Interaction Between Thyroid Hormones and Bone Morphogenetic Proteins in the Regulation of Steroidogenesis by Granulosa Cells
Abstract
1. Introduction
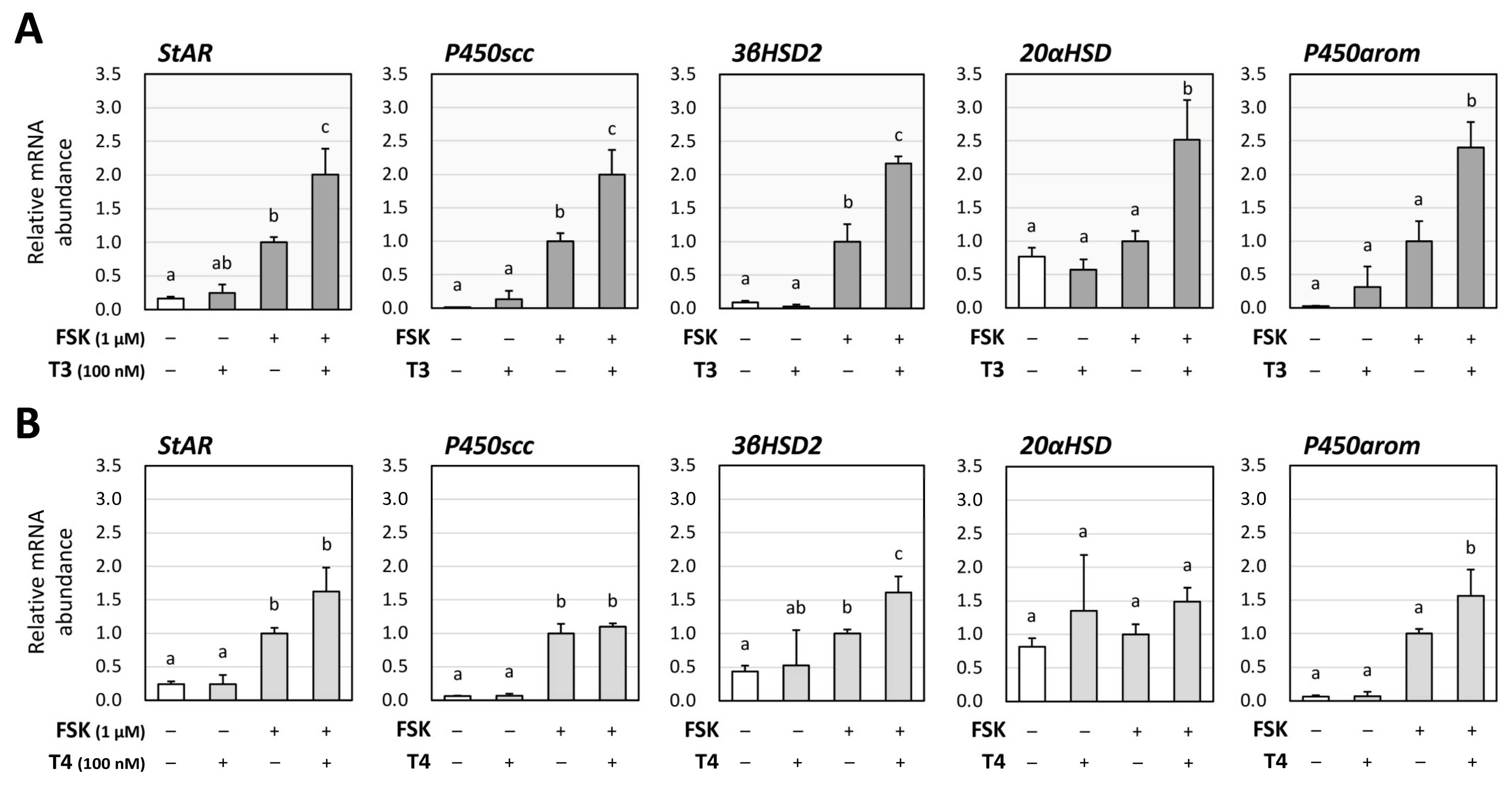
2. Results
3. Discussion
4. Materials and Methods
4.1. Experimental Reagents
4.2. Preparations of Human and Rat Granulosa Cells
4.3. Real-Time Quantitative PCR Analysis
4.4. Assays for Estradiol and Progesterone
4.5. Western Immunoblotting Analysis
4.6. Statistics
Author Contributions
Funding
Institutional Review Board Statement
Informed Consent Statement
Data Availability Statement
Conflicts of Interest
Abbreviations
| ActRIIA | activin A receptor type 2A |
| ALK | activin receptor-like kinase |
| 20αHSD | 20α-hydroxysteroid dehydrogenase |
| 3βHSD2 | 3β-hydroxysteroid dehydrogenase 2 |
| BMP | bone morphogenetic protein |
| BMPRII | BMP type-II receptor |
| DIO | deiodinase |
| FSH | follicle-stimulating hormone |
| FSK | forskolin |
| P450arom | aromatase |
| P450scc | steroid side-chain cleavage enzyme |
| RPL19 | ribosomal protein L19 |
| StAR | steroidogenic acute regulatory protein |
| TR | thyroid hormone receptor |
| T3 | triiodothyronine |
| T4 | thyroxine |
References
- Brown, E.D.L.; Obeng-Gyasi, B.; Hall, J.E.; Shekhar, S. The Thyroid Hormone Axis and Female Reproduction. Int. J. Mol. Sci. 2023, 24, 9815. [Google Scholar] [CrossRef]
- Sandler, B.; Webb, P.; Apriletti, J.W.; Huber, B.R.; Togashi, M.; Cunha Lima, S.T.; Juric, S.; Nilsson, S.; Wagner, R.; Fletterick, R.J.; et al. Thyroxine-thyroid hormone receptor interactions. J. Biol. Chem. 2004, 279, 55801–55808. [Google Scholar] [CrossRef]
- Schroeder, A.; Jimenez, R.; Young, B.; Privalsky, M.L. The ability of thyroid hormone receptors to sense t4 as an agonist depends on receptor isoform and on cellular cofactors. Mol. Endocrinol. 2014, 28, 745–757. [Google Scholar] [CrossRef]
- Poppe, K.; Velkeniers, B.; Glinoer, D. Thyroid disease and female reproduction. Clin. Endocrinol. 2007, 66, 309–321. [Google Scholar] [CrossRef]
- Zhang, S.S.; Carrillo, A.J.; Darling, D.S. Expression of multiple thyroid hormone receptor mRNAs in human oocytes, cumulus cells, and granulosa cells. Mol. Hum. Reprod. 1997, 3, 555–562. [Google Scholar] [CrossRef] [PubMed]
- Wakim, A.N.; Polizotto, S.L.; Buffo, M.J.; Marrero, M.A.; Burholt, D.R. Thyroid hormones in human follicular fluid and thyroid hormone receptors in human granulosa cells. Fertil. Steril. 1993, 59, 1187–1190. [Google Scholar] [CrossRef] [PubMed]
- Zhang, C.; Guo, L.; Zhu, B.; Feng, Y.; Yu, S.; An, N.; Wang, X. Effects of 3, 5, 3’-triiodothyronine (t3) and follicle stimulating hormone on apoptosis and proliferation of rat ovarian granulosa cells. Chin. J. Physiol. 2013, 56, 298–305. [Google Scholar] [CrossRef] [PubMed]
- Kobayashi, N.; Orisaka, M.; Cao, M.; Kotsuji, F.; Leader, A.; Sakuragi, N.; Tsang, B.K. Growth differentiation factor-9 mediates follicle-stimulating hormone-thyroid hormone interaction in the regulation of rat preantral follicular development. Endocrinology 2009, 150, 5566–5574. [Google Scholar] [CrossRef]
- Mehendale, R.G.; Bruot, B.C. Thyroid stimulating hormone inhibits rat granulosa cell steroidogenesis in primary culture. Endocrine 1995, 3, 215–220. [Google Scholar] [CrossRef]
- Taggi, M.; Capponi, C.; Bertani, N.; Saturno, G.; Innocenti, F.; Dovere, L.; Fabozzi, S.M.; Alesiani, O.; Arena, V.; Cimadomo, D.; et al. Role of thyroid stimulating hormone in the maintenance and functioning of the human corpus luteum. J. Endocrinol. Investig. 2024, 47, 1719–1732. [Google Scholar] [CrossRef]
- Cecconi, S.; Rucci, N.; Scaldaferri, M.L.; Masciulli, M.P.; Rossi, G.; Moretti, C.; D’Armiento, M.; Ulisse, S. Thyroid hormone effects on mouse oocyte maturation and granulosa cell aromatase activity. Endocrinology 1999, 140, 1783–1788. [Google Scholar] [CrossRef]
- Goldman, S.; Dirnfeld, M.; Abramovici, H.; Kraiem, Z. Triiodothyronine (T3) modulates hCG-regulated progesterone secretion, cAMP accumulation and DNA content in cultured human luteinized granulosa cells. Mol. Cell. Endocrinol. 1993, 96, 125–131. [Google Scholar] [CrossRef] [PubMed]
- Otsuka, F. Multiple endocrine regulation by bone morphogenetic protein system. Endocr. J. 2010, 57, 3–14. [Google Scholar] [CrossRef] [PubMed]
- Otsuka, F.; Inagaki, K. Unique bioactivities of bone morphogenetic proteins in regulation of reproductive endocrine functions. Reprod. Med. Biol. 2011, 10, 131–142. [Google Scholar] [CrossRef] [PubMed]
- Mueller, T.D. Mechanisms of BMP-Receptor Interaction and Activation. Vitam. Horm. 2015, 99, 1–61. [Google Scholar] [CrossRef]
- Erickson, G.F.; Shimasaki, S. The spatiotemporal expression pattern of the bone morphogenetic protein family in rat ovary cell types during the estrous cycle. Reprod. Biol. Endocrinol. 2003, 1, 9. [Google Scholar] [CrossRef]
- Otsuka, F.; Moore, R.K.; Shimasaki, S. Biological function and cellular mechanism of bone morphogenetic protein-6 in the ovary. J. Biol. Chem. 2001, 276, 32889–32895. [Google Scholar] [CrossRef]
- Otsuka, F. Interaction of Melatonin and BMP-6 in Ovarian Steroidogenesis. Vitam. Horm. 2018, 107, 137–153. [Google Scholar] [CrossRef]
- Hasegawa, T.; Kamada, Y.; Hosoya, T.; Fujita, S.; Nishiyama, Y.; Iwata, N.; Hiramatsu, Y.; Otsuka, F. A regulatory role of androgen in ovarian steroidogenesis by rat granulosa cells. J. Steroid Biochem. Mol. Biol. 2017, 172, 160–165. [Google Scholar] [CrossRef][Green Version]
- Fujita, S.; Hasegawa, T.; Nishiyama, Y.; Fujisawa, S.; Nakano, Y.; Nada, T.; Iwata, N.; Kamada, Y.; Masuyama, H.; Otsuka, F. Interaction between orexin A and bone morphogenetic protein system on progesterone biosynthesis by rat granulosa cells. J. Steroid Biochem. Mol. Biol. 2018, 181, 73–79. [Google Scholar] [CrossRef]
- Nakano, Y.; Hasegawa, T.; Kashino, C.; Iwata, N.; Yamamoto, K.; Suyama, A.; Soejima, Y.; Nada, T.; Otsuka, F. Aldosterone enhances progesterone biosynthesis regulated by bone morphogenetic protein in rat granulosa cells. J. Steroid Biochem. Mol. Biol. 2020, 203, 105738. [Google Scholar] [CrossRef] [PubMed]
- Nishiyama, Y.; Hasegawa, T.; Fujita, S.; Iwata, N.; Nagao, S.; Hosoya, T.; Inagaki, K.; Wada, J.; Otsuka, F. Incretins modulate progesterone biosynthesis by regulating bone morphogenetic protein activity in rat granulosa cells. J. Steroid Biochem. Mol. Biol. 2018, 178, 82–88. [Google Scholar] [CrossRef] [PubMed]
- Nakamura, E.; Otsuka, F.; Terasaka, T.; Inagaki, K.; Hosoya, T.; Tsukamoto-Yamauchi, N.; Toma, K.; Makino, H. Melatonin counteracts BMP-6 regulation of steroidogenesis by rat granulosa cells. J. Steroid Biochem. Mol. Biol. 2014, 143, 233–239. [Google Scholar] [CrossRef]
- Nakamura, E.; Otsuka, F.; Inagaki, K.; Miyoshi, T.; Matsumoto, Y.; Ogura, K.; Tsukamoto, N.; Takeda, M.; Makino, H. Mutual regulation of growth hormone and bone morphogenetic protein system in steroidogenesis by rat granulosa cells. Endocrinology 2012, 153, 469–480. [Google Scholar] [CrossRef] [PubMed]
- Miyoshi, T.; Otsuka, F.; Suzuki, J.; Takeda, M.; Inagaki, K.; Kano, Y.; Otani, H.; Mimura, Y.; Ogura, T.; Makino, H. Mutual regulation of follicle-stimulating hormone signaling and bone morphogenetic protein system in human granulosa cells. Biol. Reprod. 2006, 74, 1073–1082. [Google Scholar] [CrossRef]
- Gregoraszczuk, E.L.; Skalka, M. Thyroid hormone as a regulator of basal and human chorionic gonadotrophin-stimulated steroidogenesis by cultured porcine theca and granulosa cells isolated at different stages of the follicular phase. Reprod. Fertil. Dev. 1996, 8, 961–967. [Google Scholar] [CrossRef]
- Di Paolo, V.; Mangialardo, C.; Zacà, C.; Barberi, M.; Sereni, E.; Borini, A.; Centanni, M.; Coticchio, G.; Verga-Falzacappa, C.; Canipari, R. Thyroid hormones T3 and T4 regulate human luteinized granulosa cells, counteracting apoptosis and promoting cell survival. J. Endocrinol. Investig. 2020, 43, 821–831. [Google Scholar] [CrossRef]
- Wakim, A.N.; Polizotto, S.L.; Burholt, D.R. Augmentation by thyroxine of human granulosa cell gonadotrophin-induced steroidogenesis. Hum. Reprod. 1995, 10, 2845–2848. [Google Scholar] [CrossRef]
- Liu, J.; Tian, Y.; Ding, Y.; Heng, D.; Xu, K.; Liu, W.; Zhang, C. Role of CYP51 in the Regulation of T3 and FSH-Induced Steroidogenesis in Female Mice. Endocrinology 2017, 158, 3974–3987. [Google Scholar] [CrossRef]
- Duarte-Guterman, P.; Navarro-Martín, L.; Trudeau, V.L. Mechanisms of crosstalk between endocrine systems: Regulation of sex steroid hormone synthesis and action by thyroid hormones. Gen. Comp. Endocrinol. 2014, 203, 69–85. [Google Scholar] [CrossRef]
- Aghajanova, L.; Lindeberg, M.; Carlsson, I.B.; Stavreus-Evers, A.; Zhang, P.; Scott, J.E.; Hovatta, O.; Skjöldebrand-Sparre, L. Receptors for thyroid-stimulating hormone and thyroid hormones in human ovarian tissue. Reprod. Biomed. Online 2009, 18, 337–347. [Google Scholar] [CrossRef]
- Rae, M.T.; Gubbay, O.; Kostogiannou, A.; Price, D.; Critchley, H.O.; Hillier, S.G. Thyroid hormone signaling in human ovarian surface epithelial cells. J. Clin. Endocrinol. Metab. 2007, 92, 322–327. [Google Scholar] [CrossRef]
- Rossier, G.; Meier, C.; Bauch, C.; Summa, V.; Sordat, B.; Verrey, F.; Kühn, L.C. LAT2, a new basolateral 4F2hc/CD98-associated amino acid transporter of kidney and intestine. J. Biol. Chem. 1999, 274, 34948–34954. [Google Scholar] [CrossRef]
- Luis, E.; Fernández, Y.; Alvarado, M.; Juárez-Santacruz, L.; García-Nieto, E.; Anaya-Hernández, A. Differential expression and immunoreactivity of thyroid hormone transporters MCT8 and OATP1C1 in rat ovary. Acta Histochem. 2019, 121, 151440. [Google Scholar] [CrossRef]
- Yamamoto, K.; Nakano, Y.; Iwata, N.; Soejima, Y.; Suyama, A.; Hasegawa, T.; Otsuka, F. Stimulatory effects of vasopressin on progesterone production and BMP signaling by ovarian granulosa cells. Biochem. Biophys. Res. Commun. 2023, 667, 132–137. [Google Scholar] [CrossRef] [PubMed]
- Poppe, K.; Glinoer, D.; Van Steirteghem, A.; Tournaye, H.; Devroey, P.; Schiettecatte, J.; Velkeniers, B. Thyroid dysfunction and autoimmunity in infertile women. Thyroid 2002, 12, 997–1001. [Google Scholar] [CrossRef] [PubMed]
- Sinaii, N.; Cleary, S.D.; Ballweg, M.L.; Nieman, L.K.; Stratton, P. High rates of autoimmune and endocrine disorders, fibromyalgia, chronic fatigue syndrome and atopic diseases among women with endometriosis: A survey analysis. Hum. Reprod. 2002, 17, 2715–2724. [Google Scholar] [CrossRef] [PubMed]
- Janssen, O.E.; Mehlmauer, N.; Hahn, S.; Offner, A.H.; Gärtner, R. High prevalence of autoimmune thyroiditis in patients with polycystic ovary syndrome. Eur. J. Endocrinol. 2004, 150, 363–369. [Google Scholar] [CrossRef]
- Arora, S.; Sinha, K.; Kolte, S.; Mandal, A. Endocrinal and autoimmune linkage: Evidences from a controlled study of subjects with polycystic ovarian syndrome. J. Hum. Reprod. Sci. 2016, 9, 18–22. [Google Scholar] [CrossRef]
- Schmidt, J.; Weijdegård, B.; Mikkelsen, A.L.; Lindenberg, S.; Nilsson, L.; Brännström, M. Differential expression of inflammation-related genes in the ovarian stroma and granulosa cells of PCOS women. Mol. Hum. Reprod. 2014, 20, 49–58. [Google Scholar] [CrossRef]
- Khalaf, M.; Morera, J.; Bourret, A.; Reznik, Y.; Denoual, C.; Herlicoviez, M.; Mittre, H.; Benhaim, A. BMP system expression in GCs from polycystic ovary syndrome women and the in vitro effects of BMP4, BMP6, and BMP7 on GC steroidogenesis. Eur. J. Endocrinol. 2013, 168, 437–444. [Google Scholar] [CrossRef]
- Cui, X.; Jing, X.; Wu, X.; Bi, X.; Liu, J.; Long, Z.; Zhang, X.; Zhang, D.; Jia, H.; Su, D.; et al. Abnormal expression levels of BMP15/Smad1 are associated with granulosa cell apoptosis in patients with polycystic ovary syndrome. Mol. Med. Rep. 2017, 16, 8231–8236. [Google Scholar] [CrossRef] [PubMed]
- Nishi, Y.; Yanase, T.; Mu, Y.; Oba, K.; Ichino, I.; Saito, M.; Nomura, M.; Mukasa, C.; Okabe, T.; Goto, K.; et al. Establishment and characterization of a steroidogenic human granulosa-like tumor cell line, KGN, that expresses functional follicle-stimulating hormone receptor. Endocrinology 2001, 142, 437–445. [Google Scholar] [CrossRef] [PubMed]
- Otsuka, F.; Shimasaki, S. A negative feedback system between oocyte bone morphogenetic protein 15 and granulosa cell kit ligand: Its role in regulating granulosa cell mitosis. Proc. Natl. Acad. Sci. USA 2002, 99, 8060–8065. [Google Scholar] [CrossRef]
- Yamamoto, K.; Nakano, Y.; Iwata, N.; Soejima, Y.; Suyama, A.; Hasegawa, T.; Otsuka, F. Oxytocin enhances progesterone production with upregulation of BMP-15 activity by granulosa cells. Biochem. Biophys. Res. Commun. 2023, 646, 103–109. [Google Scholar] [CrossRef]
- Iwata, N.; Hasegawa, T.; Fujita, S.; Nagao, S.; Nakano, Y.; Nada, T.; Nishiyama, Y.; Hosoya, T.; Otsuka, F. Effect of the interaction of metformin and bone morphogenetic proteins on ovarian steroidogenesis by human granulosa cells. Biochem. Biophys. Res. Commun. 2018, 503, 1422–1427. [Google Scholar] [CrossRef]





| Gene | Sense Primer (5′ to 3′) | Antisense Primer (5′ to 3′) | Product (bp) | Accession No. |
|---|---|---|---|---|
| RPL19 | ATCGATCGCCACATGTATCA | CGTGCTTCCTTGGTCTTAGA | 167 | NM_000981 |
| StAR | GGCTACTCAGCATCGACCTC | CATCCCACTGTCACCAGATG | 250 | NM_000349 |
| P450scc | GGAAATTACTCGGGGGACAT | CACATGGTCCTTCCAGGTCT | 228 | NM_000781 |
| 3βHSD2 | CCACACCGCCTGTATCATTG | TCCAGAGGCTCTTCTTCGTG | 204 | NM_000198 |
| 20αHSD | GATCCCACCGAGAAGAACCA | TCAAACACCTGCACGTTCTG | 196 | AB031083.1 |
| P450arom | CAGAGGCCAAGAGTTTGAGG | ACACTAGCAGGTGGGTTTGG | 223 | NM_000103 |
| Smad6 | TGCAACCCCTACCACTTCAGC | TTCACCCGGAGCAGTGATGAG | 165 | NM_005585 |
| Smad7 | TGTGCAAAGTGTTCAGGTGGC | GGGTATCTGGAGTAAGGAGG | 169 | NM_001190821 |
| ALK2 | TTCCTCACTGAGCATCAACG | TAATGAGGCCAACCTCCAAG | 221 | NM_001105 |
| ALK3 | TTTATGGCACCCAAGGAAAG | TGGTATTCAAGGGCACATCA | 156 | NM_001406559 |
| ALK6 | GCCCATCGAGATCTGAAAAG | TAGCAACCTCCCAAAGGATG | 250 | NM_001203 |
| ActRIIA | AAAAGATGGCCACAAACCTG | CCAACCTGTCCATGGGTATC | 153 | NM_001278579 |
| BMPRII | GACAACATTGCCCGCTTTAT | ATCTCGATGGGAAATTGCAG | 237 | NM_001204 |
| TRα | TAGTCTCCGACGCCATCTTT | CAGAAGTGCGGAATGTTGTG | 211 | NM_199334.5 |
| TRβ | GCAGCACGTTGAAAAATGAA | GTGGCTTTGTCACCACACAC | 208 | NM_000461.5 |
Disclaimer/Publisher’s Note: The statements, opinions and data contained in all publications are solely those of the individual author(s) and contributor(s) and not of MDPI and/or the editor(s). MDPI and/or the editor(s) disclaim responsibility for any injury to people or property resulting from any ideas, methods, instructions or products referred to in the content. |
© 2025 by the authors. Licensee MDPI, Basel, Switzerland. This article is an open access article distributed under the terms and conditions of the Creative Commons Attribution (CC BY) license (https://creativecommons.org/licenses/by/4.0/).
Share and Cite
Motohashi, K.; Soejima, Y.; Yamamoto, K.; Iwata, N.; Suyama, A.; Nakano, Y.; Otsuka, F. Interaction Between Thyroid Hormones and Bone Morphogenetic Proteins in the Regulation of Steroidogenesis by Granulosa Cells. Int. J. Mol. Sci. 2025, 26, 9127. https://doi.org/10.3390/ijms26189127
Motohashi K, Soejima Y, Yamamoto K, Iwata N, Suyama A, Nakano Y, Otsuka F. Interaction Between Thyroid Hormones and Bone Morphogenetic Proteins in the Regulation of Steroidogenesis by Granulosa Cells. International Journal of Molecular Sciences. 2025; 26(18):9127. https://doi.org/10.3390/ijms26189127
Chicago/Turabian StyleMotohashi, Kanon, Yoshiaki Soejima, Koichiro Yamamoto, Nahoko Iwata, Atsuhito Suyama, Yasuhiro Nakano, and Fumio Otsuka. 2025. "Interaction Between Thyroid Hormones and Bone Morphogenetic Proteins in the Regulation of Steroidogenesis by Granulosa Cells" International Journal of Molecular Sciences 26, no. 18: 9127. https://doi.org/10.3390/ijms26189127
APA StyleMotohashi, K., Soejima, Y., Yamamoto, K., Iwata, N., Suyama, A., Nakano, Y., & Otsuka, F. (2025). Interaction Between Thyroid Hormones and Bone Morphogenetic Proteins in the Regulation of Steroidogenesis by Granulosa Cells. International Journal of Molecular Sciences, 26(18), 9127. https://doi.org/10.3390/ijms26189127

