Inhibitory Potential of α-Amylase, α-Glucosidase, and Pancreatic Lipase by a Formulation of Five Plant Extracts: TOTUM-63
Abstract
:1. Introduction
2. Results
2.1. In Vitro Enzymatic Inhibitions
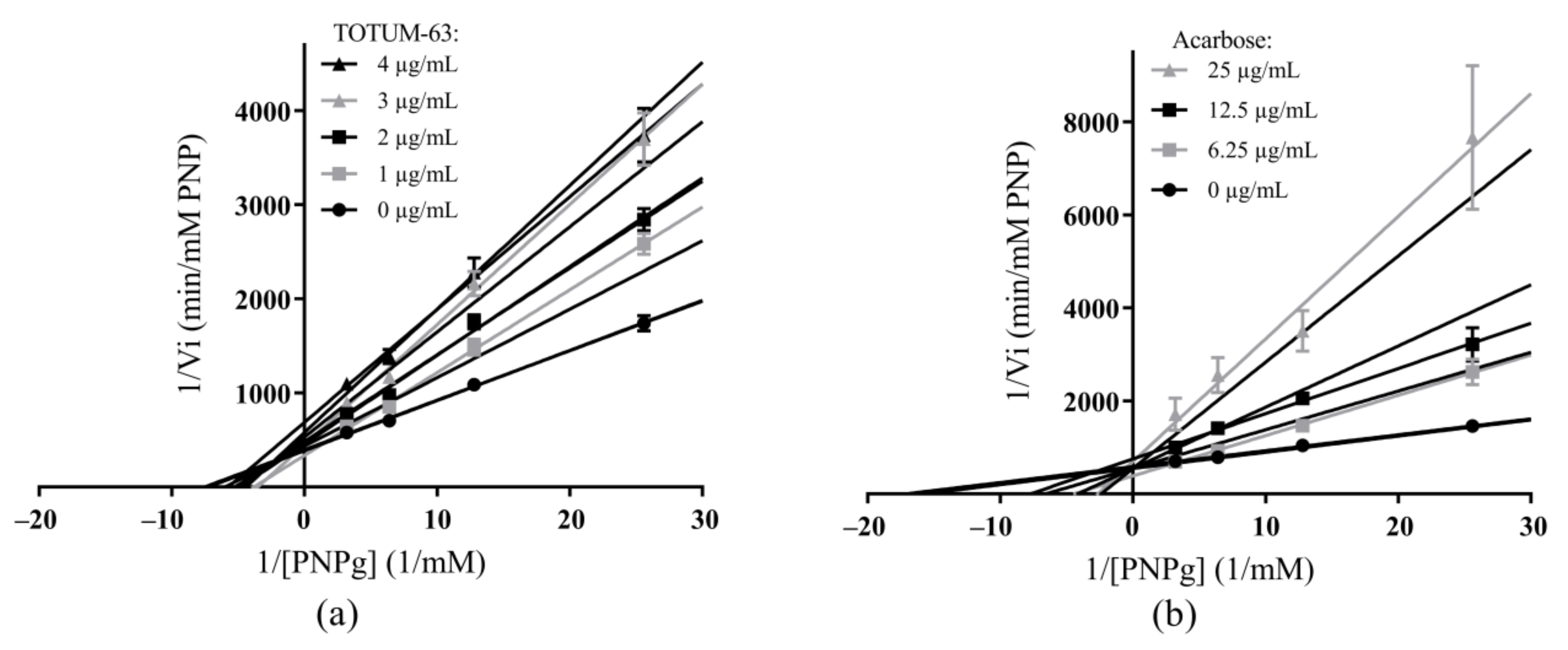
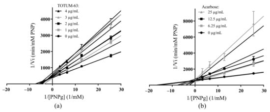
2.2. Kinetics and Mechanisms of α-Glucosidase Inhibition
2.3. Interactions with α-Glucosidase Using Fluorescence Spectrum Changes
2.4. Binding Affinity for α-Glucosidase Using Microscale Thermophoresis (MST)
2.5. Glucose Homeostasis, Body Weight, and Body Composition in Diabetic db/db Mice
3. Discussion
4. Materials and Methods
4.1. Materials and Reagents
4.2. In Vitro Enzymatic Inhibition Assays
4.2.1. α-Glucosidase Inhibition Assay
4.2.2. α-Amylase Inhibition Assay
4.2.3. Lipase Inhibition Assay
4.3. α-Glucosidase Inhibition Kinetics
4.4. Determination of Interactions with α-Glucosidase Based on Fluorescence Spectrum Changes
4.5. Determination of the Binding Affinity for α-Glucosidase Using Microscale Thermophoresis (MST)
4.6. Animals and Diet
4.7. Glucose Homeostasis, Body Weight, and Body Composition in Diabetic db/db Mice
4.8. Statistical Analysis of In Vivo Data
5. Conclusions
Author Contributions
Funding
Institutional Review Board Statement
Informed Consent Statement
Data Availability Statement
Acknowledgments
Conflicts of Interest
References
- Abarca-Gómez, L.; Abdeen, Z.A.; Hamid, Z.A.; Abu-Rmeileh, N.M.; Acosta-Cazares, B.; Acuin, C.; Adams, R.J.; Aekplakorn, W.; Afsana, K.; Aguilar-Salinas, C.A.; et al. Worldwide Trends in Body-Mass Index, Underweight, Overweight, and Obesity from 1975 to 2016: A Pooled Analysis of 2416 Population-Based Measurement Studies in 128·9 Million Children, Adolescents, and Adults. Lancet 2017, 390, 2627–2642. [Google Scholar] [CrossRef] [PubMed]
- Wilson, P.W.F.; D’Agostino, R.B.; Parise, H.; Sullivan, L.; Meigs, J.B. Metabolic Syndrome as a Precursor of Cardiovascular Disease and Type 2 Diabetes Mellitus. Circulation 2005, 112, 3066–3072. [Google Scholar] [CrossRef] [PubMed]
- Lonardo, A.; Nascimbeni, F.; Targher, G.; Bernardi, M.; Bonino, F.; Bugianesi, E.; Casini, A.; Gastaldelli, A.; Marchesini, G.; Marra, F.; et al. AISF Position Paper on Nonalcoholic Fatty Liver Disease (NAFLD): Updates and Future Directions. Dig. Liver Dis. 2017, 49, 471–483. [Google Scholar] [CrossRef] [PubMed]
- Lustig, R.H.; Collier, D.; Kassotis, C.; Roepke, T.A.; Kim, M.J.; Blanc, E.; Barouki, R.; Bansal, A.; Cave, M.C.; Chatterjee, S.; et al. Obesity I: Overview and Molecular and Biochemical Mechanisms. Biochem. Pharmacol. 2022, 199, 115012. [Google Scholar] [CrossRef]
- Abdelaal, M.; le Roux, C.W.; Docherty, N.G. Morbidity and Mortality Associated with Obesity. Ann. Transl. Med. 2017, 5, 161. [Google Scholar] [CrossRef]
- Centers for Disease Control and Prevention., National Diabetes Statistics Report, 2022: Atlanta. Available online: https://www.cdc.gov/diabetes/library/features/diabetes-stat-report.html (accessed on 15 May 2022).
- Roden, M.; Shulman, G.I. The Integrative Biology of Type 2 Diabetes. Nature 2019, 576, 51–60. [Google Scholar] [CrossRef]
- Faulkner, M.S.; Michaliszyn, S.F. Exercise Adherence in Hispanic Adolescents with Obesity or Type 2 Diabetes. J. Pediatr. Nurs. 2021, 56, 7–12. [Google Scholar] [CrossRef]
- Brown, M.T.; Bussell, J.K. Medication Adherence: WHO Cares? Mayo Clin. Proc. 2011, 86, 304–314. [Google Scholar] [CrossRef]
- Kelly, M.P.; Barker, M. Why Is Changing Health-Related Behaviour so Difficult? Public Health 2016, 136, 109–116. [Google Scholar] [CrossRef]
- Lonardo, A.; Nascimbeni, F.; Mantovani, A.; Targher, G. Hypertension, Diabetes, Atherosclerosis and NASH: Cause or Consequence? J. Hepatol. 2018, 68, 335–352. [Google Scholar] [CrossRef]
- An, Y.; Li, Y.; Bian, N.; Ding, X.; Chang, X.; Liu, J.; Wang, G. Different Interactive Effects of Metformin and Acarbose With Dietary Macronutrient Intakes on Patients With Type 2 Diabetes Mellitus: Novel Findings From the MARCH Randomized Trial in China. Front. Nutr. 2022, 9, 861750. [Google Scholar] [CrossRef]
- Ku, E.J.; Lee, D.-H.; Jeon, H.J.; Oh, T.K. Effectiveness and Safety of Empagliflozin-Based Quadruple Therapy Compared with Insulin Glargine-Based Therapy in Patients with Inadequately Controlled Type 2 Diabetes: An Observational Study in Clinical Practice. Diabetes Obes. Metab. 2019, 21, 173–177. [Google Scholar] [CrossRef]
- Kaur, N.; Kumar, V.; Nayak, S.K.; Wadhwa, P.; Kaur, P.; Sahu, S.K. Alpha-amylase as Molecular Target for Treatment of Diabetes Mellitus: A Comprehensive Review. Chem. Biol. Drug Des. 2021, 98, 539–560. [Google Scholar] [CrossRef]
- Liu, T.-T.; Liu, X.-T.; Chen, Q.-X.; Shi, Y. Lipase Inhibitors for Obesity: A Review. Biomed. Pharmacother. 2020, 128, 110314. [Google Scholar] [CrossRef]
- Hossain, U.; Das, A.K.; Ghosh, S.; Sil, P.C. An Overview on the Role of Bioactive α-Glucosidase Inhibitors in Ameliorating Diabetic Complications. Food Chem. Toxicol. 2020, 145, 111738. [Google Scholar] [CrossRef]
- Holst, J.J.; Gribble, F.; Horowitz, M.; Rayner, C.K. Roles of the Gut in Glucose Homeostasis. Diabetes Care 2016, 39, 884–892. [Google Scholar] [CrossRef]
- Nichols, B.L.; Avery, S.; Sen, P.; Swallow, D.M.; Hahn, D.; Sterchi, E. The Maltase-Glucoamylase Gene: Common Ancestry to Sucrase-Isomaltase with Complementary Starch Digestion Activities. Proc. Natl. Acad. Sci. USA 2003, 100, 1432–1437. [Google Scholar] [CrossRef]
- Elferink, H.; Bruekers, J.P.J.; Veeneman, G.H.; Boltje, T.J. A Comprehensive Overview of Substrate Specificity of Glycoside Hydrolases and Transporters in the Small Intestine: “A Gut Feeling”. Cell. Mol. Life Sci. 2020, 77, 4799–4826. [Google Scholar] [CrossRef]
- Thilavech, T.; Adisakwattana, S. Cyanidin-3-Rutinoside Acts as a Natural Inhibitor of Intestinal Lipid Digestion and Absorption. BMC Complement. Altern Med. 2019, 19, 242. [Google Scholar] [CrossRef]
- Iqbal, J.; Hussain, M.M. Intestinal Lipid Absorption. Am. J. Physiol. Endocrinol. Metab. 2009, 296, E1183–E1194. [Google Scholar] [CrossRef]
- Chaudhury, A.; Duvoor, C.; Reddy Dendi, V.S.; Kraleti, S.; Chada, A.; Ravilla, R.; Marco, A.; Shekhawat, N.S.; Montales, M.T.; Kuriakose, K.; et al. Clinical Review of Antidiabetic Drugs: Implications for Type 2 Diabetes Mellitus Management. Front. Endocrinol. 2017, 8. [Google Scholar] [CrossRef]
- You, Q.; Chen, F.; Wang, X.; Luo, P.G.; Jiang, Y. Inhibitory Effects of Muscadine Anthocyanins on α-Glucosidase and Pancreatic Lipase Activities. J. Agric. Food Chem. 2011, 59, 9506–9511. [Google Scholar] [CrossRef] [PubMed]
- Peltier, S.; Sirvent, P.; Maugard, T. Composition Containing a Mixture of Plant Extracts or a Mixture of Molecules Contained in Said Plants, and Use for Controlling Glucide and/or Lipid Metabolism. WO 2016062958 A1, 28 April 2016. Available online: https://patents.google.com/patent/WO2016062958A1/en (accessed on 19 December 2022).
- Frutos, M.J.; Ruiz-Cano, D.; Valero-Cases, E.; Zamora, S.; Pérez-Llamas, F. Artichoke (Cynara scolymus L.). In Nonvitamin and Nonmineral Nutritional Supplements; Elsevier: Amsterdam, The Netherlands, 2019; pp. 135–138. ISBN 978-0-12-812491-8. [Google Scholar]
- Lattanzio, V.; Kroon, P.A.; Linsalata, V.; Cardinali, A. Globe Artichoke: A Functional Food and Source of Nutraceutical Ingredients. J. Funct. Foods 2009, 1, 131–144. [Google Scholar] [CrossRef]
- Rufino-Palomares, E.E.; Pérez-Jiménez, A.; García-Salguero, L.; Mokhtari, K.; Reyes-Zurita, F.J.; Peragón-Sánchez, J.; Lupiáñez, J.A. Nutraceutical Role of Polyphenols and Triterpenes Present in the Extracts of Fruits and Leaves of Olea Europaea as Antioxidants, Anti-Infectives and Anticancer Agents on Healthy Growth. Molecules 2022, 27, 2341. [Google Scholar] [CrossRef]
- Brasanac-Vukanovic, S.; Mutic, J.; Stankovic, D.; Arsic, I.; Blagojevic, N.; Vukasinovic-Pesic, V.; Tadic, V. Wild Bilberry (Vaccinium Myrtillus L., Ericaceae) from Montenegro as a Source of Antioxidants for Use in the Production of Nutraceuticals. Molecules 2018, 23, 1864. [Google Scholar] [CrossRef] [PubMed]
- Chavanelle, V.; Otero, Y.F.; Le Joubioux, F.; Ripoche, D.; Bargetto, M.; Vluggens, A.; Montaurier, C.; Pickering, G.; Ducheix, G.; Dubray, C.; et al. Effects of Totum-63 on Glucose Homeostasis and Postprandial Glycemia: A Translational Study. Am. J. Physiol. Endocrinol. Metab. 2021, 320, E1119–E1137. [Google Scholar] [CrossRef] [PubMed]
- Jerabek-Willemsen, M.; André, T.; Wanner, R.; Roth, H.M.; Duhr, S.; Baaske, P.; Breitsprecher, D. MicroScale Thermophoresis: Interaction Analysis and Beyond. J. Mol. Struct. 2014, 1077, 101–113. [Google Scholar] [CrossRef]
- Chiasson, J.-L.; Josse, R.G.; Gomis, R.; Hanefeld, M.; Karasik, A.; Laakso, M. Acarbose for Prevention of Type 2 Diabetes Mellitus: The STOP-NIDDM Randomised Trial. Lancet 2002, 359, 2072–2077. [Google Scholar] [CrossRef]
- Chelladurai, G.R.M.; Chinnachamy, C. Alpha Amylase and Alpha Glucosidase Inhibitory Effects of Aqueous Stem Extract of Salacia Oblonga and Its GC-MS Analysis. Braz. J. Pharm. Sci. 2018, 54. [Google Scholar] [CrossRef]
- Sung, Y.-Y.; Kim, S.-H.; Yoo, B.W.; Kim, H.K. The Nutritional Composition and Anti-Obesity Effects of an Herbal Mixed Extract Containing Allium Fistulosum and Viola Mandshurica in High-Fat-Diet-Induced Obese Mice. BMC Complement. Altern Med. 2015, 15, 370. [Google Scholar] [CrossRef]
- Adamska-Patruno, E.; Billing-Marczak, K.; Orlowski, M.; Gorska, M.; Krotkiewski, M.; Kretowski, A. A Synergistic Formulation of Plant Extracts Decreases Postprandial Glucose and Insulin Peaks: Results from Two Randomized, Controlled, Cross-Over Studies Using Real-World Meals. Nutrients 2018, 10, 956. [Google Scholar] [CrossRef]
- Williamson, E. Synergy and Other Interactions in Phytomedicines. Phytomedicine 2001, 8, 401–409. [Google Scholar] [CrossRef]
- Wang, S.; Li, Y.; Huang, D.; Chen, S.; Xia, Y.; Zhu, S. The Inhibitory Mechanism of Chlorogenic Acid and Its Acylated Derivatives on α-Amylase and α-Glucosidase. Food Chem. 2022, 372, 131334. [Google Scholar] [CrossRef]
- Proença, C.; Freitas, M.; Ribeiro, D.; Oliveira, E.F.T.; Sousa, J.L.C.; Tomé, S.M.; Ramos, M.J.; Silva, A.M.S.; Fernandes, P.A.; Fernandes, E. α-Glucosidase Inhibition by Flavonoids: An in Vitro and in Silico Structure–Activity Relationship Study. J. Enzym. Inhib. Med. Chem. 2017, 32, 1216–1228. [Google Scholar] [CrossRef]
- Yan, J.; Zhang, G.; Pan, J.; Wang, Y. α-Glucosidase Inhibition by Luteolin: Kinetics, Interaction and Molecular Docking. Int. J. Biol. Macromol. 2014, 64, 213–223. [Google Scholar] [CrossRef]
- Hadrich, F.; Bouallagui, Z.; Junkyu, H.; Isoda, H.; Sayadi, S. The α-Glucosidase and α-Amylase Enzyme Inhibitory of Hydroxytyrosol and Oleuropein. J. Oleo Sci. 2015, 64, 835–843. [Google Scholar] [CrossRef]
- Dekdouk, N.; Malafronte, N.; Russo, D.; Faraone, I.; De Tommasi, N.; Ameddah, S.; Severino, L.; Milella, L. Phenolic Compounds from Olea Europaea L. Possess Antioxidant Activity and Inhibit Carbohydrate Metabolizing Enzymes In Vitro. Evid. Based Complement. Altern. Med. 2015, 2015, 1–9. [Google Scholar] [CrossRef]
- Kumar, S.; Sharma, S.; Vasudeva, N. Screening of Antidiabetic and Antihyperlipidemic Potential of Oil from Piper Longum and Piperine with Their Possible Mechanism. Expert Opin. Pharmacother. 2013, 14, 1723–1736. [Google Scholar] [CrossRef]
- Tolmie, M.; Bester, M.J.; Apostolides, Z. Inhibition of A-glucosidase and A-amylase by Herbal Compounds for the Treatment of Type 2 Diabetes: A Validation of in Silico Reverse Docking with in Vitro Enzyme Assays. J. Diabetes 2021, 13, 779–791. [Google Scholar] [CrossRef]
- Guo, T.; Wu, S.; Guo, S.; Bai, L.; Liu, Q.; Bai, N. Synthesis and Evaluation of a Series of Oleanolic Acid Saponins as α-Glucosidase and α-Amylase Inhibitors: Oleanolic Acid Saponins as α-Glucosidase Inhibitors. Arch. Pharm. Chem. Life Sci. 2015, 348, 615–628. [Google Scholar] [CrossRef]
- Wu, H.-B.; Liu, T.-T.; Wang, W.-S.; Feng, J.-C.; Tian, H.-M. Oleanane-Type Saponins from the Roots of Ligulariopsis Shichuana and Their α-Glucosidase Inhibitory Activities. Molecules 2017, 22, 1981. [Google Scholar] [CrossRef]
- Chen, J.; Wu, S.; Zhang, Q.; Yin, Z.; Zhang, L. α-Glucosidase Inhibitory Effect of Anthocyanins from Cinnamomum Camphora Fruit: Inhibition Kinetics and Mechanistic Insights through in Vitro and in Silico Studies. Int. J. Biol. Macromol. 2020, 143, 696–703. [Google Scholar] [CrossRef]
- Zhang, H.; Wang, G.; Beta, T.; Dong, J. Inhibitory Properties of Aqueous Ethanol Extracts of Propolis on Alpha-Glucosidase. Evid. Based Complement. Altern. Med. 2015, 2015, 1–7. [Google Scholar] [CrossRef]
- Zeng, L.; Zhang, G.; Lin, S.; Gong, D. Inhibitory Mechanism of Apigenin on α-Glucosidase and Synergy Analysis of Flavonoids. J. Agric. Food Chem. 2016, 64, 6939–6949. [Google Scholar] [CrossRef] [PubMed]
- Mwakalukwa, R.; Amen, Y.; Nagata, M.; Shimizu, K. Postprandial Hyperglycemia Lowering Effect of the Isolated Compounds from Olive Mill Wastes—An Inhibitory Activity and Kinetics Studies on α-Glucosidase and α-Amylase Enzymes. ACS Omega 2020, 5, 20070–20079. [Google Scholar] [CrossRef]
- Deng, X.-Y.; Ke, J.-J.; Zheng, Y.-Y.; Li, D.-L.; Zhang, K.; Zheng, X.; Wu, J.-Y.; Xiong, Z.; Wu, P.-P.; Xu, X.-T. Synthesis and Bioactivities Evaluation of Oleanolic Acid Oxime Ester Derivatives as α -Glucosidase and α -Amylase Inhibitors. J. Enzym. Inhib. Med. Chem. 2022, 37, 451–461. [Google Scholar] [CrossRef] [PubMed]
- Feunaing, R.T.; Tamfu, A.N.; Gbaweng, A.J.Y.; Mekontso Magnibou, L.; Ntchapda, F.; Henoumont, C.; Laurent, S.; Talla, E.; Dinica, R.M. In Vitro Evaluation of α-Amylase and α-Glucosidase Inhibition of 2,3-Epoxyprocyanidin C1 and Other Constituents from Pterocarpus Erinaceus Poir. Molecules 2022, 28, 126. [Google Scholar] [CrossRef] [PubMed]
- Olennikov, D.N.; Chirikova, N.K.; Kashchenko, N.I.; Nikolaev, V.M.; Kim, S.-W.; Vennos, C. Bioactive Phenolics of the Genus Artemisia (Asteraceae): HPLC-DAD-ESI-TQ-MS/MS Profile of the Siberian Species and Their Inhibitory Potential Against α-Amylase and α-Glucosidase. Front. Pharmacol. 2018, 9, 756. [Google Scholar] [CrossRef]
- Lim, J.; Ferruzzi, M.G.; Hamaker, B.R. Structural Requirements of Flavonoids for the Selective Inhibition of α-Amylase versus α-Glucosidase. Food Chem. 2022, 370, 130981. [Google Scholar] [CrossRef] [PubMed]
- Miao, J.; Liu, J.; Gao, X.; Lu, F.; Yang, X. Effects of Different Drying Methods on Chemical Compositions, Antioxidant Activity and Anti-α-Glucosidase Activity of Coreopsis Tinctoria Flower Tea. Heliyon 2022, 8, e11784. [Google Scholar] [CrossRef]
- Islam, M.N.; Ishita, I.J.; Jung, H.A.; Choi, J.S. Vicenin 2 Isolated from Artemisia Capillaris Exhibited Potent Anti-Glycation Properties. Food Chem. Toxicol. 2014, 69, 55–62. [Google Scholar] [CrossRef]
- Zheng, Y.; Yang, W.; Sun, W.; Chen, S.; Liu, D.; Kong, X.; Tian, J.; Ye, X. Inhibition of Porcine Pancreatic α-Amylase Activity by Chlorogenic Acid. J. Funct. Foods 2020, 64, 103587. [Google Scholar] [CrossRef]
- Tadera, K.; Minami, Y.; Takamatsu, K.; Matsuoka, T. Inhibition of α-Glucosidase and α-Amylase by Flavonoids. J. Nutr. Sci. Vitam. 2006, 52, 149–153. [Google Scholar] [CrossRef]
- Seyedan, A.; Alshawsh, M.A.; Alshagga, M.A.; Koosha, S.; Mohamed, Z. Medicinal Plants and Their Inhibitory Activities against Pancreatic Lipase: A Review. Evid. Based Complement. Altern. Med. 2015, 2015, 1–13. [Google Scholar] [CrossRef]
- Ediger, T.R.; Erdman, S.H. Maldigestion and Malabsorption. In Pediatric Gastrointestinal and Liver Disease; Elsevier: Amsterdam, The Netherlands, 2021; pp. 321–338.e5. ISBN 978-0-323-67293-1. [Google Scholar]
- Kim, K.S.; Kim, S.K.; Sung, K.M.; Cho, Y.W.; Park, S.W. Management of Type 2 Diabetes Mellitus in Older Adults. Diabetes Metab. J. 2012, 36, 336. [Google Scholar] [CrossRef]
- Proença, C.; Freitas, M.; Ribeiro, D.; Tomé, S.M.; Oliveira, E.F.T.; Viegas, M.F.; Araújo, A.N.; Ramos, M.J.; Silva, A.M.S.; Fernandes, P.A.; et al. Evaluation of a Flavonoids Library for Inhibition of Pancreatic α-Amylase towards a Structure–Activity Relationship. J. Enzym. Inhib. Med. Chem. 2019, 34, 577–588. [Google Scholar] [CrossRef]
- Sui, X.; Zhang, Y.; Zhou, W. In Vitro and in Silico Studies of the Inhibition Activity of Anthocyanins against Porcine Pancreatic α-Amylase. J. Funct. Foods 2016, 21, 50–57. [Google Scholar] [CrossRef]
- Yang, X.-W.; Huang, M.-Z.; Jin, Y.-S.; Sun, L.-N.; Song, Y.; Chen, H.-S. Phenolics from Bidens Bipinnata and Their Amylase Inhibitory Properties. Fitoterapia 2012, 83, 1169–1175. [Google Scholar] [CrossRef]
- Li, M.-M.; Chen, Y.-T.; Ruan, J.-C.; Wang, W.-J.; Chen, J.-G.; Zhang, Q.-F. Structure-Activity Relationship of Dietary Flavonoids on Pancreatic Lipase. Curr. Res. Food Sci. 2023, 6, 100424. [Google Scholar] [CrossRef]
- Yu, H.; Dong, S.; Wang, L.; Liu, Y. The Effect of Triterpenoid Saponins on Pancreatic Lipase in Vitro: Activity, Conformation, Kinetics, Thermodynamics and Morphology. Biochem. Eng. J. 2017, 125, 1–9. [Google Scholar] [CrossRef]
- Wang, Y.; Chen, L.; Liu, H.; Xie, J.; Yin, W.; Xu, Z.; Ma, H.; Wu, W.; Zheng, M.; Liu, M.; et al. Characterization of the Synergistic Inhibitory Effect of Cyanidin-3-O-Glucoside and Catechin on Pancreatic Lipase. Food Chem. 2023, 404, 134672. [Google Scholar] [CrossRef] [PubMed]
- Ahmad, I.; Syakfanaya, A.M.; Azminah, A.; Saputri, F.C.; Mun’im, A. Optimization of Betaine-Sorbitol Natural Deep Eutectic Solvent-Based Ultrasound-Assisted Extraction and Pancreatic Lipase Inhibitory Activity of Chlorogenic Acid and Caffeine Content from Robusta Green Coffee Beans. Heliyon 2021, 7, e07702. [Google Scholar] [CrossRef] [PubMed]
- Hu, B.; Cui, F.; Yin, F.; Zeng, X.; Sun, Y.; Li, Y. Caffeoylquinic Acids Competitively Inhibit Pancreatic Lipase through Binding to the Catalytic Triad. Int. J. Biol. Macromol. 2015, 80, 529–535. [Google Scholar] [CrossRef] [PubMed]
- Ma, L.-J.; Hou, X.-D.; Qin, X.-Y.; He, R.-J.; Yu, H.-N.; Hu, Q.; Guan, X.-Q.; Jia, S.-N.; Hou, J.; Lei, T.; et al. Discovery of Human Pancreatic Lipase Inhibitors from Root of Rhodiola Crenulata via Integrating Bioactivity-Guided Fractionation, Chemical Profiling and Biochemical Assay. J. Pharm. Anal. 2022, 12, 683–691. [Google Scholar] [CrossRef]
- Şöhretoğlu, D.; Sari, S.; Özel, A.; Barut, B. α-Glucosidase Inhibitory Effect of Potentilla Astracanica and Some Isoflavones: Inhibition Kinetics and Mechanistic Insights through in Vitro and in Silico Studies. Int. J. Biol. Macromol. 2017, 105, 1062–1070. [Google Scholar] [CrossRef]
- Chen, Y.; Geng, S.; Liu, B. Three Common Caffeoylquinic Acids as Potential Hypoglycemic Nutraceuticals: Evaluation of A-glucosidase Inhibitory Activity and Glucose Consumption in HepG2 Cells. J. Food Biochem. 2020, 44. [Google Scholar] [CrossRef]
- Dong, Y.; Huang, H.; Zhao, M.; Sun-Waterhouse, D.; Lin, L.; Xiao, C. Mechanisms Underlying the Xanthine Oxidase Inhibitory Effects of Dietary Flavonoids Galangin and Pinobanksin. J. Funct. Foods 2016, 24, 26–36. [Google Scholar] [CrossRef]
- Yan, J.; Zhang, G.; Hu, Y.; Ma, Y. Effect of Luteolin on Xanthine Oxidase: Inhibition Kinetics and Interaction Mechanism Merging with Docking Simulation. Food Chem. 2013, 141, 3766–3773. [Google Scholar] [CrossRef]
- Segel, I.H. Enzyme Kinetics: Behavior and Analysis of Rapid Equilibrium and Steady-State Enzyme Systems; Wiley: Hoboken, NJ, Canada, 1993. [Google Scholar]
- Şöhretoğlu, D.; Sari, S.; Barut, B.; Özel, A. Discovery of Potent α-Glucosidase Inhibitor Flavonols: Insights into Mechanism of Action through Inhibition Kinetics and Docking Simulations. Bioorganic Chem. 2018, 79, 257–264. [Google Scholar] [CrossRef]
- Wua, J.; Wang, H.-M.; Li, J.; Men, X.-L. The research applications of db/db mouse. Sheng Li Ke Xue Jin Zhan 2013, 44, 12–18. [Google Scholar]
- Lee, S.M. The Effect of Chronic α-Glycosidase Inhibition on Diabetic Nephropathy in the Db/Db Mouse. Diabetes 1982, 31, 249–254. [Google Scholar] [CrossRef]
- Lee, S.M.; Bustamante, S.; Flores, C.; Bezerra, J.; Goda, T.; Koldovský, O. Chronic Effects of an Alpha-Glucosidase Inhibitor (Bay o 1248) on Intestinal Disaccharidase Activity in Normal and Diabetic Mice. J. Pharm. Exp. 1987, 240, 132. [Google Scholar]
- Scheen, A.J. Clinical Efficacy of Acarbose in Diabetes Mellitus: A Critical Review of Controlled Trials. Diabetes Metab. 1998, 24, 311–320. [Google Scholar]
- Zhang, F.; Xu, S.; Tang, L.; Pan, X.; Tong, N. Acarbose With Comparable Glucose-Lowering but Superior Weight-Loss Efficacy to Dipeptidyl Peptidase-4 Inhibitors: A Systematic Review and Network Meta-Analysis of Randomized Controlled Trials. Front. Endocrinol. 2020, 11, 288. [Google Scholar] [CrossRef]
- Padwal, R.S.; Rucker, D.; Li, S.K.; Curioni, C.; Lau, D.C. Long-Term Pharmacotherapy for Obesity and Overweight. Cochrane Database Syst. Rev. 2003. [CrossRef]
- Yeh, W.-J.; Hsia, S.-M.; Lee, W.-H.; Wu, C.-H. Polyphenols with Antiglycation Activity and Mechanisms of Action: A Review of Recent Findings. J. Food Drug Anal. 2017, 25, 84–92. [Google Scholar] [CrossRef]
- Wu, C.-H.; Yen, G.-C. Inhibitory Effect of Naturally Occurring Flavonoids on the Formation of Advanced Glycation Endproducts. J. Agric. Food Chem. 2005, 53, 3167–3173. [Google Scholar] [CrossRef]
- Wilding, J.P.H. The Importance of Weight Management in Type 2 Diabetes Mellitus. Int. J. Clin. Pract. 2014, 68, 682–691. [Google Scholar] [CrossRef]
- Davies, M.J.; Aroda, V.R.; Collins, B.S.; Gabbay, R.A.; Green, J.; Maruthur, N.M.; Rosas, S.E.; Del Prato, S.; Mathieu, C.; Mingrone, G.; et al. Management of Hyperglycemia in Type 2 Diabetes, 2022. A Consensus Report by the American Diabetes Association (ADA) and the European Association for the Study of Diabetes (EASD). Diabetes Care 2022, 45, 2753–2786. [Google Scholar] [CrossRef]
- Singleton, V.L.; Rossi, J.A. Colorimetry of Total Phenolics with Phosphomolybdic-Phosphotungstic Acid Reagents. Am. J. Enol. Vitic. 1965, 16, 144. [Google Scholar]
- Bischoff, H. The mechanism of alpha-glucosidase inhibition in the management of diabetes. Clin. Investig. Med. Med. Clin. Exp. 1995, 18, 303–311. [Google Scholar]






| IC50 Values in µg/mL | |||
|---|---|---|---|
| Tested Products | α-Glucosidase | α-Amylase | Lipase |
| TOTUM-63 | 13.1 | 380.0 | 276.5 |
| Acarbose | 28.8 | 0.110 | - |
| Orlistat | - | - | 0.00345 |
| Compound Types (Sorted by Families) | Extract Content (g/100 g) |
|---|---|
| Total phenolic compounds | 9.1 |
| Total anthocyanins | 0.964 |
| Monocaffeoylquinic acids | 1.073 |
| Chlorogenic acid | 0.645 |
| Other monocaffeoylquinic acids | 0.428 |
| Dicaffeoylquinic acids | 0.917 |
| Cynarine | 0.112 |
| Other dicaffeoylquinic acids | 0.805 |
| Caffeic acid | 0.019 |
| Oleuropein | 3.645 |
| Oleuropein isomers | 0.519 |
| Hydroxytyrosol | 0.454 |
| Luteolin | 0.030 |
| Luteolin-7-O-glucoside | 0.656 |
| Luteolin-7-O-glucuronide | 0.440 |
| Apigenin | 0.016 |
| Apigenin-7-O-glucoside | 0.093 |
| Apigenin-7-O-glucuronide | 0.324 |
| Apigenin-6-C-glucoside-8-C-arabinoside (Shaftoside) | 0.029 |
| Apigenin-6,8-C-diglucoside (Vicenin 2) | 0.060 |
| Eriodictyol | 0.008 |
| Eriodictyol-7-O-glucoside | 0.590 |
| Marein and Flavanomarein | 0.318 |
| Maritimein | 0.129 |
| Rutin | 0.014 |
| Verbascoside | 0.046 |
| Terpenes and terpenoids | |
| Oleanolic acid | 2.004 |
| Saponins | |
| Chrysanthellin A | 0.553 |
| Chrysanthellin B | 0.507 |
| Iridoids | |
| Oleoside | 0.290 |
| Alkaloids | |
| Piperine | 0.007 |
| Tested Compounds | IC50 Values in µg/mL |
|---|---|
| Chlorogenic acid | 0.3 |
| Luteolin | 0.4 |
| Oleuropein | 3.1 |
| Chrysanthellin B | 153.5 |
| Piperine | 0.9 |
| Parameters | TOTUM-63 | Acarbose |
|---|---|---|
| Inhibition type | Mixed (full) | Competitive (full) |
| Vmax (mM/min) | 0.00259 | 0.00182 |
| Km (mM) | 0.14 | 0.06 |
| Ki (µg/mL) | 2.7 | 4.5 |
| Factor α | 2.9 | none |
Disclaimer/Publisher’s Note: The statements, opinions and data contained in all publications are solely those of the individual author(s) and contributor(s) and not of MDPI and/or the editor(s). MDPI and/or the editor(s) disclaim responsibility for any injury to people or property resulting from any ideas, methods, instructions or products referred to in the content. |
© 2023 by the authors. Licensee MDPI, Basel, Switzerland. This article is an open access article distributed under the terms and conditions of the Creative Commons Attribution (CC BY) license (https://creativecommons.org/licenses/by/4.0/).
Share and Cite
Haguet, Q.; Le Joubioux, F.; Chavanelle, V.; Groult, H.; Schoonjans, N.; Langhi, C.; Michaux, A.; Otero, Y.F.; Boisseau, N.; Peltier, S.L.; et al. Inhibitory Potential of α-Amylase, α-Glucosidase, and Pancreatic Lipase by a Formulation of Five Plant Extracts: TOTUM-63. Int. J. Mol. Sci. 2023, 24, 3652. https://doi.org/10.3390/ijms24043652
Haguet Q, Le Joubioux F, Chavanelle V, Groult H, Schoonjans N, Langhi C, Michaux A, Otero YF, Boisseau N, Peltier SL, et al. Inhibitory Potential of α-Amylase, α-Glucosidase, and Pancreatic Lipase by a Formulation of Five Plant Extracts: TOTUM-63. International Journal of Molecular Sciences. 2023; 24(4):3652. https://doi.org/10.3390/ijms24043652
Chicago/Turabian StyleHaguet, Quentin, Florian Le Joubioux, Vivien Chavanelle, Hugo Groult, Nathan Schoonjans, Cédric Langhi, Arnaud Michaux, Yolanda F. Otero, Nathalie Boisseau, Sébastien L. Peltier, and et al. 2023. "Inhibitory Potential of α-Amylase, α-Glucosidase, and Pancreatic Lipase by a Formulation of Five Plant Extracts: TOTUM-63" International Journal of Molecular Sciences 24, no. 4: 3652. https://doi.org/10.3390/ijms24043652
APA StyleHaguet, Q., Le Joubioux, F., Chavanelle, V., Groult, H., Schoonjans, N., Langhi, C., Michaux, A., Otero, Y. F., Boisseau, N., Peltier, S. L., Sirvent, P., & Maugard, T. (2023). Inhibitory Potential of α-Amylase, α-Glucosidase, and Pancreatic Lipase by a Formulation of Five Plant Extracts: TOTUM-63. International Journal of Molecular Sciences, 24(4), 3652. https://doi.org/10.3390/ijms24043652

