Antibody–Drug Conjugates—Evolution and Perspectives
Abstract
1. Introduction
2. Structural Aspects of ADCs
2.1. Monoclonal Antibodies
2.2. Linkers
2.2.1. Cleavable Linkers
pH-Sensitive Linkers
Reduction-Sensitive Linkers
Phosphate-Based Linkers
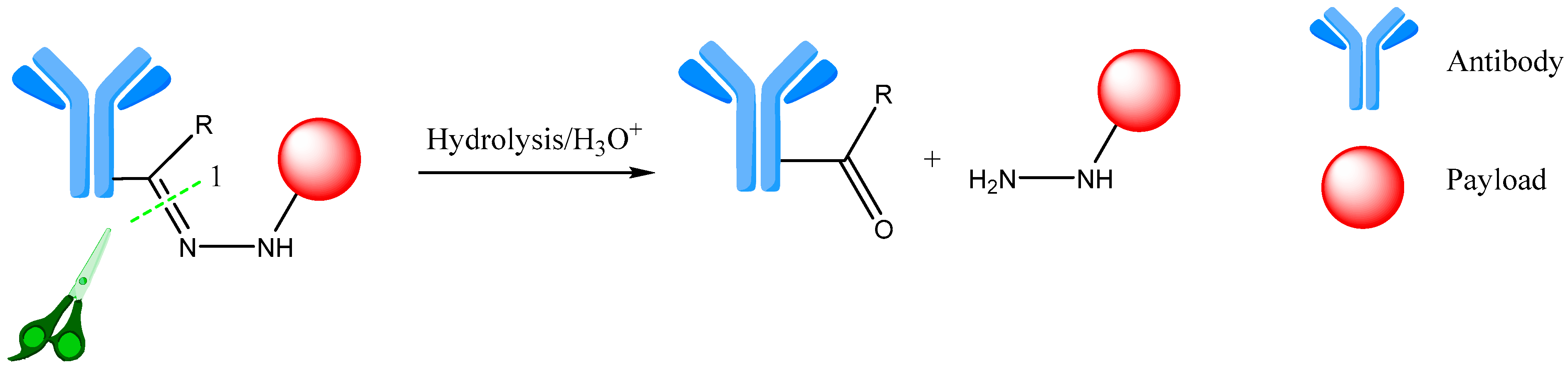
Peptide-Based Linkers
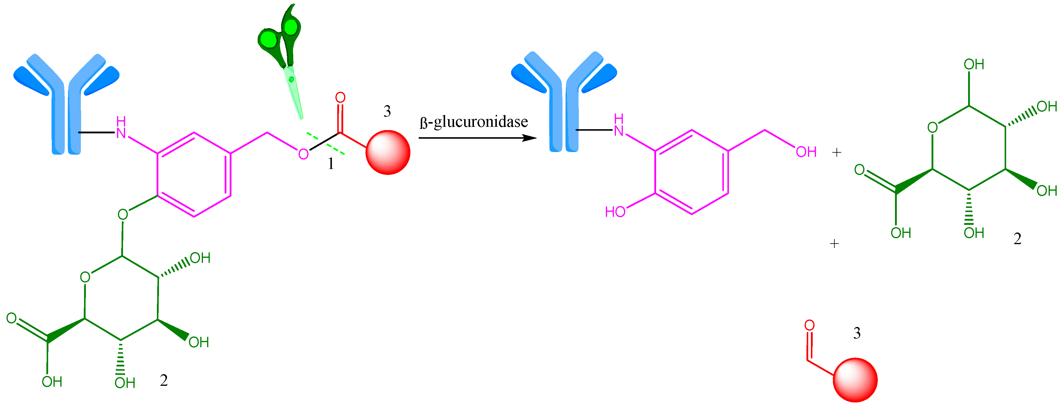
β-Glucoronide-Based Linkers
2.2.2. Non-Cleavable Linkers
2.3. Payloads
- (i)
- high cytotoxic capacity correlated with the accentuated lipophilic character;
- (ii)
- the target of the payload has to be situated inside the cells;
- (iii)
- the active cytotoxic molecule should be small in size, should not have immunogenicity, and should have adequate solubility in aqueous buffer solutions so that conjugation takes place in the best possible conditions;
- (iv)
- the payload has to be stable in plasma.
3. Antibody–Drug Conjugation and Efficiency
4. Development of ADCs
- (i)
- (ii)
- The second-generation ADCs are characterized by some additional improvements, obtaining ADCs with enhanced target selectivity, using humanized antibodies with reduced immunogenicity, more efficient payloads, and stable linkers that have shown high effectiveness and clinical safety [94,95,96]. However, there are still drawbacks, including the existence of unconjugated antibodies and high DARs, leading to off-target toxicity, ADC aggregation, elevated metabolic degradation of the drug, and rapid clearance [94,97].
- (iii)
- The third generation further refines previous shortcomings by employing specific conjugation optimization techniques, reducing the DAR to around 2–4 and reducing the proportion of unbound antibodies, thus enhancing the efficiency of ADCs [98]. Also, the fractional dosing regimen approach is a strategy that can extend the therapeutic index that may diminish the toxicity induced by the maximum concentration of ADCs in the systemic circulation, prolong the exposure time of ADCs in the tumor tissue, and maintain the intensity of the dose to assure antitumor efficacy [99].
4.1. First Generation ADC
- (i)
- Drug efficacy—circulating serum concentrations were not in the therapeutic range: tumor cells express only a small quantity of antigen molecules, and the payload released by ADCs inside the cell is insufficient to meet the threshold concentration needed for cell destruction. Also, the quantity of ADC molecules delivered inside the cell is often lesser than the number of those that are attached to the cell surface;
- (ii)
- Target antigen expression—they targeted receptors that lack sufficient selectivity for tumors, leading to unacceptable levels of toxicity;
- (iii)
- Linker stability—the linkers employed were either excessively stable (leading to diminished potency and reduced efficacy) or excessively unstable (leading to compromised target specificity and heigh systemic toxicity). Thus, the short half life (43 h) of the hydrazone linker was a reason for unwanted toxicity because of early release of the drug off-target. The use of these first-generation linkers resulted in increased levels of payload dissociation still in circulation, leading to non-selective cytotoxicity. Linker instability remained an important issue in the 2000s, exemplified by GO, which released half of its payloads within 48 h into circulation. Because of this design flaw, GO was associated with increased mortality rate compared to other therapies;
- (iv)
- Immune responses—the mAbs used in the first ADCs were either chimeric or murine, leading to an immune reaction and in the production of human anti-mouse antibodies which hindered the ability to administer repeated cycles of therapy.
4.2. Second Generation ADC: Site-Directed Conjugation
4.3. Third Generation ADCs
5. Safety Issues
6. Clinical Trials
7. Perspectives and Challenges
7.1. Selection of Specific Antigens
7.2. Structural Optimization of ADCs
7.3. Strategies to Optimize Resistance and Toxicity
8. Conclusions
Author Contributions
Funding
Data Availability Statement
Conflicts of Interest
Abbreviations
| ADC | Antibody–drug conjugate |
| Ala | Alanine |
| BV | Brentuximab vedotin |
| Cit | Citrulline |
| Cys | Cysteine |
| DAR | Drug–Antibody Ratio |
| Dato-DXd | Datopotamab deruxtecan |
| DM1 | Mertansine/emtansine (maytansinoid) |
| DM4 | Soravtansine/ravtansine (maytansinoid) |
| DOX | Doxorubicin |
| DS-8201a | Trastuzumab deruxtecan |
| DXd | Exatecan derivative |
| EMA | European Medicines Agency |
| Fabs | Antigen-binding fragments |
| Fc | Fragment crystallizable region |
| FDA | Food and Drug Administration |
| G2 | Second growth phase |
| GO | Gemtuzumab ozogamicin |
| HER2 | Human epidermal growth factor receptor 2 |
| huC242-SPDB-DM4 | Cantuzumab ravtansine |
| Le(Y) | Anti-Lewis Y |
| Lys | Lysine |
| M | Mitosis |
| mAb | Monoclonal antibody |
| MC | Maleimidocaproyl |
| MK-2870 | Sacituzumab tirumotecan |
| MMAE | Monomethyl auristatin E |
| MRG002 | Human Epidermal Growth Factor Receptor 2 Positive Breast Cancer |
| MRG003 | Anti-Epidermal Growth Factor Receptor Antibody Drug Conjugate |
| NSCLC | Non-small cell lung cancer |
| PABC | P-aminobenzyloxycarbonyl |
| PBD | Pyrrolobenzodiazepine dimer |
| PEG | Polyethylene glycol |
| Phe | Phenylalanine |
| PK | Pharmacokinetics |
| RC48 | Disitamab vedotin |
| R-DXd | Raludotatug deruxtecan |
| SG | Sacituzumab govitecan |
| SN-38 | Active metabolite of iridotecan |
| SSC | Site-specific conjugation |
| T-DM1 | Trastuzumab emtansine conjugate DM1 |
| TNBC | Triple-negative breast cancer |
| Val | Valine |
References
- Thurston, D.E.; Pysz, I. Chemistry and Pharmacology of Anticancer Drugs, 2nd ed.; CRC Press: Boca Raton, USA, 2021; ISBN 9781315374727. [Google Scholar]
- Sung, H.; Ferlay, J.; Siegel, R.L.; Laversanne, M.; Soerjomataram, I.; Jemal, A.; Bray, F. Global Cancer Statistics 2020: GLOBOCAN Estimates of Incidence and Mortality Worldwide for 36 Cancers in 185 Countries. CA Cancer J. Clin. 2021, 71, 209–249. [Google Scholar] [CrossRef]
- Chis, A.A.; Arseniu, A.M.; Morgovan, C.; Dobrea, C.M.; Frum, A.; Juncan, A.M.; Butuca, A.; Ghibu, S.; Gligor, F.G.; Rus, L.L. Biopolymeric Prodrug Systems as Potential Antineoplastic Therapy. Pharmaceutics 2022, 14, 1773. [Google Scholar] [CrossRef]
- Wang, X.; Zhang, H.; Chen, X. Drug Resistance and Combating Drug Resistance in Cancer. Cancer Drug Resist. 2019, 2, 141. [Google Scholar] [CrossRef]
- Chis, A.A.; Dobrea, C.M.; Rus, L.L.; Frum, A.; Morgovan, C.; Butuca, A.; Totan, M.; Juncan, A.M.; Gligor, F.G.; Arseniu, A.M. Dendrimers as Non-Viral Vectors in Gene-Directed Enzyme Prodrug Therapy. Molecules 2021, 26, 5976. [Google Scholar] [CrossRef]
- Zhu, Y.; Feijen, J.; Zhong, Z. Dual-Targeted Nanomedicines for Enhanced Tumor Treatment. Nano Today 2018, 18, 65–85. [Google Scholar] [CrossRef]
- Hare, J.I.; Lammers, T.; Ashford, M.B.; Puri, S.; Storm, G.; Barry, S.T. Challenges and Strategies in Anti-Cancer Nanomedicine Development: An Industry Perspective. Adv. Drug Deliv. Rev. 2017, 108, 25–38. [Google Scholar] [CrossRef]
- Youn, Y.S.; Bae, Y.H. Perspectives on the Past, Present, and Future of Cancer Nanomedicine. Adv. Drug Deliv. Rev. 2018, 130, 3–11. [Google Scholar] [CrossRef]
- Falzone, L.; Salomone, S.; Libra, M. Evolution of Cancer Pharmacological Treatments at the Turn of the Third Millennium. Front. Pharmacol. 2018, 9, 1300. [Google Scholar] [CrossRef]
- Fu, Z.; Li, S.; Han, S.; Shi, C.; Zhang, Y. Antibody Drug Conjugate: The “Biological Missile” for Targeted Cancer Therapy. Signal Transduct. Target. Ther. 2022, 7, 93. [Google Scholar] [CrossRef] [PubMed]
- Zhao, P.; Zhang, Y.; Li, W.; Jeanty, C.; Xiang, G.; Dong, Y. Recent Advances of Antibody Drug Conjugates for Clinical Applications. Acta Pharm. Sin. B 2020, 10, 1589–1600. [Google Scholar] [CrossRef] [PubMed]
- Gogia, P.; Ashraf, H.; Bhasin, S.; Xu, Y. Antibody-Drug Conjugates: A Review of Approved Drugs and Their Clinical Level of Evidence. Cancers 2023, 15, 3886. [Google Scholar] [CrossRef]
- Tarantino, P.; Pestana, R.C.; Corti, C.; Modi, S.; Bardia, A.; Tolaney, S.M.; Cortes, J.; Soria, J.-C.; Curigliano, G. Antibody–Drug Conjugates: Smart Chemotherapy Delivery across Tumor Histologies. CA Cancer J. Clin. 2022, 72, 165–182. [Google Scholar] [CrossRef]
- Saleh, M.N.; Sugarman, S.; Murray, J.; Ostroff, J.B.; Healey, D.; Jones, D.; Daniel, C.R.; LeBherz, D.; Brewer, H.; Onetto, N.; et al. Phase I Trial of the Anti–Lewis Y Drug Immunoconjugate BR96-Doxorubicin in Patients With Lewis Y–Expressing Epithelial Tumors. J. Clin. Oncol. 2000, 18, 2282–2292. [Google Scholar] [CrossRef]
- Norsworthy, K.J.; Ko, C.-W.; Lee, J.E.; Liu, J.; John, C.S.; Przepiorka, D.; Farrell, A.T.; Pazdur, R. FDA Approval Summary: Mylotarg for Treatment of Patients with Relapsed or Refractory CD33-Positive Acute Myeloid Leukemia. Oncologist 2018, 23, 1103–1108. [Google Scholar] [CrossRef]
- Baron, J.; Wang, E.S. Gemtuzumab Ozogamicin for the Treatment of Acute Myeloid Leukemia. Expert Rev. Clin. Pharmacol. 2018, 11, 549–559. [Google Scholar] [CrossRef]
- Ali, S.; Dunmore, H.-M.; Karres, D.; Hay, J.L.; Salmonsson, T.; Gisselbrecht, C.; Sarac, S.B.; Bjerrum, O.W.; Hovgaard, D.; Barbachano, Y.; et al. The EMA Review of Mylotarg (Gemtuzumab Ozogamicin) for the Treatment of Acute Myeloid Leukemia. Oncologist 2019, 24, e171–e179. [Google Scholar] [CrossRef]
- Beck, A.; Reichert, J.M. Antibody-Drug Conjugates. mAbs 2013, 6, 15–17. [Google Scholar] [CrossRef]
- Al Sbihi, A.; Alasfour, M.; Pongas, G. Innovations in Antibody-Drug Conjugate (ADC) in the Treatment of Lymphoma. Cancers 2024, 16, 827. [Google Scholar] [CrossRef]
- Lu, G.; Nishio, N.; van den Berg, N.S.; Martin, B.A.; Fakurnejad, S.; van Keulen, S.; Colevas, A.D.; Thurber, G.M.; Rosenthal, E.L. Co-Administered Antibody Improves Penetration of Antibody–Dye Conjugate into Human Cancers with Implications for Antibody–Drug Conjugates. Nat. Commun. 2020, 11, 5667. [Google Scholar] [CrossRef] [PubMed]
- Aggarwal, D.; Yang, J.; Salam, M.A.; Sengupta, S.; Al-Amin, M.Y.; Mustafa, S.; Khan, M.A.; Huang, X.; Pawar, J.S. Antibody-Drug Conjugates: The Paradigm Shifts in the Targeted Cancer Therapy. Front. Immunol. 2023, 14, 1203073. [Google Scholar] [CrossRef]
- Pander, G.; Uhl, P.; Kühl, N.; Haberkorn, U.; Anderl, J.; Mier, W. Antibody–Drug Conjugates: What Drives Their Progress? Drug Discov. Today 2022, 27, 103311. [Google Scholar] [CrossRef]
- Cheng-Sánchez, I.; Moya-Utrera, F.; Porras-Alcalá, C.; López-Romero, J.M.; Sarabia, F. Antibody-Drug Conjugates Containing Payloads from Marine Origin. Mar. Drugs 2022, 20, 494. [Google Scholar] [CrossRef]
- Abuhelwa, Z.; Alloghbi, A.; Nagasaka, M. A Comprehensive Review on Antibody-Drug Conjugates (ADCs) in the Treatment Landscape of Non-Small Cell Lung Cancer (NSCLC). Cancer Treat. Rev. 2022, 106, 102393. [Google Scholar] [CrossRef]
- Ponziani, S.; Di Vittorio, G.; Pitari, G.; Cimini, A.M.; Ardini, M.; Gentile, R.; Iacobelli, S.; Sala, G.; Capone, E.; Flavell, D.J.; et al. Antibody-Drug Conjugates: The New Frontier of Chemotherapy. Int. J. Mol. Sci. 2020, 21, 5510. [Google Scholar] [CrossRef]
- Sheyi, R.; de la Torre, B.G.; Albericio, F. Linkers: An Assurance for Controlled Delivery of Antibody-Drug Conjugate. Pharmaceutics 2022, 14, 396. [Google Scholar] [CrossRef]
- Chiu, M.L.; Goulet, D.R.; Teplyakov, A.; Gilliland, G.L. Antibody Structure and Function: The Basis for Engineering Therapeutics. Antibodies 2019, 8, 55. [Google Scholar] [CrossRef]
- Baah, S.; Laws, M.; Rahman, K.M. Antibody–Drug Conjugates—A Tutorial Review. Molecules 2021, 26, 2943. [Google Scholar] [CrossRef]
- Abdollahpour-Alitappeh, M.; Lotfinia, M.; Gharibi, T.; Mardaneh, J.; Farhadihosseinabadi, B.; Larki, P.; Faghfourian, B.; Sepehr, K.S.; Abbaszadeh-Goudarzi, K.; Abbaszadeh-Goudarzi, G.; et al. Antibody-Drug Conjugates (ADCs) for Cancer Therapy: Strategies, Challenges, and Successes. J. Cell. Physiol. 2019, 234, 5628–5642. [Google Scholar] [CrossRef]
- Metrangolo, V.; Engelholm, L.H. Antibody–Drug Conjugates: The Dynamic Evolution from Conventional to Next-Generation Constructs. Cancers 2024, 16, 447. [Google Scholar] [CrossRef]
- Bargh, J.D.; Isidro-Llobet, A.; Parker, J.S.; Spring, D.R. Cleavable Linkers in Antibody–Drug Conjugates. Chem. Soc. Rev. 2019, 48, 4361–4374. [Google Scholar] [CrossRef]
- Khongorzul, P.; Ling, C.J.; Khan, F.U.; Ihsan, A.U.; Zhang, J. Antibody-Drug Conjugates: A Comprehensive Review. Mol. Cancer Res. 2020, 18, 3–19. [Google Scholar] [CrossRef]
- What Are ADC Linkers?|AxisPharm. Available online: https://axispharm.com/what-are-adc-linkers/ (accessed on 18 April 2024).
- Doronina, S.O.; Toki, B.E.; Torgov, M.Y.; Mendelsohn, B.A.; Cerveny, C.G.; Chace, D.F.; DeBlanc, R.L.; Gearing, R.P.; Bovee, T.D.; Siegall, C.B.; et al. Development of Potent Monoclonal Antibody Auristatin Conjugates for Cancer Therapy. Nat. Biotechnol. 2003, 21, 778–784. [Google Scholar] [CrossRef]
- Lu, J.; Jiang, F.; Lu, A.; Zhang, G. Linkers Having a Crucial Role in Antibody–Drug Conjugates. Int. J. Mol. Sci. 2016, 17, 561. [Google Scholar] [CrossRef]
- Singh, D.; Dheer, D.; Samykutty, A.; Shankar, R. Antibody Drug Conjugates in Gastrointestinal Cancer: From Lab to Clinical Development. J. Control. Release 2021, 340, 1–34. [Google Scholar] [CrossRef]
- Erickson, H.K.; Widdison, W.C.; Mayo, M.F.; Whiteman, K.; Audette, C.; Wilhelm, S.D.; Singh, R. Tumor Delivery and in Vivo Processing of Disulfide-Linked and Thioether-Linked Antibody-Maytansinoid Conjugates. Bioconjug. Chem. 2010, 21, 84–92. [Google Scholar] [CrossRef]
- Lewis Phillips, G.D.; Li, G.; Dugger, D.L.; Crocker, L.M.; Parsons, K.L.; Mai, E.; Blättler, W.A.; Lambert, J.M.; Chari, R.V.J.; Lutz, R.J.; et al. Targeting HER2-Positive Breast Cancer with Trastuzumab-DM1, an Antibody–Cytotoxic Drug Conjugate. Cancer Res. 2008, 68, 9280–9290. [Google Scholar] [CrossRef]
- Su, Z.; Xiao, D.; Xie, F.; Liu, L.; Wang, Y.; Fan, S.; Zhou, X.; Li, S. Antibody–Drug Conjugates: Recent Advances in Linker Chemistry. Acta Pharm. Sin. B 2021, 11, 3889–3907. [Google Scholar] [CrossRef]
- Kostova, V.; Désos, P.; Starck, J.B.; Kotschy, A. The Chemistry Behind ADCs. Pharmaceutics 2021, 14, 442. [Google Scholar] [CrossRef]
- Li, Y.; Gu, C.; Gruenhagen, J.; Yehl, P.; Chetwyn, N.P.; Medley, C.D. An Enzymatic Deconjugation Method for the Analysis of Small Molecule Active Drugs on Antibody-Drug Conjugates. mAbs 2016, 8, 698–705. [Google Scholar] [CrossRef]
- Doronina, S.O.; Bovee, T.D.; Meyer, D.W.; Miyamoto, J.B.; Anderson, M.E.; Morris-Tilden, C.A.; Senter, P.D. Novel Peptide Linkers for Highly Potent Antibody-Auristatin Conjugate. Bioconjug. Chem. 2008, 19, 1960–1963. [Google Scholar] [CrossRef]
- Richardson, N.C.; Kasamon, Y.L.; Chen, H.; de Claro, R.A.; Ye, J.; Blumenthal, G.M.; Farrell, A.T.; Pazdur, R. FDA Approval Summary: Brentuximab Vedotin in First-Line Treatment of Peripheral T-Cell Lymphoma. Oncologist 2019, 24, e180. [Google Scholar] [CrossRef]
- Chen, H.; Lin, Z.; Arnst, K.E.; Miller, D.D.; Li, W. Tubulin Inhibitor-Based Antibody-Drug Conjugates for Cancer Therapy. Molecules 2017, 22, 1281. [Google Scholar] [CrossRef]
- Jeffrey, S.C.; De Brabander, J.; Miyamoto, J.; Senter, P.D. Expanded Utility of the β-Glucuronide Linker: ADCs That Deliver Phenolic Cytotoxic Agents. ACS Med. Chem. Lett. 2010, 1, 277–280. [Google Scholar] [CrossRef]
- Tsuchikama, K.; An, Z. Antibody-Drug Conjugates: Recent Advances in Conjugation and Linker Chemistries. Protein Cell 2018, 9, 33–46. [Google Scholar] [CrossRef]
- Shim, H. Bispecific Antibodies and Antibody–Drug Conjugates for Cancer Therapy: Technological Considerations. Biomolecules 2020, 10, 360. [Google Scholar] [CrossRef]
- Walles, M.; Connor, A.; Hainzl, D. ADME and Safety Aspects of Non-Cleavable Linkers in Drug Discovery and Development. Curr. Top. Med. Chem. 2017, 17, 3463–3475. [Google Scholar] [CrossRef]
- Rugo, H.S.; Krop, I.E.; Chu, Y.W. Trastuzumab Emtansine (T-DM1) for the Treatment of HER2-Positive Cancer with a Focus on Breast Cancer. Antibody-Drug Conjugates and Immunotoxins: From Pre-Clinical Development to Therapeutic Applications; Springer: New York, NY, USA, 2013; pp. 179–210. [Google Scholar] [CrossRef]
- Morgovan, C.; Dobrea, C.M.; Butuca, A.; Arseniu, A.M.; Frum, A.; Rus, L.L.; Chis, A.A.; Juncan, A.M.; Gligor, F.G.; Georgescu, C.; et al. Safety Profile of the Trastuzumab-Based ADCs: Analysis of Real-World Data Registered in Eudra Vigilance. Biomedicines 2024, 12, 953. [Google Scholar] [CrossRef]
- Jain, N.; Smith, S.W.; Ghone, S.; Tomczuk, B. Current ADC Linker Chemistry. Pharm. Res. 2015, 32, 3526–3540. [Google Scholar] [CrossRef]
- Mahmood, I. Clinical Pharmacology of Antibody-Drug Conjugates. Antibodies 2021, 10, 20. [Google Scholar] [CrossRef]
- Ferraro, E.; Drago, J.Z.; Modi, S. Implementing Antibody-Drug Conjugates (ADCs) in HER2-Positive Breast Cancer: State of the Art and Future Directions. Breast Cancer Res. 2021, 23, 84. [Google Scholar] [CrossRef]
- Joubert, N.; Beck, A.; Dumontet, C.; Denevault-Sabourin, C. Antibody–Drug Conjugates: The Last Decade. Pharmaceutics 2020, 13, 245. [Google Scholar] [CrossRef]
- Chari, R.V.J. Targeted Cancer Therapy: Conferring Specificity to Cytotoxic Drugs. Acc. Chem. Res. 2008, 41, 98–107. [Google Scholar] [CrossRef]
- King, D.M.; Albertini, M.R.; Schalch, H.; Hank, J.A.; Gan, J.; Surfus, J.; Mahvi, D.; Schiller, J.H.; Warner, T.; Kim, K.M.; et al. Phase I Clinical Trial of the Immunocytokine EMD 273063 in Melanoma Patients. J. Clin. Oncol. 2004, 22, 4463–4473. [Google Scholar] [CrossRef]
- Schrama, D.; Reisfeld, R.A.; Becker, J.C. Antibody Targeted Drugs as Cancer Therapeutics. Nat. Rev. Drug Discov. 2006, 5, 147–159. [Google Scholar] [CrossRef]
- Leung, D.; Wurst, J.M.; Liu, T.; Martinez, R.M.; Datta-Mannan, A.; Feng, Y. Antibody Conjugates-Recent Advances and Future Innovations. Antibodies 2020, 9, 2. [Google Scholar] [CrossRef]
- Chau, C.H.; Steeg, P.S.; Figg, W.D. Antibody-Drug Conjugates for Cancer. Lancet 2019, 394, 793–804. [Google Scholar] [CrossRef]
- Jin, Y.; Zakeri, S.E.; Bahal, R.; Wiemer, A.J. New Technologies Bloom Together for Bettering Cancer Drug Conjugates. Pharmacol. Rev. 2022, 74, 680–713. [Google Scholar] [CrossRef]
- Wang, Z.; Li, H.; Gou, L.; Li, W.; Wang, Y. Antibody–Drug Conjugates: Recent Advances in Payloads. Acta Pharm. Sin. B 2023, 13, 4025–4059. [Google Scholar] [CrossRef]
- Lu, N.; Wu, J.; Tian, M.; Zhang, S.; Li, Z.; Shi, L. Comprehensive Review on the Elaboration of Payloads Derived from Natural Products for Antibody-Drug Conjugates. Eur. J. Med. Chem. 2024, 268, 116233. [Google Scholar] [CrossRef]
- Zafar, S.; Armaghan, M.; Khan, K.; Hassan, N.; Sharifi-Rad, J.; Habtemariam, S.; Kieliszek, M.; Butnariu, M.; Bagiu, I.C.; Bagiu, R.V.; et al. New Insights into the Anticancer Therapeutic Potential of Maytansine and Its Derivatives. Biomed. Pharmacother. 2023, 165, 115039. [Google Scholar] [CrossRef] [PubMed]
- Cassady, J.M.; Chan, K.K.; Floss, H.G.; Leistner, E. Recent Developments in the Maytansinoid Antitumor Agents. Chem. Pharm. Bull. 2004, 52, 1–26. [Google Scholar] [CrossRef] [PubMed]
- Nittoli, T.; Kelly, M.P.; Delfino, F.; Rudge, J.; Kunz, A.; Markotan, T.; Spink, J.; Chen, Z.; Shan, J.; Navarro, E.; et al. Antibody Drug Conjugates of Cleavable Amino-Alkyl and Aryl Maytansinoids. Bioorg. Med. Chem. 2018, 26, 2271–2279. [Google Scholar] [CrossRef] [PubMed]
- Verma, S.; Miles, D.; Gianni, L.; Krop, I.E.; Welslau, M.; Baselga, J.; Pegram, M.; Oh, D.-Y.; Diéras, V.; Guardino, E.; et al. Trastuzumab Emtansine for HER2-Positive Advanced Breast Cancer. N. Engl. J. Med. 2012, 367, 1783–1791. [Google Scholar] [CrossRef] [PubMed]
- Díaz-Rodríguez, E.; Gandullo-Sánchez, L.; Ocaña, A.; Pandiella, A. Novel ADCs and Strategies to Overcome Resistance to Anti-HER2 ADCs. Cancers 2021, 14, 154. [Google Scholar] [CrossRef] [PubMed]
- Chu, Y.; Zhou, X.; Wang, X. Antibody-Drug Conjugates for the Treatment of Lymphoma: Clinical Advances and Latest Progress. J. Hematol. Oncol. 2021, 14, 88. [Google Scholar] [CrossRef] [PubMed]
- Nader-Marta, G.; Molinelli, C.; Debien, V.; Martins-Branco, D.; Aftimos, P.; de Azambuja, E.; Awada, A. Antibody–Drug Conjugates: The Evolving Field of Targeted Chemotherapy for Breast Cancer Treatment. Ther. Adv. Med. Oncol. 2023, 15, 17588359231183679. [Google Scholar] [CrossRef] [PubMed]
- Beck, A.; Haeuw, J.-F.; Wurch, T.; Goetsch, L.; Bailly, C.; Corvaïa, N. The Next Generation of Antibody-Drug Conjugates Comes of Age. Discov. Med. 2010, 10, 329–339. [Google Scholar]
- Zammarchi, F.; Havenith, K.E.G.; Chivers, S.; Hogg, P.; Bertelli, F.; Tyrer, P.; Janghra, N.; Reinert, H.W.; Hartley, J.A.; van Berkel, P.H. Preclinical Development of ADCT-601, a Novel Pyrrolobenzodiazepine Dimer-Based Antibody–Drug Conjugate Targeting AXL-Expressing Cancers. Mol. Cancer Ther. 2022, 21, 582–593. [Google Scholar] [CrossRef] [PubMed]
- Esnault, C.; Schrama, D.; Houben, R.; Guyétant, S.; Desgranges, A.; Martin, C.; Berthon, P.; Viaud-Massuard, M.C.; Touzé, A.; Kervarrec, T.; et al. Antibody–Drug Conjugates as an Emerging Therapy in Oncodermatology. Cancers 2022, 14, 778. [Google Scholar] [CrossRef]
- Hafeez, U.; Parakh, S.; Gan, H.K.; Scott, A.M. Antibody–Drug Conjugates for Cancer Therapy. Molecules 2020, 25, 4764. [Google Scholar] [CrossRef]
- Jackson, D.Y. Processes for Constructing Homogeneous Antibody Drug Conjugates. Org. Process Res. Dev. 2016, 20, 852–866. [Google Scholar] [CrossRef]
- Walsh, S.J.; Bargh, J.D.; Dannheim, F.M.; Hanby, A.R.; Seki, H.; Counsell, A.J.; Ou, X.; Fowler, E.; Ashman, N.; Takada, Y.; et al. Site-Selective Modification Strategies in Antibody–Drug Conjugates. Chem. Soc. Rev. 2021, 50, 1305–1353. [Google Scholar] [CrossRef]
- Lu, D.; Jin, J.Y.; Girish, S.; Agarwal, P.; Li, D.; Prabhu, S.; Dere, R.C.; Saad, O.M.; Nazzal, D.; Koppada, N.; et al. Semi-Mechanistic Multiple-Analyte Pharmacokinetic Model for an Antibody-Drug-Conjugate in Cynomolgus Monkeys. Pharm. Res. 2015, 32, 1907–1919. [Google Scholar] [CrossRef] [PubMed]
- Pettinato, M.C. Introduction to Antibody-Drug Conjugates. Antibodies 2021, 10, 42. [Google Scholar] [CrossRef]
- Prabhu, S.; Boswell, C.A.; Leipold, D.; Khawli, L.A.; Li, D.; Lu, D.; Theil, F.P.; Joshi, A.; Lum, B.L. Antibody Delivery of Drugs and Radionuclides: Factors Influencing Clinical Pharmacology. Ther. Deliv. 2011, 2, 769–791. [Google Scholar] [CrossRef] [PubMed]
- Cardillo, T.M.; Govindan, S.V.; Sharkey, R.M.; Trisal, P.; Arrojo, R.; Liu, D.; Rossi, E.A.; Chang, C.H.; Goldenberg, D.M. Sacituzumab Govitecan (IMMU-132), an Anti-Trop-2/SN-38 Antibody-Drug Conjugate: Characterization and Efficacy in Pancreatic, Gastric, and Other Cancers. Bioconjug. Chem. 2015, 26, 919–931. [Google Scholar] [CrossRef] [PubMed]
- Cavaco, M.; Castanho, M.A.R.B.; Neves, V. The Use of Antibody-Antibiotic Conjugates to Fight Bacterial Infections. Front. Microbiol. 2022, 13, 835677. [Google Scholar] [CrossRef] [PubMed]
- Gauzy-Lazo, L.; Sassoon, I.; Brun, M.P. Advances in Antibody–Drug Conjugate Design: Current Clinical Landscape and Future Innovations. SLAS Discov. 2020, 25, 843–868. [Google Scholar] [CrossRef]
- Panowski, S.; Bhakta, S.; Raab, H.; Polakis, P.; Junutula, J.R. Site-Specific Antibody Drug Conjugates for Cancer Therapy. mAbs 2013, 6, 34–45. [Google Scholar] [CrossRef]
- Merkul, E.; Muns, J.A.; Sijbrandi, N.J.; Houthoff, H.J.; Nijmeijer, B.; van Rheenen, G.; Reedijk, J.; van Dongen, G.A.M.S. An Efficient Conjugation Approach for Coupling Drugs to Native Antibodies via the PtII Linker Lx for Improved Manufacturability of Antibody–Drug Conjugates. Angew. Chem. Int. Ed. Engl. 2021, 60, 3008–3015. [Google Scholar] [CrossRef]
- Yamada, K.; Ito, Y. Recent Chemical Approaches for Site-Specific Conjugation of Native Antibodies: Technologies toward Next-Generation Antibody–Drug Conjugates. ChemBioChem 2019, 20, 2729–2737. [Google Scholar] [CrossRef]
- Dorywalska, M.; Strop, P.; Melton-Witt, J.A.; Hasa-Moreno, A.; Farias, S.E.; Galindo Casas, M.; Delaria, K.; Lui, V.; Poulsen, K.; Loo, C.; et al. Effect of Attachment Site on Stability of Cleavable Antibody Drug Conjugates. Bioconjug. Chem. 2015, 26, 650–659. [Google Scholar] [CrossRef]
- Li, W.; Prabakaran, P.; Chen, W.; Zhu, Z.; Feng, Y.; Dimitrov, D.S. Antibody Aggregation: Insights from Sequence and Structure. Antibodies 2016, 5, 19. [Google Scholar] [CrossRef]
- Sasso, J.M.; Tenchov, R.; Bird, R.; Iyer, K.A.; Ralhan, K.; Rodriguez, Y.; Zhou, Q.A. The Evolving Landscape of Antibody-Drug Conjugates: In Depth Analysis of Recent Research Progress. Bioconjug. Chem. 2023, 34, 1951–2000. [Google Scholar] [CrossRef]
- Peddi, P.F. Triple Negative Breast Cancer: Any Closer to Cracking the Code? Curr. Opin. Obstet. Gynecol. 2022, 34, 52–55. [Google Scholar] [CrossRef]
- Cortesi, M.; Zanoni, M.; Maltoni, R.; Ravaioli, S.; Tumedei, M.M.; Pirini, F.; Bravaccini, S. TROP2 (Trophoblast Cell-Surface Antigen 2): A Drug Target for Breast Cancer. Expert Opin. Ther. Targets 2022, 26, 593–602. [Google Scholar] [CrossRef]
- Jeong, J.H.; Kim, S.B. Antibody-Drug Conjugates Targeting Trop-2: Clinical Developments in Early Breast Cancer Therapy. Breast 2022, 66, 199–203. [Google Scholar] [CrossRef]
- Teicher, B.A.; Chari, R.V.J. Antibody Conjugate Therapeutics: Challenges and Potential. Clin. Cancer Res. 2011, 17, 6389–6397. [Google Scholar] [CrossRef]
- Xie, H.; Adjei, A.A. Antibody-Drug Conjugates for the Therapy of Thoracic Malignancies. J. Thorac. Oncol. 2019, 14, 358–376. [Google Scholar] [CrossRef] [PubMed]
- Yaghoubi, S.; Karimi, M.H.; Lotfinia, M.; Gharibi, T.; Mahi-Birjand, M.; Kavi, E.; Hosseini, F.; Sineh Sepehr, K.; Khatami, M.; Bagheri, N.; et al. Potential Drugs Used in the Antibody-Drug Conjugate (ADC) Architecture for Cancer Therapy. J. Cell. Physiol. 2020, 235, 31–64. [Google Scholar] [CrossRef]
- Beck, A.; Goetsch, L.; Dumontet, C.; Corvaïa, N. Strategies and Challenges for the next Generation of Antibody–Drug Conjugates. Nat. Rev. Drug Discov. 2017, 16, 315–337. [Google Scholar] [CrossRef]
- Lambert, J.M.; Van Delft, F.L. Chapter 1: Introduction to Antibody–Drug Conjugates. In Chemical Linkers in Antibody–Drug Conjugates (ADCs); van Delft, F., Lambert, J.M., Eds.; The Royal Society of Chemistry: London, UK, 2021; pp. 1–31. [Google Scholar] [CrossRef]
- Carrasco-Triguero, M.; Dere, R.C.; Milojic-Blair, M.; Saad, O.M.; Nazzal, D.; Hong, K.; Kaur, S. Immunogenicity of Antibody-Drug Conjugates: Observations across 8 Molecules in 11 Clinical Trials. Bioanalysis 2019, 11, 1555–1568. [Google Scholar] [CrossRef]
- Mckertish, C.M.; Kayser, V. Advances and Limitations of Antibody Drug Conjugates for Cancer. Biomedicines 2021, 9, 872. [Google Scholar] [CrossRef]
- Coats, S.; Williams, M.; Kebble, B.; Dixit, R.; Tseng, L.; Yao, N.S.; Tice, D.A.; Soria, J.C. Antibody-Drug Conjugates: Future Directions in Clinical and Translational Strategies to Improve the Therapeutic Index. Clin. Cancer Res. 2019, 25, 5441–5448. [Google Scholar] [CrossRef]
- Liao, M.Z.; Lu, D.; Kågedal, M.; Miles, D.; Samineni, D.; Liu, S.N.; Li, C. Model-Informed Therapeutic Dose Optimization Strategies for Antibody–Drug Conjugates in Oncology: What Can We Learn From US Food and Drug Administration–Approved Antibody–Drug Conjugates? Clin. Pharmacol. Ther. 2021, 110, 1216–1230. [Google Scholar] [CrossRef]
- Dosio, F.D.; Brusa, P.; Cattel, L. Immunotoxins and Anticancer Drug Conjugate Assemblies: The Role of the Linkage between Components. Toxins 2011, 3, 848. [Google Scholar] [CrossRef]
- Vankemmelbeke, M.; Durrant, L. Third-Generation Antibody Drug Conjugates for Cancer Therapy—A Balancing Act. Ther. Deliv. 2016, 7, 141–144. [Google Scholar] [CrossRef]
- Strebhardt, K.; Ullrich, A. Paul Ehrlich’s Magic Bullet Concept: 100 Years of Progress. Nat. Rev. Cancer 2008, 8, 473–480. [Google Scholar] [CrossRef]
- Sievers, E.L.; Linenberger, M. Mylotarg: Antibody-Targeted Chemotherapy Comes of Age. Curr. Opin. Oncol. 2001, 13, 522–527. [Google Scholar] [CrossRef]
- Theocharopoulos, C.; Lialios, P.P.; Gogas, H.; Ziogas, D.C. An Overview of Antibody–Drug Conjugates in Oncological Practice. Ther. Adv. Med. Oncol. 2020, 12, 1758835920962997. [Google Scholar] [CrossRef]
- Bakhtiar, R. Antibody Drug Conjugates. Biotechnol. Lett. 2016, 38, 1655–1664. [Google Scholar] [CrossRef]
- McGavin, J.K.; Spencer, C.M. Gemtuzumab Ozogamicin. Drugs 2001, 61, 1317–1322. [Google Scholar] [CrossRef]
- Clarke, W.T.; Marks, P.W. Gemtuzumab Ozogamicin: Is There Room for Salvage? Blood 2010, 116, 2618–2619. [Google Scholar] [CrossRef]
- Dowell, J.A.; Korth-Bradley, J.; Liu, H.; King, S.P.; Berger, M.S. Pharmacokinetics of Gemtuzumab Ozogamicin, an Antibody-Targeted Chemotherapy Agent for the Treatment of Patients with Acute Myeloid Leukemia in First Relapse. J. Clin. Pharmacol. 2001, 41, 1206–1214. [Google Scholar] [CrossRef]
- Petersdorf, S.H.; Kopecky, K.J.; Slovak, M.; Willman, C.; Nevill, T.; Brandwein, J.; Larson, R.A.; Erba, H.P.; Stiff, P.J.; Stuart, R.K.; et al. A Phase 3 Study of Gemtuzumab Ozogamicin during Induction and Postconsolidation Therapy in Younger Patients with Acute Myeloid Leukemia. Blood 2013, 121, 4854–4860. [Google Scholar] [CrossRef]
- Rowe, J.M.; Löwenberg, B. Gemtuzumab Ozogamicin in Acute Myeloid Leukemia: A Remarkable Saga about an Active Drug. Blood 2013, 121, 4838–4841. [Google Scholar] [CrossRef]
- Selby, C.; Yacko, L.R.; Glode, A.E. Gemtuzumab Ozogamicin: Back Again. J. Adv. Pract. Oncol. 2019, 10, 68–82. [Google Scholar]
- Walter, R.B.; Raden, B.W.; Hong, T.C.; Flowers, D.A.; Bernstein, I.D.; Linenberger, M.L. Multidrug Resistance Protein Attenuates Gemtuzumab Ozogamicin–Induced Cytotoxicity in Acute Myeloid Leukemia Cells. Blood 2003, 102, 1466–1473. [Google Scholar] [CrossRef]
- Dahl, J.; Marx, K.; Jabbour, E. Inotuzumab Ozogamicin in the Treatment of Acute Lymphoblastic Leukemia. Expert Rev. Hematol. 2016, 9, 329–334. [Google Scholar] [CrossRef]
- Kantarjian, H.M.; Su, Y.; Jabbour, E.J.; Bhattacharyya, H.; Yan, E.; Cappelleri, J.C.; Marks, D.I. Patient-Reported Outcomes from a Phase 3 Randomized Controlled Trial of Inotuzumab Ozogamicin versus Standard Therapy for Relapsed/Refractory Acute Lymphoblastic Leukemia. Cancer 2018, 124, 2151–2160. [Google Scholar] [CrossRef]
- Katz, J.; Janik, J.E.; Younes, A. Brentuximab Vedotin (SGN-35). Clin. Cancer Res. 2011, 17, 6428–6436. [Google Scholar] [CrossRef]
- Lambert, J.M.; Chari, R.V.J. Ado-Trastuzumab Emtansine (T-DM1): An Antibody-Drug Conjugate (ADC) for HER2-Positive Breast Cancer. J. Med. Chem. 2014, 57, 6949–6964. [Google Scholar] [CrossRef]
- Junutula, J.R.; Raab, H.; Clark, S.; Bhakta, S.; Leipold, D.D.; Weir, S.; Chen, Y.; Simpson, M.; Tsai, S.P.; Dennis, M.S.; et al. Site-Specific Conjugation of a Cytotoxic Drug to an Antibody Improves the Therapeutic Index. Nat. Biotechnol. 2008, 26, 925–932. [Google Scholar] [CrossRef]
- Strop, P.; Delaria, K.; Foletti, D.; Witt, J.M.; Hasa-Moreno, A.; Poulsen, K.; Casas, M.G.; Dorywalska, M.; Farias, S.; Pios, A.; et al. Site-Specific Conjugation Improves Therapeutic Index of Antibody Drug Conjugates with High Drug Loading. Nat. Biotechnol. 2015, 33, 694–696. [Google Scholar] [CrossRef]
- Lyon, R.P.; Bovee, T.D.; Doronina, S.O.; Burke, P.J.; Hunter, J.H.; Neff-Laford, H.D.; Jonas, M.; Anderson, M.E.; Setter, J.R.; Senter, P.D. Reducing Hydrophobicity of Homogeneous Antibody-Drug Conjugates Improves Pharmacokinetics and Therapeutic Index. Nat. Biotechnol. 2015, 33, 733–735. [Google Scholar] [CrossRef]
- Donaghy, H. Effects of Antibody, Drug and Linker on the Preclinical and Clinical Toxicities of Antibody-Drug Conjugates. mAbs 2016, 8, 659–671. [Google Scholar] [CrossRef]
- Hamblett, K.J.; Senter, P.D.; Chace, D.F.; Sun, M.M.C.; Lenox, J.; Cerveny, C.G.; Kissler, K.M.; Bernhardt, S.X.; Kopcha, A.K.; Zabinski, R.F.; et al. Effects of Drug Loading on the Antitumor Activity of a Monoclonal Antibody Drug Conjugate. Clin. Cancer Res. 2004, 10, 7063–7070. [Google Scholar] [CrossRef]
- Agarwal, P.; Bertozzi, C.R. Site-Specific Antibody-Drug Conjugates: The Nexus of Bioorthogonal Chemistry, Protein Engineering, and Drug Development. Bioconjug. Chem. 2015, 26, 176–192. [Google Scholar] [CrossRef]
- Hoffmann, R.M.; Coumbe, B.G.T.; Josephs, D.H.; Mele, S.; Ilieva, K.M.; Cheung, A.; Tutt, A.N.; Spicer, J.F.; Thurston, D.E.; Crescioli, S.; et al. Antibody Structure and Engineering Considerations for the Design and Function of Antibody Drug Conjugates (ADCs). Oncoimmunology 2017, 7, e1395127. [Google Scholar] [CrossRef]
- Sun, X.; Ponte, J.F.; Yoder, N.C.; Laleau, R.; Coccia, J.; Lanieri, L.; Qiu, Q.; Wu, R.; Hong, E.; Bogalhas, M.; et al. Effects of Drug-Antibody Ratio on Pharmacokinetics, Biodistribution, Efficacy, and Tolerability of Antibody-Maytansinoid Conjugates. Bioconjug. Chem. 2017, 28, 1371–1381. [Google Scholar] [CrossRef]
- Staudacher, A.H.; Brown, M.P. Antibody Drug Conjugates and Bystander Killing: Is Antigen-Dependent Internalisation Required? Br. J. Cancer 2017, 117, 1736–1742. [Google Scholar] [CrossRef]
- Goulet, D.R.; Atkins, W.M. Considerations for the Design of Antibody-Based Therapeutics. J. Pharm. Sci. 2020, 109, 74–103. [Google Scholar] [CrossRef]
- Richter, W.F.; Jacobsen, B. Subcutaneous Absorption of Biotherapeutics: Knowns and Unknowns. Drug Metab. Dispos. 2014, 42, 1881–1889. [Google Scholar] [CrossRef]
- Xenaki, K.T.; Oliveira, S.; van Bergen en Henegouwen, P.M.P. Antibody or Antibody Fragments: Implications for Molecular Imaging and Targeted Therapy of Solid Tumors. Front. Immunol. 2017, 8, 291765. [Google Scholar] [CrossRef]
- Herrington-Symes, A.P.; Farys, M.; Khalili, H.; Brocchini, S.; Herrington-Symes, A.P.; Farys, M.; Khalili, H.; Brocchini, S. Antibody Fragments: Prolonging Circulation Half-Life Special Issue-Antibody Research. Adv. Biosci. Biotechnol. 2013, 4, 689–698. [Google Scholar] [CrossRef]
- Kamath, A.V.; Iyer, S. Preclinical Pharmacokinetic Considerations for the Development of Antibody Drug Conjugates. Pharm. Res. 2015, 32, 3470–3479. [Google Scholar] [CrossRef]
- Nathan, P.; Rajeh, A.; Noor, M.; Boldt, G.; Fernandes, R. Antibody–Drug Conjugates in the Treatment of Genitourinary Cancers: An Updated Review of Data. Curr. Oncol. 2024, 31, 2316–2327. [Google Scholar] [CrossRef]
- Dean, A.Q.; Luo, S.; Twomey, J.D.; Zhang, B. Targeting Cancer with Antibody-Drug Conjugates: Promises and Challenges. mAbs 2021, 13, 1951427. [Google Scholar] [CrossRef]
- McCombs, J.R.; Owen, S.C. Antibody Drug Conjugates: Design and Selection of Linker, Payload and Conjugation Chemistry. AAPS J. 2015, 17, 339–351. [Google Scholar] [CrossRef]
- Dagogo-Jack, I.; Shaw, A.T. Tumour Heterogeneity and Resistance to Cancer Therapies. Nat. Rev. Clin. Oncol. 2018, 15, 81–94. [Google Scholar] [CrossRef]
- Nguyen, T.D.; Bordeau, B.M.; Balthasar, J.P. Mechanisms of ADC Toxicity and Strategies to Increase ADC Tolerability. Cancers 2023, 15, 713. [Google Scholar] [CrossRef]
- Peters, C.; Brown, S. Antibody-Drug Conjugates as Novel Anti-Cancer Chemotherapeutics. Biosci. Rep. 2015, 35, e00225. [Google Scholar] [CrossRef] [PubMed]
- Hinrichs, M.J.M.; Dixit, R. Antibody Drug Conjugates: Nonclinical Safety Considerations. AAPS J. 2015, 17, 1055–1064. [Google Scholar] [CrossRef] [PubMed]
- Wolska-Washer, A.; Robak, T. Safety and Tolerability of Antibody-Drug Conjugates in Cancer. Drug Saf. 2019, 42, 295–314. [Google Scholar] [CrossRef] [PubMed]
- Zhu, Y.; Liu, K.; Wang, K.; Zhu, H. Treatment-related Adverse Events of Antibody–Drug Conjugates in Clinical Trials: A Systematic Review and Meta-analysis. Cancer 2023, 129, 283–295. [Google Scholar] [CrossRef]
- Weiner, L.M.; Surana, R.; Wang, S. Monoclonal Antibodies: Versatile Platforms for Cancer Immunotherapy. Nat. Rev. Immunol. 2010, 10, 317–327. [Google Scholar] [CrossRef]
- Lu, D.; Burris, H.A., III; Wang, B.; Claire Dees, E.; Cortes, J.; Joshi, A.; Gupta, M.; Yi, J.-H.; Chu, Y.-W.; Shih, T.; et al. Drug Interaction Potential of Trastuzumab Emtansine (T-DM1) Combined with Pertuzumab in Patients with HER2-Positive Metastatic Breast Cancer. Curr. Drug Metab. 2012, 13, 911–922. [Google Scholar] [CrossRef]
- Han, T.H.; Gopal, A.K.; Ramchandren, R.; Goy, A.; Chen, R.; Matous, J.V.; Cooper, M.; Grove, L.E.; Alley, S.C.; Lynch, C.M.; et al. CYP3A-Mediated Drug-Drug Interaction Potential and Excretion of Brentuximab Vedotin, an Antibody-Drug Conjugate, in Patients with CD30-Positive Hematologic Malignancies. J. Clin. Pharmacol. 2013, 53, 866–877. [Google Scholar] [CrossRef]
- ClinicalTrials.Gov. Available online: https://clinicaltrials.gov/ (accessed on 19 February 2024).
- Miao, R.; Chen, H.H.; Dang, Q.; Xia, L.Y.; Yang, Z.Y.; He, M.F.; Hao, Z.F.; Liang, Y. Beyond the Limitation of Targeted Therapy: Improve the Application of Targeted Drugs Combining Genomic Data with Machine Learning. Pharmacol. Res. 2020, 159, 104932. [Google Scholar] [CrossRef]
- Birrer, M.J.; Moore, K.N.; Betella, I.; Bates, R.C. Antibody-Drug Conjugate-Based Therapeutics: State of the Science. J. Natl. Cancer Inst. 2019, 111, 538–549. [Google Scholar] [CrossRef]
- Makawita, S.; Meric-Bernstam, F. Antibody-Drug Conjugates: Patient and Treatment Selection. Am. Soc. Clin. Oncol. Educ. Book Am. Soc. Clin. Oncol. Annu. Meet. 2020, 40, 105–114. [Google Scholar] [CrossRef] [PubMed]
- Kumari, S.; Raj, S.; Babu, M.A.; Bhatti, G.K.; Bhatti, J.S. Antibody-Drug Conjugates in Cancer Therapy: Innovations, Challenges, and Future Directions. Arch. Pharmacal Res. 2023, 47, 40–65. [Google Scholar] [CrossRef]
- Shefet-Carasso, L.; Benhar, I. Antibody-Targeted Drugs and Drug Resistance—Challenges and Solutions. Drug Resist. Updat. 2015, 18, 36–46. [Google Scholar] [CrossRef] [PubMed]
- Kondrashov, A.; Sapkota, S.; Sharma, A.; Riano, I.; Kurzrock, R.; Adashek, J.J. Antibody-Drug Conjugates in Solid Tumor Oncology: An Effectiveness Payday with a Targeted Payload. Pharmaceutics 2023, 15, 2160. [Google Scholar] [CrossRef]
- Wu, S.; Shah, D.K. Determination of ADC Cytotoxicity in Immortalized Human Cell Lines. Methods Mol Biol. 2020, 2078, 329–340. [Google Scholar]
- Li, B.T.; Shen, R.; Buonocore, D.; Olah, Z.T.; Ni, A.; Ginsberg, M.S.; Ulaner, G.A.; Offin, M.; Feldman, D.; Hembrough, T.; et al. Ado-Trastuzumab Emtansine for Patients With HER2-Mutant Lung Cancers: Results From a Phase II Basket Trial. J. Clin. Oncol. 2018, 36, 2532–2537. [Google Scholar] [CrossRef] [PubMed]
- Li, B.T.; Michelini, F.; Misale, S.; Cocco, E.; Baldino, L.; Cai, Y.; Shifman, S.; Tu, H.Y.; Myers, M.L.; Xu, C.; et al. HER2-Mediated Internalization of Cytotoxic Agents in ERBB2 Amplified or Mutant Lung Cancers. Cancer Discov. 2020, 10, 674–687. [Google Scholar] [CrossRef]
- Damelin, M.; Zhong, W.; Myers, J.; Sapra, P. Evolving Strategies for Target Selection for Antibody-Drug Conjugates. Pharm. Res. 2015, 32, 3494–3507. [Google Scholar] [CrossRef]
- Zahavi, D.; Weiner, L. Monoclonal Antibodies in Cancer Therapy. Antibodies 2020, 9, 34. [Google Scholar] [CrossRef] [PubMed]
- Wu, K.L.; Yu, C.; Lee, C.; Zuo, C.; Ball, Z.T.; Xiao, H. Precision Modification of Native Antibodies. Bioconjug. Chem. 2021, 32, 1947–1959. [Google Scholar] [CrossRef]
- Bird, R.E.; Lemmel, S.A.; Yu, X.; Zhou, Q.A. Bioorthogonal Chemistry and Its Applications. Bioconjug. Chem. 2021, 32, 2457–2479. [Google Scholar] [CrossRef]
- Gordon, C.G.; Bertozzi, C.R. In Vivo Applications of Bioorthogonal Chemistries. In Chemoselective and Bioorthogonal Ligation Reactions; John Wiley & Sons, Ltd.: Hoboken, NJ, USA, 2017; pp. 417–457. [Google Scholar]
- Schumacher, D.; Helma, J.; Schneider, A.F.L.; Leonhardt, H.; Hackenberger, C.P.R. Nanobodies: Chemical Functionalization Strategies and Intracellular Applications. Angew. Chem. Int. Ed. Engl. 2018, 57, 2314–2333. [Google Scholar] [CrossRef]
- Mehrling, T.; Soltis, D. Challenges in Optimising the Successful Construction of Antibody Drug Conjugates in Cancer Therapy. Antibodies 2018, 7, 11. [Google Scholar] [CrossRef]
- Procopio-Melino, R.; Kotch, F.W.; Prashad, A.S.; Gomes, J.M.; Wang, W.; Arve, B.; Dawdy, A.; Chen, L.; Sperry, J.; Hosselet, C.; et al. Cysteine Metabolic Engineering and Selective Disulfide Reduction Produce Superior Antibody-Drug-Conjugates. Sci. Rep. 2022, 12, 7262. [Google Scholar] [CrossRef]
- Postupalenko, V.; Marx, L.; Viertl, D.; Gsponer, N.; Gasilova, N.; Denoel, T.; Schaefer, N.; Prior, J.O.; Hagens, G.; Lévy, F.; et al. Template Directed Synthesis of Antibody Fc Conjugates with Concomitant Ligand Release. Chem. Sci. 2022, 13, 3965–3976. [Google Scholar] [CrossRef]
- Boutureira, O.; Bernardes, G.J.L. Advances in Chemical Protein Modification. Chem. Rev. 2015, 115, 2174–2195. [Google Scholar] [CrossRef]
- Cui, C.; Zhang, H.; Wang, R.; Cansiz, S.; Pan, X.; Wan, S.; Hou, W.; Li, L.; Chen, M.; Liu, Y.; et al. Recognition-Then-Reaction Enables Site-Selective Bioconjugation to Proteins on Live-Cell Surfaces. Angew. Chem. Int. Ed. Engl. 2017, 56, 11954–11957. [Google Scholar] [CrossRef]
- Alves, N.J.; Mustafaoglu, N.; Bilgicer, B. Oriented Antibody Immobilization by Site-Specific UV Photocrosslinking of Biotin at the Conserved Nucleotide Binding Site for Enhanced Antigen Detection. Biosens. Bioelectron. 2013, 49, 387–393. [Google Scholar] [CrossRef]
- Chung, B.H.; Jung, Y.; Lee, J.M.; Kim, J.W.; Yoon, J.; Cho, H. Photoactivable Antibody Binding Protein: Site-Selective and Covalent Coupling of Antibody. Anal. Chem. 2009, 81, 936–942. [Google Scholar] [CrossRef]
- Nielsen, T.B.; Thomsen, R.P.; Mortensen, M.R.; Kjems, J.; Nielsen, P.F.; Nielsen, T.E.; Kodal, A.L.B.; Cló, E.; Gothelf, K.V. Peptide-Directed DNA-Templated Protein Labelling for The Assembly of a Pseudo-IgM. Angew. Chem. Int. Ed. 2019, 58, 9068–9072. [Google Scholar] [CrossRef]
- Oliveira, B.L.; Stenton, B.J.; Unnikrishnan, V.B.; De Almeida, C.R.; Conde, J.; Negrão, M.; Schneider, F.S.S.; Cordeiro, C.; Ferreira, M.G.; Caramori, G.F.; et al. Platinum-Triggered Bond-Cleavage of Pentynoyl Amide and N-Propargyl Handles for Drug-Activation. J. Am. Chem. Soc. 2020, 142, 10869–10880. [Google Scholar] [CrossRef] [PubMed]
- Wang, X.; Liu, Y.; Fan, X.; Wang, J.; Ngai, W.S.C.; Zhang, H.; Li, J.; Zhang, G.; Lin, J.; Chen, P.R. Copper-Triggered Bioorthogonal Cleavage Reactions for Reversible Protein and Cell Surface Modifications. J. Am. Chem. Soc. 2019, 141, 17133–17141. [Google Scholar] [CrossRef] [PubMed]
- Wang, W.; Zhang, X.; Huang, R.; Hirschbiegel, C.M.; Wang, H.; Ding, Y.; Rotello, V.M. In Situ Activation of Therapeutics through Bioorthogonal Catalysis. Adv. Drug Deliv. Rev. 2021, 176, 113893. [Google Scholar] [CrossRef] [PubMed]
- Hamilton, E.P.; Barve, M.A.; Tolcher, A.W.; Buscema, J.; Papadopoulos, K.P.; Zarwan, C.; Anderson, C.K.; Doroshow, D.; Wang, D.; Huebner, D.; et al. 836P Safety and Efficacy of XMT-1536 in Ovarian Cancer: A Subgroup Analysis from the Phase I Expansion Study of XMT-1536, a NaPi2b Antibody-Drug Conjugate. Ann. Oncol. 2020, 31, S627–S628. [Google Scholar] [CrossRef]
- Gupta, N.; Ansari, A.; Dhoke, G.V.; Chilamari, M.; Sivaccumar, J.; Kumari, S.; Chatterjee, S.; Goyal, R.; Dutta, P.K.; Samarla, M.; et al. Computationally Designed Antibody-Drug Conjugates Self-Assembled via Affinity Ligands. Nat. Biomed. Eng. 2019, 3, 917–929. [Google Scholar] [CrossRef] [PubMed]
- Tyner, J.W.; Haderk, F.; Kumaraswamy, A.; Baughn, L.B.; Van Ness, B.; Liu, S.; Marathe, H.; Alumkal, J.J.; Bivona, T.G.; Chan, K.S.; et al. Understanding Drug Sensitivity and Tackling Resistance in Cancer. Cancer Res. 2022, 82, 1448–1460. [Google Scholar] [CrossRef] [PubMed]
- Jackson, D.; Stover, D. Using the Lessons Learned From the Clinic to Improve the Preclinical Development of Antibody Drug Conjugates. Pharm. Res. 2015, 32, 3458–3469. [Google Scholar] [CrossRef] [PubMed]
- Edward Fisher, J. Considerations for the Nonclinical Safety Evaluation of Antibody–Drug Conjugates. Antibodies 2021, 10, 15. [Google Scholar] [CrossRef]
- Stagg, N.J.; Shen, B.Q.; Brunstein, F.; Li, C.; Kamath, A.V.; Zhong, F.; Schutten, M.; Fine, B.M. Peripheral Neuropathy with Microtubule Inhibitor Containing Antibody Drug Conjugates: Challenges and Perspectives in Translatability from Nonclinical Toxicology Studies to the Clinic. Regul. Toxicol. Pharmacol. 2016, 82, 1–13. [Google Scholar] [CrossRef]
- Mecklenburg, L. A Brief Introduction to Antibody–Drug Conjugates for Toxicologic Pathologists. Toxicol. Pathol. 2018, 46, 746–752. [Google Scholar] [CrossRef]











| Linker Type | Linker Cleavage Mechanism | Chemistry of Linker |
|---|---|---|
| Cleavable | Chemically cleavable | pH sensitive |
| Reduction-sensitive | ||
| Enzymatically cleavable | Peptide-based | |
| β-glucuronide based (β-glucuronidase and β-galactosidase sensitive) | ||
| Phosphate based | ||
| Non-cleavable | N.A. * | Thioether |
| Maleimido caproyl |
| Conjugation Strategy | Effects | |
|---|---|---|
| Increasing DAR | + | increased potency |
| − | increased protein aggregation | |
| − | altered biological functions | |
| − | induced immune responses by breaking B-cell tolerance | |
| − | increased antibody clearance | |
| − | reduced exposure to drug | |
| − | increased toxicity | |
| − | increased protein aggregation | |
| Drug attachment by proximal sites to the antigen-binding region | − | in vivo and in vitro conjugate stability affected |
| − | linker instability | |
| − | drug exposure | |
| Symmetric attachment of DAR by antigen-binding region | + | increased efficacy |
| + | increased tolerability | |
| Conditions | ADC | Number of Enrolled Patients | Last Update |
|---|---|---|---|
| Breast cancer | Dato-DXd | 1728 | 5 February 2024 |
| Breast cancer | Trastuzumab deruxtecan | 250 | 5 January 2024 |
| Acute myeloid leukemia | Gemtuzumab ozogamicin | 700 | 10 August 2021 |
| Breast cancer | Dato-DXd | 600 | 17 January 2024 |
| Breast cancer | Dato-DXd | 1075 | 13 February 2024 |
| Solid cancer | R-DXd | 650 | 14 December 2023 |
| Squamous cell carcinoma of the head and neck | MRG003 | 180 | 2 March 2023 |
| Epithelial ovarian cancer/peritoneal cancer/ fallopian tube cancer | Mirvetuximab Soravtansine | 35 | 21 November 2022 |
| Breast cancer | Recombinant Anti-HER2 Humanized Monoclonal Antibody—Monomethyl Auristatin F Conjugates for Injection (FS-1502) | 314 | 1 September 2023 |
| NSCLC | Datopotamab deruxtecan | 1280 | 6 February 2024 |
| Breast cancer | Dato-DXd | 625 | 24 January 2024 |
| Breast cancer | RC48 | 366 | 24 January 2024 |
| Ovarian cancer/peritoneal cancer/ fallopian tube cancer | Mirvetuximab soravtansine plus bevacizumab | 418 | 8 February 2024 |
| Multiple myeloma | Belantamab mafodotin | 357 | 2 November 2023 |
| Advanced breast cancer/metastatic breast cancer | MRG002 Trastuzumab Emtansine for Injection | 350 | 17 March 2023 |
| Endometrial cancer | MK-2870 | 710 | 19 January 2024 |
| B-cell non-Hodgkin lymphoma | Loncastuximab tesirine | 210 | 14 August 2023 |
| HER2-negative breast cancer/triple-negative breast cancer | Sacituzumab govitecan | 1332 | 2 March 2023 |
| Small-cell lung cancer | Ifinatamab deruxtecan | 468 | 12 January 2024 |
| Lugano classification limited stage Hodgkin lymphoma AJCC v8 | Brentuximab vedotin | 1875 | 16 February 2024 |
| Carcinoma, non-small-cell lung | Sacituzumab govitecan | 614 | 9 February 2024 |
| Advanced or metastatic urothelium cancer | MRG002 | 290 | 13 April 2023 |
| Acute myeloid leukemia | Gemtuzumab ozogamicin | 1400 | 22 January 2024 |
| NSCLC | MK-2870 | 556 | 19 January 2024 |
Disclaimer/Publisher’s Note: The statements, opinions and data contained in all publications are solely those of the individual author(s) and contributor(s) and not of MDPI and/or the editor(s). MDPI and/or the editor(s) disclaim responsibility for any injury to people or property resulting from any ideas, methods, instructions or products referred to in the content. |
© 2024 by the authors. Licensee MDPI, Basel, Switzerland. This article is an open access article distributed under the terms and conditions of the Creative Commons Attribution (CC BY) license (https://creativecommons.org/licenses/by/4.0/).
Share and Cite
Chis, A.A.; Dobrea, C.M.; Arseniu, A.M.; Frum, A.; Rus, L.-L.; Cormos, G.; Georgescu, C.; Morgovan, C.; Butuca, A.; Gligor, F.G.; et al. Antibody–Drug Conjugates—Evolution and Perspectives. Int. J. Mol. Sci. 2024, 25, 6969. https://doi.org/10.3390/ijms25136969
Chis AA, Dobrea CM, Arseniu AM, Frum A, Rus L-L, Cormos G, Georgescu C, Morgovan C, Butuca A, Gligor FG, et al. Antibody–Drug Conjugates—Evolution and Perspectives. International Journal of Molecular Sciences. 2024; 25(13):6969. https://doi.org/10.3390/ijms25136969
Chicago/Turabian StyleChis, Adriana Aurelia, Carmen Maximiliana Dobrea, Anca Maria Arseniu, Adina Frum, Luca-Liviu Rus, Gabriela Cormos, Cecilia Georgescu, Claudiu Morgovan, Anca Butuca, Felicia Gabriela Gligor, and et al. 2024. "Antibody–Drug Conjugates—Evolution and Perspectives" International Journal of Molecular Sciences 25, no. 13: 6969. https://doi.org/10.3390/ijms25136969
APA StyleChis, A. A., Dobrea, C. M., Arseniu, A. M., Frum, A., Rus, L.-L., Cormos, G., Georgescu, C., Morgovan, C., Butuca, A., Gligor, F. G., & Vonica-Tincu, A. L. (2024). Antibody–Drug Conjugates—Evolution and Perspectives. International Journal of Molecular Sciences, 25(13), 6969. https://doi.org/10.3390/ijms25136969

