates to invasiveness of a perennial herb. Oecologia 2014, 174, 1255–1264. [Google Scholar] [CrossRef]
- CABI. Lupinus polyphyllus (garden lupin). CABI Datasheet 2021. Available online: https://www.cabi.org/isc/datasheet/31710 (accessed on 15 March 2021).
- Aniszewski, T.; Kupari, M.H.; Leinonen, A.J. Seed number, seed size and seed diversity in Washington lupin (Lupinus polyphyllus Lindl.). Ann. Bot. 2001, 87, 77–82. [Google Scholar] [CrossRef][Green Version]
- Klinger, Y.P.; Eckstein, R.L.; Horlemann, D.; Otte, A.; Ludewig, K. Germination of the invasive legume Lupinus polyphyllus depends on cutting date and seed morphology. NeoBiota 2020, 60, 79–95. [Google Scholar] [CrossRef]
- Ludewik, K.; Hansen, W.; Klinger, Y.P.; Eckstein, R.L.; Otte, A. Seed bank offers potential for active restoration of mountain meadows. Restor. Ecol. 2020, 29, e13311. [Google Scholar] [CrossRef]
- Sapra, R.L.; Narain, P.; Bhat, S.R.; Lal, S.K.; Jain, S.K. Prediction of seed longevity in the genebank: How reliable are the estimates? Curr. Sci. 2003, 85, 1612–1616. [Google Scholar]
- Ramula, S.; Kalske, A. Introduced plants of Lupinus polyphyllus are larger but flower less frequently than conspecifics from the native range: Results of the first year. Ecol. Evol. 2020, 10, 13742–13751. [Google Scholar] [CrossRef]
- Scott, D. Perennial or Russell lupin: A potential high country pasture legume. Proc. N. Z. Grassl. Assoc. 1989, 50, 203–206. [Google Scholar]
- Villar, I.; Alves, D.; Garrido, J.; Mato, S. Evolution of microbial dynamics during the maturation phase of the composting of different types of waste. Waste Manag. 2016, 54, 83–92. [Google Scholar] [CrossRef]
- Albihn, A.; Vinnerås, B. Biosecurity and arable use of manure and biowaste—Treatment alternatives. Livest. Sci. 2007, 112, 232–239. [Google Scholar] [CrossRef]
- Mengqi, Z.; Shi, A.; Ajmal, M.; Ye, L.; Awais, M. Comprehensive review on agricultural waste utilization and high-temperature fermentation and composting. Biomass Convers. Biorefinery 2021. [Google Scholar] [CrossRef]
- Westerman, P.R.; Heiermann, M.; Pottberg, U.; Rodemann, B.; Gerowitt, B. Weed seed survival during mesophilic anaerobic digestion in biogas plants. Weed Res. 2012, 52, 307–316. [Google Scholar] [CrossRef]
- Šarapatka, B.; Holub, M.; Lhotská, M. The Effect of Farmyard Manure Anaerobic Treatment on Weed Seed Viability. Biol. Agric. Hortic. An Int. J. Sustain. Prod. Syst. 1993, 10, 1–8. [Google Scholar] [CrossRef]
- Johansen, A.; Nielsen, H.B.; Hansen, C.M.; Andreasen, C.; Carlsgart, J.; Hauggard-Nielsen, H.; Roepstorff, A. Survival of weed seeds and animal parasites as affected by anaerobic digestion at meso- and thermophilic conditions. Waste Manag. 2013, 33, 807–812. [Google Scholar] [CrossRef]
- Zhou, L.; Hülsemann, B.; Merkle, W.; Guo, J.; Dong, J.; Piepho, H.-P.; Gerhards, R.; Müller, J.; Oechsner, H. Influence of Anaerobic Digestion Processes on the Germination of Weed Seeds. Gesunde Pflanzen 2020, 72, 181–194. [Google Scholar] [CrossRef]
- Sarker, S.; Lamb, J.J.; Hjelme, D.R.; Lien, K.M. A Review of the Role of Critical Parameters in the Design and Operation of Biogas Production Plants. Appl. Sci. 2019, 9, 1915. [Google Scholar] [CrossRef]
- Arfin-Khan, M.A.S.; Vetter, V.M.S.; Reshi, Z.A.; Dar, P.A.; Jentsch, A. Factors influencing seedling emergence of three global invaders in greenhouses representing major eco-regions of the world. Plant Biol. 2018, 20, 610–618. [Google Scholar] [CrossRef] [PubMed]
- Otte, A.; Volz, H. Lupinus polyphyllus Bundesamt für Naturschutz. Neobiota.de. Gebietsfremde und invasive Arten in Deutschland. Available online: https://neobiota.bfn.de/handbuch/gefaesspflanzen/lupinus-polyphyllus.html (accessed on 4 May 2021).
- Elliot, C.; Fischer, D.G.; LeRoy, C.J. Germination of Three Native Lupinus Species in Response to Temperature. Northwest. Sci. 2011, 85, 403–410. [Google Scholar] [CrossRef][Green Version]









| Code | Experiment | Material | Duration | Timing | N of Seeds |
|---|---|---|---|---|---|
| T1 | Tunnel 1 | Source separated and crushed biowaste, ash, woodchips | 29 days | Winter 2018 | Lindl. = 965 Reg. = 300 |
| T2 | Tunnel 2 | Sewage sludge, ash, woodchips | 29 days | Winter 2018 | Lindl. = 1078 Reg. = 300 |
| A11 | Windrow rick 1 | Garden waste (70%), crushed and pre-treated biowaste (30%) | 30 days | Winter 2018 | Lindl. = 280 |
| A12 | Windrow rick 2 | Garden waste (70%), woodchips (15%), crushed and pre-treated biowaste (15%) | 30 days | Winter 2018 | Lindl. = 300 |
| A2 | Windrow 2 | Garden waste (70%), woodchips (15%), crushed and pre-treated biowaste (15%) | 119 days | Summer 2019 | Lindl. = 800 Reg. = 660 |
| Response Variable | Explanatory Variable | χ² | df | p 1 | N |
|---|---|---|---|---|---|
| Viable_% (Lindley) | (Intercept) | 119.795 | 1 | *** | 73 |
| Time_c | 28.450 | 1 | *** | ||
| Temp_c | 8.369 | 1 | ** | ||
| Layer | 60.656 | 2 | *** | ||
| Days_30 | 9.074 | 1 | ** | ||
| Days_50 | 63.599 | 1 | *** | ||
| Temp_c * Layer | 15.579 | 2 | *** | ||
| Dormant_% (Lindley) | (Intercept) | 496.138 | 1 | *** | 73 |
| Time_c | 52.011 | 1 | *** | ||
| Temp_c | 4.525 | 1 | * | ||
| Layer | 27.969 | 2 | *** | ||
| Days_30 | 3.673 | 1 | 0.055 | ||
| Days_50 | 88.871 | 1 | *** | ||
| Temp_c * Layer | 57.34 | 2 | *** | ||
| Destroyed_% (Lindley) | (Intercept) | 352.026 | 1 | *** | 86 |
| Time_c | 169.887 | 2 | *** | ||
| Temp_c | 7.774 | 1 | ** | ||
| Layer | 3.8 | 2 | 0.15 | ||
| Days_30 | 18.65 | 1 | *** | ||
| Days_50 | 2.63 | 1 | 0.105 | ||
| Time_c * Layer | 48.288 | 4 | *** | ||
| Temp_c * Layer | 25.531 | 2 | *** |
| Response Variable | Explanatory Variable | χ² | df | p 1 | N |
|---|---|---|---|---|---|
| Destroyed_% (Lindley) | (Intercept) | 15229.79 | 1 | *** | 21 |
| Time_c | 17.871 | 1 | *** | ||
| Layer | 42.852 | 3 | *** | ||
| Time_c * Layer | 27.155 | 2 | *** | ||
| Dormant_% (Lindley) | (Intercept) | 133.664 | 1 | *** | 20 |
| Time_c | 0.789 | 1 | 0.374 | ||
| Layer | 142.91 | 2 | *** | ||
| Time_c * Layer | a | ||||
| Viable_%(Lindley) | (Intercept) | 0.769 | 1 | 0.381 | 20 |
| Time_c | a | ||||
| Layer | 0.769 | 2 | 0.381 | ||
| Time_c * Layer | a |
| Process | Duration/Layer | Temperature | Viable % | Dormant % | Destroyed % | N |
|---|---|---|---|---|---|---|
| Composting | Short (<30 days) | Mesophilic | 10.4 | 34.6 | 55.0 | 2355 |
| Thermophilic | 5.1 | 28.2 | 66.7 | 480 | ||
| BMP | Short (<30 days) | Mesophilic | 1.9 | 3.2 | 94.9 | 1220 |
| Composting | Long (119 days) | Mesophilic | 0.3 | 1.3 | 98.3 | 135 |
| Thermophilic | 0 | 0 | 100 | 1190 | ||
| AD | Long (132/155 days) | Mesophilic | 0.5 | 6.4 | 93.1 | 600 |
| Composting | Top ormiddle | Mesophilic | 10.3 | 33.0 | 56.8 | 1328 |
| AD | Top or middle | Mesophilic | 0.2 | 9.0 | 90.8 | 400 |
Publisher’s Note: MDPI stays neutral with regard to jurisdictional claims in published maps and institutional affiliations. |
© 2021 by the authors. Licensee MDPI, Basel, Switzerland. This article is an open access article distributed under the terms and conditions of the Creative Commons Attribution (CC BY) license (https://creativecommons.org/licenses/by/4.0/).
Share and Cite
Hassani, M.; Vallius, E.; Rasi, S.; Sormunen, K. Risk of Invasive Lupinus polyphyllus Seed Survival in Biomass Treatment Processes. Diversity 2021, 13, 264. https://doi.org/10.3390/d13060264
Hassani M, Vallius E, Rasi S, Sormunen K. Risk of Invasive Lupinus polyphyllus Seed Survival in Biomass Treatment Processes. Diversity. 2021; 13(6):264. https://doi.org/10.3390/d13060264
Chicago/Turabian StyleHassani, Marjaana, Elisa Vallius, Saija Rasi, and Kai Sormunen. 2021. "Risk of Invasive Lupinus polyphyllus Seed Survival in Biomass Treatment Processes" Diversity 13, no. 6: 264. https://doi.org/10.3390/d13060264
APA StyleHassani, M., Vallius, E., Rasi, S., & Sormunen, K. (2021). Risk of Invasive Lupinus polyphyllus Seed Survival in Biomass Treatment Processes. Diversity, 13(6), 264. https://doi.org/10.3390/d13060264

