How Is Arachidonic Acid Metabolism in the Uterus Connected with the Immune Status of Red Deer Females (Cervus elaphus L.) in Different Reproductive Stages?
Abstract
1. Introduction
2. Results
2.1. Determination of T and B Lymphocytes’ Activation Markers in the Blood
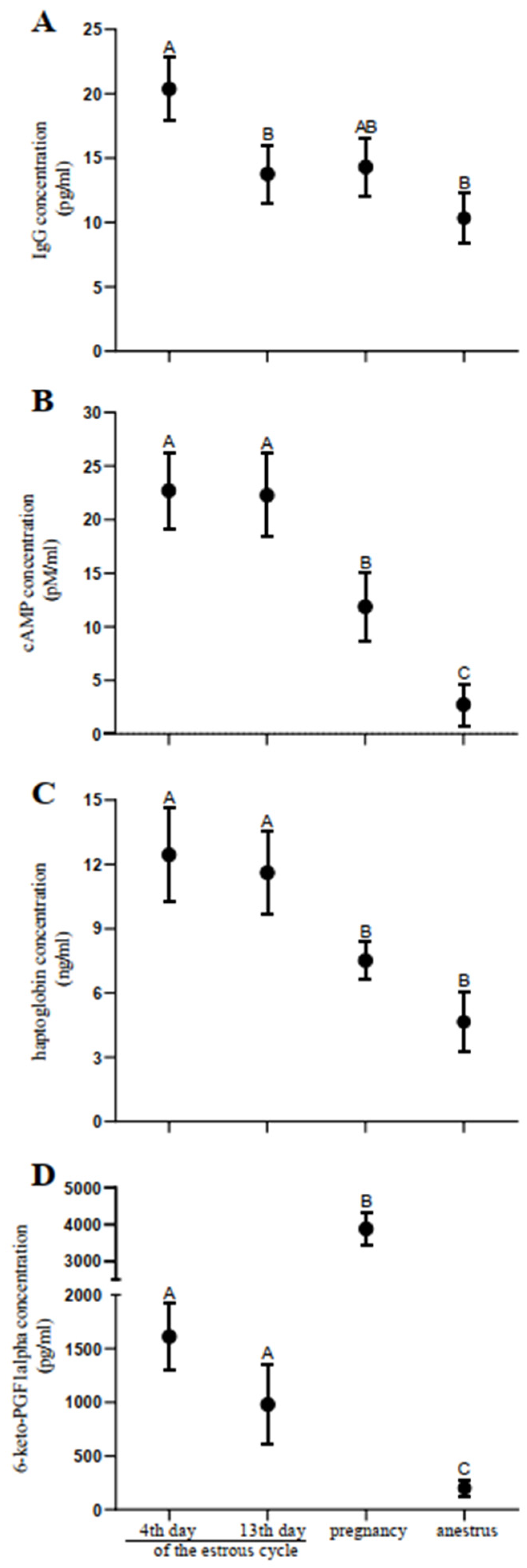
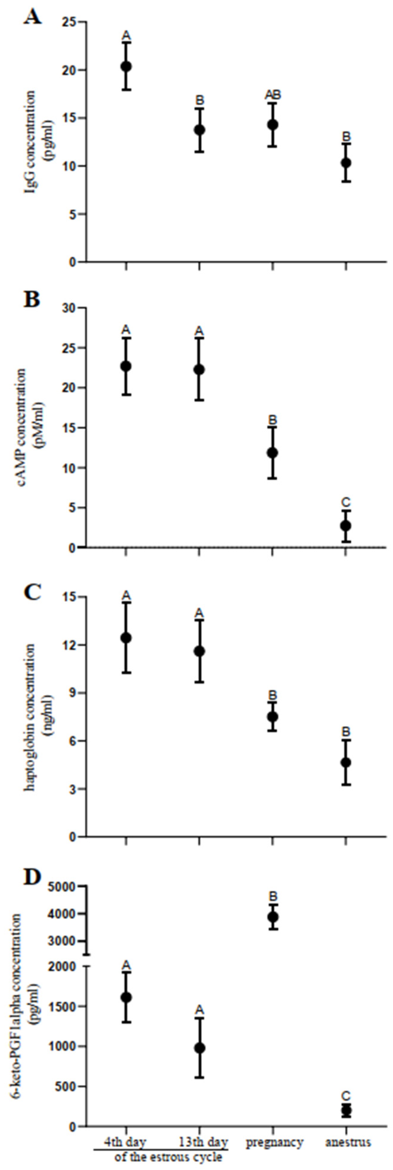
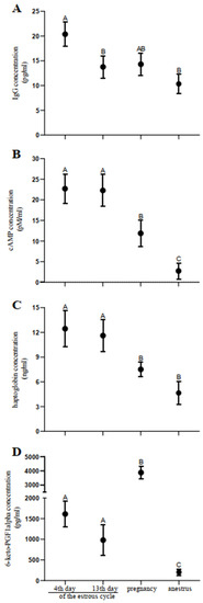
2.2. IgG, cAMP, Haptoglobin, and 6-keto-PGF1α Concentration in Plasma
2.3. Arachidonic Acid Metabolites’ Abundances in Uterus
2.3.1. mRNA Expression in Endometrium and Myometrium
2.3.2. Interaction between mRNA Expression in Endometrium and Myometrium
2.3.3. Protein Expression in Endometrium and Myometrium
2.3.4. Interaction between Protein Expression in Endometrium and Myometrium
3. Discussion
3.1. Changes in Immunophenotype of Blood Lymphocytes
3.2. Blood Markers of Condition Dependent on Reproductive Stage in Hinds
3.3. Expression Profile of Uterine Enzymes Involved in AA Metabolism in Red Deer Females
4. Material and Methods
4.1. Sample Collection
4.2. Experimental Procedure
4.2.1. Determination of T and B Lymphocytes’ Immunophenotypes in the Blood
4.2.2. IgG, IgM, Haptoglobin, 6-keto-PGF1α, and cAMP Concentration in Plasma
4.2.3. Arachidonic Acid Metabolites’ Abundances in Red Deer Uterus
4.3. Determinations
4.3.1. Total RNA Isolation and Reverse Transcription
4.3.2. Real-Time PCR
4.3.3. Total Protein Isolation
4.3.4. Western Blot Analysis
4.3.5. ELISA
4.3.6. Statistical Analysis
5. Conclusions
Author Contributions
Funding
Institutional Review Board Statement
Informed Consent Statement
Acknowledgments
Conflicts of Interest
References
- Diekmann, O.; de Graaf, W.F.; Kretzschman, M.E.E.; Teunis, P.F.M. Waning and boosting: On the dynamics of immune status. J. Math. Biol. 2018, 77, 2023–2048. [Google Scholar] [CrossRef] [PubMed]
- Murata, H.; Shimada, N.; Yoshioka, M. Current research on acute phase proteins in veterinary diagnosis: An overview. Vet. J. 2004, 168, 28–40. [Google Scholar] [CrossRef] [PubMed]
- Silva, T.H.; Celestino, M.L.; Menta, P.R.; Neves, R.C.; Ballou, M.A.; Machado, V.S. Associations between circulating levels of natural antibodies, total serum immunoglobulins, and polymorphonuclear leukocyte function in early postpartum dairy cows. Vet. Immunol. Immunopathol. 2020, 222, 110026. [Google Scholar] [CrossRef] [PubMed]
- Ravetch, J.V.; Bolland, S. IgG Fc receptors. Annu. Rev. Immunol. 2001, 19, 275–290. [Google Scholar] [CrossRef]
- Mann, S.; Leal Yepes, L.A.; Overton, T.R.; Lock, A.L.; Lamb, S.V.; Wakshlag, J.J.; Nydam, D.V. Effect of dry period dietary energy level in dairy cattle on volume, concentrations of immunoglobulin G, insulin, and fatty acid composition of colostrum. J. Dairy Sci. 2016, 99, 1515–1526. [Google Scholar] [CrossRef]
- Arumugham, V.B.; Baldari, C.T. cAMP: A multifaceted modulator of immune synapse assembly and T cell activation. J. Leukoc. Biol. 2017, 101, 1301–1316. [Google Scholar] [CrossRef]
- Caroprese, M.; Albenzio, M.; Marzano, A.; Schena, L.; Annicchiarico, G.; Sevi, A. Relationship between cortisol response to stress and behavior, immune profile, and production performance of dairy ewes. J. Dairy Sci. 2010, 93, 2395–2403. [Google Scholar] [CrossRef]
- Ohta, T.; Koshi, K.; Ushizawa, K.; Hosoe, M.; Takahashi, T.; Yamaguchi, T.; Kizaki, K.; Hashizume, K. Dynamics of CD3+ T-cell distribution throughout the estrous cycle and gestation in the bovine endometrium. J. Repr. Dev. 2013, 59, 507–511. [Google Scholar] [CrossRef][Green Version]
- Gogolin-Ewens, K.J.; Lee, C.S.; Mercer, W.R.; Brandon, M.R. Site-directed differences in the immune response to the fetus. Immunology 1989, 66, 312–317. [Google Scholar]
- Low, B.G.; Hansen, P.J.; Drost, M.; Gogolin-Ewens, K.J. Expression of major histocompatibility complex antigens on the bovine placenta. J. Reprod. Fertil. 1990, 90, 235–243. [Google Scholar] [CrossRef]
- Makau, M.C.; Powell, J.; Prendergast, J.; de Lat’e, P.L.; Morrison, L.J.; Fisch, A.; Gathura, P.; Kitala, P.; Connelley, T.; Toye, P. Inverted CD4+/CD8+ T cell ratio in Boran (Bos indicus) cattle. Vet. Immunol. Immunopathol. 2020, 230, 110126. [Google Scholar] [CrossRef] [PubMed]
- Li, M.; Haixia, Y.; Kang, M.; An, P.; Wu, X.; Dang, H.; Xu, X. The arachidonic acid metabolism mechanism based on UPLC-MS/MS metabolomics in recurrent spontaneous abortion rats. Front. Endocrinol. 2021, 12, 652807. [Google Scholar] [CrossRef]
- Kikut, J.; Komorniaka, N.; Ziętek, M.; Palma, J.; Szczuko, M. Inflammation with the participation of arachidonic (AA) and linoleic acid (LA) derivatives (HETEs and HODEs) is necessary in the course of a normal reproductive cycle and pregnancy. J. Reprod. Immunol. 2020, 141, 103177. [Google Scholar] [CrossRef] [PubMed]
- Smith, W.L.; Garavito, R.M.; De Witt, D.L. Prostaglandin endoperoxide H synthases (cyclooxygenases)-1 and -2. J. Biol. Chem. 1996, 271, 33157–33160. [Google Scholar] [CrossRef] [PubMed]
- Arosh, J.A.; Banu, S.K.; Kimmins, S.; Chapdelaine, P.; Maclaren, L.A.; Fortier, M.A. Effect of interferon on prostaglandin biosynthesis, transport, and signalling at the time of maternal recognition of pregnancy in cattle: Evidence of polycrine actions of prostaglandin E2. Endocrinology 2004, 145, 5280–5293. [Google Scholar] [CrossRef]
- Atroshi, F.; Parantainen, J.; Sankari, S.; Osterman, T. Inflammation-related changes in cyclic AMP and cyclic GMP in bovine mastitis. Vet. Res. Commun. 1989, 13, 427–433. [Google Scholar] [CrossRef]
- Fu, C.; Mao, W.; Gao, R.; Deng, Y.; Gao, L.; Wu, J.; Zhang, S.; Shen, Y.; Liu, K.; Li, Q.; et al. Prostaglandin F2α-PTGFR signaling promotes proliferation of endometrial epithelial cells of cattle through cell cycle regulation. Anim. Reprod. Sci. 2020, 213, 106276. [Google Scholar] [CrossRef]
- Korzekwa, A.; Szczepanska, A.; Bogdaszewski, M.; Nadolski, P.; Małż, P.; Giżejewski, Z. Production of prostaglandins in placentae and corpus luteum in pregnant hinds of red deer (Cervus elaphus). Theriogenology 2016, 85, 762–768. [Google Scholar] [CrossRef]
- Wang, T.; Fu, X.; Chen, Q.; Patra, J.K.; Wang, D.; Wang, Z.; Gai, Z. Arachidonic acid metabolism and kidney inflammation. Int. J. Mol. Sci. 2019, 20, 3683. [Google Scholar] [CrossRef]
- Cornejo-García, J.A.; Perkins, J.R.; Jurado-Escobar, R.; García-Martín, E.; Agúndez, J.A.; Viguera, E.; Pérez-Sánchez, N.; Blanca-López, N. Pharmacogenomics of prostaglandin and leukotriene receptors. Front. Pharmacol. 2016, 7, 316. [Google Scholar] [CrossRef]
- Jiang, X.; Nicolls, M.R.; Tian, W.; Rockson, S.G. Lymphatic dysfunction, leukotrienes, and lymphedema. Annu. Rev. Physiol. 2018, 80, 49–70. [Google Scholar] [CrossRef] [PubMed]
- Weems, C.W.; Weems, Y.S.; Randel, R.D. Prostaglandins and reproduction in female farm animals. Vet. J. 2006, 171, 206–228. [Google Scholar] [CrossRef] [PubMed]
- Tsuda, S.; Nakashima, A.; Shima, T.; Saito, S. New paradigm in the role of regulatory T cells during pregnancy. Front. Immunol. 2019, 10, 573. [Google Scholar] [CrossRef] [PubMed]
- Lissauer, D.; Piper, K.; Goodyear, O.; Kilby, M.D.; Moss, P.A. Fetal-specific CD8+ cytotoxic T cell responses develop during normal human pregnancy and exhibit broad functional capacity. J. Immunol. 2012, 189, 1072–1080. [Google Scholar] [CrossRef] [PubMed]
- Figarska, A.; Witkowska-Piłaszewicz, O. Immunological response during pregnancy in humans and mares. Agriculture 2022, 12, 431. [Google Scholar] [CrossRef]
- Jørgensen, N.; Persson, G.; Hviid, T.V.F. The tolerogenic function of regulatory T cells in pregnancy and cancer. Front. Immunol. 2019, 10, 911. [Google Scholar] [CrossRef] [PubMed]
- Shevach, E.M.; Thorntonm, A.M. tTregs, pTregs, and iTregs: Similarities and differences. Immunol. Rev. 2014, 259, 88–102. [Google Scholar] [CrossRef]
- Bilate, A.M.; Lafaille, J.J. Induced CD4+Foxp3+ regulatory T Cells in immune tolerance. Annu. Rev. Immunol. 2012, 30, 733–758. [Google Scholar] [CrossRef]
- Muzzio, D.O.; Soldati, R.; Ehrhardt, J.; Utpatel, K.; Evert, M.; Zenclussen, A.C.; Zygmunt, M.; Jensen, F. B cell development undergoes profound modifications and adaptations during pregnancy in mice. Biol. Reprod. 2014, 91, 115. [Google Scholar] [CrossRef]
- Lai, P.F.; Young, R.C.; Tribe, R.M.; Johnson, M.R. Evaluating aminophylline and progesterone combination treatment to modulate contractility and labor-related proteins in pregnant human myometrial tissues. Pharmacol. Res. Perspect. 2021, 9, e00818. [Google Scholar] [CrossRef]
- Lavery, K.; Way, A.; Killian, G. Identification and immunohistochemical localization of a haptoglobin-like protein in the tissues and fluids of the bovine (Bos taurus) ovary and oviduct. Reproduction 2003, 125, 837–846. [Google Scholar] [CrossRef] [PubMed]
- Krakowski, L.; Zdzisińska, B. Selected cytokines and acute phase proteins in heifers during the ovarian cyclecourse and in different pregnancy periods. Bull. Vet. Inst. Pulawy 2007, 51, 31–36. [Google Scholar]
- Kim, S.; Choi, Y.; Spencer, T.E.; Bazer, F.W. Effects of the estrous cycle, pregnancy and interferon tau on expression of cyclooxygenase two (PTGS2) in ovine endometrium. Reprod. Biol. Endocrin. 2003, 1, 58. [Google Scholar] [CrossRef] [PubMed]
- Charpigny, G.; Reinaud, P.; Tamby, J.P.; Creminon, C.; Guillomot, M. Cyclooxygenase-2 unlike cyclooxygenase-1 is highly expressed in ovine embryos during the implantation period. Biol. Reprod. 1997, 57, 1032–1040. [Google Scholar] [CrossRef]
- Arosh, J.A.; Parent, J.; Chapdelaine, P.; Sirois, J.; Fortier, M.A. Expression of Cyclooxygenases 1 and 2 and Prostaglandin E Synthase in Bovine Endometrial Tissue During the Estrous Cycle1. Biol. Reprod. 2002, 67, 161–169. [Google Scholar] [CrossRef]
- Wocławek-Potocka, I.; Kowalczyk-Zięba, I.; Skarżyński, D.J. Lysophosphatidic acid action during early pregnancy in the cow: In vivo and in vitro studies. J. Reprod. Dev. 2010, 56, 411–420. [Google Scholar] [CrossRef]
- Parent, J.; Villeneuve, C.; Fortier, M. Evaluation of the contribution of cyclooxygenase 1 and cyclooxygenase 2 to the production of PGE2 and PGF2 alpha in epithelial cells from bovine endometrium. Reproduction 2003, 126, 539–547. [Google Scholar] [CrossRef]
- Rupnow, H.L.; Phernetton, T.M.; Modrick, M.L.; Wiltbank, M.C.; Bird, I.M.; Magness, R.R. Endothelial Vasodilator Production by Uterine and Systemic Arteries. VIII. Estrogen and Progesterone Effects on cPLA2, COX-1, and PGIS Protein Expression. Biol. Reprod. 2002, 66, 468–474. [Google Scholar] [CrossRef]
- Brown, N.L.; Slater, D.M.; Alvi, S.A.; Elder, M.G.; Sullivan, M.H.; Bennett, P.R. Expression of 5-lipoxygenase and 5-lipoxygenase activating protein in human fetal membranes throughout pregnancy and at term. Mol. Hum. Reprod. 1999, 5, 668–674. [Google Scholar] [CrossRef][Green Version]
- Jian, F.; Ma, Y.; Liu, Z.; Wang, L.; Zhang, Y. The change of LTB4 and 5-LO during pregnancy. Arch. Gynecol. Obstet. 2013, 288, 769–773. [Google Scholar] [CrossRef]
- Molin, D.G.M.; van den Akker, N.M.S.; Post, M.J. ‘Lox on neovascularization’: Leukotrienes as mediators in endothelial biology. Cardiovasc. Res. 2010, 86, 6–8. [Google Scholar] [CrossRef] [PubMed]
- Kotlarczyk, A.M.; Grzyb, M.; Korzekwa, A.J. Regulation of uterine function during estrous cycle, anestrus phase and pregnancy by steroids in red deer (Cervus elaphus L.). Sci. Rep. 2021, 11, 20109. [Google Scholar] [CrossRef] [PubMed]
- Barić Rafaj, R.J.; Ton Rafaj, R.; Tončić, J.; Vickovi, I.; Vicković, B.; Soštarić, B. Haematological and biochemical values of farmed red deer and biochemical values of farmed red deer (Cervus elaphus). Vet. Arh. 2011, 81, 513–523. [Google Scholar]
- Witkowska-Piłaszewicz, O.; Pingwara, R.; Winnicka, A. The effect of physical training on peripheral blood mononuclear cell ex vivo proliferation, differentiation, activity, and reactive oxygen species production in racehorses. Antioxidants 2020, 9, 1155. [Google Scholar] [CrossRef] [PubMed]





| Gene Name | Primers Sequence (5′-3′) | Amplicon Length (bp) | EMBL |
|---|---|---|---|
| GAPDH | F: CACCCTCAAGATTGTCAGCA | 103 | BC102589 |
| R: GGTCATAAGTCCCTCCACGA | |||
| ACTB | F: CCAAGGCCAACCGTGAGAAAAT | 256 | K00622 |
| R: CCACATTCCGTGAGGATCTTCA | |||
| RN18S1 | F: AAGTCTTTGGGTTCCGGG | 365 | AF176811 |
| R: GGACATCTAAGGGCATCACA | |||
| 5-LO | F: CACAGACGCAAAGAACTGGA | 240 | AJ306424 |
| R: CAGATTGTCTGGCAGCTTCA | |||
| LTA4H | F: CCCTAAAGAACTGGTGGCACT | 240 | NM00103428 |
| R: GACTTTTCCACCTGCTCTTTC | |||
| LTC4S | F: CCTGCTGCAAGCCTACTTCT | 137 | NM001046098 |
| R: GTTCACTTGGGCTCGGTAGA | |||
| PTGS2(PTGS2) | F: TTGATTGAGAGTCCGCCAAC | 158 | NM174445 |
| R: GCAGTCATCAGGCACAGGAG | |||
| PGES | F: CCCAAATTTGCACGTTCTCC | 158 | NM174443 |
| R: CCTGCAGTTTCAAGTGGGAC | |||
| PGFS | F:AGTCGGAGGAGCAAAACAGA | 169 | S54973 |
| R:AATTTGGTGACCTCCACAGC | |||
| PGIS | F: TCCTTTTGGGAGCAGAGCAG | 103 | L34208 |
| R: CTGAGGCTCTCACTCAGCAC | |||
| R: GTAGGCGTGGTTGATGGC |
| Antibody Name | Producer |
|---|---|
| CD4 | CVS4; BioRad, Hercules, CA, USA |
| CD8 | CVS21; BioRad, Hercules, CA,USA |
| CD21 | CC21; BioRad, Hercules, CA, USA |
| CD25 | IL-A111, BioRad, Hercules, CA, USA |
| FoxP3 | FJK-16s, Life Technologies, Bleiswijk, The Netherlands |
Disclaimer/Publisher’s Note: The statements, opinions and data contained in all publications are solely those of the individual author(s) and contributor(s) and not of MDPI and/or the editor(s). MDPI and/or the editor(s) disclaim responsibility for any injury to people or property resulting from any ideas, methods, instructions or products referred to in the content. |
© 2023 by the authors. Licensee MDPI, Basel, Switzerland. This article is an open access article distributed under the terms and conditions of the Creative Commons Attribution (CC BY) license (https://creativecommons.org/licenses/by/4.0/).
Share and Cite
Kotlarczyk, A.M.; Kaczmarczyk, J.; Witkowska-Piłaszewicz, O.; Kotula-Balak, M.; Korzekwa, A.J. How Is Arachidonic Acid Metabolism in the Uterus Connected with the Immune Status of Red Deer Females (Cervus elaphus L.) in Different Reproductive Stages? Int. J. Mol. Sci. 2023, 24, 4771. https://doi.org/10.3390/ijms24054771
Kotlarczyk AM, Kaczmarczyk J, Witkowska-Piłaszewicz O, Kotula-Balak M, Korzekwa AJ. How Is Arachidonic Acid Metabolism in the Uterus Connected with the Immune Status of Red Deer Females (Cervus elaphus L.) in Different Reproductive Stages? International Journal of Molecular Sciences. 2023; 24(5):4771. https://doi.org/10.3390/ijms24054771
Chicago/Turabian StyleKotlarczyk, Angelika M., Julia Kaczmarczyk, Olga Witkowska-Piłaszewicz, Małgorzata Kotula-Balak, and Anna J. Korzekwa. 2023. "How Is Arachidonic Acid Metabolism in the Uterus Connected with the Immune Status of Red Deer Females (Cervus elaphus L.) in Different Reproductive Stages?" International Journal of Molecular Sciences 24, no. 5: 4771. https://doi.org/10.3390/ijms24054771
APA StyleKotlarczyk, A. M., Kaczmarczyk, J., Witkowska-Piłaszewicz, O., Kotula-Balak, M., & Korzekwa, A. J. (2023). How Is Arachidonic Acid Metabolism in the Uterus Connected with the Immune Status of Red Deer Females (Cervus elaphus L.) in Different Reproductive Stages? International Journal of Molecular Sciences, 24(5), 4771. https://doi.org/10.3390/ijms24054771

