Austrian COLOSS Survey of Honey Bee Colony Winter Losses 2018/19 and Analysis of Hive Management Practices
Abstract
1. Introduction
2. Materials and Methods
2.1. Survey Design and Response Rate
2.2. Data Validation and Error Control
2.3. Statistical Analysis
3. Results
3.1. Survey Data
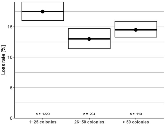
3.2. Loss Rate Overview
3.3. Queen Management
3.4. Hive Management Practices
3.5. Forage as Risk Factor
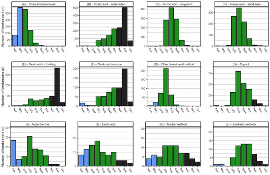
3.6. Varroa Control
3.6.1. Overview
3.6.2. Treatment as Single Factor
3.6.3. Drone Brood Removal Combination
3.6.4. Treatment Combinations
4. Discussion
4.1. Survey Data and Overall Losses
4.2. Queen Management
4.3. Hive Management Practices
4.4. Forage as Risk Factor
4.5. Varroa Control
5. Conclusions
Author Contributions
Funding
Acknowledgments
Conflicts of Interest
Abbreviations
| AGES | the Austrian Agency for Health and Food Safety |
| CI | confidence interval |
| COLOSS | prevention of honey bee COlony LOSSes |
| DWV | deformed wing virus |
| GZLM | generalized linear model |
Appendix A




References
- Gallai, N.; Salles, J.M.; Settele, J.; Vaissière, B.E. Economic valuation of the vulnerability of world agriculture confronted with pollinator decline. Ecol. Econ. 2009, 68, 810–821. [Google Scholar] [CrossRef]
- Steinhauer, N.; Kulhanek, K.; Antúnez, K.; Human, H.; Chantawannakul, P.; Chauzat, M.P.; Van Engelsdorp, D. Drivers of colony losses. Curr. Opin. Insect Sci. 2018, 26, 142–148. [Google Scholar] [CrossRef]
- Belsky, J. Impact of biotic and abiotic stressors on managed and feral bees. Insects 2019, 10, 233. [Google Scholar] [CrossRef]
- Neov, B.; Georgieva, A.; Shumkova, R.; Radoslavov, G.; Hristov, P. Biotic and abiotic factors associated with colonies mortalities of managed honey bee (Apis mellifera). Diversity 2019, 11, 237. [Google Scholar] [CrossRef]
- Brodschneider, R.; Crailsheim, K. Nutrition and health in honey bees. Apidologie 2010, 41, 278–294. [Google Scholar] [CrossRef]
- Van Engelsdorp, D.; Hayes, J.; Underwood, R.M.; Pettis, J. A survey of honey bee colony losses in the U.S., Fall 2007 to Spring 2008. PLoS ONE 2008, 3, e4071. [Google Scholar] [CrossRef]
- Van der Zee, R.; Pisa, L.; Andonov, S.; Brodschneider, R.; Charrière, J.D.; Chlebo, R.; Coffey, M.F.; Crailsheim, K.; Dahle, B.; Gajda, A.; et al. Managed honey bee colony losses in Canada, China, Europe, Israel and Turkey, for the winters of 2008–9 and 2009–10. J. Apic. Res. 2012, 51, 100–114. [Google Scholar] [CrossRef]
- Thoms, C.A.; Nelson, K.C.; Kubas, A.; Steinhauer, N.; Wilson, M.E.; Van Engelsdorp, D. Beekeeper stewardship, colony loss, and Varroa destructor management. Ambio 2019, 48, 1209–1218. [Google Scholar] [CrossRef]
- Underwood, R.M.; Traver, B.E.; López-Uribe, M.M. Beekeeping management practices are associated with operation size and beekeepers’ philosophy towards in-hive chemicals. Insects 2019, 10, 10. [Google Scholar] [CrossRef]
- Rosenkranz, P.; Aumeier, P.; Ziegelmann, B. Biology and control of Varroa destructor. J. Invertebr. Pathol. 2010, 103, S96–S119. [Google Scholar] [CrossRef]
- Genersch, E.; Von der Ohe, W.; Kaatz, H.; Schroeder, A.; Otten, C.; Büchler, R.; Berg, S.; Ritter, W.; Mühlen, W.; Gisder, S.; et al. The German bee monitoring project: A long term study to understand periodically high winter losses of honey bee colonies. Apidologie 2010, 41, 332–352. [Google Scholar] [CrossRef]
- Morawetz, L.; Köglberger, H.; Griesbacher, A.; Derakhshifar, I.; Crailsheim, K.; Brodschneider, R.; Moosbeckhofer, R. Health status of honey bee colonies (Apis mellifera) and disease-related risk factors for colony losses in Austria. PLoS ONE 2019, 14, e0219293. [Google Scholar] [CrossRef] [PubMed]
- Brodschneider, R.; Moosbeckhofer, R.; Crailsheim, K. Surveys as a tool to record winter losses of honey bee colonies: A two year case study in Austria and South Tyrol. J. Apic. Res. 2010, 49, 23–30. [Google Scholar] [CrossRef]
- Neumann, P.; Carreck, N.L. Honey bee colony losses. J. Apic. Res. 2009, 49, 1–6. [Google Scholar] [CrossRef]
- Van der Zee, R.; Gray, A.; Holzmann, C.; Pisa, L.; Brodschneider, R.; Chlebo, R.; Coffey, M.F.; Kence, A.; Kristiansen, P.; Mutinelli, F.; et al. Standard survey methods for estimating colony losses and explanatory risk factors in Apis mellifera. J. Apic. Res. 2013, 52, 1–36. [Google Scholar] [CrossRef]
- Brodschneider, R.; Gray, A.; Adjlane, N.; Ballis, A.; Brusbardis, V.; Charrière, J.D.; Chlebo, R.; Coffey, M.F.; Dahle, B.; De Graaf, D.C.; et al. Multi-country loss rates of honey bee colonies during winter 2016/2017 from the COLOSS survey. J. Apic. Res. 2018, 57, 452–457. [Google Scholar] [CrossRef]
- Gray, A.; Brodschneider, R.; Adjlane, N.; Ballis, A.; Brusbardis, V.; Charrière, J.D.; Chlebo, R.; Coffey, M.F.; Cornelissen, B.; Amaro da Costa, C.; et al. Loss rates of honey bee colonies during winter 2017/18 in 36 countries participating in the COLOSS survey, including effects of forage sources. J. Apic. Res. 2019, 1–7. [Google Scholar] [CrossRef]
- Van der Zee, R.; Brodschneider, R.; Brusbardis, V.; Charrière, J.D.; Chlebo, R.; Coffey, M.F.; Dahle, B.; Drazic, M.M.; Kauko, L.; Kretavicius, J.; et al. Results of international standardised beekeeper surveys of colony losses for winter 2012/2013: Analysis of winter loss rates and mixed effects modelling of risk factors for winter loss. J. Apic. Res. 2014, 53, 19–34. [Google Scholar] [CrossRef]
- Switanek, M.; Crailsheim, K.; Truhetz, H.; Brodschneider, R. Modelling seasonal effects of temperature and precipitation on honey bee winter mortality in a temperate climate. Sci. Total Environ. 2017, 579, 1581–1587. [Google Scholar] [CrossRef]
- Kuchling, S.; Kopacka, I.; Kalcher-Sommersguter, E.; Schwarz, M.; Crailsheim, K.; Brodschneider, R. Investigating the role of landscape composition on honey bee colony winter mortality: A long-term analysis. Sci. Rep. 2018, 8, 12263. [Google Scholar] [CrossRef]
- GeoNames. GeoNames—Geographical Database. Available online: https://www.geonames.org/ (accessed on 1 September 2019).
- R Core Team. R: A Language and Environment for Statistical Computing; R Foundation for Statistical Computing: Vienna, Austria, 2018. [Google Scholar]
- Wickham, H. Ggplot2: Elegant Graphics for Data Analysis; Use R! Springer: New York, NY, USA, 2009; OCLC:ocn382399721. [Google Scholar]
- Oberreiter, H. Codebase: Austria Honey Bee Colony Overwinter Losses 2018/2019; Zenodo: Genève, Switzerland, 2019. [Google Scholar] [CrossRef]
- Nijenhuis, A.; Wilf, H. Combinatorial Algorithms for Computers and Calculators; Academic Press: New York, NY, USA, 1978. [Google Scholar] [CrossRef]
- Brodschneider, R.; Brus, J.; Danihlík, J. Comparison of apiculture and winter mortality of honey bee colonies (Apis mellifera) in Austria and Czechia. Agric. Ecosyst. Environ. 2019, 274, 24–32. [Google Scholar] [CrossRef]
- VanEngelsdorp, D.; Hayes, J.; Underwood, R.M.; Caron, D.; Pettis, J. A survey of managed honey bee colony losses in the USA, fall 2009 to winter 2010. J. Apic. Res. 2010, 50, 1–10. [Google Scholar] [CrossRef]
- Van Esch, L.; De Kok, J.L.; Janssen, L.; Buelens, B.; De Smet, L.; De Graaf, D.C.; Engelen, G. Multivariate landscape analysis of honey bee winter mortality in Wallonia, Belgium. Environ. Model. Assess. 2019. [Google Scholar] [CrossRef]
- Seeley, T.D.; Smith, M.L. Crowding honeybee colonies in apiaries can increase their vulnerability to the deadly ectoparasite Varroa destructor. Apidologie 2015, 46, 716–727. [Google Scholar] [CrossRef]
- Forfert, N.; Natsopoulou, M.E.; Paxton, R.J.; Moritz, R.F. Viral prevalence increases with regional colony abundance in honey bee drones (Apis mellifera L). Infect. Genet. Evol. 2016, 44, 549–554. [Google Scholar] [CrossRef]
- Dynes, T.L.; Berry, J.A.; Delaplane, K.S.; Brosi, B.J.; De Roode, J.C. Reduced density and visually complex apiaries reduce parasite load and promote honey production and overwintering survival in honey bees. PLoS ONE 2019, 14, e0216286. [Google Scholar] [CrossRef]
- Döke, M.A.; Frazier, M.; Grozinger, C.M. Overwintering honey bees: Biology and management. Curr. Opin. Insect Sci. 2015, 10, 185–193. [Google Scholar] [CrossRef]
- Amiri, E.; Strand, M.K.; Rueppell, O.; Tarpy, D.R. Queen quality and the impact of honey bee diseases on queen health: Potential for interactions between two major threats to colony health. Insects 2017, 8, 48. [Google Scholar] [CrossRef]
- VanEngelsdorp, D.; Tarpy, D.R.; Lengerich, E.J.; Pettis, J.S. Idiopathic brood disease syndrome and queen events as precursors of colony mortality in migratory beekeeping operations in the eastern United States. Prev. Vet. Med. 2013, 108, 225–233. [Google Scholar] [CrossRef]
- Williams, G.R.; Troxler, A.; Retschnig, G.; Roth, K.; Yañez, O.; Shutler, D.; Neumann, P.; Gauthier, L. Neonicotinoid pesticides severely affect honey bee queens. Sci. Rep. 2015, 5, 14621. [Google Scholar] [CrossRef]
- Withrow, J.M.; Pettis, J.S.; Tarpy, D.R. Effects of temperature during package transportation on queen establishment and survival in honey bees (Hymenoptera: Apidae). J. Econ. Entomol. 2019, 112, 1043–1049. [Google Scholar] [CrossRef] [PubMed]
- Giacobino, A.; Molineri, A.; Cagnolo, N.B.; Merke, J.; Orellano, E.; Bertozzi, E.; Masciangelo, G.; Pietronave, H.; Pacini, A.; Salto, C.; et al. Queen replacement: The key to prevent winter colony losses in Argentina. J. Apic. Res. 2016, 55, 335–341. [Google Scholar] [CrossRef]
- Ricigliano, V.A.; Mott, B.M.; Floyd, A.S.; Copeland, D.C.; Carroll, M.J.; Anderson, K.E. Honey bees overwintering in a southern climate: Longitudinal effects of nutrition and queen age on colony-level molecular physiology and performance. Sci. Rep. 2018, 8, 1–11. [Google Scholar] [CrossRef] [PubMed]
- Jacques, A.; Laurent, M.; Consortium, E.; Ribière-Chabert, M.; Saussac, M.; Bougeard, S.; Budge, G.E.; Hendrikx, P.; Chauzat, M.P. A pan-European epidemiological study reveals honey bee colony survival depends on beekeeper education and disease control. PLoS ONE 2017, 12, e0172591. [Google Scholar] [CrossRef]
- Crailsheim, K.; Moosbeckhofer, R.; Brodschneider, R. Future of Honey Bees—Basic Research for Project for Honey Bee Health and Bee Protection. Final Report Poject ’Zukunft Biene’ 2014–2018 Austria. 2018. Available online: https://www.ages.at/en/topics/environment/bees/research-projects-on-bees/future-of-honey-bees/ (accessed on 7 February 2020).
- Castilhos, D.; Bergamo, G.C.; Gramacho, K.P.; Gonçalves, L.S. Bee colony losses in Brazil: A 5-year online survey. Apidologie 2019, 50, 263–272. [Google Scholar] [CrossRef]
- Calatayud-Vernich, P.; VanEngelsdorp, D.; Picó, Y. Beeswax cleaning by solvent extraction of pesticides. MethodsX 2019, 6, 980–985. [Google Scholar] [CrossRef]
- Harriet, J.; Campá, J.P.; Grajales, M.; Lhéritier, C.; Gómez Pajuelo, A.; Mendoza-Spina, Y.; Carrasco-Letelier, L. Agricultural pesticides and veterinary substances in Uruguayan beeswax. Chemosphere 2017, 177, 77–83. [Google Scholar] [CrossRef]
- Calatayud-Vernich, P.; Calatayud, F.; Simó, E.; Picó, Y. Pesticide residues in honey bees, pollen and beeswax: Assessing beehive exposure. Environ. Pollut. 2018, 241, 106–114. [Google Scholar] [CrossRef]
- Payne, A.N.; Walsh, E.M.; Rangel, J. Initial exposure of wax foundation to agrochemicals causes negligible effects on the growth and winter survival of incipient honey bee (Apis mellifera) colonies. Insects 2019, 10, 19. [Google Scholar] [CrossRef]
- De Guzman, L.I.; Simone-Finstrom, M.; Frake, A.M.; Tokarz, P. Comb irradiation has limited, interactive effects on colony performance or pathogens in bees, Varroa destructor and wax based on two honey bee stocks. Insects 2019, 10, 15. [Google Scholar] [CrossRef]
- Koenig, J.P.; Boush, G.M.; Erickson, E.H. Effect of type of brood comb on chalk brood disease in honeybee colonies. J. Apic. Res. 1986, 25, 58–62. [Google Scholar] [CrossRef]
- Berry, J.A.; Delaplane, K.S. Effects of comb age on honey bee colony growth and brood survivorship. J. Apic. Res. 2001, 40, 3–8. [Google Scholar] [CrossRef]
- Thrasyvoulou, A.; Broeker, U.; Chrysoula, T.; Vilas-Boas, M.; Wallner, K.; Amsler, T.; Garces, S.; Lodesani, M.; Siceanu, A.; Westerhoff, A.; et al. Improvements to the regulations on organic farming to facilitate the practice of organic beekeeping. Bee World 2015, 91, 58–61. [Google Scholar] [CrossRef]
- Sánchez, V.; Gil, S.; Flores, J.M.; Quiles, F.J.; Ortiz, M.A.; Luna, J.J. Implementation of an electronic system to monitor the thermoregulatory capacity of honeybee colonies in hives with open-screened bottom boards. Comput. Electron. Agric. 2015, 119, 209–216. [Google Scholar] [CrossRef]
- Ibrahim, A.; Reuter, G.S.; Spivak, M. Field trial of honey bee colonies bred for mechanisms of resistance against Varroa destructor. Apidologie 2007, 38, 67–76. [Google Scholar] [CrossRef]
- Haber, A.I.; Steinhauer, N.A.; vanEngelsdorp, D. Use of chemical and nonchemical methods for the control of Varroa destructor (Acari: Varroidae) and associated winter colony losses in U.S. beekeeping operations. J. Econ. Entomol. 2019, 112, 1509–1525. [Google Scholar] [CrossRef]
- Höcherl, N.; Siede, R.; Illies, I.; Gätschenberger, H.; Tautz, J. Evaluation of the nutritive value of maize for honey bees. J. Insect Physiol. 2012, 58, 278–285. [Google Scholar] [CrossRef]
- Urbanowicz, C.; Baert, N.; Bluher, S.E.; Böröczky, K.; Ramos, M.; McArt, S.H. Low maize pollen collection and low pesticide risk to honey bees in heterogeneous agricultural landscapes. Apidologie 2019, 2011. [Google Scholar] [CrossRef]
- Brodschneider, R.; Gratzer, K.; Kalcher-Sommersguter, E.; Heigl, H.; Auer, W.; Moosbeckhofer, R.; Crailsheim, K. A citizen science supported study on seasonal diversity and monoflorality of pollen collected by honey bees in Austria. Sci. Rep. 2019, 9, 16633. [Google Scholar] [CrossRef]
- Schmolke, A.; Kearns, B.; O’Neill, B. Plant guttation water as a potential route for pesticide exposure in honey bees: A review of recent literature. Apidologie 2018, 49, 637–646. [Google Scholar] [CrossRef]
- Di Pasquale, G.; Alaux, C.; Conte, Y.L.; Odoux, J.F.; Pioz, M.; Vaissière, B.E.; Belzunces, L.P.; Decourtye, A. Variations in the availability of pollen resources affect honey bee health. PLoS ONE 2016, 11, e0162818. [Google Scholar] [CrossRef] [PubMed]
- Pechhacker, H.; Praznik, W.; Klaus, J. Untersuchungen über das zuckerspektrum in honigblaseninhalt und honig. Apidologie 1990, 21, 447–455. [Google Scholar] [CrossRef]
- Imdorf, A.; Bogdanov, S.; Kilchenmann, V. Zementhonig im Honig-und Brutraum—Was dann?—Schweizerisches zentrum für bienenforschung. Schweiz. Bienenztg. 1985, 108, 534–544. [Google Scholar]
- Rundlöf, M.; Andersson, G.K.S.; Bommarco, R.; Fries, I.; Hederström, V.; Herbertsson, L.; Jonsson, O.; Klatt, B.K.; Pedersen, T.R.; Yourstone, J.; et al. Seed coating with a neonicotinoid insecticide negatively affects wild bees. Nature 2015, 521, 77–80. [Google Scholar] [CrossRef]
- Goulson, D.; Nicholls, E.; Botías, C.; Rotheray, E.L. Bee declines driven by combined Stress from parasites, pesticides, and lack of flowers. Science 2015, 347, 1255957. [Google Scholar] [CrossRef]
- Rolke, D.; Fuchs, S.; Grünewald, B.; Gao, Z.; Blenau, W. Large-scale monitoring of effects of clothianidin-dressed oilseed rape seeds on pollinating insects in Northern Germany: Effects on honey bees (Apis mellifera). Ecotoxicology 2016, 25, 1648–1665. [Google Scholar] [CrossRef]
- Requier, F.; Odoux, J.F.; Henry, M.; Bretagnolle, V. The carry-over effects of pollen shortage decrease the survival of honeybee colonies in farmlands. J. Appl. Ecol. 2017, 54, 1161–1170. [Google Scholar] [CrossRef]
- Barroso-Arévalo, S.; Fernández-Carrión, E.; Goyache, J.; Molero, F.; Puerta, F.; Sánchez-Vizcaíno, J.M. High load of deformed wing virus and Varroa destructor infestation are related to weakness of honey bee colonies in southern Spain. Front. Microbiol. 2019, 10. [Google Scholar] [CrossRef]
- Moosbeckhofer, R.; Köglberger, H.; Derakhshifar, I.; Morawetz, L.; Boigenzahn, C.; Oberrisser, W. Varroa-Bekämpfung einfach-sicher-erfolgreich. 2. Völlig Neu Bearbeitete Auflage; Biene Österreich, 2015; Available online: https://cdn.netletter.at/imkerbund/media/download/2016.02.09/1455008954025576.pdf?d=VarroabroschuereNeu.pdfdc=1455009208 (accessed on 7 February 2020).
- Calderone, N.W. Evaluation of drone brood removal for management of Varroa destructor (Acari: Varroidae) in colonies of Apis mellifera (Hymenoptera: Apidae) in the northeastern United States. J. Econ. Entomol. 2005, 98, 645–650. [Google Scholar] [CrossRef]
- Lodesani, M.; Franceschetti, S.; Dall’Ollio, R. Evaluation of early spring bio-technical management techniques to control varroosis in Apis mellifera. Apidologie 2019, 50, 131–140. [Google Scholar] [CrossRef]
- Charrière, J.D.; Imdorf, A. Oxalic acid treatment by trickling against Varroa destructor: Recommendations for use in central Europe and under temperate climate conditions. Bee World 2002, 83, 51–60. [Google Scholar] [CrossRef]
- Rademacher, E.; Harz, M. Oxalic acid for the control of varroosis in honey bee colonies—A review. Apidologie 2006, 37, 98–120. [Google Scholar] [CrossRef]
- Colin, T.; Lim, M.Y.; Quarrell, S.R.; Allen, G.R.; Barron, A.B. Effects of thymol on European honey bee hygienic behaviour. Apidologie 2019, 50, 141–152. [Google Scholar] [CrossRef]












| Beekeepers | Survey Particip. | Survey (%) | Colonies | Survey Colonies | Survey (%) | |
|---|---|---|---|---|---|---|
| Burgenland | 642 | 35 | 5.5 | 11,530 | 759 | 6.6 |
| Carinthia | 3013 | 147 | 4.9 | 33,993 | 3784 | 11.1 |
| Lower Austria | 4605 | 387 | 8.4 | 41,414 | 9486 | 22.9 |
| Upper Austria | 8075 | 276 | 3.4 | 80,000 | 5951 | 7.4 |
| Salzburg | 2574 | 74 | 2.9 | 19,035 | 1586 | 8.3 |
| Styria | 4038 | 218 | 5.4 | 54,960 | 5706 | 10.4 |
| Tyrol | 2825 | 141 | 5.0 | 36,094 | 2963 | 8.2 |
| Vorarlberg | 1530 | 178 | 11.6 | 10,106 | 2333 | 23.1 |
| Vienna | 707 | 78 | 11.0 | 6124 | 1083 | 17.7 |
| not specified | 423 | - | - | 80,156 | - | - |
| Total | 28,009 | 1534 | 5.5 | 373,412 | 33,651 | 9.0 |
| Letter | Comb. | Methods | |||||
|---|---|---|---|---|---|---|---|
| A | 2 | SUMMER | Formic acid—long term | WINTER | Oxalic acid—trickling | ||
| B | 2 | SUMMER | Formic acid—short term | WINTER | Oxalic acid—trickling | ||
| C | 2 | SUMMER | Formic acid—long term | WINTER | Oxalic acid—sublimation | ||
| D | 2 | SUMMER | Formic acid—short term | WINTER | Oxalic acid—sublimation | ||
| E | 3 | SUMMER | Formic acid—short term | SUMMER | Formic acid—long term | WINTER | Oxalic acid—trickling |
| F | 2 | SUMMER | Oxalic acid—sublimation | WINTER | Oxalic acid—sublimation | ||
| G | 3 | SUMMER | Formic acid—short term | SUMMER | Formic acid—long term | WINTER | Oxalic acid—sublimation |
| H | 3 | SUMMER | Formic acid—long term | SUMMER | Oxalic acid—sublimation | WINTER | Oxalic acid—sublimation |
| I | 3 | SUMMER | Formic acid—long term | SUMMER | Oxalic acid—trickling | WINTER | Oxalic acid—trickling |
| J | 3 | SUMMER | Formic acid—short term | SUMMER | Oxalic acid—sublimation | WINTER | Oxalic acid—sublimation |
| K | 3 | SUMMER | Biotechnical method | SUMMER | Oxalic acid—sublimation | WINTER | Oxalic acid—sublimation |
| L | 3 | SUMMER | Formic acid—short term | SUMMER | Oxalic acid—trickling | WINTER | Oxalic acid—trickling |
| M | 1 | SUMMER | Formic acid—long term | ||||
| N | 3 | SUMMER | Biotechnical method | SUMMER | Formic acid—long term | WINTER | Oxalic acid—trickling |
| O | 1 | SUMMER | Formic acid—short term | ||||
| P | 2 | SUMMER | Oxalic acid—trickling | WINTER | Oxalic acid—trickling | ||
| Q | 3 | SUMMER | Biotechnical method | SUMMER | Oxalic acid—trickling | WINTER | Oxalic acid—trickling |
| R | 3 | SUMMER | Formic acid—short term | SUMMER | Oxalic acid—trickling | WINTER | Oxalic acid—sublimation |
| S | 3 | SUMMER | Biotechnical method | SUMMER | Formic acid—short term | WINTER | Oxalic acid—trickling |
| T | 3 | SUMMER | Oxalic acid—trickling | SUMMER | Thymol | WINTER | Oxalic acid—trickling |
© 2020 by the authors. Licensee MDPI, Basel, Switzerland. This article is an open access article distributed under the terms and conditions of the Creative Commons Attribution (CC BY) license (http://creativecommons.org/licenses/by/4.0/).
Share and Cite
Oberreiter, H.; Brodschneider, R. Austrian COLOSS Survey of Honey Bee Colony Winter Losses 2018/19 and Analysis of Hive Management Practices. Diversity 2020, 12, 99. https://doi.org/10.3390/d12030099
Oberreiter H, Brodschneider R. Austrian COLOSS Survey of Honey Bee Colony Winter Losses 2018/19 and Analysis of Hive Management Practices. Diversity. 2020; 12(3):99. https://doi.org/10.3390/d12030099
Chicago/Turabian StyleOberreiter, Hannes, and Robert Brodschneider. 2020. "Austrian COLOSS Survey of Honey Bee Colony Winter Losses 2018/19 and Analysis of Hive Management Practices" Diversity 12, no. 3: 99. https://doi.org/10.3390/d12030099
APA StyleOberreiter, H., & Brodschneider, R. (2020). Austrian COLOSS Survey of Honey Bee Colony Winter Losses 2018/19 and Analysis of Hive Management Practices. Diversity, 12(3), 99. https://doi.org/10.3390/d12030099

