Bovine Lactoferrin Promotes Neurite Outgrowth in PC12 Cells via the TrkA Receptor
Abstract
1. Introduction
2. Results
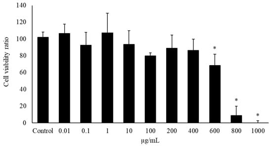
2.1. Evaluation of Cell Viability
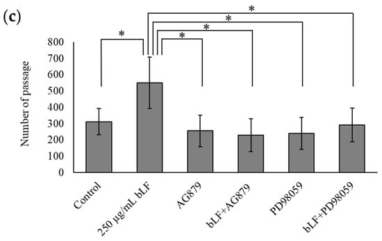
2.2. Morphological Evaluation of bLF
2.3. Phosphorylated p44/42 Expression Levels
2.4. Synapsin-1, Synaptophysin, and MAP2 Expression Levels Measured Using RT-qPCR
3. Discussion
4. Materials and Methods
4.1. Cell Culture and Materials
4.2. Cell Viability Assay
4.3. Morphological Evaluation of bLF-Induced Neurite Outgrowth
4.4. Morphological Evaluation Using Inhibitors
4.5. Western Blot Analysis
4.6. Western Blot Analysis Using Various Inhibitors
4.7. RNA Isolation and Real-Time Quantitative PCR (RT-qPCR)
4.8. Statistical Analysis
5. Conclusions
Author Contributions
Funding
Institutional Review Board Statement
Informed Consent Statement
Data Availability Statement
Acknowledgments
Conflicts of Interest
References
- Sorensen, M.; Sorensen, S.P.L. The Proteins in Whey. Comptes Rendus des Travaux du Laboratoire Carlsberg 1939, 23, 55–99. [Google Scholar]
- Telang, S. Lactoferrin: A Critical Player in Neonatal Host Defense. Nutrients 2018, 10, 1228. [Google Scholar] [CrossRef] [PubMed]
- Liu, H.; Wu, H.; Zhu, N.; Xu, Z.; Wang, Y.; Qu, Y.; Wang, J. Lactoferrin protects against iron dysregulation, oxidative stress, and apoptosis in 1-methyl-4-phenyl-1,2,3,6-tetrahydropyridine (MPTP)-induced Parkinson’s disease in mice. J. Neurochem. 2020, 152, 397–415. [Google Scholar] [CrossRef]
- Levay, P.F.; Viljoen, M. Lactoferrin: A General Review. Haematologica 1995, 80, 252–267. [Google Scholar]
- Gruden, Š.; Poklar Ulrih, N. Diverse Mechanisms of Antimicrobial Activities of Lactoferrins, Lactoferricins, and Other Lactoferrin-Derived Peptides. Int. J. Mol. Sci. 2021, 22, 11264. [Google Scholar] [CrossRef]
- Cutone, A.; Rosa, L.; Ianiro, G.; Lepanto, M.S.; Bonaccorsi di Patti, M.C.; Valenti, P.; Musci, G. Lactoferrin’s Anti-Cancer Properties: Safety, Selectivity, and Wide Range of Action. Biomolecules 2020, 10, 456. [Google Scholar] [CrossRef] [PubMed]
- FDA. GRAS Notice GRN 669, 2016: Cow’s Milk-Derived Lactoferrin. Available online: https://www.hfpappexternal.fda.gov/scripts/fdcc/index.cfm?set=GRASNotices&id=669 (accessed on 19 August 2024).
- Shinoda, I.; Fukuwatari, Y.; Shimamura, S.; Tomita, M. Stimulation by Bovine Lactoferrin of Nerve Growth Factor Synthesis/Secretion in Mouse L-M Cells. Biosci. Biotechnol. Biochem. 1993, 57, 890–893. [Google Scholar] [CrossRef]
- Thoenen, H.; Korsching, S.; Heumann, R.; Acheson, A. Nerve Growth Factor. Ciba Found. Symp. 1985, 116, 113–128. [Google Scholar] [CrossRef]
- Levi-Montalcini, R. The Nerve Growth Factor 35 Years Later. Science 1987, 237, 1154–1162. [Google Scholar] [CrossRef]
- Reichardt, L.F.; Fariñas, I. Neurotrophic Factors and Their Receptors: Roles in Neuronal Development and Function. In Molecular and Cellular Approaches to Neural Development; Cowan, W.M., Jessel, T.M., Zipursky, S.L., Eds.; Oxford University Press: New York, NY, USA, 1997; pp. 220–263. [Google Scholar]
- Snider, W.D. Functions of the Neurotrophins During Nervous System Development: What the Knockouts Are Teaching Us. Cell 1994, 77, 627–638. [Google Scholar] [CrossRef]
- Marlin, M.C.; Li, G. Biogenesis and Function of the NGF/TrkA Signaling Endosome. Int. Rev. Cell Mol. Biol. 2015, 314, 239–257. [Google Scholar] [CrossRef] [PubMed]
- Testa, G.; Cattaneo, A.; Capsoni, S. Understanding Pain Perception Through Genetic Painlessness Diseases: The Role of NGF and proNGF. Pharmacol. Res. 2021, 169, 105662. [Google Scholar] [CrossRef] [PubMed]
- Cortazzo, M.H.; Kassis, E.S.; Sproul, K.A.; Schor, N.F. Nerve Growth Factor (NGF)-Mediated Protection of Neural Crest Cells from Antimitotic Agent-Induced Apoptosis: The Role of the Low-Affinity NGF Receptor. J. Neurosci. 1996, 16, 3895–3899. [Google Scholar] [CrossRef]
- Sun, P.; Watanabe, H.; Takano, K.; Yokoyama, T.; Fujisawa, J.; Endo, T. Sustained Activation of M-Ras Induced by Nerve Growth Factor is Essential for Neuronal Differentiation of PC12 Cells. Genes Cells 2006, 11, 1097–1113. [Google Scholar] [CrossRef]
- Toni, T.; Dua, P.; van der Graaf, P.H. Systems Pharmacology of the NGF Signaling Through p75 and TrkA Receptors. CPT Pharmacomet. Syst. Pharmacol. 2014, 3, e150. [Google Scholar] [CrossRef]
- Pepeu, G.; Grazia Giovannini, L. The Fate of the Brain Cholinergic Neurons in Neurodegenerative Diseases. Brain Res. 2017, 1670, 173–184. [Google Scholar] [CrossRef]
- Latina, V.; Caioli, S.; Zona, C.; Ciotti, M.T.; Amadoro, G.; Calissano, P. Impaired NGF/TrkA Signaling Causes Early AD-Linked Presynaptic Dysfunction in Cholinergic Primary Neurons. Front. Cell. Neurosci. 2017, 11, 68. [Google Scholar] [CrossRef]
- Yoon, E.J.; Choi, Y.; Park, D. Improvement of Cognitive Function in Ovariectomized Rats by Human Neural Stem Cells Overexpressing Choline Acetyltransferase via Secretion of NGF and BDNF. Int. J. Mol. Sci. 2022, 23, 5560. [Google Scholar] [CrossRef]
- Izumo, N.; Yukiko, I.; Kagaya, N.; Furukawa, M.; Iwasaki, R.; Sumino, A.; Hayamizu, K.; Nakano, M.; Hoshino, T.; Kurono, H.; et al. Lactoferrin Suppresses Decreased Locomotor Activities by Improving Dopamine and Serotonin Release in the Amygdala of Ovariectomized Rats. Curr. Mol. Pharmacol. 2021, 14, 245–252. [Google Scholar] [CrossRef]
- Nagashima, D.; Nakagawa, A.; Matsubara, C.; Mizukami, N.; Furukawa, M.; Watanabe, Y.; Izumo, N. Nicotinamide Mononucleotide (NMN) Enhances Neurite Outgrowth Comparable to Nerve Growth Factor (NGF) in PC12 Cells (Japanese). Oyo Yakuri Pharmacometr. 2022, 102, 63–67. [Google Scholar]
- Bokkhim, H.; Bansal, N.; Grøndahl, L.; Bhandari, B. Physico-Chemical Properties of Different Forms of Bovine Lactoferrin. Food Chem. 2013, 141, 3007–3013. [Google Scholar] [CrossRef] [PubMed]
- Yoo, Y.E.; Hong, J.H.; Hur, K.C.; Oh, E.S.; Chung, J.M. Iron Enhances NGF-Induced Neurite Outgrowth in PC12 Cells. Mol. Cells 2004, 17, 340–346. [Google Scholar] [CrossRef] [PubMed]
- Endo, T. Dominant-Negative Antagonists of the Ras-ERK Pathway: DA-Raf and Its Related Proteins Generated by Alternative Splicing of Raf. Exp. Cell Res. 2020, 387, 111775. [Google Scholar] [CrossRef]
- Vaudry, D.; Stork, P.J.; Lazarovici, P.; Eiden, L.E. Signaling Pathways for PC12 Cell Differentiation: Making the Right Connections. Science 2002, 296, 1648–1649. [Google Scholar] [CrossRef]
- Fujita, T.; Izumo, N.; Fukuyama, R.; Meguro, T.; Yasutomi, C.; Nakamuta, H.; Koida, M. Incadronate and Etidronate Accelerate Phosphate-Primed Mineralization of MC4 Cells via ERK1/2-Cbfa1 Signaling Pathway in a Ras-Independent Manner: Further Involvement of Mevalonate-Pathway Blockade for Incadronate. Jpn. J. Pharmacol. 2001, 86, 86–96. [Google Scholar] [CrossRef][Green Version]
- Williams, T.M.; Ndifor, A.M.; Near, J.T.; Reams-Brown, R.R. Lead Enhances NGF-Induced Neurite Outgrowth in PC12 Cells by Potentiating ERK/MAPK Activation. Neurotoxicology 2000, 21, 1081–1089. [Google Scholar]
- Grimes, M.L.; Zhou, J.; Beattie, E.C.; Yuen, E.C.; Hall, D.E.; Valletta, J.S.; Topp, K.S.; LaVail, J.H.; Bunnett, N.W.; Mobley, W.C. Endocytosis of Activated TrkA: Evidence that Nerve Growth Factor Induces Formation of Signaling Endosomes. J. Neurosci. 1996, 16, 7950–7964. [Google Scholar] [CrossRef]
- Takano, N.; Sakurai, T.; Ohashi, Y.; Kurachi, M. Effects of High-Affinity Nerve Growth Factor Receptor Inhibitors on Symptoms in the NC/Nga Mouse Atopic Dermatitis Model. Br. J. Dermatol. 2007, 156, 241–246. [Google Scholar] [CrossRef]
- Kim, Y.; Seger, R.; Suresh Babu, C.V.; Hwang, S.Y.; Yoo, Y.S. A Positive Role of the PI3-K/Akt Signaling Pathway in PC12 Cell Differentiation. Mol. Cells 2004, 18, 353–359. [Google Scholar] [CrossRef]
- Zimmermann, S.; Moelling, K. Phosphorylation and Regulation of Raf by Akt (Protein Kinase B). Science 1999, 286, 1741–1744. [Google Scholar] [CrossRef]
- Wang, X.; Hong, H.; Brown, D.H.; Sanchez, J.T.; Wang, Y. Distinct Neural Properties in the Low-Frequency Region of the Chicken Cochlear Nucleus Magnocellularis. eNeuro 2017, 4, 16–17. [Google Scholar] [CrossRef] [PubMed]
- Wiedenmann, B.; Franke, W.W.; Kuhn, C.; Moll, R.; Gould, V.E. Synaptophysin: A Marker Protein for Neuroendocrine Cells and Neoplasms. Proc. Natl. Acad. Sci. USA 1986, 83, 3500–3504. [Google Scholar] [CrossRef] [PubMed]
- Kwon, S.E.; Chapman, E.R. Synaptophysin Regulates the Kinetics of Synaptic Vesicle Endocytosis in Central Neurons. Neuron 2011, 70, 847–854. [Google Scholar] [CrossRef] [PubMed]
- Fassio, A.; Patry, L.; Congia, S.; Onofri, F.; Piton, A.; Gauthier, J.; Pozzi, D.; Messa, M.; Defranchi, E.; Fadda, M.; et al. SYN1 Loss-of-Function Mutations in Autism and Partial Epilepsy Cause Impaired Synaptic Function. Hum. Mol. Genet. 2011, 20, 2297–2307. [Google Scholar] [CrossRef]
- Lignani, G.; Raimondi, A.; Ferrea, E.; Rocchi, A.; Paonessa, F.; Cesca, F.; Orlando, M.; Tkatch, T.; Valtorta, F.; Cossette, P.; et al. Epileptogenic Q555X SYN1 Mutant Triggers Imbalances in Release Dynamics and Short-Term Plasticity. Hum. Mol. Genet. 2013, 22, 2186–2199. [Google Scholar] [CrossRef]
- Nagashima, D.; Furukawa, M.; Yamano, Y.; Yamauchi, T.; Okubo, S.; Toho, M.; Ito, Y.; Izumo, N. Zinc-Containing Mohs’ Paste Affects Blood Flow and Angiogenesis Suppression. DARU J. Pharm. Sci. 2021, 29, 321–328. [Google Scholar] [CrossRef]










| Genes | Primer Sequences (5′–3′) |
|---|---|
| GAPDH Forward | AAGTTCAACGGCACAGTCAA |
| GAPDH Reverse | GATCTCGCTCCTGGAAGATG |
| Synapsin-1 Forward | CCCAGATGGTTCGACTACAC |
| Synapsin-1 Reverse | GGGTATGTTGTGCTGCTGAG |
| Synaptophysin Forward | AAAGGCCTGTCCGATGTGAAG |
| Synaptophysin Reverse | TCCCTCAGTTCCTTGCATGTG |
| MAP2 Forward | GATCAACGGAGAGCTGACCT |
| MAP2 Reverse | TTGGGCCTCCTTCTCTTGTT |
Disclaimer/Publisher’s Note: The statements, opinions and data contained in all publications are solely those of the individual author(s) and contributor(s) and not of MDPI and/or the editor(s). MDPI and/or the editor(s) disclaim responsibility for any injury to people or property resulting from any ideas, methods, instructions or products referred to in the content. |
© 2024 by the authors. Licensee MDPI, Basel, Switzerland. This article is an open access article distributed under the terms and conditions of the Creative Commons Attribution (CC BY) license (https://creativecommons.org/licenses/by/4.0/).
Share and Cite
Nagashima, D.; Mizukami, N.; Ogawa, N.; Suzuki, S.; Ohno, M.; Aoki, R.; Furukawa, M.; Izumo, N. Bovine Lactoferrin Promotes Neurite Outgrowth in PC12 Cells via the TrkA Receptor. Int. J. Mol. Sci. 2024, 25, 11249. https://doi.org/10.3390/ijms252011249
Nagashima D, Mizukami N, Ogawa N, Suzuki S, Ohno M, Aoki R, Furukawa M, Izumo N. Bovine Lactoferrin Promotes Neurite Outgrowth in PC12 Cells via the TrkA Receptor. International Journal of Molecular Sciences. 2024; 25(20):11249. https://doi.org/10.3390/ijms252011249
Chicago/Turabian StyleNagashima, Daichi, Noa Mizukami, Nana Ogawa, Sayaka Suzuki, Megumi Ohno, Ryoken Aoki, Megumi Furukawa, and Nobuo Izumo. 2024. "Bovine Lactoferrin Promotes Neurite Outgrowth in PC12 Cells via the TrkA Receptor" International Journal of Molecular Sciences 25, no. 20: 11249. https://doi.org/10.3390/ijms252011249
APA StyleNagashima, D., Mizukami, N., Ogawa, N., Suzuki, S., Ohno, M., Aoki, R., Furukawa, M., & Izumo, N. (2024). Bovine Lactoferrin Promotes Neurite Outgrowth in PC12 Cells via the TrkA Receptor. International Journal of Molecular Sciences, 25(20), 11249. https://doi.org/10.3390/ijms252011249

