New Role of Water in Transketolase Catalysis
Abstract
1. Introduction
2. Results and Discussion
2.1. ThDP-O Formation and Cyanoborohydride Reduction of ThDP and ThDP-O
2.2. The Reason for the Influence of the Acceptor Substrate on the Kinetic Parameters for the Donor Substrate
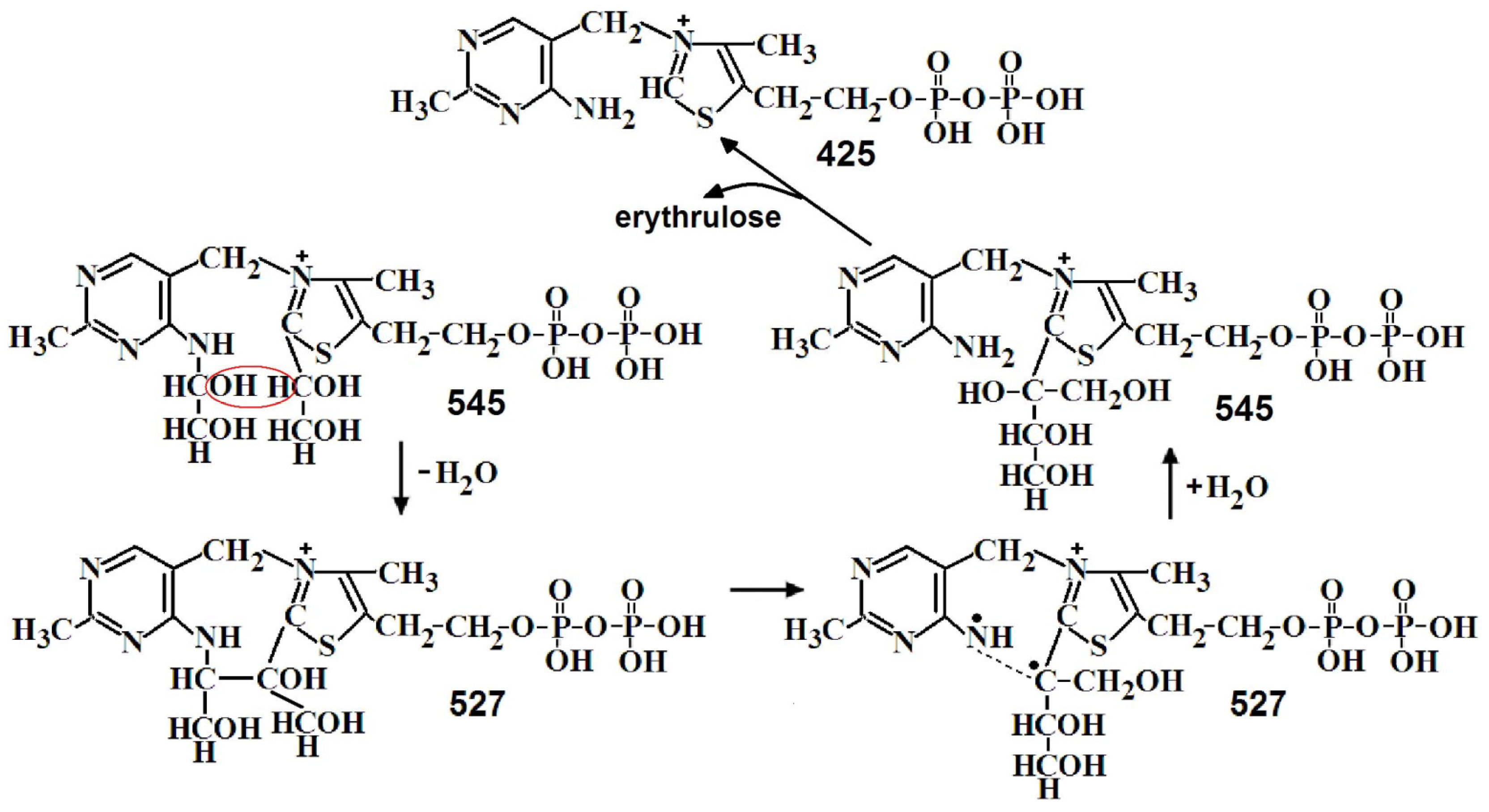
2.3. The Structure of ThDP-O: Proposed Participation of Water in Activation of ThDP
2.4. The Role of Water in the One-Substrate Transketolase Reaction
3. Materials and Methods
3.1. Materials
3.2. Transketolase Purification
3.3. Determination of Thiamine Diphosphate Concentration
3.4. Preparation of Holotransketolase
3.5. Preparation of Xylulose 5-Phosphate
3.6. TK Activity Measurement
3.7. Determination of the Concentration of X5P and R5P
3.8. Determination of Km for X5P
3.9. Preparation of Samples for Mass Spectrometry
3.10. ESI-MS and MS/MS Analysis
4. Conclusions
Funding
Institutional Review Board Statement
Acknowledgments
Conflicts of Interest
References
- Sundström, M.; Lindqvist, Y.; Schneider, G.; Hellman, U.; Ronne, H. Yeast TKLI gene encodes a transketolase that is required for efficient glycolysis and biosynthesis of aromatic amino acids. J. Biol. Chem. 1993, 268, 24346–24352. [Google Scholar] [CrossRef] [PubMed]
- Schneider, G.; Lindqvist, Y. Crystallography and mutagenesis of transketolase: Mechanistic implications for enzymatic thiamin catalysis. Biochim. Biophys. Acta 1998, 1385, 387–398. [Google Scholar] [CrossRef] [PubMed]
- Meshalkina, L.E.; Kochetov, G.A. The functional identity of the active centres of transketolase. Biochim. Biophys. Acta 1979, 571, 218–223. [Google Scholar] [CrossRef] [PubMed]
- Lindqvist, Y.; Schneider, G.; Ermler, U.; Sundström, M. Three-dimensional structure of transketolase, a thiamine diphosphate dependent enzyme, at 2.5 A resolution. EMBO J. 1992, 11, 2373–2379. [Google Scholar] [CrossRef] [PubMed]
- Kochetov, G.A.; Philippov, P.P. Calcium: Cofactor of transketolase from baker’s yeast. Biochem. Biophys. Res. Commun. 1970, 38, 930–933. [Google Scholar] [CrossRef]
- Solovjeva, O.N.; Selivanov, V.A.; Orlov, V.N.; Kochetov, G.A. Stages of the formation of nonequivalence of active centers of transketolase from baker’s yeast. Mol. Catal. 2019, 466, 122–129. [Google Scholar] [CrossRef]
- Kochetov, G.A.; Philippov, P.P.; Razjivin, A.P.; Tikhomirova, N.K. Kinetics of reconstruction of holo-transketolase. FEBS Lett. 1975, 53, 211–212. [Google Scholar] [CrossRef] [PubMed]
- Schenk, G.; Duggleby, G.; Nixon, P.F. Heterologous expression of human transketolase. Int. J. Biochem. Cell Biol. 1998, 30, 369–378. [Google Scholar] [CrossRef]
- Schenk, G.; Duggleby, G.; Nixon, P.F. Properties and functions of the thiamin diphosphate dependent enzyme transketolase. Int. J. Biochem. Cell Biol. 1998, 30, 1297–1318. [Google Scholar] [CrossRef]
- Bykova, I.A.; Solovjeva, O.N.; Meshalkina, L.E.; Kovina, M.V.; Kochetov, G.A. One-substrate transketolase-catalyzed reaction. Biochem. Biophys. Res. Commun. 2001, 280, 845–847. [Google Scholar] [CrossRef]
- Fiedler, E.; Golbik, R.; Schneider, G.; Tittmann, K.; Neef, H.; König, S.; Hübner, G. Examination of donor substrate conversion in yeast transketolase. J. Biol. Chem. 2001, 276, 16051–16058. [Google Scholar] [CrossRef] [PubMed]
- Yurshev, V.A.; Sevostyanova, I.A.; Solovjeva, O.N.; Zabrodskaya, S.V.; Kochetov, G.A. Nonequivalence of transketolase active centers with respect to acceptor substrate binding. Biochem. Biophys. Res. Commun. 2007, 361, 1044–1047. [Google Scholar] [CrossRef] [PubMed]
- Sevostyanova, I.A.; Yurshev, V.A.; Solovjeva, O.N.; Zabrodskaya, S.V.; Kochetov, G.A. Effect of bivalent cations on the interaction of transketolase with its donor substrate. Proteins 2008, 71, 541–545. [Google Scholar] [CrossRef]
- Solovjeva, O.N.; Sevostyanova, I.A.; Yurshev, V.A.; Selivanov, V.A.; Kochetov, G.A. Effects of free Ca2+ on kinetic characteristics of holotransketolase. Protein J. 2012, 31, 137–140. [Google Scholar] [CrossRef] [PubMed]
- Solovjeva, O.N. The mechanism of a one-substrate transketolase reaction. Part II. Anal. Biochem. 2021, 613, 114022. [Google Scholar] [CrossRef]
- Solovjeva, O.N.; Kovina, M.V.; Zavialova, M.G.; Zgoda, V.G.; Shcherbinin, D.S.; Kochetov, G.A. The mechanism of a one-substrate transketolase reaction. Biosci. Rep. 2020, 40, BSR20180246. [Google Scholar] [CrossRef]
- Hübner, G.; Tittmann, K.; Killenberg-Jabs, M.; Schäffner, J.; Spinka, M.; Neef, H.; Kern, D.; Kern, G.; Schneider, G.; Wikner, C.; et al. Activation of thiamin diphosphate in enzymes. Biochim. Biophys. Acta-Protein Struct. Mol. Enzymol. 1998, 1385, 221–228. [Google Scholar] [CrossRef]
- Nauton, L.; Hélaine, V.; Théry, V.; Hecquet, L. Insights into the thiamine diphosphate enzyme activation mechanism: Computational model for transketolase using a Quantum Mechanical/Molecular Mechanical method. Biochemistry 2016, 55, 2144–2152. [Google Scholar] [CrossRef]
- Tuckerman, M.E.; Marx, D.; Klein, M.L.; Parrinello, M. On the quantum nature of the shared proton in hydrogen bonds. Science 1997, 275, 817–820. [Google Scholar] [CrossRef]
- Nikkola, M.; Lindqvist, Y.; Schneider, G. Refined structure of transketolase from Saccharomyces cerevisiae at 2.0 Å resolution. J. Mol. Biol. 1994, 238, 387–404. [Google Scholar] [CrossRef]
- Frank, R.A.; Titman, C.M.; Pratap, J.V.; Luis, B.F.; Perham, R.N. A molecular switch and proton wire synchronize the active sites in thiamine enzymes. Science 2004, 306, 872–876. [Google Scholar] [CrossRef] [PubMed]
- Mitschke, L.; Parthier, C.; Schröder-Tittman, K.; Coy, J.; Lüdtke, S.; Tittmann, K. The crystal structure of human transketolase and new insights into its mode of action. J. Biol. Chem. 2010, 285, 31559–31570. [Google Scholar] [CrossRef] [PubMed]
- Lie, M.A.; Schiøtt, B. A DFT study of solvation effects on the tautomeric equilibrium and catalytic ylide generation of thiamin models. J. Comput. Chem. 2008, 29, 1037–1047. [Google Scholar] [CrossRef]
- Lobell, M.; Crout, D.H.G. Pyruvate decarboxylase: A molecular modeling study of pyruvate decarboxylation and acyloin formation. J. Am. Chem. Soc. 1996, 118, 1867–1873. [Google Scholar] [CrossRef]
- Sergienko, E.A.; Jordan, F. Catalytic acid-base groups in yeast pyruvate decarboxylase. 2. Insights into the specific roles of D28 and E477 from the rates and stereospecificity of formation of carboligase side products. Biochemistry 2001, 40, 7369–7381. [Google Scholar] [CrossRef] [PubMed]
- Pei, X.Y.; Erixon, K.M.; Luisi, B.F.; Leeper, F.J. Structural insights into the prereaction state of pyruvate decarboxylase from Zymomonas mobilis. Biochemistry 2010, 49, 1727–1736. [Google Scholar] [CrossRef]
- André, G.; Kanchanawong, P.; Palma, R.; Cho, H.; Deng, H.; Irwin, D.; Himmel, M.E.; Wilson, D.B.; Brady, J.W. Computational and experimental studies of the catalytic mechanism of Thermobifida fusca cellulase Cel6A (E2). Protein Eng. Des. Sel. 2003, 16, 125–134. [Google Scholar] [CrossRef]
- Yu, Y.; Wang, X.; Gao, Y.; Yang, Y.; Sun, L.; Wang, G.; Deng, X.; Niu, X. Molecular modeling and QM/MM calculation clarify the catalytic mechanism of β-lactamase N1. J. Mol. Model. 2019, 25, 118. [Google Scholar] [CrossRef]
- Zhang, X.; Zhao, Y.; Yan, H.; Cao, Z.; Mo, Y. Combined QM(DFT)/MM molecular dynamics simulations of the deamination of cytosine by yeast cytosine deaminase (yCD). J. Comput. Chem. 2016, 37, 1163–1174. [Google Scholar] [CrossRef]
- Egger, S.; Chaikuad, A.; Klimacek, M.; Kavanagh, K.L.; Oppermann, U.; Nidetzky, B. Structural and kinetic evidence that catalytic reaction of human UDP-glucose 6-dehydrogenase involves covalent thiohemiacetal and thioester enzyme intermediates. J. Biol. Chem. 2012, 287, 2119–2129. [Google Scholar] [CrossRef]
- Hadler, K.S.; Tanifum, E.A.; Yip, S.H.; Mitić, N.; Guddat, L.W.; Jackson, C.J.; Gahan, L.R.; Nguyen, K.; Carr, P.D.; Ollis, D.L.; et al. Substrate-promoted formation of a catalytically competent binuclear center and regulation of reactivity in a glycerophosphodiesterase from Enterobacter aerogenes. J. Am. Chem. Soc. 2008, 130, 14129–14138. [Google Scholar] [CrossRef]
- Min, D.; Josephine, H.R.; Li, H.; Lakner, C.; MacPherson, I.S.; Naylor, G.J.; Swofford, D.; Hedstrom, L.; Yang, W. An enzymatic atavist revealed in dual pathways for water activation. PLoS. Biol. 2008, 6, e206. [Google Scholar] [CrossRef]
- Barbosa, J.A.; Sivaraman, J.; Larocque, R.; Matte, A.; Schrag, J.D.; Cygler, M. Mechanism of action and NAD+-binding mode revealed by the crystal structure of l-histidinol dehydrogenase. Proc. Natl. Acad. Sci. USA 2002, 99, 1859–1864. [Google Scholar] [CrossRef] [PubMed]
- Castillo, R.; Silla, E.; Tuñón, I. Role of protein flexibility in enzymatic catalysis: Quantum mechanical-molecular mechanical study of the deacylation reaction in class A beta-lactamases. J. Am. Chem. Soc. 2002, 124, 1809–1816. [Google Scholar] [CrossRef] [PubMed]
- Clarke, G.M.; Sykes, P. The reduction of thiazolium salts with sodium borohydride. Part I. J. Chem. Soc. C Org. 1967, 1269–1273. [Google Scholar] [CrossRef]
- Clarke, G.M.; Sykes, P. The reduction of thiazolium salts with sodium borohydride. Part II. J. Chem. Soc. C Org. 1967, 1411–1414. [Google Scholar] [CrossRef]
- Lowe, P.N.; Leeper, F.J.; Perham, R.N. Stereoisomers of Tetrahydrothiamin Pyrophosphate, Potent Inhibitors of the Pyruvate Dehydrogenase Multienzyme Complex from Escherichia coli. Biochemistry 1983, 22, 150–157. [Google Scholar] [CrossRef]
- Sevostyanova, I.A.; Solovjeva, O.N.; Kochetov, G.A. A hitherto unknown transketolase-catalyzed reaction. Biochem. Biophys. Res. Commun. 2004, 313, 771–774. [Google Scholar] [CrossRef]
- Solovjeva, O.N.; Kovina, M.V.; Kochetov, G.A. Substrate inhibition of transketolase. Biochim. Biophys. Acta-Proteins Proteom. 2016, 1864, 280–282. [Google Scholar] [CrossRef]
- Asztalos, P.; Parthier, C.; Golbik, R.; Kleinschmidt, M.; Hübner, G.; Weiss, M.S.; Friedemann, R.; Wille, G.; Tittmann, K. Strain and near attack conf ormers in enzymic thiamin catalysis: X-ray crystallographic snapshots of bacterial transketolase in covalent complex with donor ketoses xylulose 5-phosphate and fructose 6-phosphate, and in noncovalent complex with acceptor aldose ribose 5-phosphate. Biochemistry 2007, 46, 12037–12052. [Google Scholar] [CrossRef]
- Lüdtke, S.; Neumann, P.; Erixon, K.M.; Leeper, F.; Kluger, R.; Ficner, R.; Tittmann, K. Sub-angström-resolution crystallography reveals physical distortions that enhance reactivity of a covalent enzymatic intermediate. Nat. Chem. 2013, 5, 762–767. [Google Scholar] [CrossRef] [PubMed]
- Kovina, M.V.; Tikhonova, O.V.; Solov’eva, O.N.; Bykova, I.A.; Ivanov, A.S.; Kochetov, G.A. Influence of transketolase substrates on its conformation. Biochem. Biophys. Res. Commun. 2000, 275, 968–972. [Google Scholar] [CrossRef] [PubMed]
- Kim, K.; Kim, H.J.; Oh, D.K.; Cha, S.S.; Rhee, S. Crystal structure of D-psicose 3-epimerase from Agrobacterium tumefaciens and its complex with true substrate D-fructose: A pivotal role of metal in catalysis, an active site for the non-phosphorylated substrate, and its conformational changes. J. Mol. Biol. 2006, 361, 920–931. [Google Scholar] [CrossRef] [PubMed]
- Meshalkina, L.E.; Kochetov, G.A.; Hübner, G.; Tittmann, K.; Golbik, R. New function of the amino group of thiamine diphosphate in thiamine catalysis. Biochemistry 2009, 74, 293–300. [Google Scholar] [CrossRef] [PubMed]
- Esakova, O.A.; Khanova, E.A.; Meshalkina, L.E.; Golbik, R.; Hübner, G.; Kochetov, G.A. Effect of transketolase substrates on holoenzyme reconstitution and stability. Biochemistry 2005, 70, 770–776. [Google Scholar] [CrossRef] [PubMed]
- Ospanov, R.V.; Kochetov, G.A.; Kurganov, B.I. Influence of donor substrate on kinetic parameters of thiamine diphosphate binding to transketolase. Biochemistry 2007, 72, 84–92. [Google Scholar] [CrossRef]
- Schneider, G.; Lindqvist, Y. Enzymatic thiamine catalysis: Mechanistic implication from the three-dimensional structure of transketolase. Bioorg. Chem. 1993, 21, 109–117. [Google Scholar] [CrossRef]
- Kovina, M.V.; Bykova, I.A.; Solovjeva, O.N.; Kochetov, G.A. The origin of the absorption band induced through the interaction betveen apotransketolase and thiamin diphosphate. Biochem. Biophys. Res. Commun. 2002, 294, 155–160. [Google Scholar] [CrossRef] [PubMed]
- Solovjeva, O.N. Isolation and properties of noncovalent complex of transketolase with RNA. Biochemistry 2002, 67, 667–671. [Google Scholar] [CrossRef]
- Heinrich, C.P.; Noack, K.; Wiss, O. Chemical modification of tryptophan at the binding site of thiamine-pyrophosphate in transketolase from baker’s yeast. Biochem. Biophys. Res. Commun. 1972, 49, 1427–1432. [Google Scholar] [CrossRef]
- Schellenberger, A.; Hübner, G. On the separation of phosphoric acid esters of thiamine and its analogues by gradient elution. Hoppe Seylers Z. Physiol. Chem. 1965, 343, 189–192. [Google Scholar] [CrossRef] [PubMed]
- Solovjeva, O.N.; Kochetov, G.A. Enzymatic synthesis of D-xylulose 5-phosphate from hydroxypyruvate and d-glyceraldehyde-3-phosphate. J.Mol. Catal. B Enzym. 2008, 54, 90–92. [Google Scholar] [CrossRef]
- Kochetov, G.A. Transketolase from yeast, rat liver, and pig liver. Methods Enzymol. 1982, 90, 209–223. [Google Scholar] [CrossRef] [PubMed]
- Fiedler, E.; Thorell, S.; Sandalova, T.; Golbik, R.; König, S.; Schneider, G. Snapshot of a key intermediate in enzymatic thiamin catalysis: Crystal structure of the alpha-carbanion of (alpha,beta-dihydroxyethyl)-thiamin diphosphate in the active site of transketolase from Saccharomyces cerevisiae. Proc. Natl. Acad. Sci. USA 2002, 99, 591–595. [Google Scholar] [CrossRef]
- Tittmann, K.; Wille, G. X-ray crystallographic snapshots of reaction intermediates in pyruvate oxidase and transketolase illustrate common themes in thiamin catalysis. J. Mol. Catal. B Enzym. 2009, 61, 93–99. [Google Scholar] [CrossRef]









| Substrate | With NaBH3CN | Without NaBH3CN | ||||
|---|---|---|---|---|---|---|
| m/z 427 | m/z 429 | m/z 441 | m/z 443 | m/z 445 | m/z 441 | |
| none | 4% | 2% | 0.5% | 0.6% | 0.4% | |
| HPA | 11% | 2% | 6% | 0.7% | 1.3% | 12% |
| F6P | 6% | 12% | 1.6% | 1% | 1.5% | 4% |
| GlyA | 125% | 25% | 1% | 2% | 1% | 44% |
| G3P | 170% | 710% | 2% | 2% | 9% | not measured |
| R5P | 270% | 216% | 3% | 3% | 6% | not measured |
| Donor Substrate | Acceptor Substrate | Km1 (μM) | Km2 (μM) | V1 (U/mg) | V2 (U/mg) |
|---|---|---|---|---|---|
| HPA [6] | none | 21 ± 1.5 | 110 ± 5 | 0.032 ± 0.002 | 0.044 ± 0.002 |
| HPA [6] | 1.5 mM R5P | 205 ± 30 | 475 ± 6 | 2.52 ± 0.29 | 4.08 ± 0.1 |
| X5P [6] | none | 0.39 ± 0.02 | 24.34 ± 1.69 | 0.20 ± 0.003 | 0.32 ± 0.01 |
| X5P [14] | 1.5 mM R5P | 25 ± 6 | 773 ± 300 | 15 ± 3 | 69 ± 17 |
| F6P [15] | none | 0.22 ± 0.02 | 1.16 ± 0.2 | 8.1 ± 0.3 × 10−3 | 9.1 ± 0.3 × 10−3 |
| F6P [15] | 1.5 mM R5P | 1.3 ± 0.15 | 8.5 ± 0.15 | 56 ± 3 × 10−3 | 64 ± 3 × 10−3 |
| GlyA [15] | none | 150 ± 20 | 1800 ± 300 | 0.19 ± 0.02 × 10−3 | 0.24 ± 0.03 × 10−3 |
| GlyA [15] | 1.5 mM R5P | 470 ± 50 | 1700 ± 30 | 0.43 ± 0.05 × 10−3 | 0.51 ± 0.04 × 10−3 |
| R5P (μM) | Km1 (μM) | Km2 (μM) | V1 (U/mg) | V2 (U/mg) |
|---|---|---|---|---|
| 150 | 54.1 ± 1.5 | 209 ± 63 | 47.7 ± 0.44 | 58.0 ± 0.65 |
| 300 | 45.2 ± 1.2 | 540 ± 53 | 53.4 ± 0.48 | 101.5 ± 5.8 |
| 450 | 47.7 ± 1.2 | 429 ± 22 | 55.1 ± 0.59 | 109.3 ± 3.3 |
| 1500 | 44.4 ± 1.3 | 482 ± 17 | 50.0 ± 0.53 | 98.2 ± 2.0 |
| Molecular Formula | Calculated Mass (m/z) | Experimental Mass (m/z) | Relative Intensity | Calculated Mass (m/z) | Experimental Mass (m/z) | Relative Intensity |
|---|---|---|---|---|---|---|
| C12O8H19S1N4P2 | 441.040 | 441.040 | 10.05 | |||
| C12O7H19S1N4P2 | 425.045 | 425.045 | 11.25 | |||
| C12O7H18S1N4P2 | 424.037 | 424.037 | 1.32 | |||
| C12O7H17S1N4P2 | 423.029 | 423.029 | 0.48 | |||
| C12O5H18S1N4P1 | 361.074 | 361.073 | 100 | |||
| C12O4H18S1N4P1 | 345.079 | 345.079 | 32.42 | |||
| C12O4H16S1N4P1 | 343.063 | 343.063 | 16.57 | |||
| C7O7H14S1N2P2 | 331.999 | 331.995 | 0.07 | |||
| C7O7H13S1N2P2 | 330.992 | 330.992 | 0.06 | |||
| C12O3H16S1N4P1 | 327.068 | 327.068 | 7.55 | |||
| C6O7H12S1N1P2 | 303.981 | 303.981 | 100 | 303.981 | 303.980 | 0.11 |
| C12O1H17S1N4 | 265.113 | 265.112 | 0.48 | |||
| C12O1H15S1N4 | 263.097 | 263.096 | 6.83 | |||
| C12H17S1N4 | 249.118 | 249.117 | 0.05 | |||
| C12H15S1N4 | 247.102 | 247.102 | 2.94 | |||
| C6O4H11S1N1P1 | 224.015 | 224.015 | 29.27 | |||
| C6O4H11N3P1 | 220.049 | 220.049 | 0.96 | 220.049 | 220.048 | 0.29 |
| C6O3H9N3P1 | 202.038 | 202.038 | 10.4 | 202.038 | 202.037 | 0.11 |
| C6H9N3 | 123.080 | 123.080 | 0.06 | |||
| C6H8N3 | 122.072 | 122.072 | 3/02 | 122.072 | 122.072 | 0.07 |
Disclaimer/Publisher’s Note: The statements, opinions and data contained in all publications are solely those of the individual author(s) and contributor(s) and not of MDPI and/or the editor(s). MDPI and/or the editor(s) disclaim responsibility for any injury to people or property resulting from any ideas, methods, instructions or products referred to in the content. |
© 2023 by the author. Licensee MDPI, Basel, Switzerland. This article is an open access article distributed under the terms and conditions of the Creative Commons Attribution (CC BY) license (https://creativecommons.org/licenses/by/4.0/).
Share and Cite
Solovjeva, O.N. New Role of Water in Transketolase Catalysis. Int. J. Mol. Sci. 2023, 24, 2068. https://doi.org/10.3390/ijms24032068
Solovjeva ON. New Role of Water in Transketolase Catalysis. International Journal of Molecular Sciences. 2023; 24(3):2068. https://doi.org/10.3390/ijms24032068
Chicago/Turabian StyleSolovjeva, Olga N. 2023. "New Role of Water in Transketolase Catalysis" International Journal of Molecular Sciences 24, no. 3: 2068. https://doi.org/10.3390/ijms24032068
APA StyleSolovjeva, O. N. (2023). New Role of Water in Transketolase Catalysis. International Journal of Molecular Sciences, 24(3), 2068. https://doi.org/10.3390/ijms24032068
