Thermo-L-Asparaginases: From the Role in the Viability of Thermophiles and Hyperthermophiles at High Temperatures to a Molecular Understanding of Their Thermoactivity and Thermostability
Abstract
1. Introduction
2. Thermophilic L-ASNases as Members of a Large Family: Types Identified and Classification Issues
3. L-ASNases as Key Metabolic Enzymes for Thermophilic and Hyperthermophilic Microorganisms
4. Toward a Molecular Understanding of Thermo-ASNases Thermostability
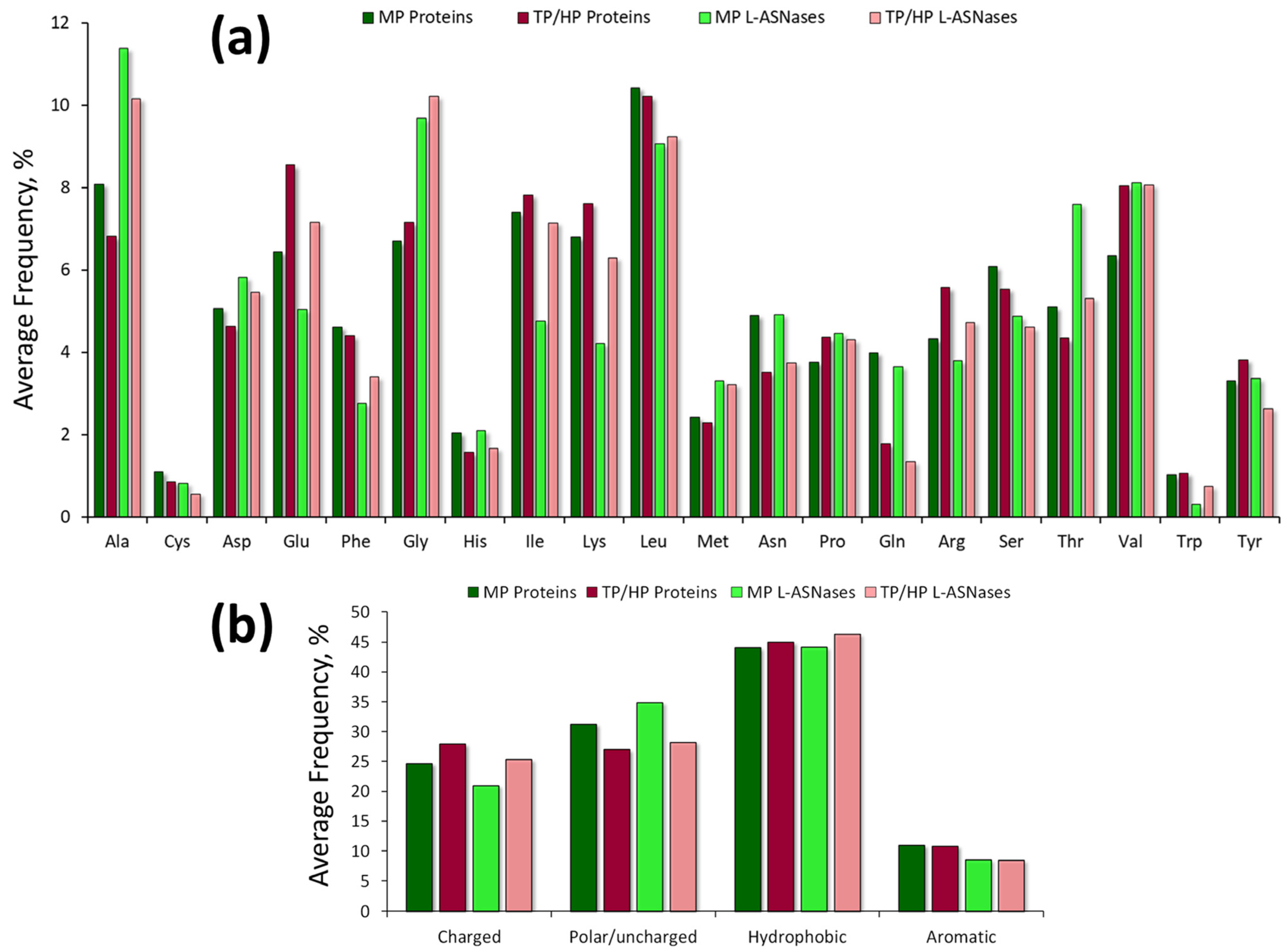
4.1. Primary Structure Analysis
4.2. Structural Features and Key Residues Essential for Thermoactivity and Thermostability of Thermo-ASNases
4.2.1. Identification of Amino Acid Residues Essential for Thermoactivity and Thermostability of Thermo-ASNases
4.2.2. Key Secondary Structures Associated with the Thermal Adaptation of Thermo-ASNases
4.2.3. The Role of C-Terminal Amino Acid Residues in Thermo-ASNase Thermostability
4.2.4. The Role of Amino Acid Residues of the N-Terminal Domain in Thermo-ASNase Thermostability
4.3. Contribution of the Oligomeric State to the Thermostability of Thermo-ASNases
4.3.1. Folding, Association, and Intersubunit Interactions as Part of Thermo-ASNase Thermostability
4.3.2. Heat-Induced Thermo-ASNase Super-Stable Assembly
4.4. The Possible Role of Substrate Binding on the Oligomerization Properties of Thermo-ASNases
5. Conclusions
Supplementary Materials
Author Contributions
Funding
Institutional Review Board Statement
Informed Consent Statement
Data Availability Statement
Conflicts of Interest
References
- Engqvist, M.K.M. Correlating enzyme annotations with a large set of microbial growth temperatures reveals metabolic adaptations to growth at diverse temperatures. BMC Microbiol. 2018, 18, 177. [Google Scholar] [CrossRef] [PubMed]
- Stetter, K.O. Hyperthermophilic Procaryotes. FEMS Microbiol. Rev. 1996, 18, 149–158. [Google Scholar] [CrossRef]
- Imanaka, T. Molecular bases of thermophily in hyperthermophiles. Proc. Jpn. Acad. Ser. B 2011, 87, 587–602. [Google Scholar] [CrossRef] [PubMed]
- Lopes, A.M.; de Oliveira-Nascimento, L.; Ribeiro, A.; Tairum, C.A.; Breyer, C.A.; de Oliveira, M.A.; Monteiro, G.; de Souza-Motta, C.M.; de Magalhães, P.O.; Avendaño, J.G.F.; et al. Therapeutic L-Asparaginase: Upstream, Downstream and Beyond. Crit. Rev. Biotechnol. 2017, 37, 82–99. [Google Scholar] [CrossRef] [PubMed]
- Nunes, J.C.F.; Cristóvão, R.O.; Freire, M.G.; Santos-Ebinuma, V.C.; Faria, J.L.; Silva, C.G.; Tavares, A.P.M. Recent Strategies and Applications for L-Asparaginase Confinement. Molecules 2020, 25, 5827. [Google Scholar] [CrossRef] [PubMed]
- Dumina, M.V.; Eldarov, M.A.; Zdanov, D.D.; Sokolov, N.N. L-Asparaginases of Extremophilic Microorganisms in Biomedicine. Biochem. (Moscow) Suppl. Ser. B Biomed. Chem. 2020, 14, 277–296. [Google Scholar] [CrossRef]
- de Oliveira Lima, I.G.; Bispo, J.R.S.; da Silva, M.B.; de Oliveira Feitosa, A.; dos Santos, A.C.M.; Moreira, M.S.A.; Passarini, M.R.Z.; Câmara, P.E.A.S.; Rosa, L.H.; Oliveira, V.M.; et al. Technological Prospecting: Mapping Patents on L-asparaginases from Extremophilic Microorganisms. Recent Patents Biotechnol. 2021, 15, 250–265. [Google Scholar] [CrossRef]
- Mahajan, R.V.; Kumar, V.; Rajendran, V.; Saran, S.; Ghosh, P.C.; Saxena, R.K. Purification and Characterization of a Novel and Robust L-Asparaginase Having Low-Glutaminase Activity from Bacillus licheniformis: In Vitro Evaluation of Anti-Cancerous Properties. PLoS ONE 2014, 9, e99037. [Google Scholar] [CrossRef]
- Ali, U.; Naveed, M.; Ullah, A.; Ali, K.; Shah, S.A.; Fahad, S.; Mumtaz, A.S. L-asparaginase as a critical component to combat Acute Lymphoblastic Leukaemia (ALL): A novel approach to target ALL. Eur. J. Pharmacol. 2016, 771, 199–210. [Google Scholar] [CrossRef]
- Muso-Cachumba, J.J.; Antunes, F.A.F.; Peres, G.F.D.; Brumano, L.; Santos, J.; Da Silva, S.S. Current applications and different approaches for microbial l-asparaginase production. Braz. J. Microbiol. 2016, 47, 77–85. [Google Scholar] [CrossRef]
- National Toxicology Program. Report on Carcinogens, 14th ed.; Department of Health and Human Services, Public Health Service: Research Triangle Park, NC, USA, 2019.
- Verma, N.; Kumar, K.; Kaur, G.; Anand, S.E. coli K-12 Asparaginase-Based Asparagine Biosensor for Leukemia. Artif. Cells Blood Substit. Biotechnol. 2007, 35, 449–456. [Google Scholar] [CrossRef] [PubMed]
- Kumar, K.; Kataria, M.; Verma, N. Plant asparaginase-based asparagine biosensor for leukemia. Artif. Cells Nanomed. Biotechnol. 2012, 41, 184–188. [Google Scholar] [CrossRef] [PubMed]
- Guo, J.; Coker, A.R.; Wood, S.P.; Cooper, J.B.; Chohan, S.M.; Rashid, N.; Akhtar, M. Structure and Function of the Thermostable L-Asparaginase from Thermococcus Kodakarensis. Acta Cryst. 2017, 73, 889–895. [Google Scholar]
- Chohan, S.M.; Rashid, N. TK1656, a thermostable l-asparaginase from Thermococcus kodakaraensis, exhibiting highest ever reported enzyme activity. J. Biosci. Bioeng. 2013, 116, 438–443. [Google Scholar] [CrossRef]
- Hong, S.-J.; Lee, Y.-H.; Khan, A.R.; Ullah, I.; Lee, C.; Park, C.K.; Shin, J.-H. Cloning, expression, and characterization of thermophilicL-asparaginase from Thermococcus kodakarensis KOD1. J. Basic Microbiol. 2014, 54, 500–508. [Google Scholar] [CrossRef] [PubMed]
- Zuo, S.; Zhang, T.; Jiang, B.; Mu, W. Reduction of acrylamide level through blanching with treatment by an extremely thermostable l-asparaginase during French fries processing. Extremophiles 2015, 19, 841–851. [Google Scholar] [CrossRef]
- Zuo, S.; Xue, D.; Zhang, T.; Jiang, B.; Mu, W. Biochemical characterization of an extremely thermostable l-asparaginase from Thermococcus gammatolerans EJ3. J. Mol. Catal. B Enzym. 2014, 109, 122–129. [Google Scholar] [CrossRef]
- Dumina, M.; Zhgun, A.; Pokrovskaya, M.; Aleksandrova, S.; Zhdanov, D.; Sokolov, N.; El’Darov, M. A Novel L-Asparaginase from Hyperthermophilic Archaeon Thermococcus sibiricus: Heterologous Expression and Characterization for Biotechnology Application. Int. J. Mol. Sci. 2021, 22, 9894. [Google Scholar] [CrossRef]
- Li, X.; Zhang, X.; Xu, S.; Zhang, H.; Xu, M.; Yang, T.; Wang, L.; Qian, H.; Zhang, H.; Fang, H.; et al. Simultaneous cell disruption and semi-quantitative activity assays for high-throughput screening of thermostable L-asparaginases. Sci. Rep. 2018, 8, 7915. [Google Scholar] [CrossRef]
- Bansal, S.; Srivastava, A.; Mukherjee, G.; Pandey, R.; Verma, A.K.; Mishra, P.; Kundu, B. Hyperthermophilic asparaginase mutants with enhanced substrate affinity and antineoplastic activity: Structural insights on their mechanism of action. FASEB J. 2012, 26, 1161–1171. [Google Scholar] [CrossRef]
- Garg, D.K.; Kundu, B. Hyperthermophilic l -asparaginase bypasses monomeric intermediates during folding to retain cooperativity and avoid amyloid assembly. Arch. Biochem. Biophys. 2017, 622, 36–46. [Google Scholar] [CrossRef] [PubMed]
- Garg, D.K.; Tomar, R.; Dhoke, R.R.; Srivastava, A.; Kundu, B. Domains of Pyrococcus furiosus l-asparaginase fold sequentially and assemble through strong intersubunit associative forces. Extremophiles 2015, 19, 681–691. [Google Scholar] [CrossRef] [PubMed]
- Bansal, S.; Gnaneswari, D.; Mishra, P.; Kundu, B. Structural stability and functional analysis of L-asparaginase from Pyrococcus furiosus. Biochemistry 2010, 75, 375–381. [Google Scholar] [CrossRef] [PubMed]
- Yao, M.; Yasutake, Y.; Morita, H.; Tanaka, I. Structure of the type IL-asparaginase from the hyperthermophilic archaeon Pyrococcus horikoshii at 2.16 Å resolution. Acta Crystallogr. Sect. D Biol. Crystallogr. 2005, 61, 294–301. [Google Scholar] [CrossRef]
- Nadeem, M.S.; Khan, J.A.; Al-Ghamdi, M.A.; Khan, M.I.; Zeyadi, M.A. Studies on the recombinant production and anticancer activity of thermostable L- asparaginase I from Pyrococcus abyssi. Braz. J. Biol. 2022, 82, e244735. [Google Scholar] [CrossRef]
- Li, J.; Wang, J.; Bachas, L.G. Biosensor for Asparagine Using a Thermostable Recombinant Asparaginase from Archaeoglobus fulgidus. Anal. Chem. 2002, 74, 3336–3341. [Google Scholar] [CrossRef]
- Chohan, S.M.; Rashid, N.; Sajed, M.; Imanaka, T. Pcal_0970: An extremely thermostable l-asparaginase from Pyrobaculum calidifontis with no detectable glutaminase activity. Folia Microbiol. 2018, 64, 313–320. [Google Scholar] [CrossRef]
- Sajed, M.; Naeem, S.U.; Rashid, N. l-Asparaginases from hyperthermophilic archaea and their applications. In Microbial Extremozymes; Academic Press: Cambridge, MA, USA, 2021; pp. 177–184. [Google Scholar] [CrossRef]
- Loch, J.I.; Jaskolski, M. Structural and biophysical aspects of L-asparaginases: A growing family with amazing diversity. Iucrj 2021, 8, 514–531. [Google Scholar] [CrossRef]
- Jia, R.; Wan, X.; Geng, X.; Xue, D.; Xie, Z.; Chen, C. Microbial L-asparaginase for Application in Acrylamide Mitigation from Food: Current Research Status and Future Perspectives. Microorganisms 2021, 9, 1659. [Google Scholar] [CrossRef]
- Bath De Morais, S.; de Souza, T.D.A.C.B. Human L-asparaginase: Acquiring knowledge of its activation (Review). Int. J. Oncol. 2021, 58, 11. [Google Scholar] [CrossRef]
- Dumina, M.; Eldarov, M.; Zdanov, D.; Sokolov, N. L-asparaginases of extremophilic microorganisms in biomedicine. Biomeditsinskaya Khimiya 2020, 66, 105–123. [Google Scholar] [CrossRef]
- Prahl, A.; Pazgier, M.; Hejazi, M.; Lockau, W.; Lubkowski, J. Structure of the isoaspartyl peptidase withL-asparaginase activity from Escherichia coli. Acta Crystallogr. Sect. D Biol. Crystallogr. 2004, 60, 1173–1176. [Google Scholar] [CrossRef]
- Michalska, K.; Jaskolski, M. Structural aspects of L-asparaginases, their friends and relations. Acta Biochim. Pol. 2006, 53, 627–640. [Google Scholar] [CrossRef] [PubMed]
- Nomme, J.; Su, Y.; Konrad, M.; Lavie, A. Structures of Apo and Product-Bound Human l-Asparaginase: Insights into the Mechanism of Autoproteolysis and Substrate Hydrolysis. Biochemistry 2012, 51, 6816–6826. [Google Scholar] [CrossRef] [PubMed]
- Su, Y.; Karamitros, C.S.; Nomme, J.; McSorley, T.; Konrad, M.; Lavie, A. Free Glycine Accelerates the Autoproteolytic Activation of Human Asparaginase. Chem. Biol. 2013, 20, 533–540. [Google Scholar] [CrossRef] [PubMed]
- Lubkowski, J.; Wlodawer, A. Structural and biochemical properties of L-asparaginase. FEBS J. 2021, 288, 4183–4209. [Google Scholar] [CrossRef]
- Sharafi, Z.; Barati, M.; Khoshayand, M.; Adrangi, S. Screening for Type II L-Asparaginases: Lessons from the Genus Halomonas. Iran. J. Pharm. Res. 2017, 16, 1565–1573. [Google Scholar] [CrossRef]
- Izadpanah Qeshmi, F.; Homaei, A.; Fernandes, P.; Javadpour, S. Marine microbial L-asparaginase: Biochemistry, molecular approaches and applications in tumor therapy and in food industry. Microbiol. Res. 2018, 208, 99–112. [Google Scholar] [CrossRef]
- Bejger, M.; Imiolczyk, B.; Clavel, D.; Gilski, M.; Pajak, A.; Marsolais, F.; Jaskolski, M. Na+/K+ exchange switches the catalytic apparatus of potassium-dependent plantL-asparaginase. Acta Crystallogr. Sect. D Biol. Crystallogr. 2014, 70, 1854–1872. [Google Scholar] [CrossRef]
- Uehara, R.; Takano, K.; Kanaya, S.; Koga, Y. Hyperthermophilic Subtilisin-Like Proteases From Thermococcus kodakarensis. In Biotechnology of Microbial Enzymes: Production, Biocatalysis and Industrial Applications; Academic Press: Cambridge, MA, USA, 2016; pp. 81–117. [Google Scholar] [CrossRef]
- Chohan, S.M.; Sajed, M.; Naeem, S.U.; Rashid, N. Heterologous gene expression and characterization of TK2246, a highly active and thermostable plant type l-asparaginase from Thermococcus kodakarensis. Int. J. Biol. Macromol. 2020, 147, 131–137. [Google Scholar] [CrossRef]
- Kengen, S.W.M. ‘Pyrococcus furiosus, 30 years on’. Microb. Biotechnol. 2017, 10, 1441–1444. [Google Scholar] [CrossRef] [PubMed]
- Amo, T.; Paje, M.L.F.; Inagaki, A.; Ezaki, S.; Atomi, H.; Imanaka, T. Pyrobaculum calidifontis sp. nov., a novel hyperthermophilic archaeon that grows in atmospheric air. Archaea 2002, 1, 113–121. [Google Scholar] [CrossRef] [PubMed]
- Hatanaka, T.; Usuki, H.; Arima, J.; Uesugi, Y.; Yamamoto, Y.; Kumagai, Y.; Yamasato, A.; Mukaihara, T. Extracellular Production and Characterization of Two Streptomyces l-Asparaginases. Appl. Biochem. Biotechnol. 2010, 163, 836–844. [Google Scholar] [CrossRef]
- Pritsa, A.A.; Kyriakidis, D.A. L-asparaginase of Thermus thermophilus: Purification, properties and identificaation of essential amino acids for its catalytic activity. Mol. Cell. Biochem. 2001, 216, 93–101. [Google Scholar] [CrossRef] [PubMed]
- Pritsa, A.; Choli-Papadopoulou, T.; Kyriakidis, D.A. Studies on the primary structure of L-asparaginase from Thermus thermophilus. Protein J. 1998, 17, 548–549. [Google Scholar]
- Dumina, M.; Zhgun, A.; Pokrovskaya, M.; Aleksandrova, S.; Zhdanov, D.; Sokolov, N.; El’Darov, M. Highly Active Thermophilic L-Asparaginase from Melioribacter roseus Represents a Novel Large Group of Type II Bacterial L-Asparaginases from Chlorobi-Ignavibacteriae-Bacteroidetes Clade. Int. J. Mol. Sci. 2021, 22, 13632. [Google Scholar] [CrossRef] [PubMed]
- Curran, M.P.; Daniel, R.M.; Guy, G.R.; Morgan, H.W. A specific l-asparaginase from Thermus aquaticus. Arch. Biochem. Biophys. 1985, 241, 571–576. [Google Scholar] [CrossRef]
- da Silva, L.S.; Doonan, L.B.; Pessoa, A., Jr.; de Oliveira, M.A.; Long, P.F. Structural and functional diversity of asparaginases: Overview and recommendations for a revised nomenclature. Biotechnol. Appl. Biochem. 2021, 69, 503–513. [Google Scholar] [CrossRef]
- Bentahir, M.; Feller, G.; Aittaleb, M.; Lamotte-Brasseur, J.; Himri, T.; Chessa, J.-P.; Gerday, C. Structural, Kinetic, and Calorimetric Characterization of the Cold-active Phosphoglycerate Kinase from the Antarctic Pseudomonas sp. TACII18. J. Biol. Chem. 2000, 275, 11147–11153. [Google Scholar] [CrossRef]
- Thomas, T.M.; Scopes, R.K. The Effects of Temperature on the Kinetics and Stability of Mesophilic and Thermophilic 3-Phosphoglycerate Kinases. Biochem. J. 1998, 330, 1087–1095. [Google Scholar] [CrossRef]
- Copeland, W.H.; Nealon, D.A.; Rej, R. Effects of temperature on measurement of alkaline phosphatase activity. Clin. Chem. 1985, 31, 185–190. [Google Scholar] [CrossRef]
- Abubakar, M.; Wasagu, R.; Umar, M. Kinetic Studies of Alkaline Phosphatase from the Liver of Agama agama Lizard. Niger. J. Basic Appl. Sci. 2013, 21, 122–126. [Google Scholar] [CrossRef]
- Mahesh, M.; Neha, G.; Rajesh, T.S.; Somashekhar, R.; Puttaiah, E.T. Isolation and characterization of extracellular thermostable alkaline phosphatase enzyme from Bacillus spp. Int. J. Appl. Biol. Pharm. Technol. 2010, 1, 21–33. [Google Scholar]
- Singh, A.K.; Pindi, P.K.; Dube, S.; Sundareswaran, V.R.; Shivaji, S. Importance of trmE for Growth of the Psychrophile Pseudomonas syringae at Low Temperatures. Appl. Environ. Microbiol. 2009, 75, 4419–4426. [Google Scholar] [CrossRef] [PubMed]
- Richer, H.B.; Brewer, J.; Fahlman, G.G.; Gibson, B.; Hansen, B.M.; Ibata, R.; Kalirai, J.S.; Limongi, M.; Rich, R.M.; Saviane, I.; et al. The Lower Main Sequence and Mass Function of the Globular Cluster Messier 4. Astrophys. J. 2002, 574, L151–L154. [Google Scholar] [CrossRef]
- Li, X.; Zhang, X.; Xu, S.; Xu, M.; Yang, T.; Wang, L.; Zhang, H.; Fang, H.; Osire, T.; Rao, Z. Insight into the thermostability of thermophilic L-asparaginase and non-thermophilic L-asparaginase II through bioinformatics and structural analysis. Appl. Microbiol. Biotechnol. 2019, 103, 7055–7070. [Google Scholar] [CrossRef] [PubMed]
- Lei, S.; Rossi, S.; Huang, B. Metabolic and Physiological Regulation of Aspartic Acid-Mediated Enhancement of Heat Stress Tolerance in Perennial Ryegrass. Plants 2022, 11, 199. [Google Scholar] [CrossRef]
- Mesas, J.M.; Gil, J.A.; Martin, J.F. Characterization and Partial Purification of L-Asparaginase from Corynebacterium Glutamicum. J. Gen. Microbiol. 1990, 136, 515–519. [Google Scholar] [CrossRef]
- Batool, T.; Makky, E.A.; Jalal, M.; Yusoff, M.M. A Comprehensive Review on l-Asparaginase and Its Applications. Appl. Biochem. Biotechnol. 2016, 178, 900–923. [Google Scholar] [CrossRef]
- Azevedo, R.A.; Arruda, P.; Turner, W.L.; Lea, P.J. The biosynthesis and metabolism of the aspartate derived amino acids in higher plants. Phytochemistry 1997, 46, 395–419. [Google Scholar] [CrossRef]
- Isogai, S.; Takagi, H. Enhancement of lysine biosynthesis confers high-temperature stress tolerance to Escherichia coli cells. Appl. Microbiol. Biotechnol. 2021, 105, 6899–6908. [Google Scholar] [CrossRef] [PubMed]
- Kishor, P.B.K.; Suravajhala, R.; Rajasheker, G.; Marka, N.; Shridhar, K.K.; Dhulala, D.; Scinthia, K.P.; Divya, K.; Doma, M.; Edupuganti, S.; et al. Lysine, Lysine-Rich, Serine, and Serine-Rich Proteins: Link Between Metabolism, Development, and Abiotic Stress Tolerance and the Role of ncRNAs in Their Regulation. Front. Plant Sci. 2020, 11, 546213. [Google Scholar] [CrossRef] [PubMed]
- Sullivan, L.B.; Gui, D.Y.; Hosios, A.M.; Bush, L.N.; Freinkman, E.; Vander Heiden, M.G. Supporting Aspartate Biosynthesis Is an Essential Function of Respiration in Proliferating Cells. Cell 2015, 162, 552–563. [Google Scholar] [CrossRef] [PubMed]
- Schubert, C.; Zedler, S.; Strecker, A.; Unden, G. L-Aspartate as a high-quality nitrogen source in Escherichia coli: Regulation of L-aspartase by the nitrogen regulatory system and interaction of L-aspartase with GlnB. Mol. Microbiol. 2021, 115, 526–538. [Google Scholar] [CrossRef] [PubMed]
- Sobat, M.; Asad, S.; Kabiri, M.; Mehrshad, M. Metagenomic discovery and functional validation of L-asparaginases with anti-leukemic effect from the Caspian Sea. Iscience 2021, 24, 101973. [Google Scholar] [CrossRef] [PubMed]
- Van De Casteele, M.; Demarez, M.; Legrain, C.; Glansdorff, N.; Pierard, A. Pathways of arginine biosynthesis in extreme thermophilic archaeo- and eubacteria. J. Gen. Microbiol. 1990, 136, 1177–1183. [Google Scholar] [CrossRef]
- Yoshida, A.; Tomita, T.; Atomi, H.; Kuzuyama, T.; Nishiyama, M. Lysine Biosynthesis of Thermococcus kodakarensis with the Capacity to Function as an Ornithine Biosynthetic System. J. Biol. Chem. 2016, 291, 21630–21643. [Google Scholar] [CrossRef]
- Oshima, T. Unique polyamines produced by an extreme thermophile, Thermus thermophilus. Amino Acids 2007, 33, 367–372. [Google Scholar] [CrossRef]
- Fukuda, W.; Morimoto, N.; Imanaka, T.; Fujiwara, S. Agmatine is essential for the cell growth of Thermococcus kodakaraensis. FEMS Microbiol. Lett. 2008, 287, 113–120. [Google Scholar] [CrossRef]
- Morimoto, N.; Fukuda, W.; Nakajima, N.; Masuda, T.; Terui, Y.; Kanai, T.; Oshima, T.; Imanaka, T.; Fujiwara, S. Dual Biosynthesis Pathway for Longer-Chain Polyamines in the Hyperthermophilic Archaeon Thermococcus kodakarensis. J. Bacteriol. 2010, 192, 4991–5001. [Google Scholar] [CrossRef]
- Michael, A.J. Polyamine function in archaea and bacteria. J. Biol. Chem. 2018, 293, 18693–18701. [Google Scholar] [CrossRef] [PubMed]
- Nakashima, M.; Yamagami, R.; Tomikawa, C.; Ochi, Y.; Moriya, T.; Asahara, H.; Fourmy, D.; Yoshizawa, S.; Oshima, T.; Hori, H. Long and branched polyamines are required for maintenance of the ribosome, tRNAHis and tRNATyr in Thermus thermophilus cells at high temperatures. Genes Cells 2017, 22, 628–645. [Google Scholar] [CrossRef] [PubMed]
- Nishio, T.; Yoshikawa, Y.; Fukuda, W.; Umezawa, N.; Higuchi, T.; Fujiwara, S.; Imanaka, T.; Yoshikawa, K. Branched-Chain Polyamine Found in Hyperthermophiles Induces Unique Temperature-Dependent Structural Changes in Genome-Size DNA. ChemPhysChem 2018, 19, 2299–2304. [Google Scholar] [CrossRef]
- Ichikawa, J.K.; Clarke, S. A Highly Active Protein Repair Enzyme from an Extreme Thermophile: Thel-Isoaspartyl Methyltransferase fromThermotoga maritima. Arch. Biochem. Biophys. 1998, 358, 222–231. [Google Scholar] [CrossRef] [PubMed]
- La, J.W.; Dhanasingh, I.; Jang, H.; Lee, S.H.; Lee, D.-W. Functional Characterization of Primordial Protein Repair Enzyme M38 Metallo-Peptidase From Fervidobacterium islandicum AW-1. Front. Mol. Biosci. 2020, 7, 600634. [Google Scholar] [CrossRef]
- Si, M.; Xu, Q.; Jiang, L.; Huang, H. SpyTag/SpyCatcher Cyclization Enhances the Thermostability of Firefly Luciferase. PLoS ONE 2016, 11, e0162318. [Google Scholar] [CrossRef]
- Jahns, T. Ammonium/urea-dependent generation of a proton electrochemical potential and synthesis of ATP in Bacillus pasteurii. J. Bacteriol. 1996, 178, 403–409. [Google Scholar] [CrossRef]
- Singh, J.; Khan, M.I.; Yadav, S.P.; Srivastava, A.; Sinha, K.K.; Das, P.; Kundu, B. L-Asparaginase of Leishmania donovani: Metabolic target and its role in Amphotericin B resistance. Int. J. Parasitol. Drugs Drug Resist. 2017, 7, 337–349. [Google Scholar] [CrossRef]
- Salbitani, G.; Carfagna, S. Ammonium Utilization in Microalgae: A Sustainable Method for Wastewater Treatment. Sustainability 2021, 13, 956. [Google Scholar] [CrossRef]
- Konings, W.N.; Albers, S.-V.; Koning, S.; Driessen, A.J.M. The cell membrane plays a crucial role in survival of bacteria and archaea in extreme environments. Int. J. Gen. Mol. Microbiol. 2002, 81, 61–72. [Google Scholar] [CrossRef]
- Stetter, K.O. Extremophiles and their adaptation to hot environments. FEBS Lett. 1999, 452, 22–25. [Google Scholar] [CrossRef] [PubMed]
- Lu, P.; Ma, D.; Chen, Y.; Guo, Y.; Chen, G.-Q.; Deng, H.; Shi, Y. L-glutamine provides acid resistance for Escherichia coli through enzymatic release of ammonia. Cell Res. 2013, 23, 635–644. [Google Scholar] [CrossRef] [PubMed]
- Lamosa, P.; Burke, A.; Peist, R.; Huber, R.; Liu, M.-Y.; Silva, G.; Rodrigues-Pousada, C.; LeGall, J.; Maycock, C.; Santos, H. Thermostabilization of Proteins by Diglycerol Phosphate, a New Compatible Solute from the Hyperthermophile Archaeoglobus fulgidus. Appl. Environ. Microbiol. 2000, 66, 1974–1979. [Google Scholar] [CrossRef]
- Shi, R.; Liu, Y.; Mu, Q.; Jiang, Z.; Yang, S. Biochemical characterization of a novel L-asparaginase from Paenibacillus barengoltzii being suitable for acrylamide reduction in potato chips and mooncakes. Int. J. Biol. Macromol. 2017, 96, 93–99. [Google Scholar] [CrossRef]
- Jia, M.; Xu, M.; He, B.; Rao, Z. Cloning, Expression, and Characterization of l-Asparaginase from a Newly Isolated Bacillus subtilis B11–06. J. Agric. Food Chem. 2013, 61, 9428–9434. [Google Scholar] [CrossRef]
- Unsworth, L.; Van Der Oost, J.; Koutsopoulos, S. Hyperthermophilic enzymes − stability, activity and implementation strategies for high temperature applications. FEBS J. 2007, 274, 4044–4056. [Google Scholar] [CrossRef]
- Feng, C.; Ma, Z.; Yang, D.; Li, X.; Zhang, J.; Li, Y. A Method for Prediction of Thermophilic Protein Based on Reduced Amino Acids and Mixed Features. Front. Bioeng. Biotechnol. 2020, 8, 285. [Google Scholar] [CrossRef]
- Vieille, C.; Zeikus, G.J. Hyperthermophilic Enzymes: Sources, Uses, and Molecular Mechanisms for Thermostability. Microbiol. Mol. Biol. Rev. 2001, 65, 1–43. [Google Scholar] [CrossRef] [PubMed]
- De Farias, S.T.; Bonato, M.C.M. Preferred codons and amino acid couples in hyperthermophiles. Genome Biol. 2002, 3, preprint0006.1. [Google Scholar] [CrossRef]
- Cambillau, C.; Claverie, J.-M. Structural and Genomic Correlates of Hyperthermostability. J. Biol. Chem. 2000, 275, 32383–32386. [Google Scholar] [CrossRef]
- Taylor, T.J.; Vaisman, I.I. Discrimination of thermophilic and mesophilic proteins. BMC Struct. Biol. 2010, 10, S5. [Google Scholar] [CrossRef]
- Kumar, S.; Tsai, C.-J.; Nussinov, R. Factors enhancing protein thermostability. Protein Eng. 2000, 13, 179–191. [Google Scholar] [CrossRef] [PubMed]
- Szilágyi, A.; Závodszky, P. Structural differences between mesophilic, moderately thermophilic and extremely thermophilic protein subunits: Results of a comprehensive survey. Structure 2000, 8, 493–504. [Google Scholar] [CrossRef] [PubMed]
- Chan, C.-H.; Yu, T.-H.; Wong, K.-B. Stabilizing Salt-Bridge Enhances Protein Thermostability by Reducing the Heat Capacity Change of Unfolding. PLoS ONE 2011, 6, e21624. [Google Scholar] [CrossRef] [PubMed]
- Long, S.; Zhang, X.; Rao, Z.; Chen, K.; Xu, M.; Yang, T.; Yang, S. Amino acid residues adjacent to the catalytic cavity of tetramer l-asparaginase II contribute significantly to its catalytic efficiency and thermostability. Enzym. Microb. Technol. 2016, 82, 15–22. [Google Scholar] [CrossRef] [PubMed]
- Leng, F.; Wu, L.-Y.; Lu, C.; Pan, X.-M. Determinants of Thermostability in Serine Hydroxymethyltransferase Identified by Principal Component Analysis. Sci. Rep. 2017, 7, srep46463. [Google Scholar] [CrossRef]
- Bhatt, A.N.; Khan, M.Y.; Bhakuni, V. The C-terminal domain of dimeric serine hydroxymethyltransferase plays a key role in stabilization of the quaternary structure and cooperative unfolding of protein: Domain swapping studies with enzymes having high sequence identity. Protein Sci. 2004, 13, 2184–2195. [Google Scholar] [CrossRef]
- Sharma, P.; Tomar, R.; Yadav, S.S.; Badmalia, M.D.; Nath, S.K.; Kundu, B. Heat induces end to end repetitive association in P. furiosus l-asparaginase which enables its thermophilic property. Sci. Rep. 2020, 10, 21702. [Google Scholar] [CrossRef]
- Tomar, R.; Sharma, P.; Srivastava, A.; Bansal, S.; Kundu, B. Structural and functional insights into an archaealL-asparaginase obtained through the linker-less assembly of constituent domains. Acta Crystallogr. Sect. D Biol. Crystallogr. 2014, 70, 3187–3197. [Google Scholar] [CrossRef]
- Álvarez-Cao, M.-E.; González, R.; Pernas, M.A.; Rúa, M.L. Contribution of the Oligomeric State to the Thermostability of Isoenzyme 3 from Candida rugosa. Microorganisms 2018, 6, 108. [Google Scholar] [CrossRef]
- Reed, C.J.; Lewis, H.; Trejo, E.; Winston, V.; Evilia, C. Protein Adaptations in Archaeal Extremophiles. Archaea 2013, 2013, 373275. [Google Scholar] [CrossRef]
- Anand, S.; Sharma, C. Glycine-rich loop encompassing active site at interface of hexameric M. tuberculosis Eis protein contributes to its structural stability and activity. Int. J. Biol. Macromol. 2018, 109, 124–135. [Google Scholar] [CrossRef] [PubMed]
- Atkinson, S.C.; Dogovski, C.; Wood, K.; Griffin, M.D.; Gorman, M.A.; Hor, L.; Reboul, C.F.; Buckle, A.M.; Wuttke, J.; Parker, M.W.; et al. Substrate Locking Promotes Dimer-Dimer Docking of an Enzyme Antibiotic Target. Structure 2018, 26, 948–959. [Google Scholar] [CrossRef] [PubMed]
- Welin, M.; Lehtiö, L.; Johansson, A.; Flodin, S.; Nyman, T.; Trésaugues, L.; Hammarström, M.; Gräslund, S.; Nordlund, P. Substrate Specificity and Oligomerization of Human GMP Synthetase. J. Mol. Biol. 2013, 425, 4323–4333. [Google Scholar] [CrossRef]
- Aprile, F.A.; Dhulesia, A.; Stengel, F.; Roodveldt, C.; Benesch, J.L.P.; Tortora, P.; Robinson, C.V.; Salvatella, X.; Dobson, C.M.; Cremades, N. Hsp70 Oligomerization Is Mediated by an Interaction between the Interdomain Linker and the Substrate-Binding Domain. PLoS ONE 2013, 8, e67961. [Google Scholar] [CrossRef]
- Qiu, L.; Gulotta, M.; Callender, R. Lactate Dehydrogenase Undergoes a Substantial Structural Change to Bind its Substrate. Biophys. J. 2007, 93, 1677–1686. [Google Scholar] [CrossRef] [PubMed]





| Microorganism—Source of Thermo-ASNase | Growth Temperature Range/ Optimum Growth, °C | L-Asparaginase Abbreviation | Type | Oligomeric State | Optimum t, °C | Specific Activity, U/mg | Kinetic Parameters | Thermostability | Refs. |
|---|---|---|---|---|---|---|---|---|---|
| Hyperthermophilic Archaea | |||||||||
| Thermococcus kodakaraensis KOD1 | 60–100/85 | TkAI | Bacterial-type I | Homodimer | 90.0 | 978.7 | Km = 2.6 mM Vmax = 1121 μmol min−1 mg−1 | 90 °C: retained 90% of its activity after 32 h | [14,16,42] |
| TkAI | Bacterial-type I | Homodimer | 85.0 | 2350 | Km = 5.5 mM Vmax = 3300 μmol min−1 mg−1 | Half-life at 85 °C—130 min; boiling water—14 min | [15] | ||
| TkAIII | Plant-type | Dimer | 85.0 | 767 | Km = 3.1 mM Vmax = 833 μmol min−1 mg−1 | Half-life of the enzyme was nearly 18 h at 85 °C | [43] | ||
| Thermococcus zilligii | 75–80/75 | TzAI | Bacterial-type I | Homodimer | 90.0 | 5278 ± 32 | Km = 6.08 mM | 85 °C: retained 70% of its activity after 2 h | [17] |
| Thermococcus gammatolerans | 55–95/88 | TgAI | Bacterial-type I | Homodimer | 85.0 | 7622 | Km = 10.0 mM | 70–95 °C: retained more than 60% of its initial activity after 0.5 h; 95 °C—43% of its activity after 2 h | [18] |
| Thermococcus sibiricus | 40–88/78 | TsAI | Bacterial-type I | Homodimer | 90.0 | 2164 | Km = 2.8 mM Vmax = 1200 μmol min−1 | 90 °C: retained 86% of its initial activity after 20 min | [19] |
| Pyrococcus yayanosii CH1 | 80–108/98 | PyAI | Bacterial-type I | Homodimer | 95.0 | 1483.81 | Km = 6.5 mM Vmax = 2929 μmol min−1 | 70, 80, 85, 90, 95 °C: retained 57%, 50%, 47%, 40%, and 35% of its activity after 2 h of exposure, respectively. A half-life at 85 °C—105 min. | [20] |
| Pyrococcus furiosus | 70–103/100 | PfAI | Bacterial-type I | Homodimer | ~85.0 | 550 | Km (80 °C) = 12 mM | No data | [44] |
| Pyrococcus abyssi | 67–102/96 | PaAI | Bacterial-type I | Homodimer | 80.0 | 1175 | Km = 2.05 mM | Active in a wide range of temperature levels—40–100 °C. Retained 100% of its activity when incubated at 80 °C for 5 min | [26] |
| Pyrococcus horikoshii | 80–102/98 | PhAI | Bacterial-type I | Homodimer | No data | No data | No data | No data | [25] |
| Archaeoglobus fulgidus | 60–95/83 | AfA | No data | Homodimer | 70.0 | Km (70 °C) = 0.005 mM | Retained 70% of its activity after 5 min incubation at 85 °C, and ~10% of its activity at 95 °C. Retained ~90% of its activity after a four-month storage at room temperature | [27] | |
| Pyrobaculum calidifontis | 80–98 (able to grow at 75–100 °C)/90–95 | PcAIII | Plant-type | Dimer | ≥100 | Km = 4.5 ± 0.4 mM Vmax = 355 ± 13 μmol min−1 mg−1 | Exhibited a half-life of 150 min in the boiling water | [45] | |
| Thermophilic Bacteria | |||||||||
| Streptomyces thermoluteus subsp. fuscus NBRC 14270 | Growth temperature ranges of thermophilic Streptomyces sp.: 28–68 °C | StAII | Bacterial-type II | Homodimer | 63.6 | 68.09 | Km = 1.83 mM Vmax = 92.73 μmol min−1 mg−1 | No data | [46] |
| Thermus thermophilus | 47–85/65–72 | TtAII | Bacterial-type II | Hexamer | ≥70 | 840 | Km = 2.8 mM | No data | [47,48] |
| Melioribacter roseus | 35–60/52–55 | MrAII | Bacterial-type II | No data | 70 | 1530 | Km = 1.4 mM Vmax = 5573 μmol min−1 | Retained 70% of its initial activity after 60 min incubation at 40 °C | [49] |
| Thermus aquaticus | 40–79/70 | TaA | No data | Monomer | 75.0 | 585 | Km = 8.6 mM | The half-life of the enzyme at 85 °C was 40 min | [50] |
| Enzyme | Variants | Optimum Temperature, °C | T(1/2) *, min | Specific Activity, U/mg |
|---|---|---|---|---|
| PyA | Wild type | 95 | 105 ± 5 | 1483 ± 63 |
| D51G | 65 | 35 ± 4 | 341 ± 29 | |
| K298L | 85 | 50 ± 4 | 1513 ± 61 | |
| TgA | Wild type | 85 | 135 ± 5 | 5381 ± 97 |
| D52G | 60 | 55 ± 3 | 962 ± 51 | |
| K298L | 80 | 75 ± 4 | 5310 ± 93 | |
| EcAII | Wild type | 37 | 60 ± 5 | 235 ± 21 |
| G57D | 50 | 100 ± 4 | 643 ± 33 | |
| L305K | 45 | 90 ± 5 | 243 ± 17 | |
| BsAII | Wild type | 40 | 75 ± 5 | 92 ± 4.1 |
| G107D | 40 | ** | 182.84 ± 7.49 | |
| L354K | 45 | 105 ± 3 | 101 ± 5.2 |
| Enzyme | Variants | Optimum Temperature, °C | T(1/2, 85°C), min | Specific Activity, U/mg |
|---|---|---|---|---|
| PyA | Wild type | 95 | 105 ± 5 | 1483 ± 63 |
| α3 | 80 | 50 ± 3 | 1360 ± 59 | |
| TgA | Wild type | 85 | 135 ± 5 | 5381 ± 97 |
| α3 | 90 | 155 ± 7 | 5113 ± 84 |
| Enzyme | Conditions | No. of Salt Bridges | No. of H-Bonds | No. of Hydrophobic Interactions |
|---|---|---|---|---|
| PfA | With ligand | 2 | 4 | 44 |
| cPfA | With ligand, 18 °C | 0 | 10 | 83 |
| With ligand, 37 °C | 2 | 8 | 86 | |
| Ligand-free | 1 | 3 | 48 |
Disclaimer/Publisher’s Note: The statements, opinions and data contained in all publications are solely those of the individual author(s) and contributor(s) and not of MDPI and/or the editor(s). MDPI and/or the editor(s) disclaim responsibility for any injury to people or property resulting from any ideas, methods, instructions or products referred to in the content. |
© 2023 by the authors. Licensee MDPI, Basel, Switzerland. This article is an open access article distributed under the terms and conditions of the Creative Commons Attribution (CC BY) license (https://creativecommons.org/licenses/by/4.0/).
Share and Cite
Dumina, M.; Zhgun, A. Thermo-L-Asparaginases: From the Role in the Viability of Thermophiles and Hyperthermophiles at High Temperatures to a Molecular Understanding of Their Thermoactivity and Thermostability. Int. J. Mol. Sci. 2023, 24, 2674. https://doi.org/10.3390/ijms24032674
Dumina M, Zhgun A. Thermo-L-Asparaginases: From the Role in the Viability of Thermophiles and Hyperthermophiles at High Temperatures to a Molecular Understanding of Their Thermoactivity and Thermostability. International Journal of Molecular Sciences. 2023; 24(3):2674. https://doi.org/10.3390/ijms24032674
Chicago/Turabian StyleDumina, Maria, and Alexander Zhgun. 2023. "Thermo-L-Asparaginases: From the Role in the Viability of Thermophiles and Hyperthermophiles at High Temperatures to a Molecular Understanding of Their Thermoactivity and Thermostability" International Journal of Molecular Sciences 24, no. 3: 2674. https://doi.org/10.3390/ijms24032674
APA StyleDumina, M., & Zhgun, A. (2023). Thermo-L-Asparaginases: From the Role in the Viability of Thermophiles and Hyperthermophiles at High Temperatures to a Molecular Understanding of Their Thermoactivity and Thermostability. International Journal of Molecular Sciences, 24(3), 2674. https://doi.org/10.3390/ijms24032674

